Artigos
A INFLUÊNCIA DA GOVERNANÇA CORPORATIVA E DOS MECANISMOS EXTERNOS DE CONTROLE NO TRADE-OFF ENTRE AS ESTRATÉGIAS DE GERENCIAMENTO DE RESULTADOS
THE INFLUENCE OF CORPORATE GOVERNANCE AND EXTERNAL CONTROL MECHANISMS IN TRADE-OFF AMONG RESULTS MANAGEMENT STRATEGIES
A INFLUÊNCIA DA GOVERNANÇA CORPORATIVA E DOS MECANISMOS EXTERNOS DE CONTROLE NO TRADE-OFF ENTRE AS ESTRATÉGIAS DE GERENCIAMENTO DE RESULTADOS
Revista Catarinense da Ciência Contábil, vol. 21, pp. 1-22, 2022
Conselho Regional de Contabilidade de Santa Catarina

Recepción: 25 Enero 2022
Revisado: 01 Abril 2022
Aprobación: 13 Junio 2022
Publicación: 05 Julio 2022
Resumo: O estudo teve por objetivo analisar a influência da governança corporativa (GC) e de mecanismos externos de controle no trade-off entre as estratégias de gerenciamento de resultados por accruals discricionários e por decisões operacionais. A amostra foi composta por 177 empresas listadas na B³. A governança corporativa foi investigada por meio do índice desenvolvido por Leal et al. (2015). O gerenciamento de resultados foi captado pelo modelo de Paulo (2007) no caso dos accruals discricionários, pelo modelo de Roychowdhury (2006) no caso das despesas operacionais e o teste de Vuong (1989) para o trade-off entre essas estratégias. O estudo amplia as investigações no âmbito do gerenciamento de resultados ao investigar se fatos endógenos (governança corporativa) e exógenos (mecanismos externos de controle) à empresa influenciam os gestores em suas opções por gerenciarem os resultados pelos accruals discricionários ou pelas decisões operacionais. Nos resultados, verificou-se que a governança corporativa e os mecanismos externos de controle influenciam no trade-off entre as estratégias de resultado. A presença destas variáveis levou os gestores a priorizarem a utilização do gerenciamento por meio dos accruals discricionários em detrimento do gerenciamento por meio das decisões operacionais. A pesquisa contribui com a literatura sobre gerenciamento de resultados ao detectar variáveis que influenciam nas decisões discricionárias dos gestores quanto a qual estratégia de gerenciamento utilizar, trazendo contribuições práticas ao sinalizar para os stakeholders que a governança e os mecanismos externos de controle são eficazes em seu papel de inibirem o gerenciamento de resultados.
Palavras-chave: Estrutura de Governança, Previsões de Analistas, Investidores Institucionais, Rating de Crédito, Teste de Voung.
Abstract: The objective of the study was to analyze the influence of corporate governance (CG) and external control mechanisms on the trade-off among results management strategies by discretionary accruals and by operational decisions. The sample consisted of 177 companies listed in B³. Corporate governance was investigated through the index developed by Leal et al. (2015). The results management was captured by Paulo’s model (2007) in the case of discretionary accruals, by the Roychowdhury’s model (2006) in the case of operational expenses and the Vuong’s test (1989) for the trade-off among these strategies. The study extends the investigations in the scope of results management by investigating whether endogenous (corporate governance) and exogenous (external control mechanisms) facts to the company influence the managers in their options by managing the results by discretionary accruals or operational decisions. In the results, it was verified that corporate governance and external control mechanisms influence the trade-off among the outcome strategies. The presence of these variables led managers to prioritize management utilization through discretionary accruals to the detriment of management through operational decisions. The research contributes to the literature on results management by detecting variables that influence the managers’ discretionary decisions as to which management strategy to use, bringing practical contributions to signaling to the stakeholders that governance and external control mechanisms are effective in their role of inhibiting results management.
Keywords: Governance Structure, Analysts’ Predictions, Institutional Investors, Credit Rating, Voung’s Test.
1 INTRODUÇÃO
O surgimento das grandes companhias de capital aberto trouxe consigo a pulverização da propriedade e o fortalecimento do poder dos gestores, o que demandou o desenvolvimento de mecanismos de controle que visam minimizar as possíveis atitudes oportunistas por parte da administração dessas empresas (Berle & Means, 1932). A Governança Corporativa (GC) é um mecanismo interno de controle que visa minimizar os conflitos de interesse entre acionistas e gestores ao aumentar a evidenciação das decisões dos gestores, resultando em maior transparência (Shleifer & Vishny, 1997;Blair, 1998;LaPorta, Lopez-De Silanes, Shleifer, & Vishny, 2000;Comissão de Valores Mobiliários, 2002;Silveira, 2004; Roe, 2005). Entretanto, a GC é um mecanismo imperfeito de monitoramento (Williamson, 1983,1984;Shleifer & Vishny, 1997;LaPorta et al., 2000), o que fomentou o desenvolvimento de mecanismos externos de controle que auxiliassem os acionistas em suas decisões de investimento, a exemplo das previsões de analistas, os investidores institucionais e os ratings de crédito.
As previsões dos analistas de mercado afetam o ambiente informacional, desempenhando informalmente um papel de monitoramento da qualidade das informações contábeis das companhias (Kothari, 2001;Dechow & Schrand, 2004;Martinez, 2004). Contudo, as previsões desses profissionais são sensíveis às expectativas do mercado, às circunstâncias econômicas e aos fatores políticos (Kothari, 2001;Martinez, 2004;Dalmácio, Lopes, Rezende & Sarlo Neto, 2013). Yu (2008) evidenciou que quanto maior a cobertura dos analistas, menor a manipulação dos resultados por parte dos gestores, efeito esse maximizado quando da presença de investidores institucionais no quadro acionário da empresa.
Investidores institucionais são entidades (podendo ser fundos de pensão, bancos de investimento, entre outros) que administram fundos captados de um grupo de pessoas com objetivos comuns e previamente definidos (Shleifer & Vishny, 1986; Bushee, 1997, 1998; Ferri & Soares, 2009; Elyasiani & Jia, 2010). Diferente dos investidores individuais, os investidores institucionais possuem mais recursos e incentivos para monitorar efetivamente as empresas (Shleifer & Vishny, 1986; Lev, 1988; Jiambalvo, Rajgopal & Venkatachalam, 2002). Todavia, ao estreitar relações comercias com a companhia, o investidor institucional pode vir a desenvolver alianças com os gestores, estando assim mais propenso a votar em apoio à administração em detrimento dos interesses dos investidores minoritários (Bushee, 1997; Elyasiani & Jia, 2010). Cardoso (2000) e Opp, Opp e Harris (2013) destacam que os investidores institucionais se utilizam de classificações elaboradas pelas agências de rating de crédito, tanto para complementar suas próprias análises internas quanto como benchmark para avaliação de quais ações irão compor seus fundos.
As agências de rating, sendo as principais delas a Standard & Poor's (S&P), a Moody’s e a Fitch, têm por objetivo avaliar a capacidade de pagamento do tomador de crédito, atribuindo uma classificação a cada empresa avaliada que vai de D para a nota mais baixa, até AAA para a nota mais alta (Cardoso, 2000; Sinclair, 2005; Vale, 2016). A disseminação mundial dos ratings possibilita aos emissores maior acesso a novos mercados e maior liquidez de seus papeis devido à confiança do investidor nas avaliações emitidas pelas agências (Cardoso, 2000). Entretanto, Brown, Chen e Kim (2015) verificaram que as empresas tendem a gerenciar seus resultados com o objetivo de melhorarem seus ratings de crédito, especialmente quando as empresas estão na chamada fronteira especulativa, isto é, entre as notas BBB e BB.
Os mecanismos de controle supracitados desempenham um papel informal de monitoramento da qualidade das informações contábeis divulgadas pelas empresas (Bushee, 1997, 1998; Dechow & Schrand, 2004; Bone, 2007). Por isso, vislumbra-se uma lacuna de pesquisa acerca da investigação da capacidade desses mecanismos de controle em identificarem e minimizarem o gerenciamento de resultados por parte dos gestores.
O gerenciamento de resultados pode ser realizado por meio dos accruals discricionários (AEM) ou por meio das decisões operacionais (REM) (Roychowdhury, 2006; Cohen & Zarowin, 2010; Gunny, 2010; Zang, 2012; Cupertino, 2013; Mota, 2018). Zang (2012) enfatiza que os gestores alternam entre as duas estratégias de forma preditiva (o que é chamado de trade-off), sendo que as investigar de forma isolada não leva a conclusões consistentes. Diante do exposto, o presente estudo tem por objetivo analisar a influência da Governança Corporativa e de Mecanismos Externos de Controle no trade-off entre as estratégias de gerenciamento de resultados por meio dos accruals discricionários e das decisões operacionais.
O estudo justifica-se ao analisar a GC por meio da construção de um índice que visa mensurar a qualidade da governança das empresas, sendo este índice construído com base nos formulários de referência. Foram analisadas todas as companhias listadas na bolsa de valores brasileira (B³), do período de 2010 a 2019, totalizando 3068 formulários de referência analisados. Ainda, este estudo inova ao investigar tanto mecanismos de controle internos (GC), como também mecanismos de controle que são externos à companhia (sendo eles as previsões de analistas, os investidores institucionais e os ratings de crédito) na detecção e minimização do gerenciamento de resultados, o que fornece uma visão mais holística a respeito de quais variáveis (ou conjunto de variáveis) são mais efetivas no monitoramento das atitudes oportunistas exercidas pelos gestores das empresas. Por fim, o estudo contribui para a literatura sobre gerenciamento de resultados ao analisar a alternância entre as estratégias de gerenciamento exercidas de forma preditiva pelos gestores das companhias, evidenciando a importância de não se limitar à análise dessas estratégias de gerenciamento de forma isolada.
2 REVISÃO DE LITERATURA
A mensuração da qualidade das práticas de GC das empresas auxilia os investidores ao evidenciar quais aspectos da governança são priorizados pelas companhias e quais merecem maiores investimentos (Silva & Leal, 2005;Claessens & Yurtoglu, 2013;Leal, Carvalhal, & Ievorlino, 2015;Black, Carvalho, Khanna, Kim, & Yurtoglu, 2020;Nsour & Al-Rjoub, 2022). Dessa forma, foram desenvolvidos modelos com o objetivo de mensurar a qualidade das práticas de GC, como o elaborado por Leal et al., (2015). O modelo dos autores é composto por 20 questões as quais o próprio pesquisador responde utilizando-se de dados secundários, atribuindo pontos à empresa, de forma que, quanto mais alta a pontuação da empresa, melhor são suas práticas de GC.
Estudos empíricos que utilizaram o modelo de Leal et al. (2015) investigaram sua influência no gerenciamento dos resultados, a exemplo do estudo de Kawai (2017). O autor evidenciou que os mecanismos internos de GC não foram suficientes para inibir o gerenciamento de resultados por meio dos accruals discricionários, sugerindo, então, a inclusão de mecanismos externos de controle nas investigações, tais como as previsões dos analistas, os investidores institucionais e os ratings de crédito. Esses mecanismos externos de controle são mais bem informados quando comparados com os investidores minoritários, exercendo assim um papel informal de monitoramento da qualidade das informações contábeis divulgadas pelas empresas (Bushee, 1997,1998;Dechow & Schrand, 2004;Bone, 2007)
Embora apresentem esses aspectos em comum, os mecanismos externos de controle possuem características próprias: ao elaborarem suas previsões sobre os resultados futuros, os analistas de mercado avaliam o desempenho das empresas, influenciando tanto no preço das ações das companhias como também na sua variabilidade (Kothari, 2001;Dechow & Schrand, 2004;Martinez, 2004); a presença de investidores institucionais torna as ações da empresa mais atraentes, entretanto, o valor das ações da empresa pode ficar relacionado às decisões de permanência desse tipo de investidor (Shleifer & Vishny, 1986;Bushee, 1997,1998;Elyasiani & Jia, 2010); ao avaliar a capacidade de pagamento do tomador de crédito, as agências de rating influenciam a tomada de decisão dos investidores, entretanto, dado que as companhias de capital aberto pagam para serem avaliadas, pode vir a ocorrer um conflito de interesse, dado que avaliações demasiadamente severas podem vir a afugentar os clientes dessas empresas de rating (Cardoso, 2000;Bhojraj & Sengupta, 2003;Sinclair, 2005;Vale, 2016). Dado essa característica de monitoramento exercida por esses mecanismos de controle, a literatura desenvolveu-se na investigação das relações entre esses mecanismos e o gerenciamento de resultados.
Estudos empíricos que investigaram a eficiência da GC na identificação e minimização do gerenciamento de resultados evidenciaram que quanto mais alta a qualidade da GC da empresa, menor o nível de gerenciamento de resultado (Dechow, Sloan & Sweeney, 1996;Martinez, 2010;Garven, 2015;Piosik & Genge, 2020). Os autores que analisaram a relação entre as previsões de analistas e o gerenciamento de resultado apontaram que quanto maior a cobertura dos analistas, menor o gerenciamento por meio dos accruals discricionários (Yu, 2008;Martinez, 2011), entretanto, para evitar um resultado contábil abaixo do previsto pelos analistas, as empresas gerenciam seus resultados por meio das decisões operacionais (Roychowdhury, 2006).
A literatura a respeito da relação entre investidores institucionais e o gerenciamento de resultados aponta que a presença desse tipo de investidor minimiza o gerenciamento tanto pelos accruals discricionários (Rajgopal, Venkatachalam & Jiambalvov, 1999;Hsu & Koh, 2005;Koh, 2007) quanto pelas decisões operacionais (Sakaki, Jackson & Jory, 2017;Gao, Shen, Li & Mao, 2020;Kałdoński,Jewartowski, & Mizerka, 2020). Os estudos empíricos que investigaram a relação entre o rating de crédito e o gerenciamento de resultados apontam que as empresas utilizam tanto o gerenciamento por meio dos accruals (Alissa, Bonsall, Koharki & Penn, 2013;Liu, Subramanyam, & Shi, 2018;Sibim, Campos & Colauto, 2018) como por meio das decisões operacionais (Alissa et al., 2013;Brown, Chen, & Kim, 2015;Zhang, 2020) para melhorarem suas classificações.
Dado que o gerenciamento de resultados pode ser realizado tanto pela manipulação dos accruals discricionários como pelas despesas operacionais, Zang (2012) alerta para o fato de que a investigação de uma dessas de forma isolada não leva a conclusões consistentes. O REM impacta o fluxo de caixa das organizações, o AEM, por sua vez, não apresenta necessariamente esse efeito, sendo que o REM é utilizado durante o exercício social da empresa, enquanto o AEM é realizado entre o fim do exercício social e a data de publicação das demonstrações financeiras (Graham, Harvey & Rajgopal, 2005;Roychowdhury, 2006;Cohen & Zarowin, 2010;Gunny, 2010;Badertscher, 2011; Zang, 2012;Cupertino, 2013).
Essa diferença temporal possibilita à gestão realizar o AEM após o encerramento do exercício com base nos resultados gerados por meio do REM aplicado durante o período (Zang, 2012). Isso torna o AEM atraente para os gestores, dado que quando esse tipo de gerenciamento é realizado, o montante necessário a ser manipulado para alcançar as metas de resultados estipuladas é conhecido (Gunny, 2010). Entretanto, Graham et al. (2005) e Badertscher (2011) argumentam que os gestores optam pelo REM por este ser menos propenso ao exame de auditores e reguladores. Os estudos empíricos nacionais que utilizaram a técnica de Zang (2012), a utilizaram em diferentes contextos, entretanto, em todos eles confirmou-se alternância entre as duas estratégias de gerenciamento de forma preditiva pelo gestor (Cupertino, 2013;Mota, 2018;Dani, 2019;Souza, 2019).
3 DESING METODOLÓGICO
O presente estudou teve uma população de 355 empresas de capital aberto listadas na bolsa de valores do Brasil (B³). O índice de Governança Corporativa (IGC) foi elaborado contemplando uma amostra com todas essas 355 empresas. Contudo, para investigar o gerenciamento de resultados, foi necessário retirar as empresas que não possuíam todos os dados necessários, assim como os outliers, resultando em uma amostra de 177 empresas. O recorte longitudinal compreende o período de 2010 a 2019, baseando suas investigações em dados secundários, utilizando como modelo econométrico os dados em painel. As variáveis independentes do estudo, ou seja, aquelas das quais almejou-se investigar sua influência no gerenciamento de resultados são: a governança corporativa, a acurácia na previsão de analistas, a presença de investidores institucionais e o rating de crédito.
A governança corporativa foi captada por meio do modelo desenvolvido por Leal et al. (2015). O modelo dos autores baseia-se na construção de um índice que visa mensurar a qualidade da GC da empresa. Esse índice é composto por 20 perguntas as quais o próprio pesquisador responde baseando-se em dados coletados dos formulários de referência e no site das empresas. Cada pergunta ganha uma pontuação de: 1 ponto para a resposta "sim"; 0,5 se atende parcialmente; e 0 se a resposta for "não". O índice então é calculado conforme a equação 1:
(1)
O modelo abrange 4 dimensões, sendo elas: o disclosure; a composição do conselho e o seu funcionamento; ética e conflitos de interesse; e direitos dos acionistas.
| Questão | Critério de Pontuação |
| Disclosure | |
| 1. A empresa divulga informações sobre suas políticas como também seus mecanismos estabelecidos para lidar com conflitos de interesse e/ou transações com partes relacionadas? | 0 se a empresa não divulga tais informações; 0,5 se divulga parcialmente; 1 se divulga de forma substancial. |
| 2. A empresa divulga separadamente os valores pagos aos executivos e aos conselheiros, como também separando a remuneração variável da fixa? | 0 se a empresa não apresenta nenhuma dessas duas separações em suas divulgações; 0,5 se apresenta apenas uma; 1 se apresenta as duas separações. |
| 3. A empresa apresentou algum parecer de auditor independente com ressalva nos últimos cinco anos? | 0 se sim; 1 se não. |
| 4. O site da empresa tem uma seção de relação com investidores que contém seu relatório anual? | 0 se não; 1 se sim. |
| 5. O site da empresa contém as apresentações realizadas para analistas financeiros? | Devendo as apresentações referir-se, pelo menos, ao último trimestre do ano anterior. 0 se não; 1 se sim. |
| 6. O Relatório Anual inclui uma seção específica dedicada à implementação de princípios de governança corporativa? | A informação deve ser substancial, não apresentando apenas a participação no conselho e estrutura de propriedade. 0 se não; 1 se sim. |
| Composição do Conselho e o seu Funcionamento | |
| 7. O presidente do conselho de administração e o CEO são pessoas diferentes? | 0 se não; 1 se sim. |
| 8. A empresa tem comitês que divulgam informações ao público, como estatuto da empresa, relatório anual, site, FR? | 0 se não; 1 se sim. |
| 9. O conselho é composto de conselheiros externos, com a exceção do CEO? | 0 se não; 1 se sim. |
| 10. O tamanho do conselho está entre 5 e 11 membros, conforme recomendação do Código das Melhores Práticas do IBGC? | 0 se não; 1 se sim. |
| 11. Os conselheiros têm mandatos de até dois anos consecutivos, conforme recomendação do Código das Melhores Práticas do IBGC? | 0 se não; 1 se sim. |
| Ética e Conflito de Interesse | |
| 12. O percentual de ações sem direito a voto é igual ou menor que 20%? | 0 se não; 1 se sim. |
| 13. O percentual de ações votantes do bloco de controle é igual ou menor do que a de todos os outros tipos de ações? | 0 se não; 1 se sim. |
| 14. Os empréstimos ao acionista controlador ou outras partes relacionadas são proibidos? | 0 se não; 1 se sim. |
| 15. O estatuto social facilita a participação do acionista em assembleias gerais por: a) não exigir anterior remessa de documentação que comprove a condição de acionista; e b) adota o princípio da boa-fé? | 0 se não atende nenhuma das duas condições; 0,5 se atende apenas uma; 1 se atende as duas condições. |
| Diretos dos acionistas | |
| 16. Pelo menos uma das afirmativas abaixo é verdadeira: a) a empresa admite um voto a cada ação, de qualquer tipo; b) a empresa concede o direito de voto aos acionistas não votantes nas decisões de maior impacto. | 0 se ações sem direito a voto não votam; 0,5 se a empresa reconhece o direito de voto às ações sem direito a voto em decisões de maior impacto ou se a empresa dá direito a voto, mas apresenta limites de voto por ações de acionistas ou tem golden shares; 1 concessão de uma ação, um voto. |
| 17. A empresa concede os direitos de oferta obrigatória, além do que é legalmente exigido? | 0 se nenhum direito além dos direitos legais for concedido; 0,5 se a empresa estende os direitos extras de oferta obrigatória para ações com ou sem direito a voto, mas não ambas; 1 se a empresa estende a oferta para ações com e sem direito a voto, se houver. |
| 18. O controle da empresa é direto? | 1 se o acionista controlador direto é um indivíduo, investidor institucional, entidade estrangeira, o estado ou uma companhia completamente possuída de um dos tipos de proprietário anterior; 0, caso contrário. |
| 19. Os acordos de acionistas abstêm-se de dirigir ou restringir o direito de voto de qualquer membro do conselho ou a partir de nomeação de algum administrador? | 0 se não; 1 se sim. |
| 20. O free float é igual ou superior a 25%, conforme exigido pela BM&FBovespa? | 0 se não; 1 se sim. |
A acurácia na previsão dos analistas foi mensurada através do erro de previsão, conforme utilizado nos estudos de Martinez (2004) e Dalmácio et al. (2013). Neste modelo, quanto menor o erro, mais acurada a previsão, conforme apresentado na equação 2.
(2)
Onde:
ErroDePrev: Erro de previsão;
LPAreal:Proxy: Lucro por ação real;
LPAprevisto: Lucro por ação médio, previsto a partir do consenso dos analistas.
O lucro por ação real das empresas foi captado na base Economática®, enquanto o lucro previsto a partir do consenso dos analistas foi coletado na base I/B/E/S® da Thomson ONE Analytics®. O erro de previsão dos analistas pode ser negativo ou positivo. Quando positivo, significa que o lucro real foi superior ao lucro previsto, ou seja, que a empresa superou o consenso da previsão dos analistas. Quando negativo, significa que a empresa não atingiu o consenso da previsão dos analistas. Desta forma, quanto mais próximo de zero, maior a acurácia da previsão e, quanto mais distante de zero, menos precisa foi a previsão.
A mensuração da presença de investidores institucionais (Investit) foi feita conforme realizada no estudo de Ferri e Soares (2009). Primeiramente, levantou-se os três maiores acionistas de cada empresa, sendo essa informação coletada na base Economática®. Em seguida, utilizou-se as bases do site da CVM, da Superintendência de Seguros Privados (SUSEP) e da Previdência Social para identificar quais desses investidores são institucionais. Então, construiu-se uma variável dummy, recebendo "1" para o caso de haver um ou mais investidores institucionais dentre os três maiores investidores da empresa e "0" para o caso contrário.
Por fim, o rating de crédito teve sua mensuração baseada na classificação elaborada no estudo de Miiller e Martinez (2016). A classificação elaborada pelos autores utiliza-se dos ratings da S&P, da Fitch e da Moody's, classificando as empresas em 22 ratings. Os dados foram captados da base de dados I/B/E/S® da Thomson ONE Analytics®. Quando a empresa possui apenas um rating, este será utilizado na classificação; quando possuir mais de um, por prudência, será considerado o pior rating (Miiller & Martinez, 2016).
Após a captação das variáveis independentes, o estudo seguiu com a captação das suas variáveis dependentes, sendo elas: o gerenciamento de resultados por meio dos accruals discricionários (AEM) e por meio das decisões operacionais (REM). Os dados para investigação do gerenciamento de resultados foram captados por meio da base Economática® e utilizando como modelo econométrico os dados em painel.
Para captar o gerenciamento de resultados, primeiramente é necessário captar os accruals totais, sendo estes captados por meio da abordagem do balanço, conforme utilizado nos estudos de Healy (1985), Jones (1991), Dechow, Sloan e Sweeney (1995), Martinez (2001), Pae (2005), Paulo (2007) e Rodrigues (2012). O modelo escolhido para identificação do AEM foi o de Paulo (2007), conforme utilizado por Rodrigues (2012), Duarte (2016), Mota (2018) e Rodrigues e Niyama (2018). Rodrigues e Niyama (2018) salientam que o modelo proposto por Paulo controla diversas limitações de especificação e controle que os modelos anteriores não comtemplavam.
Para analisar o REM foi utilizado os modelos propostos por Roychowdhury (2006), conforme utilizado nos estudos de Paulo (2007), Gunny (2010), Badertscher (2011), Zang (2012) e Cupertino (2013). Foram utilizados os modelos para captação do gerenciamento por meio dos custos de produção e das despesas discricionárias. O modelo que capta o gerenciamento por meio dos fluxos de caixa não foi utilizado, pois, segundo Zang (2012), esse modelo resulta em um efeito ambíguo na investigação do gerenciamento de resultados.
Para a construção do modelo empírico primeiramente identifica-se as empresas suspeitas de gerenciarem seus resultados. Essa identificação é realizada da seguinte forma: ao atingirem certos benchmarks em seus lucros, as empresas são consideradas empresas suspeitas de gerenciar seus resultados (Susp). São consideradas como empresas suspeitas no presente estudo, as empresas que evitam divulgar, reportando lucros próximos de zero, como também empresas que buscam manter o lucro reportado próximo ao do período anterior. Após a identificação das empresas suspeitas (Suspit), estas são correlacionadas com cada estratégia de gerenciamento de resultados (AEM e REM).
Em seguida, é investigada a relação entre cada estratégia de gerenciamento de resultados com as variáveis independentes do estudo, sendo elas: o índice de GC (GCit), a acurácia na previsão dos analistas (Analystit), a presença de investidores institucionais (Investit) e o rating de crédito (Ratingit). Além das variáveis supracitadas, foram incluídas nos modelos empíricos as seguintes variáveis de controle: o retorno sobre os ativos (ROAit) (Dechow, Sloan & Sweeney, 1995;Bowen, Rajgopal & Venkatachalam, 2008;Zang, 2012;Catapan, Colauto & Barros, 2013;Chen & Soileau, 2014;Joia & Nakao, 2014); a Alavancagem (ALAVit) (Schipper, 1989;Gu, Lee & Rosett, 2005;Bowen et al., 2008;Catapan et al., 2013;Joia e Nakao, 2014); e o tamanho (TAMit) (Watts & Zimmerman, 1978;Gu et al., 2005;Catapan et al., 2013;Chen & Soileau, 2014;Joia & Nakao, 2014).
(3)



Onde:
AEMit: Gerenciamento de resultados por accruals discricionários da empresa i no período t;
REMit: Gerenciamento de resultados por decisões operacionais da empresa i no período t;
Suspit: Variável dummy para empresas suspeitas no período t; sendo “1” se a empresa bater um dos bechmarks e “0” para os demais casos;
GCit: Índice de Governança Corporativa da empresa i no período t;
Analystit: Acurácia na previsão dos analistas da empresa i no período t;
Investit: Presença de investidores institucionais da empresa i no período t;
Ratingit: Rating de crédito da empresa i no período t;
ROAit. Lucro antes dos itens extraordinários ponderado pelo ativo total da empresa i no período t;
ALAVit. Total das dívidas ponderado pelo ativo total da empresa i no período t;
TAMit. Logaritmo natural do ativo total da empresa i no período t;
α β γ: Coeficientes Estimados no modelo;
: Termo de erro.
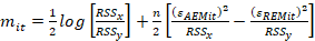
A investigação da influência da GC e dos mecanismos externos de controle no trade-off entre estratégias de AEM e REM foi realizada por meio do teste de Vuong (1989). Esse teste, utilizado por Dechow (1994), Paulo (2007), Dantas (2012) e Rodrigues (2012), testa a hipótese nula de que ambos os modelos analisados são igualmente eficientes ao aplicar o processo de geração de dados em comparação a hipótese alternativa de que um dos modelos é mais preciso que o outro nesse aspecto.
O teste é aplicado por meio de uma série temporal (mti), que corresponde à razão de verossimilhança, explicada a partir dos resíduos da regressão (εti), e a soma residual de seus quadrados (RSS) originários da estimação da aplicação dos 2 (dois) modelos. O teste, então, adapta duas bases distintas em um único modelo aplicado, doravante denominado z-vuong, sendo estimado de acordo com a equação 5.
(5)
Após a estimação da série mti, esta é regredida em uma constate ., onde εti é um termo de erro ~ IID N(0, σ), conforme equação 6.
(6)
Por fim, o z-vuong é obtido por meio da estatística t associada à constante c dessa regressão, conforme equação 7.
(7)
Considerando um nível de significância de 95%, tem-se que: i) se z-vuong for menor que –1,96 implica que os gestores priorizaram a utilização do modelo AEM; ii) se z-vuong for maior que +1,96 implica que os gestores priorizaram a utilização do modelo REM; iii) se z-vuong estiver entre –1,96 e +1,96 implica que os gestores não priorizaram uma estratégia, utilizando-se de ambas.
4 ANÁLISE DOS RESULTADOS
4.1 Índice de Governança Corporativa
O IGC foi elaborado para todas as empresas listadas na B3, totalizando 355 companhias, no período de 2010 a 2019. Sendo os formulários de referência emitidos anualmente, o presente estudou analisou um total de 3068 formulários de referência. O valor médio do índice de GC encontrado foi de 5,64 em uma escala de 0 a 10. O item que apresentou o índice mais alto diz respeito ao site das empresas possuírem uma seção de relacionamento com investidores onde contém seus relatórios anuais (9,60), sendo inclusive uma seção com formatação padronizada na maioria dos casos, para assim facilitar o acesso dos stakeholders. O item com nota mais baixa diz respeito às empresas que possuem comitês próprio para relatar as informações de forma pública (1,04), poucas companhias possuem comitês específicos para tais propósitos, as que os possuem adotam nomes como "Comitê de Divulgação" ou "Comitê do Disclosure".
| Dimensões | Novo Mercado | Nível 2 | Nível 1 | Básico | Amostra total |
| IGC total | 7,19 | 5,74 | 5,62 | 4,03 | 5,64 |
| Disclosure | 9,39 | 8,95 | 8,61 | 6,34 | 8,32 |
| Composição do Conselho | 7,07 | 6,80 | 6,60 | 4,74 | 6,30 |
| Ética e Conflito de Interesse | 5,12 | 3,37 | 3,66 | 2,54 | 3,67 |
| Diretos dos acionistas | 5,47 | 3,87 | 3,63 | 2,51 | 3,33 |
| Quantidade de Empresas | 158 | 23 | 40 | 133 | 354 |
| Quantidade de Empresas (em %) | 44,63% | 6,50% | 11,30% | 37,57% | 100% |
A dimensão que apresentou médias mais altas foi o disclosure, evidenciando que a divulgação das informações, realizada por meio de relatórios e pelos seus websites, é uma prioridade para as companhias de capital aberto brasileiras. Por outro lado, a dimensão com médias mais baixas foi a que abrange os direitos dos acionistas, demonstrando que as companhias brasileiras ainda mantêm um controle centralizado, limitando o poder de voto de seus acionistas.
4.2 A influência da Governança Corporativa e os mecanismos externos de controle no gerenciamento de resultados
A fim de responder ao objetivo da presente pesquisa, foi analisada a influência da GC e de mecanismos externos de controle no gerenciamento de resultados por AEM e REM, conforme apresentado na tabela 3. Os testes de verificação dos pressupostos de regressão apresentaram os seguintes resultados: os testes de Chow, Breusch e Pagan e Hausman apontaram o modelo de dados em painel com efeitos fixos como o mais adequado; o teste VIF não indicou multicolinearidade; o teste de Wooldridge evidenciou a não existência de autocorrelação para os modelos REM, porém evidenciou autocorrelação nos modelos de AEM; os testes de Wald identificaram a existência de heterocedasticidade para ambos os modelos de gerenciamento (AEM e REM); o teste de Shapiro-Francia indicou que os modelos não tendem a normalidade. Por esse motivo, os modelos foram estimados com erros padrões robustos, com o objetivo de minimizar os problemas de heterocedasticidade, autocorreção e normalidade.
| AEM | REM | ||||
| Var. Indep. | EarnZero | LastYear | Var. Indep. | EarnZero | LastYear |
| Empresas Suspeitas | 0,0402304* | 0,0605627 | Empresas Suspeitas | -0,0410841 | -0,980291** |
| IGC | 0,0106737 | 0,0055423 | IGC | -0,0854585** | -0,0776376** |
| PA | -0,0022195 | -0,0021809 | PA | -0,000011 | 0,0000363 |
| II | -0,0059734 | -0,0016947 | II | -0,0162615 | -0,206191* |
| Rating | -0,0025417 | -0,0019406 | Rating | 0,0023125 | 0,0016175 |
| ROA | 2,061041** | 2,082476** | ROA | 0,4843191** | 0,4358065** |
| Alavancagem | -0,0715985 | -0,0628685 | Alavancagem | 0,4468199*** | 0,4320226*** |
| Tamanho | 0,1185899 | 0,1297608* | Tamanho | -0,122436 | -0,1384445 |
| _Constante | -0,9848701 | -1,048286* | _Constante | 1,351665 | 1,439135 |
| Observações | 144 | 144 | Observações | 144 | 144 |
| Prod > F | 0,000 | 0,000 | Prod > F | 0,000 | 0,000 |
| R² | 0,6467 | 0,6494 | R² | 0,5104 | 0,5216 |
Não se verificou influência significativa entre a GC e os mecanismos externos de controle no AEM. Todavia, verificou-se influência significativa e negativa entre a GC e os investidores institucionais no REM, sendo que as previsões de analistas e o rating de crédito não apresentaram resultados significativos. Em seguida, o presente estudo seguiu com a análise de cada uma das variáveis do estudo de forma individual.
O IGC não apresentou relação significativa com o AEM. Ao utilizar o mesmo índice para mensuração da qualidade da GC, Kawai (2017) também não encontrou uma relação significativa entre essas variáveis, denotando que a GC não foi suficiente para inibir o AEM. Porém, o IGC apresentou uma relação significativa e negativa no REM, tanto para atingir um lucro próximo de zero como também para manter o lucro do período anterior. Esses resultados corroboram com os achados de Garven (2015), Talbi, Ali Omri, Guesmi e Ftiti (2015), Susanto e Pradipta (2016) e Piosik e Genge (2020) ao constatar que quanto mais alta a qualidade da governança corporativa, menor a utilização do REM pela companhia. Piosik e Genge (2020) e Susanto e Pradipta (2016) incluíram em suas investigações da relação entre governança e REM a presença de II, contatando que esse tipo de investidor auxilia na redução do REM. Esses resultados também foram encontrados na presente pesquisa.
A presença de II apresentou uma relação significativa e negativa com o REM, conforme os estudos de Sakaki, Jackson e Jory (2017), Gao, Shen, Li e Mao (2020) e Kałdoński, Jewartowski e Mizerka (2020). Esses estudos destacam o monitoramento realizado por esse tipo de investidor, destacando que estes cumprem um papel de mecanismos externos de governança.
Por outro lado, a presença dos II não apresentou relação significativa com o AEM, corroborando com os estudos de Coelho, Lopes, Bhimani e Trapp (2011), Holanda et al. (2013), Maria Junior (2013) e Correia, Amaral e Louvet (2017). Esses estudos supracitados analisaram o contexto brasileiro, o que pode ser um indicativo de maior dificuldade de detecção dos accruals discricionários por parte dos investidores institucionais ao investirem em empresas brasileiras. Segundo Holanda et al. (2013), os II que atuam no mercado acionário brasileiro não são informacionalmente eficientes a ponto de segregar companhias que praticam o gerenciamento de resultado, aceitando, assim, a baixa qualidade informacional nos relatórios contábeis. Correia et al. (2017) evidenciaram que tanto a GC quanto os II não foram instrumentos capazes de reduzir os níveis de gerenciamento de resultado, concluindo que esses mecanismos não encontram as condições ideais para desempenhar um efetivo papel de monitoramento e controle dos problemas da agência.
As previsões de analistas e o rating de crédito não apresentaram resultados significativos, sugerindo que tanto os analistas como as agências de rating não foram capazes de detectar o gerenciamento de resultados por parte das empresas brasileiras, ou mesmo, que suas classificações não influenciam nas decisões oportunistas dessas companhias.
4.3 A influência da Governança Corporativa e os mecanismos externos de controle no trade-off entre as estratégias de gerenciamento de resultados
Visando atender ao objetivo geral da pesquisa, essa seção visa investigar a influência da GC e dos mecanismos externos de controle no trade-off entre as estratégias de gerenciamento de resultados. A mensuração do trade-off foi realizada por meio do teste de Vuong (1989), conforme tabela 4. Esse teste visa analisar os resíduos das regressões, com intuito de verificar qual modelo possui maior poder preditivo (Vuong, 1989;Dechow, 1994;Paulo, 2007;Dantas, 2012;Rodrigues, 2012).
| Período | z-voung | Conclusão |
| 2010 | -1,36 | AEM e REM foram igualmente escolhidos |
| 2011 | -4,61 | O AEM foi mais escolhido |
| 2012 | -2,96 | O AEM foi mais escolhido |
| 2013 | -3,06 | O AEM foi mais escolhido |
| 2014 | -1,49 | AEM e REM foram igualmente escolhidos |
| 2015 | -1,09 | AEM e REM foram igualmente escolhidos |
| 2016 | 0,26 | AEM e REM foram igualmente escolhidos |
| 2017 | -2,17 | O AEM foi mais escolhido |
| 2018 | -3,05 | O AEM foi mais escolhido |
| 2019 | -2,28 | O AEM foi mais escolhido |
| 2010 a 2019 | -1,98 | O AEM foi mais escolhido |
Ao analisar os dados em conjunto de 2010 a 2019, o teste de Vuong apresentou um resultado significativo, apontando o AEM como o modelo com maior poder preditivo em relação ao REM, esse resultado evidencia a influência da GC e dos mecanismos externos de controle no trade-off entre as estratégias de gerenciamento de resultados. A identificação do trade-off entre as estratégias de gerenciamento de resultados corrobora com os estudos que também analisaram esse fenômeno nas empresas listadas na B3 (Cupertino et al., 2014;Mota, 2018;Dani, 2019;Souza, 2019;Marques & Ferreira, 2020;Silva et al., 2020).
Esse resultado pode ser explicado pelo comportamento da relação das variáveis do estudo com o gerenciamento de resultados, conforme discutido na seção anterior. Ambas as variáveis que apresentaram relações significativas com o gerenciamento de resultados, sendo elas o IGC e o II, o apresentaram no REM e com relação negativa, ou seja, quanto maior a qualidade da governança e quando da presença desse tipo de investidor, diminui-se o REM, o que pode explicar a opção dos gestores pelo AEM. Além disso, as companhias podem optar pelo AEM devido a esta estratégia não impactar no fluxo de caixa, ao contrário do que ocorre quando utilizado o REM (Graham et al., 2005;Roychowdhury, 2006;Gunny, 2010;Cohen & Zarowin, 2010;Badertscher, 2011).
As companhias podem escolher pelo AEM pelo fato desse modelo de gerenciamento de resultados ser realizado após o encerramento do exercício (Roychowdhury, 2006;Zang, 2012;Cupertino, 2013), o que possibilita à gestão gerenciar pelos accruals discricionários tendo por base os resultados gerados por meio do REM aplicado durante o período (Zang, 2012). Tornando o AEM atraente para os gestores, dado que quando esse tipo de gerenciamento é realizado, o montante necessário a ser manipulado para alcançar as metas de resultados estipuladas é conhecido (Gunny, 2010). Chen (2009) e Badertcher (2011) salientam que embora o AEM seja mais detectável quando comparado com o REM, os gestores optam pela primeira estratégia devido a esta ser considerada menos dispendiosa, ou seja, consome uma quantidade menor de recursos, quando comparada ao REM.
Para enriquecer a análise, foi investigado o trade-off entre as estratégias de gerenciamento de resultados ano a ano. Os testes de robustez para as regressões ano a ano indicaram a não existência de multicolinearidade, entretanto, observou-se problemas de não normalidade, heteroscedasticidade e autocorrelação. Por isso, assim como nos modelos de regressão em dados em painéis, aqui os modelos também foram estimados com erros padrões robustos, com intuito de minimizar esses problemas. Os resultados evidenciam que na maioria dos períodos houve a opção pelos gestores pelo AEM, porém, nos anos de 2010, 2014, 2015 e 2016, não houve uma predominância pela utilização nem do AEM nem do REM.
| Ano | Var. Dep. | IGC | PA | II | Rating |
| 2010 | REM | 0,0229869* | 0,7291759 | 0,0701425 | 0,0300572 |
| 2011 | AEM | 0,0176926 | -0,0190448 | -0,0197818 | 0,0002556 |
| 2012 | AEM | -0,0031313 | -0,059296** | 0,0947308 | 0,0044138 |
| 2013 | AEM | -0,0017463 | -0,0435529* | -0,0136634 | 0,0009005 |
| 2014 | AEM | 0,0728214 | -0,0123653 | -0,0532522 | -0,0117437 |
| 2015 | AEM | -0,1264119 | -0,0107891 | -0,0107891 | 0,1343961 |
| 2016 | AEM | -0,0109965 | 0,0007683 | 0,0413127 | -0,001713 |
| 2017 | AEM | 0,008278 | -0,0018683 | 0,0053848 | 0,004136 |
| 2018 | AEM | -0,0103836 | -0,0002129 | -0,008727 | -0,0021903 |
| 2019 | AEM | 0,0416604 | -0,125193 | 0,0235652 | -0,009757 |
| 2010 | REM | 0,0229869* | 0,7291759 | 0,0701425 | 0,0300572 |
| 2011 | REM | 0,716504 | -0,2626901 | -0,3181517 | 0,0127327 |
| 2012 | REM | 0,2794284 | -0,0515949 | -0,2724866 | 0,0225128 |
| 2013 | REM | -0,0086306 | -0,192357 | -0,0552009 | -0,0079395 |
| 2014 | REM | -0,3188935 | 0,1036133 | 0,5254877 | 0,0375516 |
| 2015 | REM | 0,3101095 | -0,185788* | 0,0275766 | -0,0414685 |
| 2016 | REM | 0,0061224 | -0,0021792 | -0,1472037* | 0,008601 |
| 2017 | REM | 0,0041657 | 0,0041642 | 0,0151862 | -0,0032875 |
| 2018 | REM | 0,0205615 | -0,0262088*** | -0,1865492* | 0,0113376 |
| 2019 | REM | -0,4236595 | 0,1788481** | 0,6846201 | 0,074932** |
O período de 2010 apresenta uma relação significativa entre o IGC e o REM, conforme demonstrado na tabela 5, apontando que quanto maior a qualidade da governança, maior o gerenciamento por decisões operacionais nesse ano. Cupertino, Martinez e Costa Jr. (2014) denotam que a adoção do IFRS (que foi efetivamente implantado em 2010) alterou o comportamento dos gestores quanto a escolha entre as estratégias de gerenciamento de resultados. Os autores verificaram que após a implantação do IFRS, houve um aumento do REM ao mesmo tempo que houve uma diminuição do AEM. Embora esse resultado não corrobore com o encontrado na presente pesquisa para o ano de 2010, auxilia na explicação para a não escolha pelo AEM pelos gestores nesse período, como ocorrido na maioria dos outros períodos analisados.
Nos períodos de 2011 a 2013, o teste de Vuong apontou a AEM como o modelo de gerenciamento de resultados mais utilizado pelos gestores. Porém, nos períodos de 2012 e 2013, houve uma relação significativa e negativa entre o AEM e as previsões dos analistas, corroborando com as pesquisas de Yu (2008) e Martinez (2011) que evidenciaram os analistas como inibidores do gerenciamento de resultados. Esses resultados podem indicar que após dois anos nos quais os analistas conseguiram detectar o AEM, os gestores optaram por utilizar ambas as estratégias nos períodos seguintes.
Os períodos de 2014 a 2016 foram marcados pela preferência por ambas as estratégias de gerenciamento de resultados pelos gestores, porém, no período de 2015 as previsões de analistas, e no ano de 2016 os investidores institucionais, apresentaram relações significativas negativas com o REM. Esses resultados podem indicar que esses mecanismos de controle passaram a detectar o REM, levando os gestores a preferirem utilizar o AEM nos períodos seguintes.
Os períodos de 2017 a 2019 apresentaram uma preferência pelo AEM pelos gestores. Os investidores institucionais em 2018, o rating de crédito em 2019 e as previsões de analistas em 2018 e 2019 se relacionaram significativamente e de forma negativa com o REM, sugerindo que esses mecanismos de controle foram efetivos em detectar o REM, porém isso não foi verificado também no AEM, auxiliando na explicação pela preferência pelo AEM por parte dos gestores.
5 CONSIDERAÇÕES FINAIS
O objetivo desde estudo foi o de analisar a influência da GC e de mecanismos externos de controle no trade-off entre as estratégias de gerenciamento de resultados por AEM e REM em empresas brasileiras de capital aberto no período de 2010 a 2019.
A investigação da influência da GC e dos mecanismos externos de controle no AEM realizada por meio do modelo de Paulo (2007) não apresentou resultados significativos, corroborando com os estudos nacionais. Já a influência da GC e dos mecanismos externos de controle no REM por meio do modelo de Roychowdhury (2006) apresentou resultados significativos e negativos para o índice de governança e para a presença de investidores institucionais. Estudos que encontraram resultados semelhantes destacaram o papel dos investidores institucionais como um mecanismo externo de governança.
A análise da influência do GC e dos mecanismos externos de controle no trade-off entre as estratégias de gerenciamento de resultados realizada por meio do teste de Vuong (1989) apresentou resultado significativo. Os resultados apontaram que as variáveis do estudo influenciam os gestores a optarem pela utilização do AEM. Uma explicação para essa escolha se dá pelo fato de que, quando da alta qualidade da governança como também da presença de investidores institucionais, os gestores utilizam-se menos do REM. Além disso, a literatura apresenta que os gestores podem utilizar mais o AEM em detrimento do REM pois: i) a primeira afeta menos o fluxo de caixa; ii) o AEM é menos dispendioso em relação ao REM; e iii) o AEM é realizado após o fim do exercício, sendo assim, os gestores sabem exatamente quanto gerenciarem para atingir suas metas.
De forma complementar, foi analisado o trade-off entre as estratégias de gerenciamento de resultados ano a ano. Os resultados apontaram que após alguns anos com os gestores utilizando-se de ambas as estratégias de gerenciamento de resultados, os mecanismos de controle passaram a detectar e inibir o REM, levando os gestores a optarem pela utilização do AEM. De forma semelhante, após alguns anos dos gestores optando pela utilizando do AEM, os mecanismos de controle passaram a detectar e inibir esse tipo de gerenciamento, levando os gestores a utilizarem ambas as estratégias.
Como limitações da pesquisa, destaca-se que a metodologia utilizada para captação das variáveis de GC e de mecanismos externos de controle, dado que existem diversas formas para mensuração dessas variáveis, haja vista que a utilização de outro método poderia entregar resultados diferentes. Outra limitação reside no fato de pesquisas sobre gerenciamento de resultados utilizarem o resíduo das regressões para identificação do gerenciamento, sendo que parte desse resíduo pode ser gerado pela omissão de variáveis importantes nos modelos.
O presente estudo traz contribuições ao investigar se o GC e os mecanismos externos de controle, elementos estes vistos como auxiliadores na redução da assimetria informacional entre companhias e investidores, auxiliam na inibição do AEM como também o REM, trazendo contribuições práticas para os stakeholders e para o mercado de capitais ao analisar como essas variáveis auxiliam no trade-off entre as estratégias de gerenciamento de resultados.
Como sugestão para pesquisas futuras propõe-se a análise das variáveis da presente pesquisa, abrangendo elementos não abordados neste estudo. O IGC pode ser analisado por categorias, buscando captar quais dimensões do índice (disclosure, composição do conselho, ética e conflitos de interesse e direitos dos acionistas) se relacionam com o gerenciamento de resultados, além de comparar com outros índices para averiguar qual é mais eficaz na captação da manipulação dos resultados. No caso das previsões dos analistas, incluir na análise os vieses e dispersão das previsões, como também as previsões individuais vs. o consenso das previsões dos analistas. A variável II pode ser ampliada, para captar as diferenças que existem entre esse tipo de investidor, utilizando-se das classificações como a de Bushee (1997), que os classifica em temporários, dedicados e quase indexados.
REFERÊNCIAS
Alissa, W., Bonsall, S. B., Koharki, K., & Penn, M. W. (2013). Firms’ use of accounting discretion to influence their credit ratings. Journal of Accounting and Economics, 55(2), 129-147. https://doi.org/10.1016/j.jacceco.2013.01.001
Badertscher, B. A. (2011). Overvaluation and the choice of alternative earnings management mechanisms. The Accounting Review, 86(5), 1491-1518. https://doi.org/10.2308/accr-10092
Berle, A. A., & Means, G. C. (1932). The modern corporation and private property. Macmillan Company. https://doi.org/10.2307/3308267
Bhojraj, S., & Sengupta, P. (2003). Effect of corporate governance on bond ratings and yields: the role of institutional investors and outside directors. The Journal of Business, 76(3), 455-475.
Black, B. ., Carvalho, A. G. ., Khanna, V. ., Kim, W. ., & Yurtoglu, B. (2020). Which Aspects of Corporate Governance Do and Do Not Matter in Emerging Markets. Journal of Law, Finance, and Accounting, 5(1), 137-177. https://doi.org/http://dx.doi.org/10.1561/108.00000043
Blair, M. M. (1998). For whom should corporations be run? An economic rationale for stakeholder management. Long Range Planning, 31(2), 195-200. https://doi.org/10.1016/S0024-6301(98)00003-X
Bone, R. B. (2007). Determinantes de ratings corporativos no setor de petróleo: o caso da Petrobrás. RAC-Eletronica, 1(3), 107-125.
Bowen, R. M. ., Rajgopal, S. ., & Venkatachalam, M. (2008). Accounting Discretion, Corporate Governance, and Firm Performance. Contemporary Accounting Research, 25(2), 351-405.
Brown, K., Chen, V. Y. S., & Kim, M. (2015). Earnings management through real activities choices of firms near the investment–speculative grade borderline. Journal of Accounting and Public Policy, 34(1), 74-94.
Bushee, B. J. (1997). Institutional investors, long-term investment, and earnings management. Doctoral dissertation in Accounting, Harvard University, Cambridge, Massachusetts, USA. Recuperado em 02 fevereiro, 2021, de https://deepblue.lib.umich.edu/handle/2027.42/130432.
Bushee, B. J. (1998). The influence of institutional investor on myopic R&D investment behavior. The Accounting Review, 73(3), 305-333. Recuperado em 15 janeiro, 2021, de https://www.jstor.org/stable/248542
Cardoso, M. A. C. (2000). Rating de crédito: o papel das agências especializadas. Cadernos Discentes Coppead/UFPJ, 1, 92-104.
Catapan, A., Colauto, R. D., & Barros, C. M. E. (2013). A relação entre a Governança Corporativa e o desempenho econômico-financeiro de empresas de capital aberto do Brasil. Contabilidade, Gestão e Governança, 16(2), 16-30.
Chen, Y. ., & Soileau, J. S. (2014). Does pedigree matter? Earnings quality of US listed domestic firms via reverse mergers. Journal of Accounting and Public Policy, 33(6), 573-595.
Chen, Z. (2009). The choice between real and accounting earnings management. Recuperado em 20 de novembro, 2020, de https://pdfs.semanticscholar.org/491e/97e6eaca3e6d2cf8986cb8e03b5a5568cf2f.pdf.
Claessens, S., & Yurtoglu, B. . (2013). Corporate governance in emerging markets: a survey. Emerging Markets Review, 15(1), 1-33.
Coelho, A. C. D., Lopes, A. B., Bhimani, A., & Trapp, A. (2011). The Supervisory Board as an Alternative Corporate Governance Mechanism: Evidence from Brazil. Anais Do Congresso Da EAA, Roma, Italia, 34.
Cohen, D. A., & Zarowin, P. (2010). Accrual-based and real earnings management activities around seasoned equity offerings. Journal of Accounting and Economics, 50(1), 2–19.
Comissão de Valores Mobiliários. (2002). Recomendações da CVM sobre Governança Corporativa. Recuperado em 24 junho, 2020 de http://www.cvm.gov.br/export/sites/cvm/decisoes/anexos/0001/3935.pdf.
Correia, L. F., Amaral, H. F., & Louvet, P. (2017). Governança corporativa e earnings management em empresas negociadas na BM&FBovespa. Revista Contabilidade Vista e Revista, 28(2), 1-29. Recuperado em 18 outubro, 2020, de https://revistas.face.ufmg.br/index.php/contabilidadevistaerevista/article/view/4653.
Cupertino, C. M. (2013). Gerenciamento de resultados por decisões operacionais no mercado de capitais brasileiro. Tese de Doutorado em Ciências Contábeis, Universidade Federal de Santa Catarina, Florianópolis, SC, Brasil. Recuperado em 20 setembro, 2020, de https://repositorio.ufsc.br/handle/123456789/122592
Cupertino, C. M., Martinez, A. L., & Costa Jr, N. C. A. (2014). Estratégias de gerenciamento de resultados: custos determinantes e sequencialidade. Anais do Encontro da ANPAD, Rio de Janeiro, RJ, Brasil, 38. Recuperado em 17 julho, 2020, de http://www.anpad.org.br/diversos/down_zips/73/2014_EnANPAD_CON2264.pdf
Dalmácio, F. Z., Lopes, A. B., Rezende, A. J., & Sarlo Neto, A. (2013a). An analysis of the relationship between corporate governance and accuracy of the analysts forecasts of the Brazilian market. RAM - Revista de Administração Mackenzie, 14(5), 104-139. https://doi.org/10.1590/S1678-69712013000500005
Dalmácio, F. Z., Lopes, A. B., Rezende, A. J., & Sarlo Neto, A. A. (2013b). Uma análise da relação entre governança corporativa e acurácia das previsões dos analistas do mercado brasileiro. Revista de Administração Mackenzie, 14(5), 104-139. https://doi.org/10.1590/S1678-69712013000500005
Dani, A. C. (2019a). Trade-off das estratégias de Gerenciamento de Resultados por Atividades Reais e Escolhas Contábeis nos estágios do Ciclo de Vida das Organizações. Tese (Doutorado em Ciências Contábeis e Administração) – Programa de Pós-Graduação em Ciências Contábeis da Universidade Regional de Blumenau, SC, Brasil. Recuperado em 13 maio, 2020, de https://bu.furb.br//docs/TE/2019/366425_1_1.pdf
Dani, A. C. (2019b). Trade-off das estratégias de gerenciamento de resultados por atividades reais e escolhas contábeis nos estágios do ciclo de vida das organizações. Tese de doutorado em Ciências Contábeis e Administração, Universidade Regional de Blumenau, Blumenau, SC, Brasil. Recuperado em 13 maio, 2020, de https://bu.furb.br//docs/TE/2019/366425_1_1.pdf.
Dantas, J. A. (2012). Auditoria em instituições financeiras: determinantes de qualidade no mercado brasileiro. Tese (Doutorado em Ciências Contábeis) – Programa Multi-institucional e Inter-Regional de Pós-Graduação em Ciências Contábeis UnB/UFPB/ UFRN, Brasília, DF, Brasil. Recuperado em 23 julho, 2020, de https://repositorio.unb.br/handle/10482/11751
Dechow, P. M. (1994). Accounting earnings and cash flow as measures of firm performance: the role of accounting accruals. Journal of Accounting and Economics, 18(1), 3–42. https://doi.org/10.1016/0165-4101(94)90016-7
Dechow, P. M., & Schrand, C. M. (2004). Earnings quality. In The Research Foundation of CFA Institute. Recuperado em 27 setembro, 2020, de http://csinvesting.org/wp-content/uploads/2015/04/Defining-Earnings-Quality-CFA-Publication.pdf
Dechow, P. M., Sloan, R. G., & Sweeney, A. P. (1995). Detecting earnings management. The Accounting Review, 70(2), 193-225.
Dechow, P. M., Sloan, R. G., & Sweeney, A. P. (1996). Causes and consequences of earnings manipulation: An analysis of firms subject to enforcement actions by the sec. Contemporary Accounting Research, 13(1), 1-36.
Duarte, F. C. L. (2016). Análise da simultaneidade das proxies de qualidade das informações contábeis. Dissertação (Mestrado em Ciências Contábeis) - Universidade Federal da Paraíba, João Pessoa. Recuperado em 23 novembro, 2020, de https://repositorio.ufpb.br/jspui/handle/tede/8907.
Elyasiani, E., & Jia, J. (2010). Distribution of institutional ownership and corporate firm performance. Journal of Banking & Finance, 34(3), 606-620.
Ferri, M. D., & Soares, R. O. (2009). Investidores Institucionais e o Foco no Curto Prazo: Um estudo nas Empresas Negociadas na Bovespa. Revista Contabilidade Vista & Revista, 20(4), 15-30. Recuperado em 23 agosto, 2020, de https://revistas.face.ufmg.br/index.php/contabilidadevistaerevista/article/view/714.
Gao, H., Shen, Z., Li, Y., & Mao, X. (2020). Institutional Investors, Real Earnings Management and Cost of Equity: Evidence from Listed High-tech Firms in China. Emerging Markets Finance and Trade, 56(14), 3490-3506. https://doi.org/10.1080/1540496X.2019.1650348
Garven, S. (2015a). The effects of board and audit committee characteristics on real earnings management: Do boards and audit committees play a role in its promotion or constraint? Academy of Accounting and Financial Studies Journal, 19(1), 67-84. Recuperado em 15 agosto, 2020, de https://www.proquest.com/openview/8774b634155cdebf6bc3786d8abfc7fc/1?pq-origsite=gscholar&cbl=29414&casa_token=3qp8R_m__VEAAAAA:NK26Vnl0SLLUt55FYbj1skJU34
Garven, S. (2015b). The effects of board and audit committee characteristics on real earnings management: Do boards and audit committees play a role in its promotion or constraint? Academy of Accounting and Financial Studies Journal, 19(1), 67-84.
Graham, J. R., Harvey, C. R., & Rajgopal, S. (2005). The Economic Implications of Corporate Financial Reporting. Journal of Accounting and Economics, 40(1), 3-73. https://doi.org/10.1016/j.jacceco.2005.01.002
Gu, Z., Lee, C. J., & Rosett, J. G. (2005). What Determines the Variability of Accounting Accruals? Review of Quantitative Finance and Accounting, 57, 313-334. https://doi.org/https://doi.org/https://doi.org/10.1007/s11156-005-6869-1
Gunny, K. A. (2010). The relation between earnings management using real activities manipulation and future performance: Evidence from meeting earnings benchmarks. Contemporary Accounting Research, 27(3), 855-888. https://doi.org/10.1111/j.1911-3846.2010.01029.x
Healy, P. M. (1995). The Effect of Bonus Schemes on Accounting Decisions. Journal of Accounting and Economics, 7(1-3), 85-107. https://doi.org/10.1016/0165-4101(85)90029-1
Holanda, A. P., Rebouças, S. M. D. P., & Coelho, A. C. D. (2013). Gerenciamento de resultados e presença de investidores institucionais nas firmas brasileiras. Contexto - Revista do Programa de Pós-Graduação em Controladoria e Contabilidade da UFRGS, 13(25), 7-19. Recuperado em 08 setembro, 2020, de https://seer.ufrgs.br/ConTexto/article/view/32274
Hsu, G. C., & Koh, P. S. (2005). Does the Presence of Institutional Investors Influence Accruals Management? Evidence from Australia. Corporate Governance, 13(6), 809-823.
Jiambalvo, J., Rajgopal, S., & Venkatachalam, M. (2002). Institutional ownership and the extent to which stock prices reflect future earnings. Contemporary Accounting Research, 19(1), 117-145.
Joia, R. M., & Nakao, S. H. (2014). Adoção de IFRS e gerenciamento de resultado nas empresas brasileiras de capital aberto. Revista de Educação e Pesquisa Em Contabilidade, 8(1), 22-38.
Jones, J. J. (1991). Earnings management during import relief investigations. Journal of Accounting Research, 29(2), 193-228. https://doi.org/10.2307/2491047
Kałdoński, M., Jewartowski, T., & Mizerka, J. (2020). Capital market pressure, real earnings management, and institutional ownership stability - Evidence from Poland. International Review of Financial Analysis, 71. https://doi.org/10.1016/j.irfa.2019.01.009
Kawai, R. M. (2017). Influência da governança corporativa na prática de gerenciamento de resultados. Dissertação de Mestrado em Ciências Contábeis, Universidade Metodista de São Paulo, São Bernardo do Campo, SP, Brasil. Recuperado em 12 abril, 2020, de http://tede.metodista.br/jspui/handle/tede/1637
Koh, P. . (2007). Institutional investor type, earnings management and benchmark beaters. Journal of Accouting and Public Policy, 26(3), 267-299
Kothari, S. P. (2001). Capital market research in accounting. Journal of Accounting and Economics, 31(1–3), 105–231. https://doi.org/10.1016/S0165-4101(01)00030-1
LaPorta, R., Lopez-De Silanes, F., Shleifer, A., & Vishny, R. W. (2000). Investor Protection and Corporate Governance. Journal of Financial Economics, 58(1-2), 3-27
Leal, R. P. C., Carvalhal, A. L., & Ievorlino, A. . (2015). One decade of evolution of corporate governance practices in Brazil. Revista Brasileira de Finanças, 13(1), 134-161. http://www.spell.org.br/documentos/ver/38024/uma-decada-de-evolucao-das-praticas-de-governanca-corporativa-no-brasil
Lev, B. (1988). Toward a theory of equitable and efficient accounting policy. The Accounting Review, 63(1), 1-22.
Liu, A. Z., Subramanyam, K. R., J., Z., & Shi, C. (2018). Do Firms Manage Earnings to Influence Credit Ratings? Evidence from Negative Credit Watch Resolutions. The Accounting Review, 93(3), 267-298.
Maria Junior, E. (2013). A relação entre investidores institucionais, gerenciamento de resultados e governança corporativa. Dissertação de Mestrado em Ciências Contábeis, Universidade Federal do Espírito Santo, Vitória, ES, Brasil. Recuperado em 15 abril, 2020, de http://repositorio.ufes.br/handle/10/5608?mode=full
Marques, J. S., & Ferreira, F. R. (2020). Gerenciamento de resultados por accruals x gerenciamento por decisões operacionais: um estudo empírico em empresas brasileiras listadas na B3. In Anais do Congresso ANPCONT, Foz do Iguaçu, Brasil, 14. Anais do Congresso ANPCONT, Foz do Iguaçu, Brasil, 14. Recuperado em 15 janeiro, 2021, de http://anpcont.org.br/pdf/2020_CFF150.pdf
Martinez, A. L. (2001). “Gerenciamento” dos resultados contábeis: estudo empírico das companhias abertas brasileiras. Tese de Doutorado em Ciências Contábeis, Faculdade de Economia, Administração e Contabilidade, Universidade Estadual de São Paulo, SP, Brasil.
Martinez, A. L. (2004). Analisando os analistas: estudo empírico das projeções de lucros e das recomendações dos analistas de mercado de capitais para as empresas brasileiras de capital aberto. Tese de Doutorado em Ciências Contábeis, Escola de Administração de Empresas de São Paulo da Fundação Getúlio Vargas, São Paulo, SP, Brasil. Recuperado em 13 janeiro, 2021, de https://bibliotecadigital.fgv.br/dspace/handle/10438/2464
Martinez, A. L. (2010). Quando o conselho de administração e a auditoria evitam o gerenciamento de resultados? Evidências empíricas para empresas brasileiras. RIC - Revista de Informação Contábil, 4(1), 76-93
Martinez, A. L. (2011). The role of analysts as gatekeepers: enhancing transparecny and curbing earnings management in Brazil. Revista de Administração Contemporânea, 15(4), 712-730. https://doi.org/10.1590/S1415-65552011000400009
Miiller, D. L., & Martinez, A. L. (2016). Book-Tax Difference, Earnings Management and Bond Ratings in the Brazilian Market. Revista Universo Contábil, 12(3), 91-109. https://doi.org/10.4270/RUC.2016323
Mota, R. H. G. (2018). A influência dos ciclos econômicos no gerenciamento de resultados contábeis. Tese de Doutorado em Ciências Contábeis, Programa Inter-Reginal de Pós Graduação em Ciências Contábeis da Universidade de Brasília, Universidade Federal da Paraíba e Universidade Federal do Rio Grande do Norte. Natal, RN, Brasil. Recuperado em 13 maio, 20.
Nsour, M. F., & Al-Rjoub, S. A. M. (2022). Building a corporate governance index (JCGI) for an emerging market: case of Jordan. International Journal of Disclosure and Governance, 18(1). https://doi.org/https://doi.org/10.1057/s41310-021-00139-9
Opp, C. C., Opp, M. M., & Harris, M. (2013). Rating agencies in the face of regulation. Journal of Financial Economics, 108(1), 46-61.
Pae, J. (2005). Expected accrual models: The impact of operating cash flows and reversals of accruals. Review of Quantitative Finance and Accounting, 24(1), 5-22. https://doi.org/10.1007/s11156-005-5324-7
Paulo, E. (2007). Manipulação das informações contábeis: Uma análise teórica e empírica sobre os modelos operacioanis de detecção de gerenciamento de resultados. Tese de Doutorado em Ciências Contábeis, Faculdade de Economia, Administração e Contabilidade, Universidade Estadual de São Paulo, SP, Brasil. Recuperado em 14 junho, 2020, de https://www.teses.usp.br/teses/disponiveis/12/12136/tde-28012008-113439/en.php.
Piosik, A., & Genge, E. (2020). The influence of a company’s ownership structure on upward real earnings management. Sustainability, 12(1), 1-24. https://doi.org/10.3390/su12010152
Rajgopal, S., Venkatachalam, M., & Jiambalvo, J. J. (1999). Is Institutional Ownership Associated with Earnings Management and the Extent to which Stock Prices Reflect Future Earnings? SSRN Electronic Journal. doi:10.2139/Ssrn.163433.
Rodrigues, J. M. (2012). Convergência contábil internacional: uma análise da qualidade da informação contábil em razão da adoção dos padrões internacionais de contabilidade editados pelo IASB. Tese (Doutorado em Ciências Contábeis) – Programa Multi-institucional e Inter-Regional de Pós-Graduação em Ciências Contábeis UnB/UFPB/ UFRN, Brasília, DF, Brasil. Recuperado em 18 agosto, 2020, de https://repositorio.unb.br/handle/10482/12596
Rodrigues, J. M., & Niyama, J. K. (2018). Qualidade da informação contábil: uma análise da adoção dos padrões internacionais de contabilidade pelos países que compõem o G-7 e BRICS. Revista Enfoque - Reflexão Contábil, 37(4), 33-48. https://doi.org/10.4025/enfoque.v37i4.34646
Roe, M. J. (2005). The Institutions of Corporate Governance. In C. Ménard & M. M. Shirley (Eds.), Handbook of New Institutional Economics (pp. 371-399). Springer.
Roychowdhury, S. (2006). Earnings management through real activities manipulation. Journal of Accounting and Economics, 42(3), 335-370. https://doi.org/10.1016/j.jacceco.2006.01.002
Sakaki, H., Jackson, D., & Jory, S. (2017). Institutional ownership stability and real earnings management. Review of Quantitative Finance and Accounting, 49(1), 227-244. https://doi.org/10.1007/s11156-016-0588-7
Schipper, K. (1989). Commentary on earnings management. Accounting Horizons, 3, 91-102.
Shleifer, A., & Vishny, R. W. (1986). Large shareholders and corporate control. Journal of Political Economy, 94(3), 461-488.
Shleifer, A., & Vishny, R. W. (1997). A Survey of Corporate Governance. The Journal of Finance, 52(2), 737-783. https://doi.org/https://doi.org/10.1111/j.1540-6261.1997.tb04820.x
Sibim, M. C., Campos, P. P., & Colauto, R. D. (2018). Gerenciamento de resultados e rating de crédito em companhias brasileiras de capital aberto. Anais do XXI Semead - Seminários Em Administração, São Paulo, SP, Brasil, 21.
Silva, A., Cunha, P. R., & Paulo, E. (2020). Trade-off das estratégias de gerenciamento de resultados por accruals e decisões reais: perspectiva do dark tetrad de executivos. Anais do Congresso ANPCONT, Foz do Iguaçu, Brasil, 14. Recuperado em 15 janeiro, 2021, de http://anpcont.org.br/pdf/2020_CFF268.pdf.
Silva, A. L. C., & Leal, R. P. C. (2005). Índice de Governança Corporativa, Valor e Desempenho da Firma no Brasil. Revista Brasileira de Finanças, 3(1), 1-18. Recuperado em 17 agosto, 2020, de http://www.spell.org.br/documentos/ver/23422/indice-de-governanca-corporativa--desempenho-e---
Silveira, A. M. (2004). Governança corporativa e estrutura de propriedade: determinantes e relação com o desempenho das empresas no Brasil. Tese de Doutorado em Administração, Faculdade de Economia, Administração e Contabilidade, Universidade de São Paulo, SP, Brasil. Recuperado em 13 julho, 2020, de https://www.teses.usp.br/teses/disponiveis/12/12139/tde-23012005-200501/pt-br.php
Sinclair, T. J. (2005). The New Masters of Capital: American Bond Rating Agencies and the Politics of CreditWorthiness. Cornell University Press.
Souza, J. L. (2019). Influência do ciclo de vida organizacional no trade-off de gerenciamento de resultados por meio de accruals e decisões operacionais. Dissertação de Mestrado em Ciências Contábeis, Universidade Estadual de Maringá, PR, Brasil. Recuperado em 30 março, 2020, de http://www.pco.uem.br/0-arquivos/dissertacoes/2019_jose-luiz-de-souza.pdf
Susanto, Y, K., & Pradipta, A. (2016). Corporate governance and real earnings management. International Journal of Business, Economics and Law, 9(1), 17-23. Recuperado em 13 janeiro, 2021, de http://ijbel.com/wp-content/uploads/2016/05/K9_82.pdf
Talbi, D., Ali Omri, M., Guesmi, K., & Ftiti, Z. (2015). The role of board characteristics in mitigating management opportunism: The case of real earnings management. Journal of Applied Business Research, 31(2), 661–674. https://doi.org/10.19030/jabr.v31i2.9147
Vale, M. P. E. M. (2016). A construção de legitimidade das agências de rating de crédito no Brasil. Tese de Doutorado em Administração, escola de Administração de Empresas de São Paulo da Fundação Getulio Vargas. São Paulo, SP, Brasil. Recuperado em 11 dezembro, 2020, de https://pesquisa-eaesp.fgv.br/teses-dissertacoes/construcao-da-legitimidade-das-age
Vuong, Q. H. (1989). Likelihood ratio tests for model selection and non-nested hypotheses. Econometrica, 57(2), 307-333. https://doi.org/10.2307/1912557
Watts, R. L. ., & Zimmerman, J. L. (1978). Towards a positive theory of the determination of accounting standards. The Accounting Review, 53(1), 112-134.
Williamson, O. (1983). Credible Commitments: using hostages to support exchange. American Economic Review, 73(4), 519-540.
Williamson, O. (1984). Corporate Governance. Yale Law Journal, 93(7), 1197-1230.
Yu, F. (2008). Analyst coverage and earnngs management. Journal Finance and Economics, 88(1), 245–271. https://doi.org/10.1016/j.jfineco.2007.05.008
Zang, A. Y. (2012). Evidence on the trade-off between real activities manipulation and accrual-based earnings management. The Accounting Review, 87(2), 675-703. https://doi.org/10.2308/accr-10196
Zhang, E. X. (2020). The impact of cash flow management versus accruals management on credit rating performance and usage. Review of Quantitative Finance and Accounting, 54(2-3), 1163-1193.