030 Nota técnica
Eficiencia de la sierra principal en el proceso de aserrado
Efficiency of the main machine in the sawing process
Eficiencia de la sierra principal en el proceso de aserrado
Quebracho - Revista de Ciencias Forestales, vol. 23, núm. 2, pp. 92-99, 2015
Universidad Nacional de Santiago del Estero

Recepción: 01 Marzo 2014
Aprobación: 01 Julio 2015
Resumen: El presente trabajo tuvo como objetivo determinar los rendimientos del aserrío Álvaro Barba Machado de la Empresa Forestal Integral Minas, mediante un estudio del tiempo en el proceso de aserrado a partir del análisis de las clases diamétricas que alimentaban la línea de grandes dimensiones de Pinus caribaea. var caribaea. Para ello se empleó la metodología basada en la NC 34-37. La misma permitió evaluar los rendimientos de la máquina. El estudio se refirió al trabajo de la máquina principal o sierra cabecera principal, con cada clase diamétrica pues de esta forma la eficiencia del proceso de aserrado se hace más confiable. Como resultados de la investigación se pudo concluir que la máquina está diseñada para transformar trozas entre 18 cm – 22 cm de diámetro con mayor eficiencia. Dentro del estudio se pudo determinar que el día 8 fue el de mejor rendimiento para la máquina, ya que procesó un volumen total 63,23 m3 de madera en rollo, lo que se tradujo en 32,25 m3 de madera aserrada como producto final. El tiempo de trabajo productivo durante la jornada laboral fue mayor; además fue el día en que mejor comportamiento técnico y explotativo tuvo la máquina y donde hubo menor número de paradas por fallos tecnológicos.
Palabras clave: Eficiencia, Evaluación, Máquina, Rendimiento.
Abstract: The objective of this paper was to determine the yields of the sawmill “Álvaro Barba Machado” of Minas Integral Forest Company, through a time study of the sawing process, starting with the analysis of the diameter classes that feed the line of big dimensions of Pinus caribaea var. Caribaea. A methodology based on the NC 34-37 was used and the machine yields were assessed. The study focused on the work that the main sawing machine performs on each diameter class because the efficiency of the sawing process thus becomes more reliable. The results of the investigation led to the conclusion that the machine is designed to convert 18-22 cm logs more efficiently. It was also determined that the best yield was achieved on the 8th day, with a total volume of 63,23 m3 of processed logs, equivalent to 32,25 m3 of lumber. Furthermore, productive working time was higher, the sawing machine exhibited the best technical and processing performance, and fewer delays and breakdowns occurred that day.
Keywords: Efficiency, Evaluation, Machine, yield.
1. INTRODUCCIÓN
Según las estadísticas de FAO (2004), el incremento de la población unido al aumento de la demanda de la construcción de viviendas y otras necesidades para el hombre a partir de la madera aserrada, conducirá a un incremento notable del consumo de madera, principalmente aserrada, en los próximos años.
Por lo tanto, aprovechar deficientemente la materia prima que llega a los aserraderos, principalmente las trozas y en particular las de Pinus caribaea. var caribaea, atenta contra el rendimiento en volumen de madera aserrada. La efectividad del proceso de aserrío (conversión) se expresa comúnmente como el rendimiento obtenido de la troza, es decir, la cantidad de madera aserrada neta respecto del volumen bruto de la troza (Pacheco y Pacheco, 1988). Esto está relacionado estrechamente con el tipo de aserrío, pero también influyen el tamaño, la curvatura y el diámetro de las trozas. Por lo que es necesario tomar una serie de medidas técnicas y organizativas relacionadas con el flujo tecnológico de la producción de madera aserrada, para incrementar la productividad y calidad de la madera aserrada (Álvarez y Egas, 2002).
Partiendo de lo planteado anteriormente, la presente investigación se propone determinar el rendimiento de la máquina que interviene en el proceso del aserrado de madera de Pinus caribaea, var. caribaea, en el aserrío Álvaro Barba Machado de la Empresa Forestal Integral Minas.
Es importante considerar que el costo de la materia prima puede sobrepasar el 60 % del costo total de manufactura de la madera aserrada. Si se incluye el costo de transporte (FAO, 1989a) y se le agrega la utilización inadecuada de las trozas, la eficiencia económica del proceso de aserrado será negativa (Serrano y Bermúdez, 2006). Por lo tanto, deben establecerse planes de corte que tengan una importancia vital en la utilización de las trozas, ya que para cada clase diamétrica se determina un diagrama de corte óptimo, según el tipo de producto a obtener. De dichos planes dependen las pérdidas de madera que se producen en la forma de aserrín u otros subproductos. Estos planes de corte dependen del tipo de maquinaria y los defectos que presente la materia prima con que cuenta el aserradero. Por lo que una correcta aplicación de estos planes de corte influye en el rendimiento y eficiencia económica de los establecimientos de producción de madera aserrada (Romero, 1991).
2. MATERIALES Y MÉTODOS
El presente trabajo se desarrolló en el aserradero “Álvaro Barba Machado”, perteneciente a la Empresa Forestal Integral Minas de Matahambre (EFI Minas de Matahambre), Municipio Minas de Matahambre, provincia Pinar del Río, Cuba. Dicho aserradero está ubicado en el poblado de Pons. La industria cuenta con 244 trabajadores incluyendo las brigadas de extracción y acopio de madera. De este total de trabajadores, 32 son mujeres y de ellas, 18 están vinculadas directamente a la producción. Los trabajadores que laboran en la línea donde se procesaron las trozas de grandes dimensiones de madera aserrada, totalizan 21 hombres, con una edad promedio de 41 años y un nivel escolar de 12do grado, aunque algunos tienen el 9no grado. La máquina que procesa las trozas de grandes dimensiones es de marca Armentia de procedencia española. Este equipo se instaló en la industria de la EFI Minas de Matahambre en el año 2000; la misma contaba con varios años de explotación cuando se la adquirió. La línea está compuesta por esta máquina, que es la principal, además de una canteadora y una retestadora de péndulo y un área de clasificación de la madera aserrada. La industria trabaja con un solo turno al día y un operario principal.
Para determinar el rendimiento de la máquina principal se utilizó la metodología NC 34-37 (1985). La Norma Cubana 34-37 está dirigida a la obtención, análisis y evaluación de los índices de la efectividad tecnológico-explotativa de las máquinas y equipos sometidos a pruebas.
Para aplicar dicha metodología fue necesario determinar el equipamiento con que cuenta la línea de proceso de aserrado. El aserrío Álvaro Barba Machado cuenta con el siguiente equipamiento:
- Sierra sin fin o de cinta
- Carro porta troza
- Cadena transportadora
- Desorilladora o canteadora
- Despuntadora
- Área de clasificación de la madera aserrada
- Sala de afilado
Asimismo, fue necesario efectuar un estudio de tiempos y movimientos, detallando el proceso de aserrado para las diferentes clases diamétricas, entre 18-30 cm y algunas superiores.
Según Chávez (1997), el estudio del tiempo se define como la técnica del estudio de métodos y medidas de trabajo para el examen sistemático del trabajo humano en todos sus contextos, así como de todos los factores que afectan su eficiencia y economía. El estudio de los movimientos de una determinada operación consiste básicamente en el análisis del proceso de producción utilizado, con el fin de mejorar la eficiencia, optimizar el costo y utilizar el personal necesario (menor riesgo, menos cansancio, mayor ingreso, etc...) (Bittencourt y Bonnemann, 1988).
Se procedió al cronometraje del tiempo en la jornada de trabajo dentro del proceso tecnológico de aserrado, con ayuda de un reloj y un cronómetro.
La determinación del balance de tiempo se ejecutó según la siguiente clasificación de los tiempos cronometrados en la jornada de trabajo:
T1 = Tiempo limpio de trabajo: tiempo en que la máquina modifica el objeto de trabajo, o sea las trozas.
T2 = Tiempo auxiliar: representado por la suma del tiempo de retroceso y el tiempo de servicio tecnológico (T2 = T21 + T22)
T21 = Tiempo de retroceso.
T22 = Tiempo para servicio tecnológico.
El tiempo limpio de trabajo T1 y tiempo auxiliar T2 en su conjunto conforman el tiempo de trabajo real de la máquina con cada troza.
T3 = Tiempo de mantenimiento técnico y preparación de la máquina, representado por la suma de T31 + T32 + T33.
T31 = Tiempo para la ejecución del mantenimiento técnico diario.
T32 = Tiempo para la preparación de la máquina para el trabajo.
T33 = Tiempo para realizar las regulaciones pertinentes.
T4 = Tiempo para la eliminación de fallos: representado por T4 = T41 + T42
T41 = Tiempo para la eliminación de fallos tecnológicos (máquina).
T42 = Tiempo para la eliminación de fallos técnicos (hombre).
T5 = Tiempo para descanso del personal de servicio (almuerzo y merienda).
T6 = Tiempo de paradas por causas organizativas: representado por T6 = T61 + T62 + T63
T61 = Tiempo de paradas por causas organizativas.
T62 = Tiempo de paradas por causas meteorológicas.
T63 = Tiempo de paradas por otras causas.
Después de cronometrar cada uno de los tiempos en el proceso de aserrado, se determinó el volumen de madera que procesa la máquina a partir del rendimiento obtenido (volumen total de las trozas que procesa la máquina y volumen total obtenido de madera aserrada).
e contaron las trozas a procesar en la jornada; se les midió la longitud (en m) y los diámetros mayor y menor (en cm) y se calculó el volumen V de cada troza en m3 por la fórmula de Smalian (1837):
(1)
(2)Donde: G = grosor, G0 = extremo fino, G1 = base, d = diámetro, Importar imagen π = 3,14159, L = largo, V = volumen.
Para determinar el volumen de producción de madera aserrada se midieron el largo (m), alto (cm) y ancho (cm) de las piezas. Se calculó el volumen de la madera aserrada V en m3 con la siguiente fórmula, según Chávez (1997):
(3)Donde: V = volumen, L = largo, H = alto, A = ancho, N = número de piezas
Para determinar el rendimiento de la máquina, se midieron diferentes índices de productividad Wi de la máquina a partir de la metodologia NC 34-37 adaptada para este tipo de máquinas, la cual se basa en la pérdida de los diferentes tiempos en el proceso productivo en la jornada de trabajo. Se analizaron al azar 10 jornadas de trabajo para una muestra de 1.895 trozas.
Productividad medida en volumen por hora de tiempo limpio (W.):
(4)Donde: Q = volumen de trabajo realizado con la máquina (en m3/h) y T1 = tiempo de trabajo limpio (en h).
Productividad medida en volumen por hora de tiempo operativo (Wop):
(5)T02 = T1 + T2
Donde: Q = volumen de trabajo realizado con la máquina (en m3/h) y T02 = tiempo operativo (h)
Productividad medida en volumen por hora de tiempo productivo (Wpro):
(6)T04 = T 1 + T 2 + T 3 + T 4
Donde: Q = volumen de trabajo realizado con la máquina (en m3/h) y T04= tiempo productivo (h).
Productividad por hora de tiempo turno sin fallo (Wt):
(7)Tt = T 1 + T 2 + T 3 + T 5 + T 6
Donde: Q = volumen de trabajo realizado con la máquina (m3/h) y Tt = tiempo turno sin fallo (h).
Productividad por hora de tiempo de explotación (Wexp):
(8)T07 = T 1 + T 2 + T 3 + T 4 + T 5 + T 6
Donde: Q = volumen de trabajo realizado con la máquina (m3/h) y T07 = tiempo de explotación (h).
3. RESULTADOS Y DISCUSIÓN
Tiempo de trabajo de la máquina
Con respecto al tiempo de trabajo de la máquina, éste no fue constante ya que, en promedio, sólo trabajo 5 de las 8 horas que debía trabajar en la jornada. En la mayoría de los turnos de trabajo la máquina presentó dificultades principalmente por roturas de la hoja, ya sean por partiduras de la misma o por defectos en sus dientes, causados por el deterioro de éstos.
Se pudo constatar el tiempo limpio de trabajo de la máquina con cada clase diamétrica. El trabajo con las trozas de 18 cm - 20 cm - 22 cm de diámetros fue más eficiente ya que la máquina con trozas de diámetros mayores sufría más paradas por roturas.
La efectividad del proceso de aserrado está estrechamente relacionada con el rendimiento obtenido de la troza, pero en esto influyen el tamaño, la curvatura y la conicidad de la troza, lo que se corrobora por lo planteado por Romero (1991).
El estudio de rendimientos de aserrío realizado por Serrano y Bermúdez (2006) plantea que dichos rendimientos son menores para trozas de diámetros pequeños que para trozas de diámetros mayores.
La máquina que procesó las trozas de Pinus caribaea var. caribaea de grandes dimensiones, logró mayor producción de madera aserrada cuando procesó las trozas de clases diamétricas entre 18, 20 y 22 cm de diámetro, lo que se corrobora con lo planteado por Álvarez y Andrade (2004), ya que el tiempo en que transforma éstas es mucho menor que cuando trabaja con trozas de clases diamétricas superiores, con diámetros entre los 28 cm y 30 cm o más (Tabla 1).
| Clase diamétrica (cm) | Tiempo de trabajo de la máquina (segundos) | Número de trozas | Volumen (m3) | ||||
| Segundos de corte | Acomodo del bolo | Retroceso | Madera en Bolo | Madera aserrada | |||
| Carga | Vacío | ||||||
| 18 | 10 | 4 | 6 | 5 | 15 | 1,62 | 0,85 |
| 20 | 12 | 4 | 6 | 5 | 15 | 1,92 | 1,01 |
| 22 | 14 | 4 | 6 | 5 | 15 | 2,38 | 1,26 |
| 24 | 16 | 6 | 6 | 5 | 15 | 2,77 | 1,47 |
| 26 | 18 | 6 | 6 | 5 | 15 | 3,36 | 1,78 |
| 28 | 21 | 7 | 6 | 5 | 15 | 3,73 | 1,97 |
| 30 | 23 | 7 | 6 | 5 | 15 | 4,05 | 2,14 |
Con las clases diamétricas ubicadas entre los 24 cm a 30 cm o más, la sierra sufrió mayor cantidad de roturas, principalmente por el mal estado de la misma. Si bien, con mayores diámetros la máquina debería tener mayor rendimiento, en este estudio no fue así ya que ésta sufre menos paradas con las clases más pequeñas y por tanto hay menor pérdida de tiempo. Esta situación se traduce en mayores rendimientos y producción de madera aserrada(Álvarez y Andrade, 2004). Esto se debe principalmente al mal estado tecnológico en que se encontraba trabajando la máquina, causado por la falta de piezas y de mantenimiento en el momento necesario.
Productividad de la máquina
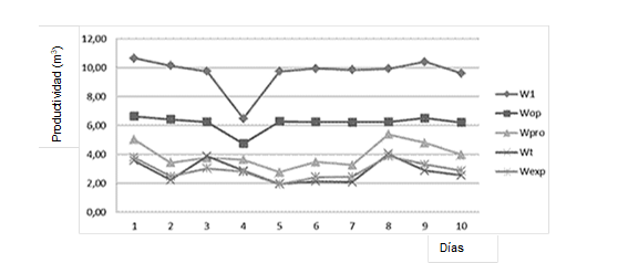
En la Figura 1 se muestra la productividad (medida en m3/día) de la máquina para la madera aserrada donde se puede apreciar que la productividad por tiempo productivo fue mayor en el día 8 ya que fue el día menos afectado por las paradas de fallos tecnológicos y por otras causas de carácter organizativo. Lo contrario sucedió con el día 5 donde hubo varias afectaciones que provocaron la disminución de la productividad de la máquina en cuanto a la productividad por tiempo productivo, productividad por tiempo explotativo y productividad por tiempo total.

Rendimiento de la máquina dentro de la decena
Como se puede apreciar en la Figura 2, el rendimiento de la máquina para madera en bolo y madera aserrada en m3/día, presentó la mayor produción el día 8. En este día se llegarón a procesar 63,23 m3 de madera en bolo para un total de madera aserrada de 32,25 m3, lo que coincide con el índice de productividad por hora de tiempo productivo. Esto se logró ya que ese día hubo un menor número de paradas por fallas técnicas, debido que la maquina contó con el mantenimiento correspondiente para su buen funcionamiento, lo que se corrobora por lo planteado en el manual de Cuidado y mantenimiento de sierras (FAO, 1989b y Colectivo de autores, 2007).
Posteriormente se analizaron las causas de los menores rendimientos de los demás días con el objeto de de encontrar soluciones aplicables de inmediato y se pudo constatar que esto se debió al mal estado en que se encontraba las hojas. Por otra parte se detectaron fallas en la alineación de las trozas, problemas con las escuadras del carro porta trozas y falta de mantenimiento general. Tambien se detectó escasa limpieza en la máquina y en ocaciones el operador no era la persona que tenia a su cargo el manejo de la máquina.
Otro aspecto que se observó fue que los factores que afectaban el trabajo de la máquina del aserradero estaban dados por la baja disponibilidad técnica de la máquina principal, lo que se entiende por el mal estado técnico de la máquina para realizar el trabajo.

Se pudo determinar que la máquina y el aserradero de forma general no cumplen con los planes de producción, debido a ineficiencias en la organización y planificación, así como también a las deficiencias tecnológicas detectadas.
Este resultado se debe a que la máquina sufrió varias roturas que hasta el momento no se pudieron resolver del todo, desde problemas con la cinta o sierra, la cual en ocasiones no cumple con los parámetros (Colectivo de autores, 2007) y la falta de piezas de repuesto lo que influye en el rendimiento y productividad de la máquina.
En cuanto a la calidad de la madera aserrada, se pudo corroborar que influye la calidad de la materia prima (trozas) que llega a la industria la cual, en ocasiones, no cumple con los parámetros requeridos para obtener un producto con la mejor calidad, lo que se corroboró con lo planteado por Binagorov (1984).
El mal estado en que se encontraban las cintas, se debió a que las mismas tienen varios años de explotación por lo que en ocasiones una misma hoja presenta varios empates. Por otro lado éstas no están correctamente afiladas y esto influye en el rendimiento de la máquina ya que la misma no se encontraba en óptimas condiciones para obtener el mayor rendimiento posible durante el proceso de transformación de la troza. Esta situación provoca paradas para cambio de cinta y menor calidad de la madera aserrada, lo que constituye una deficiencia tecnológica coincidiendo con lo planteado por FAO (1989a); Casado (1997) y Colectivo de autores (2007).
4. CONCLUSIONES
. Los rendimientos de la máquina fueron mayores con las trozas que presentaban clases diamétricas entre los 18 cm y 22 cm, al tener menor número de paradas.
. El día 8 fue el de mejor rendimiento para la máquina, ya que procesó un volumen total 63,23 m3 de madera en bolo, lo que se tradujo en 32,25 m3 de madera aserrada como producto final, donde el tiempo de trabajo productivo fue mayor en la jornada laboral. Además fue el día en que mejor comportamiento técnico y explotativo tuvo la máquina y donde hubo menor número de paradas por fallos tecnológicos.
. Se pudo determinar que el tiempo de trabajo limpio de la máquina no responde siempre a una mayor productividad del equipo.
5. REFERENCIAS BIBLIOGRÁFICAS
Álvarez, D. y F. Andrade. 2004. “Importancia del control de las dimensiones madera aserrada”. Universidad de Pinar del Río, Cuba.
Álvarez, D. y A. Egas. 2002. “Factores fundamentales para aumentar los rendimientos de madera aserrada en aserraderos con sierras de banda”. CIGET Pinar del Río Vol.4 No.2 abril-junio 2002 Universidad de Pinar del Río, Cuba.
Binagorov, G. 1984. “Tecnología del aprovechamiento forestal”. Editorial Industria Forestal. Moscú. p 201-2002.
Bittencourt, L. y A. Bonnemann. 1988. “Tecnología e Industrialización de la Madera II”. Manual del Técnico Forestal. Industrias de la Madera. Cochabamba, Bolivia.
Casado, M. 1997. “Tecnología de las industrias forestales”. Tomo I. Serie Forestal 26. Universidad de Valladolid. Escuela Técnica Superior de Ingenierías Agrarias. 191 pp.
Colectivo de autores 2007. “Manual de afilado de sierras cinta”. Bloque I. Descripción y características de la cinta sinfín. 20 pp.
Chávez, A. 1997. “Estudio de rendimiento, tiempos y movimientos en el aserrío”. Manual práctico. Documento técnico 62. Proyecto BOLFOR. Santa Cruz Bolivia. 29 p
FAO, 1989a. “Plastig log chute in steep terrain thinning operations”. Forest logging and transport brach forest industries Division. Rome, Italy. 31 p.
FAO, 1989b. “Manual Cuidado y mantenimiento de sierras”. Estudios FAO Montes 58. Roma. 117 pp.
FAO. 2004. “Estudio de tendencias y perspectivas del Sector Forestal en América Latina”. Informe Nacional Cuba. Roma.
NC 34-37. 1985. “Metodología para la evaluación tecnológico explotativa”. La Habana. Comité Estatal de Normalización.
Pacheco, M. y P. Pacheco. 1988. “Análisis del comportamiento de la producción de madera aserrada en el establecimiento Álvaro Barba utilizando gráficos de control”. Universidad de Pinar del Río. 80 pp.
Romero, M. 1991. “Estudio de Costos y Rendimientos de la Industria del Aserrío en Bolivia”. LABONAC.
Serrano, R. y G. Bermúdez. 2006. “Costos de producción de madera aserrada de Pinus oocarpa (sp)”.