Artículos de opinión
Haciendo medicina con “el diario del lunes”
Doing medicine with “Monday's newspaper”
Haciendo medicina con “el diario del lunes”
Revista Uruguaya de Cardiología, vol. 33, núm. 1, pp. 18-26, 2018
Sociedad Uruguaya de Cardiología
Recepción: 25 Febrero 2018
Aprobación: 27 Febrero 2018
Palabras clave: Muerte súbita cardíaca, Prevención primaria
Keywords: Sudden cardiac death, Primary prevention
“Predecir es muy difícil, especialmente si se trata del futuro”. Niels Bohr (físico danés, 1885-1962)
Tomar decisiones con el “diario del lunes” es una expresión popular que representa la facilidad que tendríamos para resolver situaciones si conociéramos de antemano la evolución o si pudiéramos hacerlo cuando estas ya hayan sucedido. Es aplicable en todas las áreas de la vida y también en la práctica médica. Una particularidad de nuestra profesión es que en “el diario del lunes” algunos de nuestros pacientes podrían aparecer en la sección necrológica.
“Más vale prevenir que curar” es un refrán muy conocido y aceptado que nos dice que es mucho mejor evitar que algo malo suceda antes que tener que solucionarlo una vez que ha pasado. Es decir, es preferible tomar las medidas necesarias antes, que no tener que arreglarlo o lamentarlo después.
Diagnosticar y tratar adecuadamente la hipertensión arterial y la diabetes, controlar las dislipemias y el sobrepeso, disminuir el tabaquismo, promover la actividad física, y otras conocidas medidas, son altamente eficaces en la prevención primaria de las enfermedades cardiovasculares y debe insistirse en ellas.
Sin embargo, las enfermedades cardiovasculares siguen siendo la principal causa de muerte en nuestro país y un porcentaje significativo de estos episodios ocurren en forma súbita e inesperada por una arritmia ventricular. De las personas afectadas, más de 90% fallecen y solo algunos afortunados sobreviven sin secuelas. En estos pocos casos, y luego de descartada una causa desencadenante clara, se indica, y habitualmente es autorizado por el Fondo Nacional de Recursos (FNR), el implante de un cardiodesfibrilador (DAI) para prevención secundaria de un nuevo paro cardíaco.
Existen en nuestro país políticas públicas y leyes dedicadas a la enseñanza de la resucitación cardíaca básica y al uso de los desfibriladores externos automáticos para optimizar la resucitación de aquellas personas que sufren una muerte súbita cardíaca, siendo este el primer escalón en la prevención secundaria. Pero no conocemos políticas públicas específicamente focalizadas en la prevención primaria de la muerte súbita cardíaca. Estamos utilizando “el diario del lunes”.
Aquí también “vale más prevenir que curar”. El arte médico consiste en –aplicando la evidencia científica adecuadamente y los valores, condiciones, expectativas y deseos del paciente– poder predecir la complicación antes de que suceda. En definitiva, determinar quiénes son aquellos pacientes con alto riesgo de muerte súbita para poder entonces profundizar el concepto de medicina preventiva. En general, no es una decisión sencilla; como habitualmente sucede, existen a priori pacientes con bajas probabilidades (riesgo bajo), otros de riesgo muy alto (alta probabilidad) y una zona gris con situaciones controversiales. Estas últimas tal vez sean las que nos generen los mayores desafíos clínicos y éticos y donde la opinión del paciente quizá tenga más peso. Estas dificultades no deben inhibirnos. Lo peor que podemos hacer es no hacer nada, ignorar el concepto de prevención primaria de muerte súbita.
¿Todos los pacientes con fracción de eyección del ventrículo izquierdo menor a 30% deberían recibir un cardiodesfibrilador?
Lejos están los años en que los médicos tratábamos tanto a los pacientes con extrasístoles ventriculares como a los sobrevivientes de una muerte súbita cardíaca con drogas antiarrítmicas creyendo que de esa manera preveníamos la muerte súbita. La evidencia demostró que las drogas antiarrítmicas no solo no eran efectivas, tampoco eran seguras(1). Años después del desarrollo del DAI por Mirowsky(2), varios ensayos clínicos randomizados demostraron su eficacia, superior a las drogas, en la prevención secundaria de la muerte súbita cardíaca(3).
Esta indicación está aceptada desde esa época en las guías internacionales como clase 1A(4,5).
Otros ensayos clínicos, realizados en pacientes con cardiopatía isquémica y severa disminución de la fracción de eyección del ventrículo izquierdo (FEVI), pero que no habían presentado un episodio de muerte súbita cardíaca y a quienes se les aleatorizaba a recibir un DAI o tratamiento convencional, demostraron posteriormente la superioridad del DAI también en la prevención primaria de muerte súbita cardíaca(6-8). Esta indicación es también aceptada desde ese momento.
Posteriormente, la utilidad del DAI fue valorada en pacientes con insuficiencia cardíaca de etiología isquémica y no isquémica(9,10). El más importante de estos estudios (SCD-HeFT) comparó en pacientes con FEVI baja el tratamiento convencional versus amiodarona y versus DAI, demostrando la eficacia del DAI y mostrando un resultado neutro para la amiodarona en la prevención de la muerte súbita.
Resumiendo, el DAI ha demostrado su eficacia en la prevención primaria y secundaria de la muerte súbita cardíaca en pacientes con FEVI disminuida.
¿Debemos entonces implantar un DAI a todos los pacientes con FEVI < 30%-35%?
La respuesta nos parece obvia: No. Por múltiples motivos. En primer término porque no es clínicamente correcto: la muerte súbita cardíaca es un fenómeno complejo, multifactorial, probabilístico, cuya ocurrencia no puede racionalmente predecirse solamente por un único parámetro clínico. Además, la FEVI es predictora de mortalidad, no de muerte arrítmica (sensibilidad y especificidad bajas), por tanto recibirían un DAI innecesariamente muchos pacientes y dejarían de recibirlo otros que sí lo necesitarían. Finalmente, por la razón del artillero, es económicamente insostenible para cualquier sistema de salud.
¿Qué hacer? El camino clínico correcto es profundizar en la estratificación de riesgo de muerte arrítmica más allá de la FEVI, para poder discriminar quiénes son aquellos pacientes en los cuales el implante de un DAI sería más útil y rentable. A modo de ejemplo, un subanálisis del ensayo MUSTT(11) mostró que en pacientes posinfarto sin otros factores de riesgo, salvo FEVI £30%, la mortalidad a dos años era < 5%, mientras que los pacientes con FEVI >30% más factores de riesgo tenían una mortalidad mayor.
Las múltiples técnicas no invasivas desarrolladas con la finalidad de discriminar al paciente de riesgo, usadas aisladamente, no han demostrado su utilidad(12). A partir del seguimiento prolongado (ocho años) de los pacientes del ensayo MADIT II, que como recordamos randomizó pacientes posinfarto con FEVI <30% como único criterio de inclusión, se desarrolló un score de riesgo, práctico y de gran utilidad clínica para definir la indicación del implante de un DAI (13). Se definieron cinco variables: clase funcional NYHA II o más, fibrilación auricular, QRS >120 ms, edad >70 años, urea >0,26 g/dl (tabla 1).

Modificada de referencia 13 (ver texto).
Considerando estos cinco factores se establecieron tres grupos: ningún factor de riesgo, 1-2 factores y más de tres factores. Los pacientes de los dos primeros grupos (ninguno o hasta dos factores) se beneficiaban significativamente en el largo plazo del implante de un DAI. En aquellos con tres o más factores la mortalidad era similar con o sin DAI.
Otros scores han sido desarrollados con un objetivo similar. El llamado PACE Risk Score(14) intenta determinar aquellos pacientes con más probabilidades de una muerte precoz posimplante de DAI. Considera cuatro factores (edad >70 años, FEVI £20%, creatinina >2,0, y presencia de enfermedad vascular periférica). La mortalidad al año se muestra en la tabla 2.

Score de riesgo PACE. Datos tomados de referencia 14
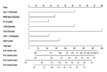
Un análisis de más de 45.000 pacientes que recibieron un DAI en prevención primaria propone una estrategia que puede ser también de utilidad en la decisión clínica(15). Se identificaron una serie de factores de riesgo de muerte a cuatro años, a partir de los cuales se desarrolló un nomograma. Estos factores son: edad >75 años, FEVI <20%, fibrilación auricular, clase funcional NYHA III, enfermedad pulmonar obstructiva crónica, insuficiencia renal y diabetes (figura 1).

Nomograma para la determinación de las probabilidades de supervivencia después del implante de DAI. AF: fibrilación auricular; COPD: enfermedad pulmonar obstructiva crónica; CKD: enfermedad renal crónica; LVEF: fracción de eyección del ventrículo izquierdo; DM: diabetes mellitus. Datos tomados de referencia 15.
Como apreciamos, muchos factores predictores de mal pronóstico a pesar del implante de DAI se reiteran en los diferentes scores. Recientemente se ha jerarquizado la importancia de la insuficiencia renal crónica como factor predictor negativo de la eficacia del implante de un DAI(16). El análisis de 5.877 pacientes con insuficiencia renal crónica y FEVI <40%, con y sin DAI (en relación 1:3) no mostró mejoría de la mortalidad global con el uso del DAI, aunque sí una mayor frecuencia de hospitalizaciones.
En suma: los médicos debemos obligatoriamente, al estimar el riesgo de muerte arrítmica de nuestros pacientes, considerar especialmente las comorbilidades demostradas por la evidencia. Esto es imprescindible para una aplicación práctica de la técnica adecuada y éticamente aceptable.
¿Qué dicen las guías actuales? (tablas 3 y 4)(5)

Prevención primaria de muerte súbita cardíaca en cardiopatía isquémica (resumido de referencia 5)

Prevención primaria de muerte súbita cardíaca en cardiopatía no isquémica (resumido de referencia 5)
El beneficio del uso del DAI en prevención primaria está muy bien establecido por la evidencia en los pacientes con cardiopatía isquémica. Sin embargo, en los pacientes portadores de una miocardiopatía dilatada no isquémica (probablemente vinculado también a que el mecanismo de la muerte súbita puede ser más complejo en estos pacientes[17]), la evidencia es de menor peso y la mayoría de los ensayos clínicos datan de una época en la cual otras terapias para la falla cardíaca no eran rutinarias (terapia de resincronización ventricular, por ejemplo). Al respecto, merece mencionarse un ensayo clínico recientemente publicado, el ensayo DANISH(18). En este trabajo se aleatorizaron pacientes con FEVI <35% a recibir un DAI (556 pacientes) versus tratamiento convencional (560 pacientes). El punto final primario fue mortalidad global y como punto final secundario muerte súbita. Es de destacar que 58% de los pacientes de ambos grupos recibieron terapia de resincronización ventricular. No hubo diferencias en la mortalidad global en un seguimiento medio de más de cinco años; sin embargo, la muerte súbita cardíaca fue la mitad en los pacientes del grupo DAI. Debe destacarse además que la mortalidad global sí fue menor en el subgrupo de pacientes con DAI menores de 68 años. En suma, el DAI disminuyó la muerte súbita cardíaca (objetivo para el cual se ha desarrollado) y también la mortalidad global en los pacientes más jóvenes. La importancia mayor de este estudio (a nuestro criterio y como lo plantean los autores en la discusión) es el desafío que plantea para desarrollar scores de riesgo de muerte súbita en miocardiopatías no isquémicas, similares a los existentes en cardiopatía isquémica, para precisar la indicación del DAI.
Nuevamente: estratificar el riesgo más allá de la FEVI.
Dos metaanálisis se han publicado recientemente incluyendo los datos del estudio DANISH. Ambos concluyen que el DAI mejora la mortalidad global en pacientes con miocardiopatía no isquémica, 23% en uno y 25% en el otro(19,20).
Las guías clínicas, ¿son aplicables?
El número de implantes de DAI para prevención primaria de muerte súbita es muy reducido en nuestro país y no se cumplen las indicaciones de las guías clínicas nacionales e internacionales al respecto(21).
¿Debemos y podemos aplicar estas guías?
Para tomar decisiones en medicina, los médicos necesitamos información. El conocimiento científico médico se incrementa en forma exponencial. Se estima que en la práctica promedio necesitamos información 60 veces y debemos tomar ocho decisiones clínicas por día. Desde la década de 1980 se desarrolló la llamada medicina basada en la evidencia (MBE), que tiene el objetivo de coordinar el arte médico con la ciencia para lograr una optimización en el manejo de los pacientes. La MBE se basa en tres pilares: la mejor evidencia científica, las necesidades y preferencias del paciente y la pericia clínica.
Las guías clínicas, muy desarrolladas y permanentemente actualizadas en cardiología, son una herramienta de ayuda invalorable en la toma de decisiones ante la avalancha inmanejable de información. Obviamente no son la ley sagrada, pero son el mejor recurso disponible para mejorar nuestra práctica. Debemos conocerlas y usarlas, para que sumado a nuestra experiencia clínica y los deseos y preferencias del paciente poder practicar una mejor medicina.
Las guías reciben habitualmente muchas críticas, quizá porque no se interpretan correctamente. Es de destacar, por ejemplo, que en las referidas al tratamiento de las arritmias cardíacas son muy pocas las indicaciones clase 1, nivel de evidencia A(22). Pero estas son prácticamente indiscutibles y se han mantenido en el tiempo. Entre ellas, varias referidas a prevención primaria y secundaria de muerte súbita. El Instituto Nacional de Excelencia Clínica del Reino Unido (National Institute of Clinical Excelence-NICE) publicó en 2014(23) las indicaciones aceptadas de implante de DAI en prevención primaria basadas en tres parámetros clínicos: FEVI, clase funcional y ancho del QRS (tabla 5).

NICE. Opciones de tratamiento con DAI y terapia de resincronización para personas con falla cardíaca que tienen FEVI de 35% o menos (de acuerdo a clase funcional NYHA, duración del QRS y presencia de bloqueo de rama izquierda). Datos de referencia 23.
Sin embargo, no todas las indicaciones están contempladas en las guías, pues no todos los pacientes están representados en los ensayos clínicos en número suficiente. Eso determina que, por ejemplo, en Estados Unidos un 20%-25% de los implantes de DAI no están respaldados por la evidencia, y se hayan publicado consensos de expertos con recomendaciones para este grupo significativo de pacientes(24,25). Más allá de otras posibles causas, resalta el hecho de que la práctica de la MBE incluye además de la evidencia otros aspectos igualmente importantes vinculados al médico y al paciente que condicionan la indicación positiva o negativamente.
Tratando de contemplar algunas debilidades o falencias en las guías se publican habitualmente otro tipo de análisis de la evidencia por expertos denominados “Uso apropiado de…”, donde se incluyen también aspectos vinculados a la rentabilidad de las técnicas. En el documento referido al uso apropiado de los DAI y la resincronización cardíaca de 2013(26) se incluyen muchas de las situaciones no específicamente incluidas en las guías y se establece un puntaje de 1 a 9, siendo apropiado el uso del DAI en las situaciones con puntuación 7 o mayor. Las indicaciones de prevención primaria de muerte súbita tienen todas una puntuación mayor a 7.
“La libertad clínica ha muerto. La libertad clínica fue el derecho (algunos médicos creían que era un derecho de origen divino) de hacer lo que en su opinión era mejor para los pacientes. Cuando la investigación no existía y los tratamientos eran tan inefectivos como inocuos la opinión lo era todo, hoy eso no es suficiente”.
Esta frase, escrita por un cardiólogo inglés hace más de 30 años, es la que pone un marco a nuestra conducta clínica.
¿Es económicamente sustentable en nuestro país la aplicación de las guías en prevención primaria de muerte súbita cardíaca?
Ha sido demostrado por múltiples publicaciones una correlación positiva entre número de implantes de DAI y producto bruto interno (PBI), PBI per cápita y gasto en salud en diferentes países(27). En nuestro país el PBI per cápita ha crecido permanentemente desde 2002 a la fecha (fuente: Banco Central del Uruguay) y es de los más elevados en Latinoamérica (www.uruguayxxi.gub.uy). Si comparamos el gasto en salud con respecto al PBI de nuestro país con los países de Europa estamos en la media de los países de dicho continente(28). Sin embargo, si comparamos el número de implantes de DAI con el PBI per cápita de esos países europeos con Uruguay observamos que es significativamente menor. De acuerdo al PBI per cápita deberíamos tener un número de implantes cuatro a cinco veces mayor (figura 2).

PBI per cápita versus implante DAI/millón. Datos 2012, referencia 27 y www.fnr.gub.uy
Nuestro conflicto clínico-ético de cada día
Frecuentemente vemos, nosotros y todos los cardiólogos, pacientes que cumplen con los requisitos sugeridos por las guías para el implante de un DAI como prevención primaria de muerte súbita cardíaca. Se nos genera entonces un importante conflicto ético. ¿Informamos al paciente que tiene indicación de ese tratamiento, sabiendo que el FNR no lo autorizará? ¿O no lo mencionamos, no actuamos honestamente en otras palabras, y lo dejamos vivir y morir en paz? ¿Es esto éticamente correcto? Las dos conductas tienen sus defensores. ¿La actitud de no informar al paciente se debe a autocensura o es por ignorancia de las guías?
Unos años atrás se publicó el llamado estudio PLASMA, acrónimo de probabilidad de sufrir muerte arrítmica(29). Doce centros de Latinoamérica incluyeron a casi 2.000 pacientes ingresados consecutivamente en unidades cardiológicas entre 2008 y 2009. En el 89% de estos pacientes los datos de su historia permitieron evaluar si tenían indicación de implante de DAI para prevención primaria. Diez por ciento tenían indicación clase I para implante. Sin embargo, solo en 13% de ellos (20 de 153 pacientes) efectivamente se indicó el implante. En la mayoría de los casos la indicación no se hizo por desconocimiento del médico tratante de las guías. Quizá diez años después esta realidad haya cambiado, pero sin dudas hay un rol importante a desempeñar por la educación médica continua y permanente en la corrección de este hecho.
Con respecto al conflicto ético al que se enfrentan quienes sí conocen las guías, queremos recordar el concepto excelentemente resumido en un documento de la Comisión Central de Deontología de la Organización Médica Colegial de España acerca de la doble responsabilidad ética de los médicos:
· La principal lealtad del médico es la que debe a su paciente y la salud de este debe anteponerse a cualquier otra conveniencia.
· El médico ha de ser consciente de sus deberes profesionales para con la comunidad. Está obligado a procurar la mayor eficacia por su trabajo y el rendimiento óptimo de los medios que la sociedad pone a su disposición.
Nuestra conducta, meditada y razonada en el grupo de acuerdo a estos principios, es plantear al paciente y su familia las alternativas terapéuticas, con sus pros y sus contras. Si el paciente acepta la indicación, enviamos la solicitud al FNR. De ser esta negativa, planteamos al paciente y su familia las opciones de comprar el dispositivo (de valorar que existen posibilidades para ello) o recurrir al mecanismo del recurso de amparo ante la Justicia. Así actuaremos hasta que finalmente los mecanismos normales del FNR permitan que los pacientes que lo necesitan puedan acceder a esta terapia.
Sabemos que el FNR hace más de seis años (¿no serán muchos?) está “evaluando” la incorporación de la indicación del DAI en prevención primaria. Sus propios mecanismos burocráticos, su eterna desconfianza en los médicos y su dificultad en aceptar la evidencia, ha llevado a que recientemente se haga una propuesta, no consensuada con quienes tratan directamente a los pacientes, inédita, no utilizada en ningún lado, elaborada con el asesoramiento de un colega argentino que paradojalmente fue revisor del Consenso SAC SUC (Sociedad Argentina y Sociedad Uruguaya de Cardiología) de Prevención de Muerte Súbita(30), que en su país se conduce con otras normas, y cuyo único objetivo, a nuestro criterio, es poner más piedras en el camino. Está basada en la desconfianza y en el miedo a que las indicaciones se “disparen”.
Conociendo y jerarquizando la importancia del FNR en la práctica de la cardiología y otras especialidades del país y con el espíritu de defenderlo, hemos estado siempre dispuestos a colaborar en una mejor y racional instrumentación de esta indicación. Se le han presentado al FNR, hace ya años, varias opciones, algunas probadas en otros países con economías similares o peores que la uruguaya, pero no fueron consideradas. El FNR dispone de todos los medios de auditoría e información para controlar adecuadamente nuestro trabajo y los resultados del mismo, sin recurrir a estos mecanismos absurdos. Es un tema de política de salud, de equidad y de jerarquización de la principal causa de muerte en el país. Ojalá esta norma sea revisada a tiempo y empecemos a transitar una senda de acuerdos entre todos y de coincidencias a favor y no en contra de los pacientes.
En la prevención de la muerte súbita cardíaca es inaceptable seguir trabajando con el “diario del lunes”. No se justifica desde el punto de vista médico, ético, ni económico.
Bibliografía
1. Echt DS, Liebson PR, Mitchell LB, Peters RW, Obias-Manno D, Barker AH, et al. Mortality and morbidity in patients receiving encainide, flecainide, or placebo. The Cardiac Arrhythmia Suppression Trial. N Engl J Med 1991; 324(12):781-8.
2. Mirowski M, Reid PR, Mower MM, Watkins L, Gott VL, Schauble JF, et al. Termination of malignant ventricular arrhythmias with an implanted automatic defibrillator in human beings. N Engl J Med 1980; 303(6):322-4.
3. Connolly SJ, Hallstrom AP, Cappato R, Schron EB, Kuck KH, Zipes DP, et al. Meta-analysis of the implantable cardioverter defibrillator secondary prevention trials. AVID, CASH and CIDS studies: Antiarrhythmics vs Implantable Defibrillator study. Cardiac Arrest Study Hamburg. Canadian Implantable efibrillator Study. Eur Heart J 2000; 21(24): 2071-8.
4. Priori SG, Blomström-Lundqvist C, Mazzanti A, Blom N, Borggrefe M, Camm J, et al. 2015 ESC Guidelines for the management of patients with ventricular arrhythmias and the prevention of sudden cardiac death: The Task Force for the Management of Patients with Ventricular Arrhythmias and the Prevention of Sudden Cardiac Death of the European Society of Cardiology (ESC). Eur Heart J 2015; 36(41):2793-867.
5. Al-Khatib SM, Stevenson WG, Ackerman MJ, Bryant WJ, Callans DJ, Curtis AB, et al. 2017 AHA/ACC/HRS Guideline for management of patients with ventricular arrhythmias and the prevention of sudden cardiac death: a report of the American College of Cardiology/American Heart Association Task Force on Clinical Practice Guidelines and the Heart Rhythm Society. J Am Coll Cardiol 2017; pii: S0735-1097(17)41306-4. [Epub ahead of print]. doi: 10.1016/j.jacc.2017.10.054.
6. Moss AJ, Hall WJ, Cannom DS, Daubert JP, Higgins SL, Klein H, et al. Improved survival with an implanted defibrillator in patients with coronary disease at high risk for ventricular arrhythmia. N Engl J Med 1996; 335(26):1933-40.
7. Buxton AE, Lee KL, Fisher JD, Josephson ME, Prystowsky EN, Hafley G. A randomized study of the prevention of sudden death in patients with coronary artery disease. N Engl J Med 1999; 341(25):1882-90.
8. Moss AJ, Zareba W, Hall WJ, Klein H, Wilber DJ, Cannom DS, et al. Prophylactic implantation of a defibrillator in patients with myocardial infarction and reduced ejection fraction. N Engl J Med 2002; 346(12):877-83.
9. Kadish A, Dyer A, Daubert JP, Quigg R, Estes NA, Anderson KP, et al. Prophylactic defibrillator implantation in patients with nonischemic dilated cardiomyopathy. N Engl J Med 2004; 350(21): 2151-8.
10. Bardy GH, Lee KL, Mark DB, Poole JE, Packer DL, Boineau R, et al. Amiodarone or an implantable cardioverter-defibrillator for congestive heart failure. N Engl J Med 2005; 352(3):225-37.
11. Buxton AE, Lee KL, Hafley GE, Pires LA, Fisher JD, Gold MR, et al. Limitations of ejection fraction for prediction of sudden death risk in patients with coronary artery disease: lessons from the MUSTT study. J Am Coll Cardiol 2007; 50(12): 1150-7.
12. Goldberger JJ, Cain ME, Hohnloser SH, Kadish AH, Knight BP, Lauer MS, et al. A scientific statement from the American Heart Association Council on Clinical Cardiology Committee on Electrocardiography and Arrhythmias and Council on Epidemiology and Prevention. J Am Coll Cardiol 2008; 52(14):1179-99.
13. Barsheshet A, Moss AJ, Huang DT, McNitt S, Zareba W, Goldenberg I. Applicability of a risk score for prediction of the long-term (8-year) benefit of the implantable cardioverter-defibrillator. J Am Coll Cardiol 2012; 59(23):2075-9
14. Kramer DB, Friedman PA, Kallinen LM, Morrison TB, Crusan DJ, Hodge DO, et al. Development and validation of a risk score to predict early mortality in recipients of implantable cardioverter-defibrillators. Heart Rhythm 2012; 9(1):42-6.
15. Bilchick KC, Stukenborg GJ, Kamath S, Cheng A. Prediction of mortality in clinical practice for medicare patients undergoing defibrillator implantation for primary prevention of sudden cardiac death. J Am Coll Cardiol 2012; 60(17):1647-55.
16. Bansal N, Szpiro A, Reynolds K, Smith DH, Magid DJ, Gurwitz JH, et al. Long-term outcomes associated with implantable cardioverter defibrillator in adults with chronic kidney disease. JAMA Intern Med 2018; 178(3):390-398.
17. Steinberg BA, Mulpuru SK, Fang JC, Gersh BJ. Sudden death mechanisms in nonischemic cardiomyopathies: Insights gleaned from clinical implantable cardioverter-defibrillator trials. Heart Rhythm 2017; 14(12):1839-1848.
18. Køber L, Thune JJ, Nielsen JC, Haarbo J, Videbæk L, Korup E, et al. Defibrillator implantation in patients with nonischemic systolic heart failure. N Engl J Med 2016; 375(13):1221-30.
19. Al-Khatib SM, Fonarow GC, Joglar JA, Inoue LYT, Mark DB, Lee KL, et al. Primary prevention implantable cardioverter defibrillators in patients with nonischemic cardiomyopathy: a meta-analysis. JAMA Cardiol 2017; 2(6):685-688.
20. Golwala H, Bajaj NS, Arora G, Arora P. Implantable cardioverter-defibrillator for nonischemic cardiomyopathy: an updated meta-analysis. Circulation 2017; 135(2):201-203.
21. Layerle B, Chafes D, Estragó V, Álvarez P, Pereda M, Spera E, et al. Registro piloto de insuficiencia cardíaca por el grupo uruguayo europeo de registro en insuficiencia cardiaca (GUERNICA). Rev Urug Cardiol 2012; 27(3):286-303.
22. Roos M, Brodbeck J, Sarkozy A, Chierchia GB, De Asmundis C, Brugada P. A critical analysis of the scientific evidence behind international guidelines related to cardiac arrhythmias. Circ Arrhythm Electrophysiol 2011; 4(2):202-10.
23. National Institute for Health and Care Excellence. Implantable cardioverter defibrillators and cardiac resynchronization therapy for arrhythmias and heart failure. London: NICE, 2014. Disponible en: https://www.nice.org.uk/guidance/ta314. [Consulta: 20/2/2018].
24. Kusumoto FM, Calkins H, Boehmer J, Buxton AE, Chung MK, Gold MR, et al. HRS/ACC/AHA expert consensus statement on the use of implantable cardioverter-defibrillator therapy in patients who are not included or not well represented in clinical trials. Circulation 2014; 130(1):94-125.
25. Al-Khatib SM, Hellkamp A, Curtis J, Mark D, Peterson E, Sanders GD, et al. Non-evidence-based ICD implantations in the United States. JAMA 2011; 305(1):43-9.
26. Wolpert C, Lubinski A, Bissinger A, Merkely B, Priori S, Brugada J. Barriers to implementation of evidence-based electrical therapies and the need for outcome research: role of European registries. Europace 2011; 13(Suppl 2):ii18-20.
27. Russo AM, Stainback RF, Bailey SR, Epstein AE, Heidenreich PA, Jessup M, et al. ACCF/HRS/AHA/ASE/HFSA/SCAI/SCCT/SCMR 2013 appropriate use criteria for implantable cardioverter-defibrillators and cardiac resynchronization therapy: a report of the American College of Cardiology Foundation appropriate use criteria task force, Heart Rhythm Society, American Heart Association, American Society of Echocardiography, Heart Failure Society of America, Society for Cardiovascular Angiography and Interventions, Society of Cardiovascular Computed Tomography, and Society for Cardiovascular Magnetic Resonance. J Am Coll Cardiol 2013; 61(12):1318-68.
28. Organization for Economic Cooperation and Development. Health at a Glance: Europe 2012. Paris: OECD, 2012. Disponible en: http://www.oecd- ilibrary.org/social-issues-migration-health/health-at-a-glance-europe-2012_9789264183896-en. [Consulta: 6/6/2017].
29. Gonzalez-Zuelgaray J, Pellizon O, Muratore CA, Oropeza ES, Rabinovich R, Ramos JL, et al. Lack of current implantable cardioverter defibrillator guidelines application for primary prevention of sudden cardiac death in Latin American patients with heart failure: a cross-sectional study. Europace 2013; 15(2):236-42.
30. Sociedad Argentina de Cardiología. Sociedad Uruguaya de Cardiología. Consejo Argentino de Residentes de Cardiología. Consenso de prevención primaria y secundaria de muerte súbita. Rev Urug Cardiol 2012; 27(2):228-52.