Artículos
Un amigo es un tesoro: inteligencia emocional, apoyo social organizacional y engagement docente
A friend is a treasure: emotional intelligence, workplace social support and teacher engagement
Um amigo é um tesouro: inteligência emocional, apoio social organizacional e engagement docente
Un ami est un trésor: l'intelligence émotionnelle, le soutien organisationnel et social, et l'engagement des enseignants
Un amigo es un tesoro: inteligencia emocional, apoyo social organizacional y engagement docente
Praxis & Saber, vol. 10, núm. 24, pp. 69-92, 2019
Universidad Pedagógica y Tecnológica de Colombia (UPTC)
Recepción: 03 Mayo 2019
Aprobación: 29 Julio 2019
Financiamiento
Fuente: Universidad de Málaga
Nº de contrato: PPIT.UMA.B1.2017/23
Financiamiento
Fuente: FEDER Andalucía
Nº de contrato: UMA18-FEDERJA-147
Descripción del financiamiento: sta investigación ha sido financiada, en parte, por la Universidad de Málaga (PPIT.UMA.B1.2017/23) y el Proyectos I+D+i en el marco del Programa Operativo FEDER Andalucía 2014-2020. (UMA18-FEDERJA-147).
Resumen: Esta investigación examina las relaciones entre inteligencia emocional, apoyo social organizacional de compañeros y supervisores y engagement laboral en una muestra de 110 docentes españoles de primaria y secundaria. Los resultados mostraron que la inteligencia emocional no se asoció con los niveles de apoyo social organizacional ni de compañeros ni de supervisores. Sin embargo, tanto inteligencia emocional como apoyo organizacional de compañeros y supervisores mostraron asociaciones significativas y positivas con engagement docente. Además, los análisis de moderación mostraron que los efectos principales de inteligencia emocional y apoyo social de compañeros -aunque no de supervisores- explicaban varianza de los niveles de engagement docente. Finalmente, la interacción de ambos recursos, personal -inteligencia emocional- y laboral - apoyo social tanto de compañeros como de supervisores-, añadía varianza incremental a la explicación de los niveles de engagement. En general, nuestros hallazgos ponen de manifiesto que las administraciones educativas deberían dedicar esfuerzos a diseñar programas de formación en inteligencia emocional para los docentes y crear ambientes laborales que promuevan condiciones laborales positivas y favorezcan el desarrollo de engagement entre los docentes.
Palabras clave: inteligencia emocional, apoyo social organizacional, docentes, engagement laboral.
Abstract: This research examines the relationship among emotional intelligence, workplace social support from colleagues and supervisors, and work engagement in a sample of 110 Spanish primary and secondary teachers. The results showed that emotional intelligence was not related to perceived support from colleagues or supervisors. However, both emotional intelligence and social support from colleagues and supervisors showed significant positive associations with teacher engagement. Moreover, moderation analyses showed that main effects of emotional intelligence and social support from colleagues-not support from supervisors- explained significant variance in teacher engagement. Finally, the interaction of both personal-emotional intelligence-and job- social support from colleagues and supervisors-resources added incremental variance to the explanation of teacher engagement. Overall, our findings underline that educational administrations should take efforts in designing emotional intelligence intervention programs for teachers as well as creating collaborative and supportive environments facilitating development of teacher engagement.
Keywords: emotional intelligence, organizational social support, teachers, work engagement.
Resumo: Esta pesquisa examina as relações entre inteligência emocional, apoio social organizacional de colegas e supervisores e engagement laboral numa mostra de 110 docentes espanhóis de primária e secundária. Os resultados mostraram que a inteligência emocional não se associou com os níveis de apoio social organizacional nem de colegas nem de supervisores. No entanto, tanto inteligência emocional como apoio organizacional de colegas e supervisores mostraram associações significativas e positivas com engagement docente. Ademais, as análises de moderação mostraram que os efeitos principais de inteligência emocional e apoio social de colegas - embora que não de supervisores - explicavam a variância dos níveis de engagement docente. Finalmente, a interação de ambos os recursos, pessoal - inteligência emocional - e trabalhista - apoio social tanto de colegas como de supervisores -, acrescentava variância incremental à explicação dos níveis de engagement. Em geral, nossos achados põem de manifesto que as administrações educativas deveriam dedicar esforços a desenhar programas de formação em inteligência emocional para os docentes e criar ambientes laborais que promovam condições laborais positivas e favoreçam o desenvolvimento de engagement entre os docentes.
Palavras-chave: inteligência emocional, apoio social organizacional, docentes, engagement laboral.
Résumé: Cette recherche explore les relations entre l'intelligence émotionnelle, le soutien organisationnel et social des camarades et des superviseurs, et l'engagement au travail sur un échantillon de 110 enseignants espagnols du primaire et du secondaire. Les résultats ont montré que l'intelligence émotionnelle n'est pas associée aux niveaux de soutien organisationnel et social des camarades et des superviseurs. Néanmoins, tant l'intelligence émotionnelle que le soutien organisationnel des camarades et des superviseurs ont été associés de manière positive et significative à l'engagement des enseignants. De plus, les analyses de modération ont montré que les effets principaux de l'intelligence émotionnelle et du soutien social des camarades - sans y inclure les superviseurs - expliquent la variance des niveaux d'engagement des enseignants. Finalement, l'interaction entre les deux ressources, celui personnel - l'intelligence émotionnelle - et celui professionnel - le soutien aussi bien de camarades que des superviseurs -, ajoute une variance incrémentale à l'explication des niveaux d'engagement. En général, nos résultats indiquent clairement que les autorités éducatives devraient entreprendre des efforts à la conception de programmes dans le domaine de l'intelligence émotionnelle pour les enseignants et elles devraient assurer des environnements de travail promouvant des conditions de travail positives et favorisant le développement de l'engagement parmi les enseignants.
Mots-clés: intelligence émotionnelle, soutien organisationnel et social, enseignants, engagement au travail.
Introducción
La literatura científica ha demostrado que la docencia y los estresores crónicos asociados al contexto educativo pueden llegar a deteriorar tanto la salud como el bienestar personal y laboral de los profesionales de la enseñanza (Siu, Cooper & Phillips, 2014; Spilt, Koomen & Thijs, 2011). En este sentido, es relevante señalar la gravedad de las consecuencias organizacionales negativas, el desajuste psicológico y el malestar docente -bajas laborales, absentismo, elevado gasto en sustituciones o abandono de la profesión-, así como los efectos adversos -actitud despersonalizada con los alumnos, falta de implicación, menor interés en las relaciones positivas en clase-, que influyen, en último término, sobre los logros de los objetivos educativos y de aprendizaje del alumnado (Siu et al., 2014; Torenbeek & Peters, 2017).
Como resultado del impacto de los estresores y las demandas asociadas a la enseñanza, los profesionales docentes a menudo sufren un deterioro significativo en su ajuste psicológico, lo cual produce de forma paralela dos fenómenos característicos recogidos en el modelo de demandas y recursos laborales [DRL] (Bakker & Demerouti, 2017). Estos procesos tienen que ver tanto con el deterioro de la salud, que llevaría a niveles más elevados de síndrome de estar quemado [burnout], como a nivel motivacional, que podría llevar a menores niveles de ilusión por el trabajo [engagement], los cuales afectan los niveles de bienestar ocupacional y motivación laboral. Cada vez existe mayor evidencia de estos dos procesos con muestras docentes (Taris, Leisink & Schaufeli, 2017).
Por un lado, el síndrome de burnout es una respuesta al estrés laboral crónico integrada por tres síntomas básicos: cansancio emocional, despersonalización y baja realización personal. Este síndrome supone un estado mental negativo, persistente y vinculado al trabajo, que se caracteriza por agotamiento emocional, distrés, sentimientos de reducida competencia, escasa motivación y actitudes disfuncionales en el trabajo (Maslach, 2003). Por otro lado, en el contexto docente se ha examinado el lado opuesto del burnout: el engagement (Mérida-López, Extremera & Rey, 2017; Rey, Extremera & Pena, 2012). Este constructo es entendido como un estado motivacional positivo y persistente relacionado con el trabajo e integrado por las dimensiones de vigor, dedicación y absorción (Schaufeli, Salanova, González-Romá & Bakker, 2002). El engagement es un factor clave en la promoción de la salud y el bienestar de los profesionales, debido a sus efectos sobre el ajuste psicológico, la satisfacción laboral, el compromiso organizacional, el rendimiento o los comportamientos prosociales en el trabajo (Bakker, Demerouti & Sanz-Vergel, 2014).
El concepto de engagement representa un enfoque novedoso dentro de la psicología del trabajo y las organizaciones que supone un acercamiento integrador y que ha permitido desarrollar modelos teóricos que integran los factores facilitadores y de riesgo de la salud, la motivación y el bienestar ocupacional (Bakker & Demerouti, 2017). Su aplicación al ámbito docente implicaría examinar las experiencias positivas de los profesores y las condiciones favorecedoras de bienestar tanto de los propios profesores como del centro de enseñanza (Guglielmi, Bruni, Simbula, Fraccaroli & Depolo, 2016).
El modelo DRL ha puesto de manifiesto que tanto el engagement como el burnout docente tienen antecedentes y consecuentes diferenciales (Bakker et al., 2014). Por ejemplo, en el proceso de inicio y mantenimiento del burnout se encuentran unas elevadas demandas laborales que pueden provocar deterioro en la salud del trabajador, así como resultados organizacionales negativos -bajas, absentismo o rotaciones-. El engagement, por su parte, se relaciona más significativamente con la disponibilidad de recursos para el trabajador y su mantenimiento favorece un mayor compromiso y mejores resultados organizacionales.
En el ámbito docente existe un creciente interés, tanto teórico como práctico, de ampliar nuestra comprensión de las causas y procesos que llevan a los docentes a mostrarse más ilusionados con su trabajo, con el objetivo de desarrollar programas de intervención dirigidos a incrementar el bienestar y el compromiso docente (Robertson & Cooper, 2010). Mientras que los factores que llevan al síndrome de burnout docente han sido tradicionalmente investigados -se ha evidenciado el papel específico de ciertos déficits emocionales en su aparición, desarrollo y mantenimiento (Mérida-López & Extremera, 2017)-, los estudios sobre el papel de los recursos personales y laborales que influyen en el engagement docente, dada su novedad como constructo, son mucho más escasos.
Existen evidencias del papel de ciertos recursos personales como la autoeficacia o el optimismo sobre los niveles de engagement (Bakker & Demerouti, 2017). Sin embargo, existe un amplio interés por examinar las habilidades que usan los docentes para procesar las emociones que experimentan en clase y cómo dichos estados emocionales se relacionan con un funcionamiento más eficaz en entornos educativos (Vesely-Maillefer, Vangelis, Saklofske & Leschied, 2018). De hecho, el estudio del uso adecuado de las habilidades de percepción, comprensión y regulación emocional ha dado lugar al desarrollo de un marco teórico sobre el constructo de inteligencia emocional [IE] y sus aplicaciones a diversos campos, entre ellos, el ámbito educativo (Vesely-Maillefer et al., 2018).
La definición de IE más aceptada por la comunidad científica es la de habilidad para percibir, asimilar, comprender y regular las emociones propias y las de otras personas (Mayer, Caruso & Salovey, 2016; Mayer & Salovey, 1997). De acuerdo con la extensa literatura actual, aquellas personas que disponen de estas habilidades emocionales realizan un mejor procesamiento y asimilación de la información emocional producida por los sucesos vitales cotidianos, lo cual favorece una regulación emocional más adaptativa y mayores niveles de crecimiento personal y bienestar (Brackett, Rivers & Salovey, 2011). El modelo de habilidad de IE ha recibido amplio aval científico en las últimas tres décadas. Existe abundante evidencia de su relación con indicadores de salud y bienestar personal y ocupacional más allá de variables clásicas como inteligencia cognitiva, factores de personalidad u otros recursos (Lopes, 2016; Mayer et al., 2016). Además, existen diversos estudios con resultados positivos del entrenamiento de las habilidades de IE para la mejora de la salud y el bienestar en contextos tanto laborales (Mattingly & Kraiger, 2019) como específicamente docentes (Vesely-Maillefer & Saklofske, 2018).
En esta última década se han explorado ampliamente los vínculos entre IE y el desarrollo de actitudes laborales más positivas. Los resultados meta-analíticos han puesto de manifiesto el importante papel que las habilidades emocionales ejercen sobre diversas actitudes laborales como la satisfacción laboral, el compromiso organizacional o las rotaciones (Miao, Humphrey & Qian, 2017), así como su influencia positiva sobre el rendimiento (O'Boyle, Humphrey, Pollack, Hawver & Story, 2011). Sin embargo, el análisis de la relación entre habilidades emocionales y engagement ha sido escasamente abordado en comparación con otros recursos personales como la autoeficacia o el optimismo, los cuales han recibido mayor atención en la revisión del modelo DRL (Bakker & Demerouti, 2017).
Pese a ello, existen estudios recientes con resultados prometedores sobre el papel de las habilidades emocionales en dicho marco teórico. Por ejemplo, algunos trabajos han examinado los vínculos entre habilidades emocionales y demandas en relación con el engagement docente (Mérida-López et al., 2017). También se han mostrado evidencias sobre las relaciones entre IE, engagement y satisfacción laboral en muestras multiocupacionales (Extremera, Mérida-López, Sánchez-Álvarez & Quintana-Orts, 2018). Además, se ha encontrado apoyo empírico sobre el papel interactivo de ciertos recursos laborales y habilidades emocionales para predecir actitudes personales y laborales más positivas (Mérida-López, Extremera, Quintana-Orts & Rey, 2019). En resumen, estas investigaciones preliminares sirven como punto de partida para profundizar en las relaciones entre recursos personales y laborales que explican los niveles de bienestar, en específico, en una muestra de profesionales de la enseñanza.
Existen diferentes razones teóricas para justificar la influencia de un recurso personal como la IE en el engagement docente. En concreto, diversas investigaciones empíricas sugieren la importancia de los constructos de carácter afectivo debido a los vínculos de las emociones con el bienestar de los empleados y su rendimiento laboral (Ashkanasy & Dorris, 2017). Dado que los recursos emocionales están positiva y significativamente asociados al desarrollo de actitudes positivas (Miao et al., 2017) y de rendimiento laboral (O'Boyle et al., 2011), es probable que estos recursos ayuden a favorecer la aparición de engagement en el trabajo, tanto por su faceta intrapersonal, que implica una mayor automotivación y esfuerzo por realizar su trabajo, como por su faceta interpersonal, que permite tener interacciones más efectivas con sus iguales y supervisores y, consecuentemente, ayuda a sentirse más realizado con el trabajo y mantener un desempeño docente óptimo (Durán, Extremera & Rey, 2004). De hecho, investigaciones previas han confirmado los vínculos empíricos entre IE y engagement en muestras laborales (Akhtar, Boustani, Tsivrikos & Chamorro-Premuzic, 2015; Extremera et al., 2018), y específicamente en muestras con profesionales de la enseñanza (Pena & Extremera, 2012).
El apoyo organizacional es un recurso laboral que se deriva de las relaciones interpersonales dentro de la organización, que implica el intercambio de información o ayuda dentro de la organización y como resultado lleva a la persona a sentirse valorada y atendida (Bakker & Demerouti, 2017). La literatura ha mostrado el papel del apoyo social de la organización como un recurso laboral efectivo para reducir los niveles de burnout, a través de sus efectos principales y moderadores (Halbesleben, 2006). En concreto, el apoyo social de compañeros y supervisores se ha relacionado negativamente con el burnout (Ju, Lan, Li, Feng & You, 2015) y positivamente con el bienestar ocupacional (Mérida-López et al., 2019).
De acuerdo con el modelo teórico de Côté (2014) sobre las aplicaciones de la IE en las organizaciones, se plantea que este recurso personal podría interactuar con factores organizacionales -demandas o recursos-, al acentuar o atenuar los efectos de estos factores sobre indicadores de motivación o actitudes positivas en el trabajo -como el engagement-. Diferentes autores señalan que el análisis integrador de factores personales y contextuales resulta indispensable para avanzar en los retos actuales de salud y bienestar laboral (Côté, 2014; Lopes, 2016). No obstante, aún no se ha explorado el posible rol interactivo de un recurso personal -IE- y un recurso laboral -apoyo organizacional de compañeros y supervisores- para predecir los niveles de engagement en una muestra de profesionales de la enseñanza.
Por tanto, el objetivo de esta investigación es analizar el papel conjunto de las habilidades de IE de los docentes junto con el apoyo organizacional recibido por compañeros y supervisores como recursos predictores de engagement. De acuerdo con este modelo, si ambos recursos favorecen conjuntamente mayores niveles de ilusión por el trabajo docente más allá de sus posibles efectos principales, tal hallazgo podría tener implicaciones prácticas para la gestión de los recursos, la selección, el reclutamiento y la formación del profesorado.
Metodología
Instrumentos.
Inteligencia emocional.
Para evaluar la IE se utilizó la versión en español del Wong and Law Emotional Intelligence Scale [WLEIS] (Wong & Law, 2002, validada por Extremera, Rey & Sánchez-Álvarez, 2019). Esta escala es una medida de autoinforme, y por tanto se diferencia de aquellos instrumentos de ejecución que evalúan habilidades emocionales (Extremera, Fernández-Berrocal, Mestre & Guil, 2004). Está compuesta por 16 ítems con una escala tipo Likert de 7 puntos y evalúa el nivel de IE percibido. Los estudios sobre su estructura factorial han encontrado cuatro factores con 4 ítems cada uno: evaluación de las propias emociones o percepción intrapersonal, evaluación de las emociones de los demás o percepción interpersonal, uso de las emociones o asimilación y regulación de las emociones. La consistencia interna de cada una de ellas es 0,87, 0,90, 0,84 y 0,83 respectivamente. La adaptación al español ha mostrado propiedades psicométricas satisfactorias (Extremera et al. 2019). En este estudio la fiabilidad fue de 0,94.
Apoyo social organizacional.
El Copenhagen Psychosocial Questionnaire II (Pejtersen, Kristensen, Borg & Bjorner, 2010) incluye dos subescalas de 3 ítems cada una que evalúan el apoyo percibido por los compañeros y por los supervisores en el centro de trabajo, utilizando una escala Likert de 5 puntos -por ejemplo: "¿tus compañeros o compañeras están dispuestos a escuchar tus problemas en el trabajo?" o "¿recibes ayuda y apoyo de tu inmediato/a superior?"-. Las puntuaciones son sumadas y recodificadas. Altas puntuaciones indican mayor apoyo social recibido por compañeros y supervisores. En el presente estudio utilizamos la versión española de este instrumento (Moncada et al., 2014), que ha mostrado adecuadas propiedades psicométricas. El coeficiente Alpha de Cronbach en este estudio fue de 0,93 y 0,91 para apoyo social de compañeros y de supervisores, respectivamente.
Engagement.
La evaluación de este constructo se realizó a través de una adaptación de la versión breve de 9 ítems de la adaptación al español de la Utrecht Work Engagement Scale [UWES-9] (Schaufeli, Bakker & Salanova, 2006). Este instrumento evalúa tres dimensiones: vigor, dedicación y absorción, evaluadas mediante una escala de respuesta tipo Likert de 7 puntos. La sumatoria de estas dimensiones permite obtener una puntuación total de engagement, la cual fue utilizada en este estudio. En este estudio, el Alpha de Cronbach para la puntuación total de engagement fue de 0,90.
Participantes.
La muestra estuvo compuesta por 110 docentes de diferentes centros educativos españoles. El 80% era de centros de educación secundaria y el 20% de educación primaria. En cuanto al género, 44 participantes fueron varones -40%- y 66 mujeres -60%-. El rango de edad osciló entre 24 y 60 años, y la media de edad de la muestra fue 44 años. La antigüedad media en el cuerpo docente fue de 14,81 años (DT= 9,54). Casi en su totalidad -83,1%-, los docentes ejercían su profesión en centros educativos de titularidad pública. En cuanto a su nivel laboral, la muestra estuvo compuesta en un 58,7% por personal funcionario. Finalmente, en cuanto al nivel de formación, el 25% de los encuestados informó poseer una diplomatura, seguido de licenciatura -62%- y otros estudios -13%-.
Procedimiento.
Se utilizó un muestreo incidental no aleatorio basado en aquellos docentes que, de forma voluntaria, quisieron participar en nuestro estudio. Estudiantes universitarios hicieron llegar las encuestas a los centros educativos, para explicar el propósito del estudio y su carácter individual, voluntario y confidencial. Una vez completadas las encuestas, los estudiantes las remitieron al equipo docente para su tratamiento estadístico.
Análisis de datos.
Primero, se calcularon los estadísticos descriptivos -media y desviación típica-, así como las correlaciones entre las variables objeto de estudio. Segundo, para analizar la posible interacción de IE y apoyo social organizacional sobre el engagement docente, se llevaron a cabo análisis de moderación a través de la macro PROCESS de Hayes (2013). En todos los análisis se controlaron sexo, edad y antigüedad en el cuerpo docente.
Resultados
Análisis descriptivos y correlacionales.
Las medias, desviaciones típicas y los coeficientes de fiabilidad junto con los análisis correlaciones de las variables examinadas en este estudio se presentan en la tabla 1.

Se hallaron correlaciones significativas y positivas entre IE y engagement docente. De forma similar, se encontraron relaciones significativas y positivas entre apoyo social de compañeros y supervisores y engagement. Finalmente, no se encontraron relaciones estadísticamente significativas entre IE y apoyo social de compañeros y supervisores.
Análisis de regresión jerárquica moderada.
Para examinar los vínculos entre IE y apoyo social de compañeros y supervisores como predictores conjuntos de los niveles de engagement docente, empleamos la macro SPSS de PROCESS (Hayes, 2013). Esta macro ejecuta una serie de regresiones lineales en el cual se tipifica y se centra el término de interacción de IE y apoyo social -de compañeros y de supervisores-como predictores del engagement. Así, esta macro permite que todas las variables continuas se centren con la intención de reducir problemas potenciales de multicolinealidad. Siguiendo los estándares habituales, usamos el procedimiento bootstrapping con 5000 repeticiones para estimar los intervalos de confianza del 95% y verificar el efecto moderador del apoyo social de compañeros (Hayes, 2013). Dentro de estos análisis, cada producto en la ecuación tiene su propio valor significativo individual y se proporciona un valor para la interacción final que indica si la cantidad de varianza explicada por la interacción es significativa y explica más allá de los efectos principales de las variables predictoras (tabla 2). Posteriormente, se estiman los efectos condicionales tomando una desviación estándar por encima y por debajo de la media en la variable moderadora -apoyo organizacional de compañeros y apoyo organizacional de supervisores- para determinar si la recta de regresión simple es estadísticamente significativa para bajo apoyo (-1 DT), medio apoyo y alto apoyo (+1 DT). Finalmente, se calcula el estadístico de tamaño del efecto (f2) para examinar la varianza única explicada por la interacción entre las variables predictoras. Para ello, se siguieron las directrices basadas en los hallazgos de Aguinis, Beaty, Boik y Pierce (2005) para determinar efectos moderacionales pequeños (f2= 0,005), medios (f2= 0,01) o grandes (f2= 0,025).

Resultados del modelo de IE por apoyo social de compañeros.
El modelo completo, que incluye covariables, variables principales y el producto de interacción, explicó un 34% de la varianza en engagement docente (R2= 0,34, F(6,102)= 9,02, p < 0,01). Los efectos principales tanto de IE (p < 0,01) como de apoyo social de compañeros (p<0,01) fueron significativos para explicar el engagement de los docentes. Finalmente, se encontró un efecto de interacción significativo (p < 0,01) entre IE y apoyo social de compañeros que explicó una cantidad de varianza adicional de 7% (cambio en R2= 0,074). De acuerdo con Aguinis et al. (2005), esta interacción explicó un efecto de tamaño grande (f2= 0,08) de la varianza en engagement docente (tabla 2).
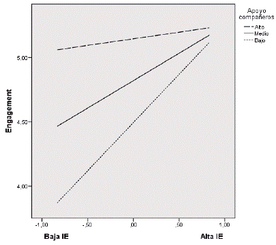
Para ilustrar los efectos de interacción entre IE y apoyo social de compañeros en la explicación de los niveles de engagement docente, se representó la gráfica de regresión de IE sobre engagement docente para niveles altos, medios y bajos de apoyo social de compañeros siguiendo el procedimiento descrito por Hayes (2013). Como se aprecia en la figura 1, cuando los niveles de apoyo de los compañeros eran altos, la recta de regresión no fue significativa y no había diferencias en engagement entre docentes con alta y baja IE [(b = 0,10), t(0,76), p = 0,44]. No obstante, la recta de regresión fue significativa cuando los niveles de apoyo de compañeros eran medios [(b= 0,42), t (4,29), p < 0,001] y bajos [(b= 0,75), t (5,38), p < 0,001]. En concreto, a niveles medios o bajos de apoyo de compañeros, el hecho de informar baja IE se asociaba con puntuaciones significativamente más bajas en engagement que con alta IE.

Resultados del modelo de IE por apoyo social de supervisores.
El modelo total explicó un 27% de la varianza en engagement docente (R2= 0,27, F(6,102)= 6,42, p < 0,01). Los efectos principales tanto de IE (p < 0,01) como de apoyo social de supervisores (p < 0,05) fueron significativos para explicar el engagement docente. Finalmente, se encontró un efecto de interacción significativo (p < 0,05) entre IE y apoyo social de supervisores que explicaba una cantidad de varianza adicional de 4,7% en engagement docente (cambio en R2= 0,047). De acuerdo con Aguinis et al. (2005)), esta interacción explicó un efecto de tamaño grande (f2= 0,049) de la varianza en engagement (tabla 2).
Para ilustrar los efectos de interacción entre IE y apoyo social de supervisores para explicar los niveles de engagement docente, se representó la gráfica de regresión de IE sobre engagement para niveles altos, medios y bajos de apoyo social de supervisores. Como se muestra en la figura 2, cuando los niveles de apoyo de supervisores eran altos, la recta de regresión no fue significativa y no había diferencias en engagement entre docentes con alta y baja IE [(b= 0,08), t (0,51), p = 0,61]. No obstante, la recta de regresión fue significativa cuando los niveles de apoyo de supervisores eran medios [(b= 0,38), t (3,61), p < 0,001] y altos [(b= 0,67), t (4,57), p < 0,001]. En concreto, a niveles medios o bajos de apoyo de supervisores, informar baja IE se asociaba con puntuaciones significativamente más bajas en engagement que cuando la IE era alta.

Discusión
Este estudio amplía trabajos previos en la literatura sobre recursos personales y laborales, al analizar los antecedentes del engagement en el sector educativo. En concreto, el presente estudio examinó el papel conjunto de dos recursos, uno personal -IE- y otro laboral -apoyo percibido de compañeros y supervisores- para explicar los niveles de engagement docente en una muestra de profesionales españoles de enseñanza primaria y secundaria.
En relación con las correlaciones entre IE y apoyo social de compañeros y supervisores, encontramos que la IE se relacionó positiva y significativamente con los niveles de engagement docente, en línea con investigaciones previas (Mérida-López et al., 2017; Pena & Extremera, 2012). Igualmente, los niveles de apoyo, tanto de compañeros como de supervisores, se asociaron significativa y positivamente con mayores niveles de engagement, en línea con estudios anteriores con docentes (Minghui, Lei, Xiaomeng & Potmesilc, 2018). Estos resultados ponen de manifiesto que los docentes que trabajan en ambientes laborales percibidos como más colaborativos experimentan mayores niveles de ilusión y dedicación relacionados con su trabajo.
Aunque la IE y el apoyo organizacional no mostraron asociaciones significativas entre sí, ambas interactuaron para predecir niveles diferenciales de engagement docente. Nuestros análisis de moderación mostraron que aquellos docentes con mayores niveles de engagement fueron los que informaron mayores niveles de IE y de mayor apoyo percibido de compañeros y de supervisores. En concreto, cuando los niveles de apoyo organizacional tanto de compañeros como de supervisores eran bajos o medios, la asociación entre IE y engagement era más fuerte que entre aquellos docentes que mostraban altos niveles de apoyo de compañeros y supervisores. De acuerdo con la teoría de conservación de recursos (Hobfoll, 2002), una explicación de estos hallazgos sería que la falta de recursos laborales, tal como los bajos niveles de apoyo de compañeros y supervisores, podría llevar a una mayor importancia de los recursos personales y emocionales. Es decir, nuestros resultados sugieren que tener IE se asociaría más intensamente con el engagement docente en ambientes percibidos como menos colaborativos o con menor sensación de apoyo de compañeros y supervisores.
Limitaciones.
A pesar de estos hallazgos, este trabajo presenta algunas limitaciones. Primero, la muestra es relativamente pequeña y se utilizó un muestreo incidental con partición voluntaria. Para generalizar nuestros hallazgos, futuros trabajos deberían confirmar este diseño con muestras más amplias y aleatorizadas. Segundo, el uso de cuestionarios auto-informados para evaluar las variables objeto de estudio puede conllevar la presencia de ciertos sesgos de evaluación entre los docentes, tales como la deseabilidad social o el problema de varianza compartida entre las medidas. En futuras investigaciones se deberían utilizar otros instrumentos de IE como las pruebas de ejecución -el MSCEIT (Mayer, Salovey, Caruso & Sitarenios, 2003)- o bien combinar escalas con indicadores laborales más objetivos -número de rotaciones en el centro, bajas médicas o visitas al centro de salud, entre otros-. Tercero, el uso de un diseño transversal no permite determinar la direccionalidad de las relaciones causales entre las variables. Así, futuros trabajos de naturaleza prospectiva ayudarían a clarificar y constatar las relaciones propuestas y conocer el impacto de los recursos personales y laborales en los niveles de engagement docente a lo largo del curso académico. Finalmente, examinar el papel de otros recursos personales como la autoeficacia docente podría ser una línea de investigación muy relevante para comprobar si interactúa con la IE para la predicción del engagement. Estas consideraciones abren futuras líneas que aumentarían el grado de generalización de nuestros hallazgos.
Implicaciones prácticas.
A efectos de intervención, nuestros resultados sugieren que aquellos docentes que perciban niveles bajos de apoyo organizacional podrían paliar, en parte, los posibles efectos negativos que ello tendría sobre sus niveles de ilusión profesional mediante el desarrollo de habilidades de IE. Estos hallazgos preliminares son consistentes con el efecto amortiguador de los recursos personales en ausencia de recursos en el trabajo, de acuerdo con el modelo DRL (Bakker & Demerouti, 2017). Aunque el apoyo social de compañeros y supervisores en el centro educativo está asociado con mayores niveles de engagement docente, parece que los niveles de IE podrían tener también un peso importante para incrementar la ilusión docente. Por tanto, nuestros resultados sugieren la necesidad de incorporar estrategias relacionadas con la creación de ambientes positivos y de apoyo en los centros educativos (Salanova, Llorens, Acosta & Torrente, 2013), así como el entrenamiento en habilidades emocionales entre los docentes (Vesely-Maillefer et al., 2018) en programas multifacéticos de formación del profesorado como forma de conseguir un mayor incremento del engagement.
Debido a que las habilidades emocionales son consideradas un recurso personal clave en la promoción del bienestar personal, académico y laboral en muestras preocupacionales (Parker, Taylor, Keefer & Summerfeldt, 2018) y profesionales (Côté, 2014), el entrenamiento en la formación docente resulta una línea prometedora. Dichos programas permitirían complementar la formación técnica de los futuros profesionales no solo con el fin de prevenir problemas de estrés, desmotivación e intención de abandono, sino para fomentar tanto el bienestar personal como profesional mediante el desarrollo y la gestión de las emociones negativas asociadas al estrés y la creación de redes sociales eficaces de apoyo entre compañeros y dirección en los centros educativos. Este enfoque positivo de prevención primaria ayudaría a solventar posibles consecuencias organizacionales y personales más negativas -como bajas o rotaciones-.
Indudablemente, las nuevas realidades educativas desencadenadas por los cambios sociales en estas décadas requieren necesariamente cambios y adaptaciones en las competencias a desarrollar durante la formación del profesorado. El docente se perfila como el eje central de la comunidad educativa y, por tanto, juega un papel protagonista en los procesos de enseñanza y de relaciones interpersonales con los diferentes agentes del proceso educativo. Así, la capacidad de trabajo en equipo, la comunicación efectiva, las habilidades de liderazgo, la motivación en el aula, la creatividad, la toma de decisiones rápida o la necesidad de vivir en sociedades complejas y diversas requieren de altas dosis de competencias socioemocionales. Ante estas múltiples demandas sociales y educativas impuestas por la sociedad del conocimiento es necesario un reajuste en la formación inicial del profesorado (Vesely-Maillefer & Saklofske, 2018). Además, la desobediencia, las agresiones, las amenazas, el enfrentamiento con la familia, los problemas con el sistema escolar y la pérdida de autoridad han llevado a los profesores al límite de su resistencia. La dotación de recursos y habilidades socioemocionales para su afrontamiento pueden ser una posible respuesta ante la aparición del desgaste profesional o la falta de ilusión docente (Vesely-Maillefer et al., 2018).
En las últimas dos décadas, la formación en habilidades y competencias socioemocionales en los docentes ha surgido como una posible herramienta cuya implementación y desarrollo podría facilitar un mayor desempeño docente (Palomera, Briones, Gómez-Linares & Vera, 2017). Los estudios que han evaluado el nivel de competencia emocional en docentes encuentran que, por regla general, los profesores no se perciben con una alta capacidad emocional (Palomera, Gil-Olarte & Brackett, 2006). En línea con nuestros hallazgos, dado que las habilidades emocionales y los climas de trabajo colaborativo son recursos con importantes beneficios, no solo para el bienestar del profesorado sino con impacto sobre los resultados de aprendizaje del alumnado, la formación de los docentes debería contemplar contenidos específicos dedicados al desarrollo de estos recursos.
Referencias
Aguinis, H., Beaty, J., Boik, R., & Pierce, C. (2005). Effect size and power in assessing moderating effects of categorical variables using multiple regression: A 30-year review. Journal of Applied Psychology, 90(1), 94-107. https://doi.org/10.1037/0021-9010.90.194
Akhtar, R., Boustani, L., Tsivrikos, D., & Chamorro-Premuzic, T. (2015). The engageable personality: Personality and trait EI as predictors of work engagement. Personality and Individual Differences, 73, 44-49. https://doi.org/10.1016/j.paid.2014.08.040
Ashkanasy, N., & Dorris, A. (2017). Emotions in the Workplace. Annual Review of Organizational Psychology and Organizational Behavior, 4, 67-90. https://doi.org/10.1146/annurev-orgpsych-032516-113231
Bakker, A., & Demerouti, E. (2017). Job demands-resources theory: Taking stock and looking forward. Journal of Occupational Health Psychology, 22(3), 273-285. https://doi.org/10.1037/ocp0000056
Bakker, A., Demerouti, E., & Sanz-Vergel, A. (2014). Burnout and work engagement: The JD-R approach. Annual Review of Organizational Psychology and Organizational Behavior, 1(1), 389-411. https://doi.org/10.1146/annurev-orgpsych-031413-091235
Brackett, M., Rivers, S., & Salovey, P. (2011). Emotional intelligence: Implications for personal, social, academic, and workplace success. Social and Personality Psychology Compass, 5(1), 88-103. https://doi.org/10.1111/j.1751-9004.2010.00334.x
Côté, S. (2014). Emotional intelligence in organizations. Annual Review of Organizational Psychology and Organizational Behavior, 1, 459-488. https://doi.org/10.1146/annurev-orgpsych-031413-091233
Durán, A., Extremera, N., & Rey, L. (2004). Self-reported emotional intelligence, burnout and engagement among staff in services for people with intellectual disabilities. Psychological Reports, 95(2), 386-390. https://doi.org/10.2466/pr0.95.2.386-390
Extremera, N., Fernández-Berrocal, P., Mestre, J., & Guil, R. (2004). Medidas de evaluación de la inteligencia emocional. Revista Latinoamericana de Psicología, 36(2), 209-228.
Extremera, N., Mérida-López, S., Sánchez-Álvarez, N., & Quintana-Orts, C. (2018). How does emotional intelligence make one feel better at work? The mediational role of work engagement. International Journal of Environmental Research and Public Health, 15(9), 19-09. https://doi.org/10.3390/ijerph15091909
Extremera, N., Rey, L., & Sánchez-Álvarez, N. (2019). Validation of the Spanish version of Wong Law Emotional Intelligence Scale (WLEIS-S). Psicothema, 31(1), 94-100. https://doi.org/10.7334/psicothema2018.147
Guglielmi, D., Bruni, I., Simbula, S., Fraccaroli, F., & Depolo, M. (2016). What drives teacher engagement: A study of different age cohorts. European Journal of Psychology of Education, 31(3), 323-340. https://doi.org/10.1007/s10212-015-0263-8
Hayes, A. (2013). Introduction to mediation, moderation, and conditional process analysis: A regression-based approach. New York: Guilford Press. https://doi.org/978-1-60918-230-4
Halbesleben, J. R. B. (2006). Sources of social support and burnout: A meta-analytic test of the conservation of resources model. Journal of Applied Psychology, 91(5), 1134-1145. http://doi.org/10.1037/0021-9010.91.5.1134
Hobfoll, S. (2002). Social and psychological resources and adaptation. Review of General Psychology, 6(4), 307-324. https://doi.org/10.1037/1089-2680.6.4.307
Ju, C., Lan, J., Li, Y., Feng, W., & You, X. (2015). The mediating role of workplace social support on the relationship between trait emotional intelligence and teacher burnout. Teaching and Teacher Education, 51, 58-67. https://doi.org/10.1016/j.tate.2015.06.001
Lopes, P. (2016). Emotional intelligence in organizations: Bridging research and practice. Emotion Review, 8(4), 316-321. https://doi.org/10.1177/1754073916650496
Maslach, C. (2003). Job Burnout. Current Directions in Psychological Science, 12(5), 189-192. https://doi.org/10.1111/1467-8721.01258
Mattingly, V., & Kraiger, K. (2019). Can emotional intelligence be trained? A meta-analytical investigation. Human Resource Management Review, 29(2), 140-155. https://doi.org/10.1016/j.hrmr.2018.03.002
Mayer, J., & Salovey, P. (1997). What is emotional intelligence? En P. Salovey & D. Sluyter (Eds.), Emotional development and emotional intelligence: Implications for educators (pp. 3-31). New York: Basic Books.
Mayer, J., Salovey, P., Caruso, D., & Sitarenios, G. (2003). Measuring emotional intelligence with the MSCEIT V2.0. Emotion, 3(1), 97-105. https://doi.org/10.1037/1528-3542.3.1.97
Mayer, J., Caruso, D., & Salovey, P. (2016). The ability model of emotional intelligence: Principles and updates. Emotion Review, 8(4), 290-300. https://doi.org/10.1177/1754073916639667
Mérida-López, S., & Extremera, N. (2017). Emotional intelligence and teacher burnout: A systematic review. International Journal of Educational Research, 85, 121-130. https://doi.org/10.1016/j.ijer.2017.07.006
Mérida-López, S., Extremera, N., & Rey, L. (2017). Contributions of work-related stress and emotional intelligence to teacher engagement: Additive and interactive effects. International Journal of Environmental Research and Public Health, 14(10), 11-56. https://doi.org/10.3390/ijerph14101156
Mérida-López, S., Extremera, N., Quintana-Orts, C., & Rey, L. (2019). In pursuit of job satisfaction and happiness: Testing the interactive contribution of emotion-regulation ability and workplace social support. Scandinavian Journal of Psychology, 60(1), 5-66. https://doi.org/10.1111/sjop.12483
Miao, C., Humphrey, R., & Qian, S. (2017). A meta-analysis of emotional intelligence and work attitudes. Journal of Occupational and Organizational Psychology, 90(2), 177-202. https://doi.org/10.1111/joop.12167
Minghui, L., Lei, H., Xiaomeng, C., & Potmesilc, M. (2018). Teacher efficacy, work engagement, and social support among Chinese special education school teachers. Frontiers in Psychology, 9, 648. https://doi.org/10.3389/fpsyg.2018.00648
Moncada, S., Utzet, M., Molinero, E., Llorens, C., Moreno, N., Galtés, A., & Navarro, A. (2014). The Copenhagen psychosocial questionnaire II (COPSOQ II) in Spain-A tool for psychosocial risk assessment at the workplace. American Journal of Industrial Medicine, 57(1), 97-107. https://doi.org/10.1002/ajim.22238
O'Boyle, E., Humphrey, R., Pollack, J., Hawver, T., & Story, P. (2011). The relation between emotional intelligence and job performance: A meta-analysis. Journal of Organizational Behavior, 32(5), 788-818. https://doi.org/10.1002/job.714
Palomera, R., Briones, E., Gómez-Linares, A., & Vera, J. (2017). Cubriendo el vacío: mejorando las competencias sociales y emocionales del profesorado en formación. Revista de Psicodidáctica, 22(2), 142-149. https://doi.org/10.1016/j.psicod.2017.05.002
Palomera, R., Gil-Olarte, P., & Brackett, M. (2006). ¿Se perciben con inteligencia emocional los docentes?. Posibles consecuencias sobre la calidad educativa. Revista de Educación, 341, 687-703.
Parker, J., Taylor, R., Keefer, K., & Summerfeldt, L. (2018). Emotional intelligence and post-secondary education: What have we learned and what have we missed?. En K. Keefer, J. Parker, & D. Saklofske (Eds.), Emotional intelligence in education: Integrating research with practice (pp. 427-452). Cham, Switzerland: Springer.
Pejtersen, J., Kristensen, T., Borg, V., & Bjorner, J. (2010). The second version of the Copenhagen Psychosocial Questionnaire. Scandinavian Journal of Public Health, 38(3), 8-24. https://doi.org/10.1177/1403494809349858
Pena, M., & Extremera, N. (2012). Inteligencia emocional percibida en el profesorado de Primaria y su relación con los niveles de burnout e ilusión por el trabajo (engagement). Revista de Educación, (359), 604-627. https://doi.org/10.4438/1988-592X-RE-2011-359-109
Rey, L., Extremera, N., & Pena, M. (2012). Burnout and Engagement in teachers: are sex and level taught important? Ansiedad y Estrés, 18(2-3), 119-129.
Robertson, I., & Cooper, C. (2010). Full engagement: the integration of employee engagement and psychological well-being. Leadership & Organization Development Journal, 31(4), 324-336. https://doi.org/10.1108/01437731011043348
Salanova, M., Llorens, S., Acosta, H., & Torrente, P. (2013). Positive Interventions in Positive Organizations. Terapia Psicológica, 31(1), 101-113. https://doi.org/10.4067/s0718-48082013000100010
Schaufeli, W., Bakker, A., & Salanova, M. (2006). The Measurement of Short Questionnaire: A Cross-National Study. Educational and Psychological Measurement, 66(4), 701-716. https://doi.org/10.1177/0013164405282471
Schaufeli, W., Salanova, M., González-Romá, V., & Bakker, A. (2002). The Measurement of Engagement and Burnout: A Two Sample Confirmatory Factor Analytic Approach. Journal of Happiness Studies, 3(1), 71-92. https://doi.org/10.1023/A:1015630930326
Siu, O. L., Cooper, C., & Phillips, D. (2014). Intervention studies on enhancing work well-being, reducing burnout, and improving recovery experiences among Hong Kong health care workers and teachers. International Journal of Stress Management, 21(1), 69-84. https://doi.org/10.1037/a0033291
Spilt, J., Koomen, H., & Thijs, J. (2011). Teacher Wellbeing: The Importance of Teacher-Student Relationships. Educational Psychology Review, 23(4), 457-477. https://doi.org/10.1007/s10648-011-9170-y
Taris, T., Leisink, P., & Schaufeli, W. (2017). Applying occupational health theories to educator stress: Contribution of the Job Demands-Resources model. En T. McIntyre, S. McIntyre, & D. Francis (Eds.), Educator stress, aligning perspectives on health, safety and well-being (pp. 237-259). Cham: Springer.
Torenbeek, M., & Peters, V. (2017). Explaining attrition and decreased effectiveness of experienced teachers: A research synthesis. Work, 57(3), 397-407. https://doi.org/10.3233/WOR-172575
Vesely-Maillefer, A., & Saklofske, D. (2018). Emotional intelligence and the next generation of teachers. En K. Keefer, J. Parker, & D. Saklofske (Eds.), Emotional intelligence in education: Integrating research with practice (pp. 377-402). Cham, Switzerland: Springer .
Vesely-Maillefer, A., Vangelis, E., Saklofske, D., & Leschied, A. (2018). Qualities of teacher effectiveness in delivering school-based mental health programs: The relevance of emotional intelligence. En A. Leschied, D. Saklofske, & G. Flett (Eds.), Handbook of school-based health promotion (pp. 167-184). Cham, Switzerland: Springer .
Notas