Artículos
Received: 14 December 2023
Accepted: 24 April 2024
DOI: https://doi.org/10.19053/uptc.01203053.v43.n78.2024.16971
Abstract:
The article presents an adaptative-institutional approach to determining the investment environment in the international tourism industry.
The amount of foreign direct investment flows from international corporations to the tourism industry is analyzed. An integral index of the investment of investment capital (assets) of international corporations in the economic system of the country according to the high and low level of development of the tourism industry is proposed and calculated.
The article concludes upon the necessity to create a favorable investment environment to stimulate Internalization of the Investment Environment in the International Tourism Industry further growth of tourist flows and infrastructure development. The volume of foreign direct investment in the tourism industry showed that these investments are balanced through a system of countercyclical regulation, which considers the requirements of the global economic system.
JEL Classification:F01; G3; L83; E22; Z3.
Keywords: International corporations, international tourism industry, investment risks, investment capacity, global economic system.
Resumen:
El artículo presenta un enfoque institucional de adaptación para determinar el entorno de inversión en la industria del turismo internacional.
Se analiza la cantidad de flujos de inversión extranjera directa de las corporaciones internacionales a la industria del turismo. Se propone y calcula un índice integral de la inversión de capital de inversión (activos) de las corporaciones internacionales en el sistema económico del país según el alto y bajo nivel de desarrollo de la industria turística.
El artículo concluye que es necesario crear un entorno favorable para la inversión que estimule el crecimiento de los flujos turísticos y el desarrollo de infraestructura. El volumen de inversión extranjera directa en la industria del turismo demostró que estas inversiones se equilibran mediante un sistema de regulación contracíclica, lo cual es acorde a los requisitos del sistema económico mundial.
Palabras clave: Corporaciones internacionales, industria turística internacional, riesgos de inversión, capacidad de inversión, sistema económico global.
INTRODUCTION
The current stage of world economic development marked by the liberalization of the economy and the expansion of international economic ties, has led to an increase in the scale of internalization. This has resulted in increased interdependence and interconnect-edness of national economies. The phenomenon of internalization has caused significant transformations in the world economy, affecting investment in the tourism industry, activating investment processes, and putting forward new quantitative and qualitative requirements for the development of countries with a weakened economic system in the international tourism business.
The international tourism industry has emerged as a significant contributor to the macroeconomic growth of most countries worldwide. It has also emerged as an effective channel for fostering cross-cultural understanding and collaboration, particularly between states, nations, and even civilizations. It plays a pivotal role in fostering mutual understanding and collaboration, as well as in resolving religious and social conflicts that have emerged in contemporary society.
Concurrently, the process of internalizing of the investment environment in the international tourism industry is dynamic and in alignment with the development models of international corporations, standardizing the quality criteria for service provision and influencing the pricing of the tourist product in the regulatory mechanisms of individual countries. It is important to note that the network universalization of the assortment of the services on an international scale is typified by the criteria of partnership relations in the tourism business (Farsari, 2012). Consequently, the international tourism industry is witnessing a profound shift in the investment environment, characterized by a shift towards a more diverse and complex investment landscape. This diversification is evident at all levels of universalization, encompassing a wide range of economic sectors and serving as a foundation for the pursuit of security and sustainable development.
The priority of our research is to develop an adaptive and institutional approach to determining the format of internalization of the investment environment in the international tourism industry for the reproduction of the service sector, which, through the prism of the investment paradigm, combines a standardized (global) approach to the expansion of the tourist segment (in accordance with the requirements for the unification of the quality of the tourist product) with a non-standardized an approach to investing investment capital of international corporations in separate economic systems of countries, in terms of their territorial features. This will facilitate the optimization of investment processes, the expansion of tourist facilities in international destinations, the distribution of investment resources between countries, and the provision of quality tourist services in accordance with the requirements of the global economic system.
This article examines the investment environment internalization in the international tourism industry with the objective of elucidating the key aspects of this process, identifying the factors influencing its effectiveness, and developing recommendations for improving the tourism market investment attractiveness. This article aims to provide a comprehensive analysis of the investment environment internalization in the field of international tourism. The aim is to enhance understanding of the key aspects of this environment and to determine their impact on the development of the tourism sector. Finally, recommendations for further improvement of this environment will be developed.
LITERATURE REVIEW
The peculiarity of the internalization paradigm of investing in the international tourism industry is a distinctive phenomenon. Production (increasing the share of investment capital of international corporations to expand the segment of the tourism industry, building up foreign assets of the tourism market in countries with a weakened economic system, international standardization and unification of the service sector); distribution (anticipatory increase of investment resources of the tourism sector in the gross domestic product (GDP) of countries, distribution of the accumulated capital of in-vestment funds for the reproduction of the tourism industry in countries with a weakened economic system, employment growth in tourism companies). The exchange of resources between international joint investment institutions and the tourism sector is a key aspect of this strategy. This involves the internalization of value in the tourism sector, changes in partnership relations and the exchange of investment resources to expand the network of international travel agencies and produce their investment capacity in countries with a weakened economic system. The consumption of investment resources, which is the internalization of consumption, has a positive effect on investors (international corporations) who accumulate resources and carry out specialized investment activities. These activities are typically conducted through transactions with securities, which ensure the networkization of services. Furthermore, the growth of the share of consumption of tourism products in the national income of countries has a positive effect on the tourism industry (Hill, 2013).
At all stages of the internalization of investment capital in the international tourism industry, the process of legal, economic and organizational conditions for sustainable development of the country takes place. All types of funds from the state budget that are transferred abroad or received from abroad by the decision of governments and capital that is managed by interstate intergovernmental organizations are official investment capital that is exported for the purpose of obtaining profit or expanding economic influence on international institutions of joint investment (Trusova et al., 2022). Stable partnership relations regarding investment in the production and implementation of services at the international level, with established rules, norms and self-regulation, allow for the identification of their architecture.
This is the result of the systemic interaction of universal investment institutions (institutes of demand and supply for investment capital, capital pricing, competition, ownership and internal-ization of investment income from the development of the tourism industry) and specific institutions of a non-market nature (visa, migration status, transport logistics, information ecosystems of the tourism industry and the provision of services in time and space, among other factors) (Tsviliy et al., 2023). The set of international institutions of joint investment is a form of internalization that ensures the proportions of the global distribution of resources in the trend of subject-species, territorial-geographic and regulatory diversification. This predominant use in the tourist market is informed by the principles of people-centeredness, humanism, tolerance, respect for freedoms and human rights, democracy, and mutual trust.
The absence of international corporations from the set of institutions engaged in joint investment represents a significant geographical diversification of direct foreign investment in the tourism industry. The isolation allows the formation of investment assets belonging to branched investment structures of the transnational type, with the objective of maximizing net investment income and generating excess profits on an international scale (Trusova et al., 2023). At the same time, the inter-nalization of investment income from investing in the tourism industry is the concentration of product production in the service sector in the legal, innovation-investment, spatial-territorial, socio-economic dimensions through the formation of international corporations that create a new competitive environment in the international economic system and implement a set of measures of a strategic nature for a country with a weakened economic system in the post-conflict (post-war) period.
The term "international corporation" is defined as a corporation that includes structural units in two or more countries, regardless of legal form and field of activity. Additionally, within the framework of the decision-making system, it carries out a coordinated policy and implements a general strategy through one or more command centers. Furthermore, it links individual units through ownership or in any other way, when one or more of these units can have a significant influence on the activities of others and, in particular, share knowledge, resources and responsibility with them (Yakubovskyi et al., 2006).
Accordingly, the organizational and economic concept of internalization of the in-vestment environment in the international tourism industry is unique and requires substantiation of the hypothesis regarding the expediency of the formation of a high-quality segment of tourist services by an international corporation in countries with a weakened economic system on the basis of an adaptive and institutional approach to investing in structural network companies of the tourism market. This approach includes both the forms and types of real (financial) investments for evaluating the quality criteria of the provision of tourist services (material infrastructure, reliability of services, knowledge of customer needs, etc.), and the criteria for evaluating the quality of tourism business entities (tourist transport, tourist accommodation facilities, maintenance of tourist flows, etc.) (Yevdochenko, 2010).
Although there is a paucity of scientific works dedicated to the subject of the contemporary evolution of the investment environment in the international tourism industry, a select few of these works address specific areas that warrant in-depth analysis. Stability and transparency of laws are crucial for studying the investment environment internalization in the international tourism industry since countries with clear, stable, and transparent investment rules and legislation are the most attractive for investors in the tourism industry. Levchenko et al. (2021) and Krupskyi et al. (2019) discuss the issues of legal regulation in the field of tourism in their works. The authors emphasize that it is necessary to harmonize legal rules at the international level in the field of international tourism.
The works by Polishchuk et al. (2019) and Chang (2018) provide insights into the economic component of the investment environment internalization. A review of the research conducted by leading scientists indicates that investments in the tourism industry yield a high rate of return and contribute to the rapid turnover of capital, thereby attracting investors. Furthermore, investors assess a country's resilience to economic crises and risks, such as natural disasters or political turbulence.
In their respective works, Britchenko et al. (2019) and Sarvarian (2023) seek to unify the theoretical approaches to internationalization in the international tourism industry. They also undertake a review of theories and concepts related to the internationalization of business and investment in the tourism sector. In their respective works, scientists have observed that countries that actively promote their tourism products, engage in marketing campaigns, and participate in international tourism exhibitions are more attractive to investors.
Wang et al. (2024) emphasize the crucial role of government management in shaping the investment environment in the tourism industry. Tang and Yu (2023), on the other hand, focus on the importance of government support as a necessary factor. Governments can actively work to create favorable conditions for tourism investment, providing financial support, tax incentives, and infrastructure development.
The World Economic Forum also published a rating of tourism competitiveness in European countries, where Switzerland took the highest position, followed by Germany, France, Austria, and Sweden. Ukraine did not receive significant advantages and found itself in lower positions next to Serbia, Moldova, and other countries.
Thus, the analyzed works confirm that the investment environment internalization in the international tourism industry involves creating favorable conditions for attracting capital and developing the tourism sector. This, in turn, contributes to the economic growth and social development of the country. The investment environment includes a set of fundamental financial, political, and socio-legal rules and organizations that determine the form of the social structure. The studies by the above scholars show that the issues of the adaptational-institutional approach to determining the format of the investment environment internalization in the international tourism industry remain insufficiently addressed. Given the above, there is a need to distinguish globalization trends in the development of international tourism in this article, which makes our research relevant and valued.
METHODS
International corporations, as investors planning to make portfolio investments in the tourism industry of a country with a weakened economic system, must, first of all, determine the form of their structure in the tourism market segment of this country (Fig. 1).

At each stage of the considered sequences of the formation of the structure of the investment portfolio of an international corporation (ICs) for the development of the tourism industry in a country with a weakened economic system, a set of specific securities is distinguished depending on the goals of their use. These goals include obtaining a quality (return and risk) close to the quality of the market portfolio, which is structured to correspond to the capitalization of the tourist market; obtaining a yield higher than the yield of the market portfolio; and hedging risk below market portfolio risk.
Simultaneously with the formation of the structure of the foreign investment portfolio of an international corporation must determine the principles of risk management. In parallel, the following options are available: to refrain from implementing any measures, in the hope that a favorable situation will arise; to diversify investments between countries with a more stable economic system and types of securities, as well as economic sectors and securities; to increase the share of investments in risk-free assets; to choose less risky assets and investment currencies based on the forecast of their quality; to take special measures to protect against adverse changes in asset prices and (or) exchange rates.
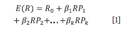
The arbitrage pricing theory of investment capital (assets) posits that the return on capital (asset) is determined by a number of general factors that affect the return on a security (asset). Arbitrage pricing of investment capital is common to all securities (assets), but they affect the level of expected income (price) of securities (assets). The level of expected income is sensitive to each of the factors. That is, this sensitivity ("beta") can be higher or lower for a specific security (asset). Accordingly, the level of expected income is sensitive to the interaction of these factors. The expected return on a security (asset) is a linear function of the "beta" coefficients (Rokocha et al., 2001):

where, RPk - the risk premium associated with the factor k; R0- risk free rate.
Factors affecting income from securities (assets) diversify the investment portfolio of international corporation for the development of the tourism industry in a country with a weakened economic system. This is due to the regulatory control mechanism of the parent structure of the international corporation. These factors are detailed into: real economic factors (economic growth of the tourism industry in the country, production of tourist product and use of the capacities of the country's industrial sector to serve the field of tourist services); monetary factors (changes in the interest rate on credit investment of tourism industry entities or changes in the level of inflation affecting consumer demand in the field of tourism services, etc.); internal factors (variable share of factors reflecting macroeconomic deviations of the crane with a weakened system of development of the tourism industry, which is dependent on the investment policy of countries with a powerful system of international cooperation and partnership, etc.); industrial factors (a set of factors common to all industries operating and serving the tourism industry in the country) (Rokocha et al., 2001).
The investment portfolio diversification model singles out such a feature of an international corporation as an investor who is concerned not only about the yield (profitability) of their investments, but also about reducing investment risk. The corporation prefers low profit but risk-free investments in the tourism industry. Suppose that an international corporation-investor has the opportunity to invest its capital W both in itself (in the country where the legal status of the parent structure is registered) and abroad (in a country with a weakened economic system). The optimal value of the structure of the investment portfolio (α) is determined by formula (2) (Rudenko-Sudarieva & Krysyuk, 2015):

where, α - optimal structure of the investment portfolio.
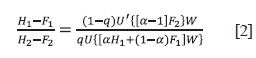
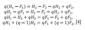
For an international corporation acting as an investor, a reduction in the level of risk U (C) occurs with an increase in the consumption of assets of a country with a weakened economic system; in other words, the greater the proportion of income spent on homogeneous goods and services, the lower the marginal utility of investments. That is, for an international corporation, the obtained scale of income from risky investments will have the same utility as from income with a smaller amount but using more reliable investment assets. If the marginal utility remains unchanged with a gradual increase in the income consumed for the expansion of the tourism business, then the level of investment risk will not be important for such an international corporation, since the selected investment portfolio will provide the same expected return as in the country where the legal status of the parent structure is registered, as well as in a country with a weakened economic system. If is U (C) the same for all C, then equality (3) will have the form (Solnik, 1983):

This hypothesis is interpreted as follows:

Accordingly, it is confirmed that the expected profitability of international corporations in both external and internal investment environments is equal. This indicates the corporation's intentions to expand its influence on the institutions of the international tourism industry. And it also indicates its intention to enter the tourist market of countries with a weakened economic system in order to expand production capacities and increase consumer demand for services. This equality is the foundation of the hypothesis that international corporations will internalize their investments in the tourism industry. In order to increase the profitability of their investments in the domestic and foreign tourism markets, international corporations will fulfill the balance of their investments in the tourism industry and accumulated capital, abstracting from the analysis of risks and liquidity of assets included in their investment portfolios. For the sake of argument, let us assume that H1 ≥ F1 and H2≤ F2. In this case, we will analyze the portfolio formation process graphically (Fig. 2).

The utility function Qu(C1) + (1 - q) f/(C2) represents segments of tourist services that an international corporation-investor can purchase with its income from investing funds under the first and second scenarios of the development of the tourism industry in a country with a weakened economy. Each indifference curve represents a portfolio that allows the international corporate-investor to obtain the same expected utility. The movement along the indifference curve is accompanied by a decrease in income and consumption under one scenario of accumulation of investment resources and their investment in the tourism industry of a country with a weakened economic system and their simultaneous growth under the second scenario. For example, reduction (C2) should be compensated by overgrowth (Cj) vice versa. All curves have a downward shape, that is U’ (C) decreases with increasing (C). In other words, a reduction (C]) requires a greater increase in consumption (C2), to maintain a similar level of utility.
According to equations (2)-(3), the choice of the structure of the investment portfolio of an international corporation, denoted by the coefficient (α), is formed by consumer demand in countries with a developed macro-regional and local-regional tourism system and its expansion into countries with a weakened economy, taking into account the particularities of their cultural heritage and natural destinations. Such differentiation of the choice of the investment portfolio of an international corporation allows to invest resources with a minimal risk of capital loss in each of the possible scenarios of the development of events in the tourism industry. That is, choosing the optimal investment portfolio is choosing the best combination of (Ci) and (C2). The line of budget constraints (the curve of the market efficient frontier) allows the international corporation-investor to make a choice between the expected income under the first and second scenarios. Accordingly, the coefficient (α) can be determined from equation (3) (Rudenko-Sudarieva & Krysyuk, 2015):

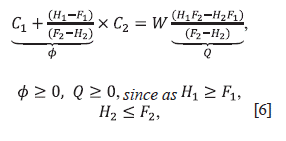
Substituting this expression into equation (2) are get the following equation (6) (Rokocha et al., 2001):

where, φ -the opportunity cost of an investment portfolio invested in the development of the tourism industry of a country with a weakened economic system, that is, obtained according to scenario 2, which is determined according to scenario 1, in the currency of the donor country of investment assets-plays the role of the relative price (angle of inclination); Q - the level of income of the consumer of tourist services (the maximum possible level of consumption of tourist products when implementing the investment portfolio of an international corporation according to scenario 1).
Thus, an international investor corporation transferring investment assets to a country with a weakened economic system deliberately determines possible losses (H1 - F1), in order to obtain potential income (F2 - H2). According to the first scenario, investments in the country where the parent structure of the tourism company has legal status are more profitable than in a country with a weakened economic system (unregulated economic reforms, budget restrictions due to high investment risk). However, according to the second scenario, the opposite is true (Solnik, 983). φ =the opportunity cost of the investment portfolio according to the scenario (C1):

where, J - the absolute value of the slope of the curve (line) of the budget limit for placing the investment portfolio of an international corporation (Fig. 3).

The international corporation-investor achieves the maximization of expected utility at point 1, where the budget constraint line intersects with the highest possible indifference curve (I1I1). The optimal structure of the investment portfolio calculated according to formula (5) shows that the movement of investment flows along the line of the budget limit of the investment portfolio (share of assets of the international corporation-investor) will decrease, because according to scenario 2, the profitability of accumulated assets in a country with a weakened economic system will be higher than in the country where the parent structure of the tourism corporation has legal status.
Figure 4 shows the cases of a non-diversified investment portfolio for the development of the tourism industry in a country with a weakened economic system.

If α = 1 - the investment portfolio is formed only from the assets of the parent structure of the international corporation. If α = 0 - the investment portfolio is formed only from the assets of international partners. If α ≥1- the international corporation-investor has an insignificant position on external assets and their investment in the tourism industry of a country with a weakened economic system (sells them, investing the received funds in the assets of the parent structure of the tourism corporation). If (α ≤ 0) - a high position of assets parent structure of a tourist corporation in the tourism industry.
Thus, the graphic and mathematical toolkit allows choosing the optimal investment portfolio of an international corporation for the development of the tourism industry in a country with a weakened economic system, taking into account its own preferences regarding resource consumption and savings of invested capital, investment risk and income.
RESULTS
Modern trends of internalization of the investment environment in the international tourism industry are exacerbated by factors of globalization, the aggravation of the scarcity of natural recreation resources and, as a result, intensification of competition for access to these resources. More than a third of international trade in the services market is accounted for by the structural units of international corporations. They control 70-90% of the markets for goods, services, and technologies. The total income of corporations is more than 30% of world GDP (UNWTO, 2022). International corporations are not limited in their activities by international agreements and conventions. This puts them in more favorable conditions on the world tourist market.
In the structure of international investment flows, the form of economic relations has changed, i.e., there has been a transition from the form of exchange of factors for the production of tourist products to the form of exchange of services for the restoration of objects of tourist destinations with the help of foreign investments. Investments in the tourism industry are a tool to restore and increase the pace of economic growth of international corporations (Gerashchenko, 2014). However, over the past ten years, the movement of investment capital (assets) of international corporations in the tourism industry has a natural wave-like character, which is caused by an uneven cycle of development of macro-regional and local-regional systems in most countries of the world (Fig. 5).

For 2013-2022, the amount of investment capital (assets) of international corporations in the tourism industry reached its peak value in 2018 and was equal to 2851 billion USD. This indicator exceeded the value of the peak volume in 2015 by 18.2%. In comparison with the level of 2017, the flow of investment capital (assets) increased by 48.4%. However, in 2019-2022, as a result of the decline in income from the tourism industry in foreign branches of international corporations (due to the COVID-19 pandemic and military conflicts in certain countries), especially in countries with a weakened economic systems, reinvested income accounted for only 30% of the total inflow of foreign direct investment.
In 2019, FDI from international corporations in the tourism industry decreased to 1,625 billion USD, which was 57% of the level of 2018. This downward trend was also maintained in 2020-2021 - the level of FDI from international corporations decreased to $1,573 billion in 2020 (1.8 times lower than the 2018 level) and to $1477 billion in 2021 (1.9 times lower than the 2018 level).
For 2018-2021, 1/3 of all cross-border mergers and acquisitions of tourism destinations in the macro-regional and local-regional systems of the countries of the world were related to the resale of foreign firms to other firms. Despite the revival of the flow of FDI from international corporations to the tourism industry in the first half of 2022, this trend was unstable, due to the increase in global political instability, military conflicts in several countries. Despite the lack of a clear understanding of the trends in the further development of the service sector, in 2022 the volume of FDI flows of international corporations in the field of tourism services amounted to USD 1,878 billion, which was 65.8% of the level of FDI flows in 2018 and 65% of the level flows of FDI in 2015.
The increase in the flow of investment capital (assets) from international corporations to the tourism industry allowed to expand recreational and entertainment facilities in the resorts of countries with a weakened economic system, excluding countries with a high risk of investment losses (conduct of terrorist acts and aggressive military conflicts). In 2022, the gross product of 500 thousand foreign branches of international corporations amounted to 3167 billion USD and grew by 2.0 times compared to 2013.
In spite of the instability of the political situation on a global scale, in 2022 the share of investment from international corporations in the countries of the II group and in the countries of the III group increased sharply and amounted to 43% of the global volume of incoming FDI (Fig. 6).

This was due to a simultaneous reduction in 2021 by 29% of the inflow of FDI in group I cranes (high level of development of the tourism industry), but their share does not fall below the level of 70% of the global volume of FDI for the development of the service sector. Since 2019, the share of FDI development for the development of the tourism industry in the countries of the II group has been constantly increasing. So, in 2019, it was about 28%, in 2020 it was 39%, in 2021 it exceeded the 40% barrier and amounted to 44%, and in 2022 it was 55%. The annual volume of incoming FDI from international corporations for the development of the tourism industry in the countries of the III group is on average 75 million USD, which is equal to 0.04% of the global volume of incoming FDI. During 2000-2018, these countries gradually increased the volume of FDI development from international corporations to 0.7%. In 2022, this share was already more than 5% of the global volume of incoming FDI.
Analyzing the tendency of the development of FDI from international corporations for the expansion of tourist services in individual countries, it should be noted that the structure of the distribution of incoming FDI has changed radically in 2000-2022. From the beginning of 2000 to the beginning of 2010, more than 80% of the FDI flow came from international corporations in the structure of the global volume of incoming FDI among 20 countries where the tourism industry is highly competitive. The main recipients of FDI in the tourism industry are Luxembourg (the volume of FDI development was 12.7%), Great Britain (12.5%), USA (9.6%), France (5.5%), the Netherlands (3.6%), Spain (2.6%), Germany (2.5%). The structure of outgoing FDI from international corporations that are donors to the development of countries of the II and III groups, by the amount of investment of resources for the activation of investment policy and the expansion of the sphere of services of the tourism industry for 2020-2022 is presented in Figure 7.

The main flows of FDI move from countries of the I group, where the parent structures of international corporations are located. Their share is about 90% of the total volume of outgoing FDI, of which 70-85% of investment capital is directed to intra-corporate internaliza-tion; about 15-30% of the investment capital comes from the countries of the II group, which is approximately 13.1 billion USD. Over the past 6 years (2017-2022), the volume of outward FDI from international corporations to countries of the II group increased by 4.6 years and reached the level of 60.5 billion USD. It should be noted that over the past 23 years, the countries of the II group have increased their share in outgoing FDI for foreign corporate internalization from 12.7% in 2000. To 34.6% in 2022. However, in 2022, this group of countries did not have sufficient investment resources that would allow forming a neutral net balance of inflow and outflow of FDI and activating the full scale of services in the tourism industry.
The largest volume of FDI inflows into the service industry comes from international corporations based in OECD countries (Fig. 8). From the G20 countries (where international corporations are legally registered), half of the incoming FDI from the global development of the tourism economy is attracted to the services sector.

A significant volume of inbound FDI from countries to the tourism industry service sector was recorded for the period 2000-2011 and in 2017. The share of FDI development in this area was about 45-55%. In 2011 and 2017, this indicator reached 75.5% of the total volume of inward FDI from OECD countries, which amounted to 812 billion USD. For the period 2018-2022, the share of incoming FDI from these countries decreased to 64%.
The balancing of FDI flows of international corporations and their investment in the international tourism industry is implemented on the basis of a system of countercyclical regulation, taking into account the existing requirements of the global economic system (Fig. 9).

The main elements of the system of countercyclical regulation of the internalization of the investment environment in the international tourism industry are two subsystems: countercyclical regulation at the macro-regional level and anticyclical regulation at the level of the national economy. The main tasks of the system are: detection and containment of asymmetries in international economic development; identification and elimination of the main distribution channels of cyclical processes within the global economy; stimulating the creation of a technological margin of safety against the emerging asymmetry in the development of the global economy; stimulation of the development of the system of competitive advantages at the level of individual regions and branches of the tourism industry, which will allow to smooth out their cyclical declines and recessions by means of an innovative base of budget financing prepared in advance at the macro-regional level; creation of a global investment fund to stabilize and support macro-regional systems during the crisis and stimulate consumer demand for tourism products in the process of exiting the bottom state.
The system of national regulation of cyclical processes should be aimed both at the detection and regulation of threats "brought from outside" and at the detection and regulation of these threats that are formed within the national economy. Necessary elements of the anticyclical regulation system are measures aimed at forming a reserve of technological and financial strength of the international tourism industry, as well as the investment capacity of tourism destination development projects at the macro-regional level. These reserves ensure the smoothing of economic downturns in the tourism industry and are the basis for exiting the recession of countries with a weakened economic system. The reserve of technological strength is formed by stimulating the renewal of objects of tourist destinations with a rich natural landscape.
In order to ensure the maximum efficiency of labor productivity (indicators of the efficiency of the use of labor and time resources) and the return of the objects of tourist destinations with a rich natural landscape on the invested capital. The tool for creating technological strength is the investment of investment capital in the renewal of economic sectors and the expansion of their potential to serve territories with recreation and leisure facilities. Stimulation of the internalization of the investment environment in the international tourism industry should be carried out using a full set of tools: administrative, economic, institutional and information technologies, taking into account the digital ecosystem.
The authors posit that the assessment of the balanced movement of incoming and outgoing flows of FDI from international corporations to countries with different levels of development of the tourism industry should be carried out on the basis of an integral index of the investment of investment capital (assets) in their economic system, which is formed from a system of indicators. The basis of the integral index should include three components: investment resources; investment capacity; investment risks. Each component of the integral index must include a set of sub-indices (factors) and their characteristics.
The method of calculating the integral index of investment capital (assets) of international corporations in the economic system of the i-th country at the j-th level of development of the tourism industry is based on a hierarchical comparison of indicators aggregated in relative scores according to the total score of the integral index and is calculated according to the formula (8) (Voitko & Shatkovskyi, 2013):

where, Iesic(as) - integral index of investment capital (assets) of international corporations in the economic system of the i-th country at the j-th level of development of the tourism industry;
ΣIesi- index of investment resources in the economic system of the i-th country according to the j-th level of development of the tourism industry;
ΣIesic - index of investment capacity in the economic system of the i-th country according to the j-th level of development of the tourism industry;
ΣIesir- index of investment risks in the economic system of the i-th country according to the j-th level of development of the tourism industry;
Ni - the number of investigated indices.
To aggregate statistical data from 1 to 10, the normalization method is used, which allows observing the rule of the sequence of distribution of the received points (Voitko & Shatkovskyi, 2013):

where, xi - indicator in the economic system of the i-th country according to the j-th level of development of the tourism industry;
xmin - the minimum value in the sample of indicators of the economic system of the i-th country according to the j-th level of development of the tourism industry;
xmax - the maximum value in the sample of indicators of the economic system of the i-th country according to the j-th level of development of the tourism industry.
For indicators characterizing the maximum value result and for indicators with the worst result, the standard formula for normalization of statistical data is used (Voitko & Shatkovskyi, 2013):

Therefore, the transformational processes of internalization of the investment environment, according to the requirements of the global economic system, which alter the development cycles of the international tourism industry, have been reduced to the integral level of investment of investment capital (assets) of international corporations in the economic system of individual countries, at each stage of anti-cyclical regulation. 4 economic cycles were selected for evaluation: 2008, 2013, 2018, 2022, which makes it possible to determine the key changes in the development of the international tourism industry among the countries of the world.
The aggregate index of investment resources is calculated based on the ranking of countries by the following sub-indexes (factors): sub-index of financial resources; subindex of innovative resources of the digital ecosystem; subindex of provision of tourist recreation facilities with additional investment capital; subindex of the development of economically active human resources.
In 2022, the following countries were included in the top five according to the sub-index of financial resources: USA, China, Luxembourg, Switzerland and Japan. The ten countries with favorable conditions in the field of taxation (according to the factor of the sub-index of financial resources - "Tax burden, % of commercial profit") include the following countries: Qatar - 11%, Kuwait - 13%, Bahrain - 14%, Saudi Arabia - 15%, United Arab Emirates - 15%, Brunei - 16%, Georgia - 16%, Singapore - 18%, Croatia - 18%, Armenia - 20%, Luxembourg - 20%.
The top five, according to the sub-index of innovative resources of the digital ecosystem, included the following countries: China - 554.27 billion USD, Germany - 185.56 billion USD, the United States - 154.35 billion USD, Singapore - 130.99 billion USD, Korea - 126.54 billion USD, France - 104.34 billion USD, Japan - 91.51 billion USD, Great Britain - 69.42 billion USD and the Netherlands - 59.13 billion USD.
According to the sub-index of provision of tourist recreation facilities with additional investment capital (% of GDP), the following countries were noted: Ireland - 29% of GDP, Korea, Thailand - 28% of GDP, Czech Republic, Slovakia - 23% of GDP, Indonesia - 22% of GDP, Germany, China, USA - 21% of GDP. About 70% or more of investment capital (% of GDP) is formed in the service sector of tourist and recreational areas of the following countries: Luxembourg - 78% of GDP, Cyprus - 76% of GDP, Greece - 73% of GDP, Great Britain, France - 72% of GDP, Singapore, Switzerland - 71% of GDP, Netherlands - 70% of GDP, Spain - 69% of GDP, Portugal, Italy, USA, Belgium - 68% of GDP.
According to the sub-index of investment risks of economic systems, countries with favorable business conditions are determined: New Zealand, Denmark, Singapore, Korea, Great Britain, USA, Norway, Sweden, Estonia, Finland, Australia, Germany, Ireland, Latvia, Austria, Iceland, Canada, Lithuania, Malaysia and Georgia. Countries with the worst conditions for doing business include Pakistan, Benin, Niger, Ethiopia, Gabon, Algeria, Sudan, Iraq, Cameroon, Nigeria, Guinea, Congo, Bangladesh, Angola, Afghanistan, Chad.
According to the index of investment capacity, the 20 countries with the highest indicator include the following countries: Singapore, Switzerland, Finland, Lithuania, Malaysia, Georgia, Poland, USA, Guatemala, Luxembourg.
Thus, based on the results of the calculation of the integral index, 20 countries have been determined that have a high level of development of the tourism industry when investing investment capital (assets) of international corporations. (Fig. 10).

The countries with the lowest index of investment capital (assets) of international corporations for the development of the tourism industry are presented in Figure 11. Most of the countries of this group are located on the African continent. However, it should be noted that Asian countries, which in 2008 were in the group of countries with the lowest index of investing investment capital (assets) of international corporations in the development of the tourism industry (Vietnam, Cambodia), crossed the line and moved to the group of countries with an average level development of the service sector. The low index of the investment of investment capital of international corporations in the tourism industry of the countries of the African continent is due to the small size of the economy, a large tax burden, a low level of human capital development, a low level of savings and attracted FDI.

DISCUSSION
The international tourism industry presents a unique opportunity for countries to leverage their investment resources to enhance the capacity of tourist destinations to develop a comprehensive range of services and expand their market share. This, in turn, enables them to participate more effectively in the interstate division of labor. However, the process of internationalization at the level of transnational international corporations (ICs) introduces a qualitatively new dimension to the competitive landscape, intensifying the struggle for market dominance. The potential for international corporations to increase their investment activity in countries with a weakened economic system and to reduce investment risks in the international economic space is contingent upon the practical implementation of the neoliberal model of internalization (Shvetsova, 2016). The model demonstrates objective international investment processes combined with the policy of anti-cyclical regulation of the tourism industry. This not only enhances the manifestation of specific investment relationships in the market of tourist services, but also smooth's out fluctuations in economic dynamics and reduces the degree of volatility of securities (assets) in the market (Gerashchenko, 2014).
However, the development of the tourism industry in a single country in the model of internalization of investment through international corporations is not identical to the development of global society. The basic structure in world economic life remains the nation-state. Geld (2005) emphasizes that, despite the fact that the modern state is increasingly included in international economic relations, its role as a nation-state has not been exhausted due to the blurring of global regulatory mechanisms.
It should be noted that international corporations do not absorb national tourist destinations, since the main trend of the modern development of the tourism industry in terms of internalization is the formation of diverse geo-economic structures united by socio-economic interests and strategic investment guidelines. The internalization of the investment environment in the international tourism industry is the result of the principle of diversity, since parent structures of a global type encourage the intensification of investment activity, which is associated with the transition of national economies to the adaptation-institutional level, which implements mechanisms for the maximum use of investment advantages of national economies in the system of international labor distribution in the tourist market.
In fact, the formation of these structures is a necessary condition for integration opportunities for the development of the international tourism industry on a socio-economic basis. The fundamental novelty of the development of the internalization of investment in the international tourism industry is the gradual acquisition of a holistic character (Honcharenko & Skliarenko, 2017).
At the same time, the current stage of internalization of investment in the international tourism industry is characterized by the following features (Ferraro & Briody, 2017): complication of international investment processes; expanding the possible variation of macro-regional and local-regional systems in the tourism industry by reducing the asymmetry of the service sector; the periodic occurrence of phenomena of a resonant nature within the framework of the internalization of the geo-economic space, with the strengthening of the unstable development of society; intensive growth of periods of radical change in information technologies, the emergence of a global digital ecosystem.
In fact, at the current stage, the non-linear nature of the internalization of investment in the international tourism industry is observed, the phenomenon of which is a complex system of attractors (Gourinchas & Rey, 2014): an information-technological system that is generated by a digital ecosystem in a limited communication space, providing on its platform an intensive information exchange with methods and means of protection of international investment of capital, between national structures of different socio-economic levels; an international socialization system, which is generated by an adaptive and institutional approach to the development of human-centered systems in the tourism business, focused on revealing the potential of a specific individual.
That is, it can be argued that the shift in the internalization of investment in the international tourism industry allows to expand the export of foreign direct investment to the production of goods and services, to transform the tourism business into a world-scale industry, to implement the international integration of investment capital into the macro-regional and local-regional systems of countries with weakened economies in order to strengthen interdependencies between various branches of the international economy.
According to Chernichenko and Mityushkina (2016), there is an "institutional asymmetry" in the modern international space of the tourism industry, which is the driving force behind the internalization of territories to absorb weakened macro-regional and local-regional systems. Based on the multi-level development of the tourism industry, the internalization of territories with a weakened macro-regional and local-regional system represents the upper level of this process, while the basic level is determined by anthropocentric modes of human existence - stereotypes of life, traditions, cultural values and heritage, consumer demand for entertainment and recreation, etc., which is especially important for the service market.
The sources of internalization of the investment environment of the international tourism industry are (Khondker, 2004):
using the advantages of owning the natural resources of tourist destinations (or access to them), capital and knowledge;
the possibility of optimal placement of structural divisions in different countries, taking into account the size of the domestic tourism market, rates of economic growth, qualifications of the workforce, prices for tourist services and the availability of other economic resources, the development of tourism infrastructure, as well as political and legal factors, the most important of which is political stability (the described complex is especially important for international corporations in the field of tourism);
the possibility of accumulating investment capital within international corporations, taking into account the movement of resources to the countries where their foreign branches are located;
using the opportunities of the international economy for one's own purposes (loans from commercial and financial institutions of the host state and third countries, not only the countries where the parent structure is based);
constant awareness of the state of target markets in different countries, which makes it possible to quickly transfer investment capital flows to countries where favorable conditions for obtaining maximum profit are formed, and at the same time to diversify one's activities;
constant improvement of the organizational structure of international corporations;
the use of international management for the organization of production and sales of tourist products, maintaining the high reputation of the company.
It should be emphasized that the speed of the process of internalization of investment in the international tourism industry through international corporations depends on intangible variables (spending on marketing research, the number of scientists, novelty and differentiation of products, etc.), which increases the value of human capital, which possesses exclusive knowledge (patents, copyright, management skills, etc.) (Sharma, 2013).
The mobility of intangible assets and the social nature of their certain categories (in particular, those based on knowledge) are the basis of the concept of the multi-production economy, according to which one company with several structural units is more efficient than several independent firms with one production unit each (Shandrivska & Yunko, 2021). The process of internalization of intangible assets occurs precisely at the intra-corporate level through direct foreign investment, which is an effective means of reducing corporate costs and increasing the competitiveness of international corporations.
Thus, the formation of international corporations gives a powerful impetus to the investment vector of development for service entities in the international economic arena, since their investment activities are more predictable and contain fewer elements of risk than in cases of multiple subordination.
CONCLUSION
Having analyzed the impact of internalization on the tourism industry development, it is possible to conclude upon the necessity to create a favorable investment environment to stimulate further growth of tourist flows and infrastructure development. The article examines the adaptational-institutional approach to determining a format for the investment environment internalization in the international tourism industry. This approach is based on the relationship between the service sector and the investment paradigm, considering a standardized and individualized approach to the development of the tourism segment in accordance with global requirements for the quality of tourism products and the investment of foreign capital by international corporations in various economic systems of countries.
Consequently, the internalization processes exert a profound influence on the operations of the international tourism industry within the context of the investment environment of international corporations. This is evident in the manner in which the industry develops and the nature of its economic dynamics. The strengthening of relations between the countries of the world leads to the fact that the decision to expand the flow of investment capital from international corporations has a huge impact on the development of the entire world economy. On the one hand, the world community is constantly searching for the direction of sustainable development of the service sector, which, based on the scale of consumer demand for tourist products, strives to create a strong economy that would allow it to take a worthy place on the international stage. The interests of the international community in general and individual countries in particular are multifaceted.
It is crucial to determine the key factors influencing the effectiveness of the investment environment internalization, such as the stability of the political and economic situation, the presence of transparent and stable rules of the game, infrastructure development, etc.
However, both for the international economic system and for the macro-regional systems of individual countries, the main task remains to raise the standard of living of the population, increase social standards, duration and quality of life. The use of the investment tools of donor countries to restore relations with internalization institutions allows to change the economic determinant of investment capital of international corporations and direct it to the development of the tourism industry in local and regional systems. In addition, ensuring the activation of the investment capital of international corporations for the development of new recreational areas is due to the introduction of a multi-indicator that accumulates the investment component of individual sectors of the world economy to serve the subjects of tourist activity in those countries where their economic system is weakened, where the internal distribution of own investments does not allow to increase assets of tourist destinations that have an average level of provision of objects of the nature reserve fund, objects of natural and cultural heritage.
Despite the difficulties of internalizing the investment environment of the international tourism industry in countries where military conflicts arise, agreements on the future of the international community and the establishment of investment in the post-war period are being strengthened. At the same time, there may be a tangible impact of investment risks on the restoration of sources of investment flows, which may have an asymmetry in the accumulation of a special investment fund. Therefore, to expand the investment platform of macro-regional systems in countries with a weakened geo-economic vector of the development of the tourism industry, it is necessary to diversify tourist services and control the targeted use of investments by international corporations. This will facilitate the enhancement of the value derivative of assets from the position of term of its turnover, implementation of the accumulative function of accumulated investment income on invested funds between international corporations in individual macro-regional tourist destinations.
An analysis of the volume of foreign direct investment in the tourism industry showed that these investments are balanced through a system of countercyclical regulation, which considers the requirements of the global economic system. An integral indicator of capital investments of international corporations into the country's economic system is suggested and calculated depending on the level of the tourism industry development.
The directions for further research in the field of investment environment internalization in international tourism involve expanding the scope of research or using new methods of analysis, such as analysis of specific aspects of the investment environment internalization or comparative studies between different regions or countries. This article may be useful for government agencies and regulators, tourism industry representatives, international organizations and research centers specializing in tourism and economic research, researchers, teachers, and students interested in economics and international tourism.
REFERENCES
Bloom Consulting. (2021). The Travel & Tourism Competitiveness Report. https://www.bloom-consulting.com/journal/bloom-consulting-international-data-part-ner-for-the-2021-travel-tourism-competitiveness-report-ttcr-for-the-world-econom-ic-forum/
Britchenko, I., Romanchenko, T., & Hladkyi, O. (2019). Potential of Sustainable Regional Development in View of Smart Specialisation. Ikonomicheski Izsledvania, 28(6), 88-109.
Carlisle, S., Johansen, A., & Kunc, M. (2016). Strategic Foresight for (Coastal) Urban Tourism Market Complexity: The Case of Bournemouth. Tourism Management, 54, 81-95.
Chang, S.E. (2018). Has Indonesia's Unique Progressivism in Mandating Corporate Social Responsibility Achieved Its Ends? Sriwijaya Law Review, 2(2), 131-151.
Chernichenko, G., & Mityushkina, H. (2016). Theory and Practice of Ecologization Interregional Cooperation. Bulletin of the Mariupol State University. Series: Economy, 12, 143-152.
Data.Worldbank. (2020a). International Tourism, Expenditures for Passenger Transport Items. https://data.worldbank.org/indicator/ST.INT.TRNX.CD.
Data.Worldbank. (2020b). International Tourism, Expenditures for Travel Items. https://data.worldbank.org/indicator/ST.INT.TVLX.CD.
Data.Worldbank. (2020c). International Tourism, Expenditures. https://data.world-bank.org/indicator/ST.INT.XPND.MP.ZS?view=chart
Data.Worldbank. (2020d). International Tourism, Receipts. https://data.worldbank.org/indicator/ST.INT.RCPT.XP.ZS?view=chart.
Diachenko, O., Kasianok, K., & Melnyk, T. (2018). Geostrategic Matrix of Reorientation of Foreign Direct Investment. Scientific Bulletin of Polissya, 1(13), 33-41.
European Commission. (2021). EU External Investment Plan. https://commission.europa.eu/system/files/2019-11/factsheet_eip_en.pdf
Farsari, I. (2012). The Development of a Conceptual Model to Support Sustainable Tourism Policy in North Mediterranean Destinations. Journal of Hospitality Marketing & Management, 21(7), 710-738.
Ferraro, G., & Briody, E. (2017). The Cultural Dimension of Global Business. Routledge.
Geld, D. (2005). Democracy and the Global System. Port-Royal.
Gerashchenko, O. (2014). The Essence and Significance of TNCs on the World Market Tourist Services. http://nbuv.gov.ua/UJRN/eui_2014_1_27.
Gourinchas, P., & Rey, H. (2014). External Adjustment, Global Imbalances and Valuation Effects. Handbook of International Economics, 1(4), 585-645.
Hill, C. (2013). International Business: Competing in the Global Marketplace. McGraw-Hill/Irwin.
Honcharenko, N., & Skliarenko, Ya. (2017). Theoretical and Methodological Foundations of the Study of Tourism Policy of the European Union. V.N. Karazina Bulletin of Kharkiv National University. Series "International Relations. Economy. Tourism", 6, 161-166.
Khondker, H. (2004). Glocalization as Globalization: Evolution of a Sociological Concept. https://www.academia.edu/28585527/Glocalization_as_Globalization_Evolution_of_a_Sociological_Concept
Krupskyi, O. P., Dzhusov, O., Meshko, N., Britchenko, I., & Prytykin, A. (2019). Key Sources When Formulating Competitive Advantages for Hotel Chains. Tourism, 67(1), 34-46.
Levchenko, I., Dmytriieva, O., Shevchenko, I., Britchenko, I., Kruhlov, V., Avanesova, N., Kudriavtseva, O., & Solodovnik, O. (2021). Development of a Method for Selected Financing of Scientific and Educational Institutions Through Targeted Capital Investment in the Development of Innovative Technologies. Eastern-European Journal of Enterprise Technologies, 3, 55-62.
Polishchuk, Y., Ivashchenko, A., Britchenko, I., Machashchik, P., & Shkarlet, S. (2019). European Smart Specialization for Ukrainian Regional Development: Path from Creation to Implementation. Problems and Perspectives in Management, 17(2), 376-391.
Rokocha, V., Plotnikov, O., & Novytskyi, V. (2001). Transnational Corporations. Takson.
Rudenko-Sudarieva, L., & Krysyuk, R. (2015). Modern factors of development of international investment. Independent Auditor, 14(4), 27-35.
Sarvarian, A. (2023). Invoking the Paris Agreement in Investor-State Arbitration. ICSID Review, 38(2), 422-440.
Shandrivska, O., & Yunko, I. (2021). Implementation of Circular Economy Based on European Experience. Management and Entrepreneurship in Ukraine: Stages of Formation and Development Problems, 2(6), 280-289.
Sharma, D. (2013). A Study of Glocalization Concept as a Current Trend in Indian Economy. SVIM e-Journal of Applied Management, 1(1), 124-135.
Shvetsova, N. (2016). Structure and Dynamics of Global Investment Flows. Economic Space, 106, 58-69.
Solnik, B. (1983). International Arbitrage Pricing Theory. The Journal of Finance, 38(2), 449-457.
Tang, Z., & Yu, Y. (2023). American Economic Stakeholder Sentiments Towards Chinese Firms' Innovation Capability: The Role of State Political Environment and Firm Ownership. Sustainability (Switzerland), 15(18), 13982.
Trusova, N., Kotvytska, N., Pikhniak, T., Pavlova, M., Plotnichenko, S., & Sakun, A. (2022). Attracting Foreign Investment in Cyclic Imbalances of the Economy. Scientific Horizons, 25(5), 101-116.
Trusova, N., Tsviliy, S., Mykhailyk, D., Ogloblina, V., & Marusei, T. (2023). Innovative Incentives of the Tourism Industry in the Period of Post-conflict Reconstruction of Ukraine. Review of Economics and Finance, 21, 1237-1248.
Tsviliy, S., Ogloblina, V., Demko, V., Pavliuk, A., & Pisetskyi, M. (2023). Potential of International Cooperation of Ukraine in the Geoeconomic Space of the Tourist Industry. GeoJournal of Tourism and Geosites, 49(3), 946-961.
UNWTO. (2022). World Tourism Barometer. https://webunwto.s3.eu-west-1.amazonaws.com/s3fs-public/2022-09/UNWTO_Barom22_05_Sept_EXCERPT.pdf?VersionId=pY Fmf7WMvpcfjUDuhNzbQ_G.4phQX79q
Voitko, S., & Shatkovskyi, O. (2013). An Indicative Approach to Assessing the Investment Attractiveness of Countries: The Field of Renewable Energy. Business Inform, 7, 141-148.
Wang, H., Sun, X., & Shi, Y. (2024). Commercial Investment in Public-Private Partnerships: The Impact of Government Characteristics. Local Government Studies, 50(1), 230-260.
Yakubovskyi, S., Kozak, Y., & Savchuk, O. (2006). Transnational Corporations: Peculiarities of Investment Activities. TsNL.
Yevdochenko, O. O. (2010). https://Turbulence of the Global Economic Environment: Theoretical Aspects and Practical Manifestation. https://ir.kneu.edu.ua/bitstream/handle/2010/5535/112-119.pdf?sequence=1
How to cite:
FUNDING
AUTHORS' CONTRIBUTION
Conflict of interest declaration