POLÍTICA ECONÓMICA
Los "spillovers" del COVID-19 sobre el empleo y el ingreso en Perú
Spillovers of COVID-19 on Employment and Income in Peru
Los "spillovers" del COVID-19 sobre el empleo y el ingreso en Perú
Apuntes del Cenes, vol. 42, no. 75, pp. 161-195, 2023
Universidad Pedagógica y Tecnológica de Colombia (UPTC)
Received: 08 November 2022
Accepted: 15 January 2023
Resumen:
En este trabajo se estiman los efectos spillovers (de derrame) del COVID-19 sobre empleo (total, formal e informal) e ingresos reales de un grupo de provincias del Perú denominadas "tratadas o de tratamiento", en el período del virus 2020-II-2021-IV. Estos spillovers se asocian al comportamiento de las personas que incumplieron el confinamiento, se aglomeraron en espacios relativamente pequeños, no usaron medidas de protección contra el COVID-19. Las mediciones de estos efectos se apoyan en Cao y Dowd (2019) y en la Encuesta Nacional de Hogares del INEI-ENAHO (2022) del período 2011.I-2021-IV, que es la base de datos principal del estudio. Dos resultados principales del estudio son, por un lado, que el COVID-19 y las políticas de confinamiento y transferencias a pobres y empresas contribuyeron en promedio en más del 50 % del decrecimiento del empleo total, el formal y el ingreso real (de la población económicamente activa ocupada provincial), y al incremento de la informalidad para el grupo de provincias tratadas. Por otro lado, los efectos spillovers atenuaron los efectos negativos de la disminución del empleo formal y del ingreso real de dichas provincias. Clasificación JEL: 118.
Palabras clave: COVID-19, efectos spillovers o de derrame, Perú, empleo, ingresos.
Abstract: This paper estimates the spillovers effects of COVID-19 on employment (total, formal, and informal) and real income of a group of Peruvian provinces called "treated or treatment" in the period of the virus 2020- II-2021-IV. These spillovers are associated with the behavior of people who broke the confinement, crowded into relatively small spaces, and did not use protective measures against COVID-19. The measurements of these effects are based on Cao and Dowd (2019), and on the INEI-ENAHO National Household Survey (2022) for the period 2011.I-2021-IV, which is the main database of the study. Two main results of the study are, on the one hand, that COVID-19 and the confinement policies and transfers to the poor and companies contributed on average to more than 50% of the decrease in total employment, formal employment, and real income (of the economically active population employed in the province), and to the increase in informality for the group of provinces covered. On the other hand, the spillovers effects attenuated the negative effects of the decrease in formal employment and real income in said provinces.
Keywords: COVID-19, spillovers effects, Peru, employment, income.
INTRODUCCIÓN
La pandemia del virus COVID-19, iniciada el 12 de diciembre del 2019 en Wuhan, China (Zhou et al., 2020), ha producido estragos en materia de salud pública y de economía alrededor del mundo. Desafortunadamente, el Perú ha liderado las nefastas estadísticas en el mundo, pues es el país líder del número de fallecidos por millón de personas y con tasa negativa de crecimiento del producto bruto interno (PBI) en los años 2020-2021 (Tabla 1).

Estudio previos de los efectos del COVID-19 y políticas en el Perú (Tello, 2022; Jaramillo & López, 2021) señalan que las políticas públicas implementadas en el período COVID del 2020 en este país explican gran parte de los efectos negativos en los indicadores de ingresos y empleo, y que además no se logró una política efectiva de aislamiento que combinara la persuasión de los ciudadanos para autoaislarse, el monitoreo de su evolución y el aislamiento provisto por el Estado en los casos de mayor riesgo o necesidad.
A raíz de estos hechos, el objetivo del trabajo es ahondar en la estimación de los efectos COVID-19 y sus políticas en el Perú, incorporando los efectos de derrame o spillovers asociados al comportamiento inadecuado de las personas, las cuales no respetaban los protocolos de uso de mascarillas y de distancia, producían aglomeraciones de personas en espacios reducidos y se movilizaban laboralmente, violando así las políticas de confinamiento.
El trabajo se compone de cinco secciones. En la primera, se resumen los hechos estilizados del período COVID-19 entre el segundo trimestre del 2020 al cuarto trimestre del 2021. La segunda expone de forma breve la literatura sobre las estimaciones de los impactos del COVID-19 en las economías. La tercera describe el diseño no experimental y la metodología usada para estimar los efectos de los comportamientos inadecuados sobre el empleo e ingreso real en las provincias del Perú en el período COVID-19 (2020.II-2021.IV). La cuarta presenta los resultados de las estimaciones y la quinta resume las principales conclusiones del estudio.
LOS HECHOS ESTILIZADOS DEL COVID-19 EN EL PERÚ: 2020-2021
Las cifras internacionales del COVID-19 para un grupo de países de la Tabla 1 revelan la preocupante posición del Perú en términos de diagnosticados y fallecidos por COVID-19 y de tasas de crecimiento del producto bruto interno (PBI) en el periodo 2020-20211. Tales cifras indican que el Perú es el líder en fallecidos por COVID-19 y el país que tuvo la tasa más alta de decrecimiento del (PBI).
A raíz del primer caso del COVID-19, el 6 de marzo del 2020, el Gobierno del Perú (como todos los países del mundo) implementó una serie de medidas que supuestamente deberían evitar la propagación del virus hacia toda la población. Luego, para atenuar las consecuencias económicas de las medidas, se hicieron transferencias a personas y empresas, créditos con garantías del Gobierno y se aprobó la posibilidad de retirar los ahorros provisionales. Entre las principales medidas implementadas por el Gobierno se destacan2:
i) Una cuarentena a nivel nacional (iniciada el 16 de marzo de 2020) y focalizada por regiones (desde mayo de 2020) y provincias de acuerdo con el riesgo de contagio (desde octubre de 2020);
ii) una partida presupuestal por CO-VID-19 (desde el 11 de marzo del 2020 a la fecha) para disponer de recursos para distintos bienes y servicios requeridos por la emergencia de la pandemia;
iii) implementación de distintos programas de transferencias a los grupos vulnerables: bonos para hogares en condición de pobreza y pobreza extrema (de marzo a diciembre 2020); bono independiente para los informales independientes (desde finales de marzo a diciembre 2020), bono rural (de abril a diciembre 2020), bono familiar universal (de agosto a diciembre 2020) y bono 600 (de febrero a julio 2021);
iv) créditos con garantía a las empresas con énfasis en la micro y pequeña empresa: Programa Reactiva Perú, que otorga créditos a empresas de todo tamaño con garantías del Gobierno hasta un monto de 10 millones de soles (de abril a diciembre 2020);
v) Programa de Garantías COVID-19, con el objeto de reprogramar pagos por créditos otorgados a personas; y
vi) retiro de pensiones y CTS. La CTS de abril a diciembre 2021 y las pensiones de las AFP desde abril 2020 a la fecha.
Las estrictas medidas de confinamiento tuvieron una respuesta inadecuada de comportamiento por una gran parte de la población, la cual no respetaba el confinamiento o las medidas de protección de la salud (en distancia y uso de mascarillas), como se ilustra en la Figura 1.

La Tabla 2 presenta las cifras de los indicadores de empleo e ingreso real en el Perú que fueron afectados por el COVID-19, las políticas del Gobierno y, probablemente, por el comportamiento inadecuado de las personas. Esto último, en términos técnicos, representa los "efectos spillovers" (o de derrame) del COVID-19. La Tabla 2 presenta además las cifras de empleo e ingresos de 90 provincias del Perú que se determinan como parte del diseño no experimental del trabajo expuesto en la tercera sección. Estas se dividen en 59 provincias denominadas "tratadas o de tratamiento" con altas tasas de diagnosticados con COVID-19 (mayores que el 1 % con respecto a la población de la provincia) y 31 provincias denominadas "de control" con bajas tasas de diagnosticados con COVID-19 (con máximo el 1 % con respecto a la población de la provincia)3.

Las cifras de la Tabla 2 revelan que en el período del COVID-19 (desde el segundo trimestre del 2020 al cuarto trimestre del 2021), el empleo total y el formal disminuyeron también en esos años con respecto al empleo del 2019. Por otro lado, el empleo informal igualmente bajó en el 2020, aunque en el 2021 se recuperó aumentando el empleo informal con respecto al año pre-COVID 19. También, los ingresos reales de las personas en el Perú disminuyeron en ambos años del COVID-19 con respecto al año de pre-COVID 19.
La división de las 90 provincias de la muestra del diseño no experimental del trabajo revela asimismo diferencias claras entre las provincias tratadas y las de control. Así, las provincias de control, en promedio, tienen menores niveles de ingreso y mayores tasas de informalidad o menores tasas de empleo formal que las provincias tratadas. Sin embargo, la tasa de empleo total (formal e informal) es mayor en las provincias de control con respecto a las provincias tratadas. A pesar de estas diferencias, los efectos negativos del empleo e ingreso real afectaron a las 90 provincias de la misma forma que para el promedio del Perú en el 2020. En el 2021, los cambios de estos indicadores en las provincias tratadas y de control fueron también similares al promedio del Perú, a excepción del nivel de ingreso real de las 31 provincias de control, el cual se recuperó en el 2021 con respecto al año pre-COVID-19.
Aparte de las características diferentes entre las provincias tratadas y aquellas del grupo de control, una distinción importante en los indicadores de los dos grupos es que la magnitud (en valor absoluto) de los efectos negativos de la mayoría de los indicadores es mayor para el grupo de provincias tratadas que para las del grupo de provincias de control. La excepción fueron los indicadores de empleo formal e ingreso real del 2020. Para las provincias de control, el empleo y el ingreso real disminuyeron en un 18.8 y 18.3 % respectivamente, mientras que para el grupo tratado disminuyeron en un 10.9 y 12.6 %. En el 2021 las magnitudes de los efectos de los indicadores fueron mayores para las provincias tratadas que aquellas de las respectivas de control.
REVISIÓN DE LA LITERATURA DEL COVID-19
La literatura sobre los impactos de COVID-19 es inmensa4. Esta analiza múltiples aspectos desde los económicos y sociales hasta los sicológicos y mentales. Sin embargo, estudios que usan las técnicas de control sintético (CS) aplicados a comportamientos inadecuados en el periodo COVID-19 son prácticamente inexistentes. Los trabajos más cercanos internacionales son los de Mitze et al. (2020), Lim et al. (2021), y Zhang et al. (2022). En todos estos estudios el método CS produjo evidencias sobre la efectividad del uso de mascarillas en Alemania, del confinamiento en Inglaterra, y en los incrementos de los casos de COVID-19 debido a las aglomeraciones en las elecciones de políticas en Malasia.
Respecto a la literatura peruana, dos estudios están directamente relacionados con el aporte del presente trabajo. Por un lado, Jaramillo y López (2021) analizan las limitaciones de ciertas políticas COVID-19 y su impacto en la propagación del virus en la población. Por otro lado, Tello (2022), con técnicas novedosas5, estimó los efectos del COVID-19 y las políticas del Gobierno. A pesar de los resultados de estos estudios, hubo otros elementos que agravaron las altas tasas de contagios y fallecidos por COVID-19 e incidieron en el empleo e ingresos de la población peruana. Entre los más importantes de dichos elementos está el comportamiento inadecuado de las personas (Figura 1), quienes no respetaban los protocolos de uso de mascarillas, de distancia y de confinamiento. Este trabajo estima los impactos sobre el empleo e ingresos en el período COVID-19, tomando en cuenta estos comportamientos inadecuados de las personas, denotados como efectos spillovers (de derrame).
METODOLOGÍA Y DISEÑO NO EXPERIMENTAL DEL CONTROL SINTÉTICO CON "SPILLOVERS"
Diseño de investigación no-experimental
Comprende los siguientes aspectos:
i) El objetivo del diseño es el análisis del impacto del COVID-19 y las políticas que se implementaron considerando efectos indirectos o de derrame (en inglés spillovers) asociados al comportamiento de las personas. El comportamiento inadecuado de las personas que se considera en el estudio es el de no acatamiento de las restricciones de inmovilidad (cuarentena y toques de queda) y de protección sanitaria (como uso de mascarillas y guardar distancia entre personas). Dicho comportamiento puede haber agudizado las magnitudes de los contagios y fallecidos e incidido en los impactos económicos y sociales del COVID-19 y políticas COVID. Los impactos estimados son sobre el empleo y los ingresos de las provincias en el período COVID-19, por trimestre, desde el 2020.II al 2021.IV.
ii) El estudio utiliza tres fuentes de base de datos: la Encuesta Nacional de Hogares (INEI-ENAHO, 2022); la plataforma de Transparencia Económica del Ministerio de Economía y Finanzas (MEF, 2022), y los datos actualizados y ajustados del COVID-19 del Ministerio de Salud (MINSA, 2022). Datos auxiliares, como el deflactor del PBI y otros indicadores son obtenidos del Banco Central de Reserva del Perú (BCRP, 2022) y el INEI (2022).
iii) La frecuencia del análisis t es el trimestre-anualizado del período 2011-2021. El período pretratamiento es 2011-2021-I (0 <t < T0). El período COVID-19 de tratamiento o de intervención es 2020-II-2021-IV (To ≤ t ≤ T). Para reducir las fluctuaciones trimestrales, cada variable (Xto Yt) es medida de forma trimestral-anualizada. Así, para cada trimestre t, el dato trimestral-anualizado seríaXt =
donde X't es el valor trimestral de la variable X. Las variables monetarias son medidas en términos reales usando el deflactor del PBI nacional. iv) La unidad de análisis son las provincias del Perú, las cuales se dividen en dos grupos, los de tratamiento y los de control. Dado que no existen provincias sin contagiados y/o fallecidos por COVID-19 en el período de tratamiento, se han dividido las 196 provincias del Perú por el porcentaje θ de personas contagiadas por COVID-19 relativo a la población de la provincia en los tres últimos trimestres del 2020 (2020.II-2020.IV)6. Dicho parámetro o umbral separa a las provincias de control con θ < θ0 de las provincias tratadas con θ > θ0. El umbral definido es θ0 = 1.0%. Una provincia se considera de tratamiento o tratada si al menos un trimestre de los últimos tres trimestres del 2020 tuvo un umbral superior al 1 %. Una provincia se considera de control si no es provincia de tratamiento, es decir, son provincias que todos los trimestres del 2020 tuvieron un umbral menor que el 1 %. Dado este umbral, se identificaron 59 provincias tratadas y 31 provincias de control, las cuales disponían de toda la información relevante de la metodología empleada. La lista de las provincias de control y tratadas se muestra en la Tabla A0 del anexo.
La literatura de los "efectos causales" de tratamientos específicos a unidades (firmas, personas, áreas geográficas, etc.) es extensa. Un grupo de métodos que estiman dichos efectos es el método del control sintético (SC, por sus siglas en inglés) resumido en Abadie (2021) y Grossi et al. (2021). En ciertos supuestos7, este método utiliza un promedio ponderado de las variables-resultados de las unidades denominadas de control para reconstruir las variables-resultados potenciales para las unidades tratadas. Estos promedios ponderados, llamados controles sintéticos, se construyen minimizando la distancia entre las variables-resultados en el período de pretratamiento y covariables para las unidades tratadas.
Uno de los supuestos principales de los controles sintéticos es que el valor de la unidad de tratamiento es estable. De acuerdo con Cox (1958), este supuesto implica dos aspectos que requieren cumplirse. El primero, que los efectos del tratamiento sean constantes, y el segundo, que la observación de una unidad no se vea afectada por el tratamiento aplicado a otras unidades; y alternativamente, según Rubin (1980), que el tratamiento recibido por una unidad no afecte las variables-resultados de ninguna otra unidad. Otras interpretaciones de este segundo aspecto son las propuestas por Green y Gerber (2010, 2012), y Angrist et al. (1996). El primer grupo de autores sostiene que con la definición de efecto causal8, los resultados potenciales para una observación determinada responden solo a su propio estado de tratamiento. Esto es, que los resultados potenciales son invariantes a la asignación aleatoria de otros. El segundo grupo de autores afirman que los resultados potenciales para cada persona no están relacionados con el estado de tratamiento de los otros individuos. Cuando este supuesto no se cumple, se dice que existen interferencias o efectos derrame (spillovers) entre las unidades observadas. Estos spillovers pueden ser de distintos tipos, como los describen Green y Gerber (2012, 2010)9.
v) Dado que no existe información directa sobre los comportamientos inadecuados de los individuos, se asumirá, en el diseño, que ellos están asociados a varias fuentes potenciales que pueden explicar dichos comportamientos. Los indicadores o criterios de las fuentes de spillovers usados en el trabajo son nueve y están listados en la Tabla 3. Las cifras de esta tabla 3 muestran otras diferencias notorias relacionadas con los indicadores o criterios de fuentes de comportamientos inadecuados entre las provincias tratadas y de control.
Se identificaron nueve criterios de fuentes. A excepción de la tasa de criminalidad obtenida del INEI (2022), el resto de los indicadores se obtuvieron de INEI-ENAHO (2022).
Las cifras de la Tabla 3 señalan que el grupo de provincias tratadas tienen un mayor nivel del índice de criminalidad, educación, ingreso real, y densidad geográfica, que aquellas del grupo de control. Por otro lado, este grupo tiene una mayor tasa de informalidad y un mayor porcentaje de mujeres entre 15-65 años del total de miembros del hogar que el grupo de provincias tratadas. Para el resto de los indicadores de fuentes potenciales de spillovers, las diferencias no son notorias entre las provincias de los dos grupos.

Se asumirá que estas fuentes, que inciden en el comportamiento de los individuos, producen interferencias o efectos spillovers sobre las variables-resultados socioeconómicas en los efectos y políticas del COVID-19. Dichos efectos de las potenciales interferencias son estimados y validados (o rechazados) mediante el método CSS y las respectivas pruebas de hipótesis desarrolladas por Cao y Dawd (1919)10. Este método asume que los efectos indirectos son lineales en algún parámetro desconocido e introduce estimadores tanto para los efectos directos del tratamiento como para los efectos de las interferencias o spillovers11. A continuación, se describen los componentes del método de Cao y Dowd (2019).
La metodología de control sintético con "spillover" (CSS)
i) Dada la división de las 90 provincias del Perú entre las 59 tratadas y 31 de control, las cifras de la Tabla 3 indican que la diferencia del promedio de parámetro umbral, θ, entre las provincias de control y tratadas es significativa. Así, el umbral promedio de las provincias de control representa solo el 30 % del umbral promedio de las provincias tratadas. Adicionalmente, el valor mínimo del umbral promedio (trimestral) de las provincias de control representa solo el 20 % del respectivo mínimo de las provincias tratadas. Esto significa que la diferencia entre variable resultado Yt correspondiente a las provincias tratadas con altas tasas de diagnosticados con COVID-19, y la variable resultado sintética con spillovers, Y¡tscs, de bajas tasas de diagnosticados con COVID-19, mide el efecto del diferencial de diagnosticados con COVID-19 de las provincias tratadas, si estas tuvieran bajas tasas de diagnosticados con COVID-19; y, alternativamente, por las bajas tasas del grupo de control que la diferencia de la variable y la correspondiente variable sintética mide el efecto del COVID-19 y las políticas que se implementa-ron por el virus.
La frecuencia de los datos es trimestral. La variable-resultado para la unidad tratada es denotada como *it en el período 't'. La variable-resultado para las unidades no tratadas se denota como Yit, i= 2...N, t = 1 ... T0... T1
ii) Sea N el número de provincias de control más la de tratamiento. Se asume que existe N -1unidades (provincias) del grupo de provincias de control.
iii) Sea el vector 'a' de orden
que mide los efectos directos, si i ≠ 1,el indirectos o spillovers si i≠1, el cual es definido por:

Donde Ycssit es la variable-resultado sintética o contrafactual, la cual incluye una estructura conocida de spillovers, tanto para la unidad de tratamiento (i=1, o α1t) como para las unidades de control (i ≠ 1).
iv) El método asume una estructura lineal de los efectos spillovers y definidos por la matriz A. Los efectos con spillovers son definidos como:

Donde ns es el número de unidades o provincias fuentes de los efectos spillovers, incluyendo la provincia tratada. La matriz y 4.se asume que no cambia en todo el período COVID-19. Los valores de dicha matriz son unos y ceros12. Uno para la provincia tratada y todas las provincias de control que producen los efectos spillovers y cero para el resto de los elementos de la matriz.
Para fines de robustez de los impactos, se construyen cuatro matrices diferentes asociadas a cuatro simulaciones Si ; i =1 - 4. La primera simulación St la provincia de control con valor de uno es la provincia con el valor extremo (máximo o mínimo) del indicador de la fuente que genera el comportamiento inadecuado. Para los indicadores de la tasa de delincuencia o criminalidad (por cada 10 000 habitantes), la densidad de miembros del hogar (promedio del número de miembros por hogar), la edad promedio (entre 15 y 65 años) del jefe del hogar en años, el promedio del porcentaje de miembros mujeres (entre 15-65 años) del total de miembros del hogar, la tasa de informalidad, el porcentaje del gasto de consumo de bienes alimenticios del gasto total del hogar, y la densidad geográfica de la provincia donde reside el hogar (en habitantes por kilómetro cuadrado), se toman los valores máximos entre todas las provincias de control. Para la fuente del nivel educativo promedio de los miembros del hogar y el promedio del ingreso real mensual del hogar (base 2007) se toman los valores mínimos entre todas las provincias de control.
La segunda S2 y S3 tercera simulación considera valores de uno para las provincias de control que tienen los tres y cinco valores extremos respectivamente de los indicadores de las fuentes de comportamiento inadecuado. La última simulación S4 considera a las provincias cuyos indicadores sean mayores o menores que el promedio del indicador de la fuente del comportamiento inadecuado. Menores para el nivel educativo e ingreso real, y mayores para el resto de los indicadores.
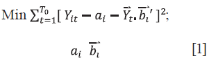
v) Se estima el control sintético estándar (modificado por Cao y Dawd (2019) de la variable resultado para las N provincias (de control y la tratada) a través de la siguiente optimización:

Note que de [1] se obtienen N valores de α¡ y de
= [ωi]. También en [1] se impone que
= 0 (Cao & Dowd, 2018). Donde Yit es la variable-resultado de unidad 'i' en las frecuencias 't' del período de pretratamiento, T0,
es el vector de las variable-resultado de las N unidades de control y de tratamiento, en la frecuencia 't', si i=1 entonces la unidad o provincia es la tratada;
es el vector de pesos wi correspondientes a las unidades o provincias 'i'.
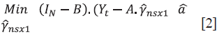
vi) Se forman las siguientes matrices13:
La matriz BNxN es conformada por las ponderaciones o pesos w¡ de los controles sintéticos14. Los elementos de la diagonal [bjj= 0] son cero. Esto es:

La matriz 
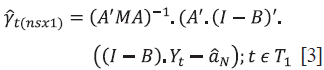
vii) Se determina
mediante la siguiente optimización:


Donde T1 es el período postratamiento. En [3] se asume que la matriz A'MA es no singular (i.e., posee inversa) y que en el período de postratamiento la matriz de los spillovers A no cambia en el período postratamiento15. El primer supuesto es la condición de invertibilidad de Cao y Dowd (2019). También de [3] y de [2] se obtiene que los estimadores
nsxi y
los cuales cambian por cada frecuencia 't' del período postratamiento y que dicho cambio depende de la variable-resultado Yt del período de postratamiento.
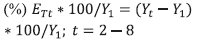
viii) Los componentes del efecto total (ETt= Yt- Y1) con respecto a la variable resultado del último trimestre del periodo pretratamiento o pre-COVID-19 (es decir, el primer trimestre del 2020, 2020.I) son: el efecto COVID-19 y políticas (EC&Pt), el efecto spillover (ESpt ); y los errores de las estimaciones de los controles sintéticos (EEt). Formalizando16:
ETt= Yt-Y1=EC&Pt+ESPt+EEt; T1: t= 2,3,4,5,,6,7,8 ( note que t son trimestres del período T1 )


Donde ETt es el efecto total en el trimestre 't' del periodo postratamiento (período COVID 19, del 2020.
II al 2021.IV); *csst es el estimado control sintético con spillover de la variable-resultado de la provincia tratada en el trimestre 't' del período T1 (de tratamiento o COVID-19).17EC&Pt, es el efecto COVID-19 con sus políticas. Este efecto es el efecto total descontado el error en la estimación de la variable-resultado del trimestre 't' incluido el spillover con respecto al trimestre inicial (2020.I) también con spillover. En ausencia de este error, EC&Pt= ETt; ESPt es el efecto neto del spillover en el trimestre 't'. Note que Ycst es la variable-resultado estimada del control sintético sin spillovers; EEt son los errores que se cometen por las estimaciones de la variable-resultado del control sintético sin spillovers. Estos cuatro efectos son medidos en términos porcentuales con respecto a la variable-resultado Y1 del primer trimestre del 2020.

ix) iguiendo a Cao y Dowd (2019), se realizan dos pruebas de hipótesis que se basan en el estadístico P-test de Andrews (2003) para cada frecuencia 't' del período COVID-19. En total se tienen siete trimestres (desde el 2020.II al 2021.IV). Las dos pruebas de manera general distinguen dos hipótesis:

La primera prueba es la existencia o no del efecto del tratamiento18(TE). En este caso, el orden de C0 es 1xN y los elementos de C son 1 o 0. Es uno para la unidad o provincia que se requiere validar si existe efecto tratamiento, y 0 es para el resto de las provincias. En esta primera prueba el orden de d0 es 1x1 y su valor cero. La segunda prueba se refiere a la existencia o no de efecto spillover (SP). En este caso, el orden de C'o es (N-1)xN siendo la matriz C'o= [
(N-1)x1; I(N-1)] y el orden de d'0 es (N-1)x1 cuyos elementos son ceros. Para ambas pruebas, el estadístico y niveles de significancia del P-test que desarrollan Cao y Dowd (2019) se basa en P=(C
-d)'. W.(C
-d), (o(C'Q
- d'0)’. W. (C0.
- d',0)) donde W es la matriz identidad19.
x) Para cada una de las 59 provincias tratadas y las cuatro simulaciones se realizaron las dos pruebas estadísticas en los siete trimestres del período COVID-19 de los años 2020 y 2021 y por cada uno de los 9 indicadores de las fuentes de spillovers asociados al comportamiento inadecuado de los individuos. Esto implica que se hicieron 29736 (=59x4x7x9x2)20 pruebas estadísticas. De este conjunto se seleccionaron, para cada indicador fuente de spillover, las provincias tratadas que tuvieron pruebas estadísticamente significativas en las dos hipótesis para cada simulación y en por lo menos dos trimestres del período COVID-19 (2020.II-2021-IV). La siguiente sección presenta los resultados de dichas pruebas.
Finalmente, para una mejor apreciación de la aplicación de los métodos CS y CSS las variables resultados (a excepción del empleo total) fueron estandarizadas. La variable resultado estandarizada se obtiene de dividir la variable resultado anualizada por trimestre de cada provincia entre el promedio de la variable resultado anualizada del período pre-tratamiento 2011.I-2020.I del grupo de provincias tratadas. Estos indicadores estandarizados reflejan con mayor precisión los estimados de los indicadores estandarizados sintéticos basados en las provincias de control, dado que la diferencia entre ambos indicadores estandarizados es mucho menor que la que existiría si se considera a los indicadores oficiales sin estandarización.
ESTIMACIÓN Y RESULTADOS
La Figura 2 describe los promedios de las variables-resultados de empleo e ingresos de cada grupo de control y el tratado, en los cuales se aplicarán las técnicas CSS para las 90 provincias del Perú. En promedio, la evolución de dichas variables es similar en el período 2011-2021. Sin embargo, por cada criterio de la fuente potencial de los spillovers, las evoluciones son diferentes21.

En una serie de figuras y tablas disponibles22 se reportan las evoluciones del empleo (total, formal e informal) e ingreso real observados, los estimados por control sintético (CS), y los estimados por el control sintético con spillovers (CSS) que se derivan de los nueve criterios de fuentes de comportamientos inadecuados. La mayoría de las evoluciones (del periodo 2011.I al 2021.IV) tienen comportamientos similares, a pesar de las diferencias en las magnitudes de la raíz cuadrada de los errores medios cuadráticos, RMSE, estimados. Las magnitudes de estos errores son relativamente bajas, como se observa en las tablas de resultados de las estimaciones. Los promedios de los resultados de las estimaciones de los efectos en las provincias tratadas se presentan a continuación.
Empleo o población económicamente activa ocupada (PEAO)
Las tablas 4 al 6 reportan las cifras de los efectos spillovers promedios sobre el empleo total, el formal e informal23. Estos promedios se obtienen de las provincias tratadas, cuyas pruebas SP y Ti;24 son estadísticas significativas. En promedio, para los indicadores del empleo (total, formal e informal) resultaron 27 provincias tratadas25. Estas tablas incluyen los efectos totales, ET, los efectos del COVID-19 y sus políticas, EC&P, los efectos de los spillovers, ESP, y los errores, EET definidos en la sección anterior. Los efectos y errores están medidos en cambios porcentuales con respecto al empleo del primer trimestre del 2020 (2020.I). Las tablas también incluyen los valores de los indicadores de la fuente de spillover de cada simulación (Si, i=1-4) los errores cuadráticos medio (en inglés root mean square error, RMSE) del período pre-COVID (2011.I al 2020.I) del control sintético estimado, RMSE-Pre-COVID-19, el correspondiente al período COVID- 19, RMSE-COVID (del 2020-II al 2021-IV), y los mismos errores para el control sintético con spillovers, es decir, RMSE-SP- Pre-COVID y RMSE-SP- COVID, respectivamente.
Las cifras de las tablas indican, por un lado, que los efectos totales (ET) y el de COVID-19 y políticas (EC&P) en el empleo total y el formal fueron negativos en prácticamente todas las simulaciones e indicadores de comportamientos inadecuados. Estos resultados son consistentes con la disminución del empleo total y formal de los años 2020 y 2021 para toda la economía. De manera similar, los efectos totales y del COVID-19 y políticas sobre el empleo informal fueron positivos y consistentes con el aumento de la informalidad en la economía en los años 2020 y 2021. Por otro lado, al parecer los efectos spillovers contrarrestaron en parte los efectos de la reducción de la formalidad y/o incremento de la informalidad también en casi todas las simulaciones efectuadas26. En el caso de los efectos spillovers sobre el empleo total en la mitad de las simulaciones, estos contrarrestaron los efectos negativos del COVID-19 y sus políticas. Cabe mencionar que una disminución del empleo total, formal e informal origina un aumento en la tasa de desempleo en los años 2020 y 2021 con respecto a la tasa de desempleo del 201927.
Finalmente, los criterios de spillovers que resultaron con los efectos de mayor magnitud son las tasas altas de criminalidad para el empleo total y los bajos niveles de educación y de ingresos para los empleos formal e informal. Los resultados de los efectos del COVID-19, políticas y spillovers sugieren que si bien el comportamiento inadecuado de la población puede haber exacerbado el porcentaje de población contagiada y fallecida por el virus, este mismo comportamiento atenuó los efectos negativos del COVID-19 y las políticas de confinamiento, cuarentena, toque de queda e inmovilidad laboral.






Ingreso real
Los resultados de las estimaciones se muestran en la Tabla 628. El formato del cuadro es igual a los formatos de los efectos del empleo. Las cifras de los efectos promedios de 28 provincias tratadas indican que el efecto total observable (Et) y el efecto del COVID-19 y políticas (EC&P) fueron negativos para la mayoría de las simulaciones e indicadores de spillovers. Es decir, los ingresos disminuyen en el período COVID-19 con respecto al primer trimestre pre-COVID-19 del 2020. Los efectos de los spillovers, sin embargo, son diferentes. En la mayoría de las simulaciones y de indicadores de los spillovers, el efecto es positivo, o sea, el comportamiento "supuestamente inadecuado" ante la cuarentena o la inmovilización laboral pudo haber incrementado el número de fallecidos y/o diagnosticados con COVID-19, pero dicho comportamiento atenuó un poco los efectos negativos sobre los ingresos debido al COVID-19 y políticas29. Por último, el criterio de spillover cuyo efecto tiene la mayor magnitud es el nivel educativo de la PEAO.
En síntesis, y tomando en cuenta los efectos sobre el empleo (total, formal e informal) e ingreso real, los resultados del diseño no experimental realizado sugieren que el comportamiento inadecuado del no acatamiento de la cuarentena y las medidas de protección (mascarillas y distancia-miento) de las personas, si bien puede haber tenido efectos negativos en la salud de las personas, en términos de empleo e ingresos, estos efectos atenuaron en parte los efectos negativos del COVID-19 y sus políticas, pero no lograron contrarrestar por completo dichos efectos.


CONCLUSIONES
Este trabajo estima los efectos spillovers (derrames) del COVI-19 sobre el empleo (total, formal, e informal) y los ingresos reales en un grupo de provincias denominadas "tratadas o de tratamiento" del Perú en el período COVID-19 del 2020-II al 2021-IV. Se asume que estos spillovers se originan del comportamiento inadecuado de las personas que condujo al desacato de la inmovilidad laboral, el confinamiento y la cuarentena, a las aglomeraciones de gente en espacios relativamente pequeños30 y/o falta de protección contra el COVID-1931. Las técnicas que se usaron para estimar los impactos fueron del control sintético (CS) y su ajuste con los efectos spillovers (CSS), ambas tomadas del estudio de Cao y Dowd (2019). La principal fuente de la base de datos usada es la Encuesta Nacional de Hogares del INEI-ENAHO (2022) para el período del 2011.I al 2021-IV. A excepción del empleo total, los datos del empleo formal e informal, y el ingreso real (variables-resultados del estudio) fueron estandarizados con el promedio trimestral de las provincias tratadas en dicho período. Se consideraron 59 provincias tratadas y 31 de control. El criterio de las provincias de control fue que el umbral 6 de diagnosticados con COVID-19 (con respecto a la población de la provincia) fuese mayor que el 1 % en por lo menos un trimestre del período COVID-19 del 2020 (2020. II-2020IV), de lo contrario las provincias son de control (θ≤1%).
Entre los principales resultados que arrojan las estimaciones de los métodos y empleados figuran, en primer lugar, que de los nueve criterios (indicadores) que se consideran como fuentes de estos comportamientos o spillovers, aquellos que produjeron los mayores efectos spillovers son el ingreso real promedio para el empleo formal (que incrementó en 16 % el empleo formal con respecto a la tasa de empleo formal del 2020.I), la edad del jefe del hogar para el empleo informal (que disminuyó en un 10.3 % con respecto a la tasa de informalidad del 2020.I)32, y el nivel promedio educativo de la PEAO provincial para el ingreso real (con un efecto positivo del ingreso real del 21 % con respecto a la cifra del 2020.I). Dichas tasas máximas para todos los criterios o indicadores de efectos spillovers se obtuvieron con la cuarta simulación que considera el valor promedio del indicador de spillovers.
En segundo lugar, el efecto de COVID-19 y sus políticas de confinamiento y transferencias a pobres y empresas, contribuyó en promedio a más del 50 % del decrecimiento del empleo total y formal, del ingreso real de la PEAO provincial, y al incremento de la informalidad para el grupo de provincias tratadas.
Tercero, los efectos spillovers, al parecer, atenuaron los efectos negativos de la disminución del empleo formal y de ingresos real de las personas. Eso significa que el no acatamiento de las medidas de seguridad de la salud, de confinamiento, así como las aglomeraciones, si bien pueden haber incrementado el número de diagnosticados y fallecidos por COVID-19, también impidieron o atenuaron parcialmente el decrecimiento de la tasa de formalidad y del ingreso real y el aumento de la tasa de informalidad, es decir, estas personas permanecieron empleadas recibiendo "ingresos". Cabe aclarar que las personas con comportamiento inadecuado, a menos que pasaran a la posición de desempleados, respondían de acuerdo con las encuestas de ENAHO a la ocupación previa al COVID-19 y, por consiguiente, continuaban trabajando y recibiendo ingresos por el no acatamiento del confinamiento.
Estos resultados sugieren que los comportamientos y reacciones de las personas o agentes económicos a las políticas del Gobierno requieren ser considerados al definir y aplicar dichas políticas. La experiencia y evidencia del COVID-19 en el Perú señalan que las inadecuadas políticas que se implementaron en el periodo del COVID-19, exacerbaron los efectos negativos sobre el empleo e ingresos reales de la población económicamente activa. Sin embargo, el inadecuado comportamiento de las personas como reacción a las políticas COVID-19, atenuó parcialmente los decrecimientos de la tasa de formalidad, niveles de ingreso real y los aumentos en la tasa de informalidad, dado que esas personas continuaban trabajando a pesar del confinamiento laboral.
AGRADECIMIENTOS
El autor agradece las recomendaciones de los evaluadores y el excelente apoyo de los asistentes Rodrigo Silupu, Sharon Espinoza y Braulio Escobar.
REFERENCIAS
Abadie, A. (2021). Using Synthetic Controls: Feasibility, Data Requirements, and Methodological Aspects. Journal of Economic Literature. 59(2), 391-425. https://doi.org/10.1257/jel.20191450
Andrews, D. W. K. (2003). End-of-Sample Instability Tests. Econometrica, 71(6),1661-1694. https://doi.org/10.1111/1468-0262.00466
Angrist, J., Imbens, G. & Rubin, D. (1996). Identification of Causal Effects Using Instrumental Variables. Journal of the American Statistical Association, 91(434), 444-455. https://doi.org/10.1080/01621459.1996.10476902
Banco Central de Reserva del Perú. (BCRP). (2022). Estadísticas. BCRP.
Cao J., & Dowd, C. (2018). Estimation and Inference for Synthetic Control Methods with Spillover Effects. PPT. University of Chicago Booth School of Business.
Cao J. , & Dowd, C. (2019). Estimation and Inference for Synthetic Control Methods with Spillover Effects. University of Chicago Booth School of Business.
Cox., D. (1958). Planning of Experiments. John Wileys & Sons.
Cunningham, S. (2021). Causal Inference the Mixtape. Yale University Press, New Haven & London. https://doi.org/10.12987/9780300255881
Di Stefano R., & Mellace, G. (2020). The Inclusive Synthetic Control Method. Department of Methods and Models for Economics, Territory and Finance. Sapienza University of Rome Via del Castro Laurenziano, Mimeo. https://doi.org/10.2139/ssrn.3737491
Ferman, B., & Pinto, C. (2021). Synthetic Controls with Imperfect Pre-treatment Fit. Quantitative Economics,12(4).https://doi.org/10.3982/QE1596
Grossi, G., Mariani, M., Mattei, A., Lattarulo, P., & Oner, O. (2021). Synthetic Control Group Methods in the Presence of Interference: The Direct and Spillover Effects of Light Rail on Neighborhood Retail Activity. Mimeo. Cambridge University.
Green, D., & Gerber, A. (2010). The Stable Unit Treatment Value Assumption (SUTVA) and Its Implications for Social Science RCTs. In Presentation at the Conference on Empirical Legal Studies, Yale Law School, November 5, 2010. https://community.lawschool.cornell.edu/wp-content/uploads/2020/12/Green-pre-sentation-on-SUTVA-for-CELS.pdf
Green, D., & Gerber, A. (2012). Field Experiments: Design, Analysis, and Interpretation. Norton.
Huntington-Klein, N. (2022). The Effect an Introduction to Research Design and Causality. CRC Press. https://doi.org/10.1201/9781003226055
INEI 2022. Estadísticas de seguridad ciudadana. INEI. https://www.inei.gob.pe/biblioteca-virtual/boletines/estadisticas-de-seguridad-ciudadana/1/
INEI-ENAHO. (2022). Encuesta Nacional de Hogares, años del 2011 al 2020. INEI.
Jaramillo, M., & López, K. (2021). Políticas para combatir la pandemia de COVID-19. Grade Documento de Investigación, (12). https://www.grade.org.pe/publicaciones/politicas-para-combatir-la-pandemia-de-covid-19/
Johns Hopkins (s.f.). COVID-19 Map. Johns Hopkins University. https://coronavi-rus.jhu.edu/map.html
Lim J., Maung, S., Tan, S., Ong, J., Lim, J., Koo, H., Sun, M., Park, K., TanI, J., Yoong, A., Cook, B. & Dickens, L. (2021). Estimating Direct and Spill-over Impacts of Political Elections on COVID-19 Transmission Using Synthetic Control Methods. PLOS Computational Biolog., 1-15. https://doi.org/10.1371/journal.pcbi.1008959
Ministerio de Economía y Finanzas (MEF). (2022). Transparencia Económica. Mineco. https://apps5.mineco.gob.pe/bingos/mantenimiento/Navegador/default.aspx
MINSA. (2022). Estadísticas del COVID-19. MINSA. https://covid19.minsa.gob.pe/sala_situacional.asp
Mitze J., Kosfeld, R., Rode, J. & Wälde, K. (2020). Face Masks Considerably Reduce COVID-19 Cases in Germany. PNAS, 117(51), pp. 1-9, https://doi.org/10.1073/pnas.2015954117
Mundo LR. (2020, 20 dic.). Perú es noticia en el mundo por aglomeraciones en compras navideñas. La República. https://larepublica.pe/mundo/2020/12/20/peru-es-noticia-en-el-mundo-por-aglomeraciones-en-compras-navidenas/
Our World Data. (2022). COVID-19 Data. https://ourworldindata.org/
Redacción Perú 21. (2020, 11 abr.). Coronavirus en Perú: Problemas para congelar alimentos en hogares habrían contribuido a aglomeraciones. Perú 21. https://peru21.pe/economia/problemas-para-congelar-alimentos-en-hogares-habrian-con-tribuido-a-aglomeraciones-noticia/?ref=p21r
Rubin D. (1980). Randomization Analysis of Experimental Data: The Fisher Randomization Test Comment. Journal of the American Statistical Association, 75(371), 591-593. https://doi.org/10.1080/01621459.1980.10477517
Shi, C., Sridhar, D., Misra, V., & Blei, D. (2022). On the Assumptions of Synthetic Control Methods. In Proceedings of the25thInternational Conference on Artificial Intelligence and Statistics (AISTATS)2022, Valencia, España.
Tello, M.D. (2022). Controles sintéticos y estrategia de dosis: un análisis provincial exploratorio de los efectos del COVID-19 en los ingresos, empleo y pobreza en el Perú, 2011-2020. Informe final CIES.
World Bank. (2022). World Development Indicators. World Bank.
Zhang, Z., Owen, G., Green, M., Buchan, I., &Barr, B. (2022). Evaluating the Impacts of Tiered Restrictions Introduced in England, During October and December 2020 on COVID-19 Cases: A Synthetic Control Study. BMJ Open,12 (4), 1-7. http://dx.doi.org/10.1136/bmjopen-2021-054101
Zhou, F., Yu, T., Du, R., Fan, G., Liu, Y., & Liu, Z. (2020). Clinical Course and Risk Factors for Mortality of Adult Inpatients with COVID-19 in Wuhan, China: A Retrospective Cohort Study. Lancet, 395(10229), 1054-1062. https://doi.org/10.1016/S0140-6736(20)30566-3
ANEXOS


Anexo 2.

Notes
Cómo citar
FINANCIAMIENTO
CONTRIBUCIÓN DE LOS AUTORES
Conflict of interest declaration