020 Trabajo Científico
Modelos alométricos de biomasa aérea para Vachellia caven Mol. Molina en bosques nativos del Espinal (Argentina)
Biomass allometric models for Vachellia caven Mol. Molina in native Espinal forests (Argentina)
Modelos alométricos de biomasa aérea para Vachellia caven Mol. Molina en bosques nativos del Espinal (Argentina)
Quebracho - Revista de Ciencias Forestales, vol. 28, núm. 1, pp. 20-33, 2020
Universidad Nacional de Santiago del Estero

Recepción: 01 Agosto 2019
Aprobación: 01 Junio 2020
Resumen: La captura y fijación de CO2 atmosférico es uno de los servicios ambientales que proveen los bosques nativos. La biomasa arbórea constituye un indicador de las existencias de carbono y puede ser estimada mediante modelos alométricos, que deben ser precisos, insesgados y locales. Los objetivos fueron cuantificar la biomasa individual de Vachellia caven y su distribución por componente estructural; estimar los factores de expansión de la biomasa (FEB) por clase diamétrica; y obtener modelos alométricos para la estimación de la biomasa aérea en bosques nativos del Espinal (Entre Ríos). En 30 individuos de distintas clases diamétricas se midieron variables dasométricas y se determinó la biomasa aérea total y por componente (fuste, ramas mayores de 5 cm de diámetro y ramas menores de 5 cm + hojas + flores + frutos) mediante el método destructivo. Para la selección de los mejores modelos de estimación de biomasa se utilizaron indicadores de bondad de ajuste: coeficiente de determinación ajustado, error cuadrático medio de predicción, estadígrafo PRESS, Criterios de Información de Akaike y Bayesiano e Índice Furnival. Los modelos de mejor ajuste se basaron en el diámetro a la altura del pecho (DAP), área de copa (ac) y altura total. El mejor modelo fue: Ln(Bt) = -1,69 + 1,74 * Ln(DAP) + 0,41 * Ln(ac). Los valores de FEB variaron entre 3,1 y 5,8 y fueron significativamente más altos en individuos de mayor diámetro. Los modelos obtenidos presentan alta precisión (R2 aj. ≥ 0,92), pudiendo ser aplicados en individuos de V. caven en el área de bosques nativos del Espinal, que presenten diámetros basales comprendidos entre 5 cm y 25 cm.
Palabras clave: reservorio de carbono, especie nativa, Fabácea, funciones de estimación.
Abstract: The capture and fixation of atmospheric CO2 is one of the environmental services provided by native forests. Tree biomass is an indicator of carbon stocks and can be estimated using allometric models that must be accurate, unbiased and local. The objectives of this study were to determine the individual aerial biomass of Vachellia caven and its distribution by structural component; estimate the diametric class-based biomass expansion factors (BEF) and obtain allometric models for the estimation of the aerial biomass of the El Espinal, a native forests of Entre Ríos, Argentina. The dasometric variables of 30 individuals of different diametric classes were measured and both the total and componential (trunk, branches of more than 5 cm in diameter, and branches of less than 5 cm + leaves + flowers + fruits) biomass determined using the destructive method. To select the best biomass estimating models, goodness of fit indicators were used: the adjusted coefficient of determination (r.), mean squared predicting error, the PRESS statisticgraph, the Akaike and Bayesian’s Information Criteria and the Furnival index. The best-fit models were based on diameter at breast height (BHD), crown area (ca) and total height. The best model was: Ln(Bt) = -1,69 + 1,74 * Ln(dbh) + 0,41 * Ln(ca). The BEF values varied between 3.1 and 5.8, and were significantly higher in individuals with larger diameters. The models developed in this work present high accuracy (r2 adj. ≥ 0.92) and can be applied in the native forest area of the province of Entre Ríos (Argentina) in V. caven individuals with diameters between 5 cm and 25 cm.
Keywords: carbon pool, native species, models, Fabaceae, estimating functions.
1. INTRODUCCIÓN
Asociado al avance de la frontera agropecuaria, en la República Argentina se ha producido una significativa reducción del área cubierta por bosques nativos, con tasas del orden del 0,49 % anual que representa una pérdida de 190.589 ha por año (UMSEF, 2017). La provincia de Entre Ríos no ha sido ajena a esta situación. En áreas boscosas representativas se han determinado tasas de deforestación anuales de 1,07 % para el período 1991 - 2011 (Sabattini et al., 2016).
La captura y fijación de CO2 atmosférico es uno de los servicios ambientales que proveen los bosques nativos. La conversión de estos ecosistemas a otros tipos de cobertura afecta la provisión de tales servicios, y se traduce en la liberación de CO2 hacia la atmósfera. Según el Inventario Nacional de GEI de Argentina (2014), la deforestación contribuye con el 14,5 % de las emisiones totales del país (Programa Nacional ONU-REDD, 2019).
La biomasa vegetal constituye un indicador de las existencias de carbono (C) en los ecosistemas y ha sido incluida por la Convención Marco de las Naciones Unidas sobre Cambio Climático como variable esencial para mejorar la predicción y mitigación del cambio climático global. De acuerdo con la Orientación de las Buenas Prácticas del IPCC (2003, 2006), existen cinco reservorios de C en un ecosistema. Los cuatro principales son: la biomasa aérea, los detritos o madera muerta, la biomasa subterránea (sistema radical) y los suelos. Gran parte del total de las reservas forestales de C se representa en la biomasa aérea y en el suelo (Chave et al., 2003, Malhi et al., 2009, GOFC-GOLD, 2009). Dado que gran parte de las reservas forestales de C se encuentra en la biomasa aérea de las especies leñosas, los métodos que estiman el C almacenado se centran en los cambios de existencias de la biomasa de estas especies. Estimar las reservas de biomasa de los bosques es una herramienta útil para valorar la cantidad de C que se almacena en las estructuras vivas en un momento dado (IPCC, 2007).
La cuantificación de esta variable permite entender la dinámica de los ecosistemas forestales y para estimar la fijación de CO2 atmosférico (Barth et al., 2016; Chávez - Pascual et al., 2017). La biomasa de las especies leñosas puede ser estimada mediante modelos alométricos obtenidos por medio de análisis de regresión entre datos de biomasa o volumen determinados por el método destructivo, y las variables alométricas colectadas en inventarios forestales (Andrade et al., 2014). Los modelos deben ser específicos para cada especie y cada parte del árbol (Schlegel 2001; Risio Allione et al., 2012), siendo útil conocer la partición de la biomasa arbórea por componente, que puede estar influenciada por variables ambientales y de manejo. Si bien existe una amplia diversidad de modelos de estimación de biomasa desarrollados para especies de ecosistemas mésicos y plantaciones forestales (Segura y Kanninen, 2005; Fonseca et al., 2009), resultan limitados para bosques xerofíticos y semixerofíticos (León de la Luz et al., 2005). Si no se dispone de modelos de biomasa es posible recurrir a los factores de expansión de biomasa (FEB), que utilizan el volumen o la biomasa de los fustes para obtener la biomasa total del individuo; estos coeficientes son útiles para estimar la biomasa arbórea total y el C almacenado, a partir de la información de inventarios forestales y de las Guías de Inventarios Nacionales de GEI del IPCC (Somogyi et al., 2006).
Vachellia caven (Mol.) Molina (espinillo), es una especie arbórea nativa de la familia Fabaceae, característica de los bosques semixerofíticos del noreste del Espinal (Argentina) junto a otras especies de la misma familia (Prosopis affinis Spreng., Prosopis nigra Griseb. y P. alba Griseb.). El espinillo es la especie dominante en los renovales, comunidades vegetales propias de las etapas sucesionales generadas a partir de la deforestación y posterior abandono de las tierras. Ledesma et al. (2007) determinaron densidades relativas de 14 % a 82 % de esta especie en áreas representativas del Espinal entrerriano (Dptos. Federal, La Paz y Paraná), con aportes de 5 % a 72,7 % al área basal total. Por su parte, en un relevamiento de bosques nativos realizado a nivel de cuenca en el departamento de La Paz, V. caven resultó la especie característica de los bosques sucesionales y renovales (Sabattini et al., 2016).
Es prioritario contar con modelos locales y específicos de predicción de la biomasa de las especies dominantes de los bosques nativos, como herramienta para estimar el C almacenado y poder evaluar el efecto sobre esta variable, del cambio de uso de la tierra y del aprovechamiento y manejo de los bosques. A nivel nacional, resultan escasos los estudios tendientes a obtener modelos de estimación de biomasa y FEB en especies arbóreas nativas (Conti et al., 2008; Gyenge et al., 2009; Iglesias & Barchuk, 2010; Risio Allione, 2012; Gaillard de Benítez et al., 2010, 2014; Sione et al., 2019). A la fecha, no se han desarrollado modelos alométricos de estimación de biomasa para V. caven.
Los objetivos de este trabajo fueron i) cuantificar la biomasa aérea individual de Vachellia caven y su distribución por componente estructural; ii) estimar los factores de expansión de la biomasa por clase diamétrica; y iii) obtener modelos alométricos para la estimación de la biomasa aérea de V. caven en bosques nativos del Espinal (Entre Ríos, Argentina).
2. MATERIALES Y MÉTODOS
Área de estudio
El estudio se desarrolló en el área de bosques nativos de la provincia de Entre Ríos (Argentina), correspondiente a la provincia fitogeográfica del Espinal, Distrito del Ñandubay (Cabrera 1976). El área presenta clima húmedo de llanura, con una amplitud térmica de 13 ºC y una media diaria anual de 18,5 °C, que varía entre 25,0 °C en enero y 12,0 °C en julio. La vegetación está caracterizada por bosques semixerófilos dominados por ñandubay (P. affinis) y espinillo (V. caven), frecuentemente acompañados por algarrobo negro (P. nigra), algarrobo blanco (P. alba) y tala (Celtis ehrenbergiana (Klotzsch) Liebm.). Estos bosques se caracterizan por la heterogeneidad fisonómica y florística resultante de las condiciones ecológicas y la historia de uso y manejo al que han sido sometidos. Tradicionalmente se han destinado a actividades de cría y recría de ganado vacuno en base al pastizal natural que se desarrolla en el estrato herbáceo.
El estudio se desarrolló en el Dpto. Paraná (Entre Ríos). El suelo corresponde al Orden Vertisoles (Hapludertes típicos), caracterizado por un horizonte argílico (con arcillas montmorilloníticas) de permeabilidad lenta (Plan Mapa de Suelos, 1997). La comunidad vegetal clímax es un bosque bajo (estrato arbóreo inferior a 6 m de altura) de P. affinis y V. caven, acompañados de P. nigra y C. ehrenbergiana. La densidad arbórea promedio es de 1.112 individuos ha-1.
Recolección de datos
El muestreo se realizó en una superficie de 48 ha, que presenta el mismo tipo de suelo y está destinada a la actividad ganadera de cría y recría vacuna con un mismo manejo productivo, desde hace más de 25 años. Se seleccionaron aleatoriamente 30 individuos, según lo recomendado por Segura y Andrade (2008), distribuidos en cuatro clases diamétricas: 5-10, 10-15, 15-20, y 20-25 cm de diámetro del tronco a 15 cm desde el nivel del suelo (d15), seleccionando un número de individuos proporcional a la frecuencia relativa de cada clase diamétrica. Los tamaños de plantas seleccionadas representan el rango de tamaños encontrados en la región (Secretaría de Ambiente y Desarrollo Sustentable de la Nación, 2007).
La biomasa se cuantificó por el método destructivo, en febrero/marzo de 2018, coincidente con la etapa fisiológica de máxima expresión del follaje. En cada individuo, previo al corte, se midieron las siguientes variables: diámetro del fuste (en cm) a 15 cm desde el nivel del suelo (d15), a 30 cm (d30) y a la altura del pecho -a 1,30 m de altura- (DAP); altura del fuste en m (hf) tomado desde el suelo hasta la primera bifurcación; altura total en m (h); diámetro mayor de copa en m (Dc; m) y su perpendicular (diámetro menor, dc). Para la medición del DAP se utilizó una forcípula Mantax, efectuándose dos mediciones en forma perpendicular, las que se promediaron. La altura arbórea fue determinada con vara telescópica. Se calculó el área de copa (ac), como
y se expreso en m2.
Los árboles fueron cortados a ras del suelo, y se procedió a la separación de la biomasa en tres componentes: fuste (f) considerado desde la base del tronco hasta la primera ramificación, ramas grandes, de diámetro > 5 cm (rg) y ramas pequeñas, de diámetro ≤ 5 cm + hojas, flores y frutos (rph). La materia verde de cada componente se pesó en el campo, con una balanza de gancho de 300 kg (resolución 100 g). Para determinar la materia seca se extrajeron alícuotas. Del fuste se seleccionaron tres rodajas de 5 cm de espesor (basal, central y superior); de rg se tomaron cinco rodajas de diferentes diámetros, y de rph tres alícuotas de ~ 250 g. Las alícuotas fueron pesadas a campo con una balanza de precisión y llevadas a estufa a 105 ºC hasta peso constante, para determinar el contenido de materia seca de cada componente y afectarlo al peso húmedo.
Determinación de la biomasa arbórea individual y la distribución por componente
La biomasa aérea total de cada individuo (Bt) fue calculada como la suma de la materia seca de todos los componentes (Bf, Brg, Brph). Posteriormente se determinó la distribución porcentual de la biomasa aérea por componente dentro de cada individuo, calculándose como el cociente entre la biomasa de cada componente y la biomasa total individual.
Determinación de los FEB
Los valores de FEB se estimaron como el cociente entre Bt y Bf, expresadas como kg de biomasa seca por individuo. Finalmente, se calculó el valor medio de FEB para cada clase diamétrica.
Análisis estadístico
Se verificó la normalidad (test de Shapiro - Wilk) y la homogeneidad de las varianzas de los datos. Se realizó un análisis de la varianza (ANOVA) para evaluar la variación en los valores de FEB entre clases diamétricas y se utilizó una prueba de Fisher (α = 0,05) para verificar la existencia de diferencias significativas en FEB y en la contribución de cada componente estructural a la biomasa total individual, entre clases diamétricas.
Se evaluaron y ajustaron 8 modelos alométricos genéricos (Loetsch et al., 1973; Tabla 1), de frecuente utilización en especies leñosas perennes. Adicionalmente al ajuste de estos modelos se construyeron otros modelos, utilizando como variables predictoras a aquellas que demostraron alta correlación con la biomasa y que no estaban incluidas en los modelos genéricos ajustados. Para la construcción de estos nuevos modelos, se evaluó la normalidad y homogeneidad de las varianzas de los datos. Las variables d15, d30, DAP, h, hf y ac se utilizaron como variables predictoras. Los parámetros Bt, Bf, Brg y Brph fueron considerados variables dependientes. Basado en el análisis de normalidad, independencia y homogeneidad de las varianzas de estas variables, se utilizaron transformaciones (logaritmos naturales). Se calculó el coeficiente de correlación de Pearson (r) entre valores de biomasa (Bt, Bf, Brg y Brph) y las variables predictoras, para identificar la capacidad de estas últimas para explicar la biomasa. Las variables predictoras seleccionadas fueron aquellas con mayor correlación con las variables dependientes. Se realizaron análisis de regresión lineal con y sin transformaciones logarítmicas mediante el método de mínimos cuadrados. Utilizando los módulos de regresión lineal simple y múltiple de Statgraphics Centurion XVI® versión 16.1 (StatPoint Technologies Inc., 2010), se generaron funciones de regresión predictiva para cada una de las variables dependientes.
La selección de los mejores modelos se efectuó siguiendo el criterio de Andrade et al. (2014), a partir del cálculo del coeficiente de determinación ajustado (r2aj.), el error cuadrático medio de predicción (ECMP), los Criterios de Información de Akaike (AIC) y el Bayesiano de Información (BIC) y el Índice de Furnival (IF) (Furnival, 1961). Cada indicador fue calificado de mejor a peor en cada modelo obtenido. El mejor modelo resultó aquel con mejor calificación combinada de esos criterios (Andrade et al., 2014). Se realizó un análisis de estimados vs observados y de residuos para los modelos seleccionados. Los análisis estadísticos fueron realizados empleando el software Statgraphics Centurion XVI. (version 16.1) (StatPoint Technologies Inc., 2010).
| Autor | Modelo |
| Berkhout | B = a + b*DAP |
| Kopezky | B = a + b*DAP2 |
| Hohenadl – Krenn | B = a + b*DAP + c*DAP2 |
| Husch | Ln B = a + b*Ln DAP |
| Spurr | B = a + b*DAP2 *h |
| Stoate | B = a + b*DAP2 + c*DAP2 * h + d*h |
| Meyer | B = a + b*DAP2 + c*DAP*h + d*DAP2 *h |
| Schumacher-Hall | Ln B = a + b*Ln DAP + c * Ln h |
3. RESULTADOS Y DISCUSION
Biomasa aérea total y por componentes
Los individuos muestreados presentaron una biomasa total arriba del suelo que varió entre 2,68 kg árbol-1 y 190,49 kg árbol-1. La distribución por componente de la biomasa individual se muestra en la Figura 1. En promedio, la mayor acumulación de biomasa se concentró en la fracción integrada por ramas pequeñas + hojas + flores+ frutos (52,80 ± 9,04 %). El fuste y las ramas mayores arrojaron participaciones promedio similares (24,13 ± 8,91 % y 23,47 ± 13,99 %, respectivamente).
La partición de la biomasa por componente tuvo tendencias diferentes en función del DAP. El porcentaje de participación de rg en la biomasa total presentó una tendencia lineal positiva (r = 0,94), siendo mayor ante incrementos de DAP. Se observó una tendencia de disminución en las proporciones de biomasa de rph con el aumento del DAP (r = -0,72). Respecto al fuste, su participación relativa en Bt varió entre 9,81 % y 47,31 %, observándose valores más bajos en individuos de mayor diámetro (r = -0,70).
El análisis de la distribución de la biomasa por componente indica que V. caven invierte la mayor parte de sus recursos en el desarrollo de las ramas menores, hojas y frutos. Esto coincide con los resultados obtenidos por Sione et al. (2019) para P. affinis, especie que también destina la mayor parte de sus recursos al desarrollo de este componente, seguido por el fuste (41,9 % y 32,8 % en promedio, respectivamente). Por su parte, Risio Allione et al. (2012) encontraron en P. caldenia (especie Fabácea con arquitectura similar a V. caven) una mayor cantidad de biomasa almacenada en la copa, seguido por el sistema radical y el fuste (46 %; 35 % y 19 %, respectivamente).
Respecto al análisis por clase diamétrica (Tabla 2), la participación del fuste resultó significativamente diferente (P < 0,0001; CV = 28,33 %) entre clases diamétricas, siendo superior (P = 0,0007) en individuos de menor DAP. La participación relativa de rg mostró diferencias significativas (P < 0,0001) entre clases diamétricas y un coeficiente de variación de 26,26 %. La participación promedio correspondiente a la clase 5-10 cm resultó significativamente menor respecto al resto de las clases, mientras que los individuos de clases superiores (15-20 cm y 20-25 cm) presentaron los mayores porcentajes. Respecto a la fracción rph, se encontraron diferencias estadísticas (P < 0,0001) entre clases diamétricas, resultando la fracción con menor CV (11,63 %). Los mayores valores medios correspondieron a los individuos de las clases 5-10 cm y 10-15 cm.

DAP: diámetro del fuste a la altura del pecho - a 1,30 m de altura; Bf: biomasa de fuste; Brg: biomasa de ramas grandes, de diámetro > 5 cm; y Brph: biomasa de ramas pequeñas, de diámetro ≤ 5 cm + hojas, flores y frutos.
| Clase diamétrica (cm) | Participación de cada componente estructural en la Bt (%) | ||
| f | rg | Rph | |
| 5-10 | 34,07 a | 5,42 a | 60,51 a |
| 10-15 | 21,43 b | 22,09 b | 56,48 a |
| 15-20 | 20,05 b | 31,88 c | 48,07 b |
| 20-25 | 19,69 b | 37,79 c | 42,53 b |
La forma de las relaciones de los porcentajes de los componentes de biomasa en función del diámetro coincide con lo reportado por Sione et al. (2019) para P. affinis, quienes observaron una tendencia de aumento en las proporciones de biomasa de rg y de rph en individuos de mayores diámetros. A su vez, estos autores determinaron que la participación del fuste en la biomasa total disminuye a medida que el diámetro aumenta en coincidencia con los resultados observados en el presente trabajo. Sin embargo, estos resultados no son coincidentes con lo reportado por Méndez González et al. (2006) y Gaillard de Benítez et al. (2014), quienes determinaron, para Prosopis glandulosa y P. nigra, respectivamente, relaciones crecientes para fuste y decreciente para hojas y ramitas. Estas disimilitudes podrían atribuirse a diferencias en las densidades de los rodales evaluados en dichos trabajos.
Factores de expansión de la biomasa (FEB)
Se observó una tendencia lineal positiva en los valores de FEB con el aumento de DAP (r = 0,66), correspondiendo los mayores valores a las clases diamétricas mayores. El análisis por clase diamétrica indica diferencias significativas entre clases (P = 0,023; CV = 34,4 %), con valores medios que oscilaron entre 3,1 y 5,8. Los menores valores correspondieron a la clase 5 -10 cm, significativamente inferior que el resto de las clases diamétricas (Tabla 3). Este comportamiento obedece a la creciente participación relativa de la fracción compuesta por ramas mayores a 5 cm, a medida que aumenta el diámetro, y a la menor participación del fuste en la biomasa total.
| Clase diamétrica (cm) | Factor de Expansión de la biomasa (FEB) | |
| Media | EE | |
| 5-10 | 3,14 a | 0,92 |
| 10-15 | 4,99 b | 1,61 |
| 15-20 | 5,34 b | 1,45 |
| 20-25 | 5,76 b | 2,42 |
Los valores de FEB obtenidos son superiores a los citados por la bibliografía para otras especies. Los altos valores determinados para las clases diamétricas mayores obedecen a la fisonomía de la especie, caracterizada por una menor participación del fuste en individuos de mayores diámetros y un mayor crecimiento relativo de la copa respecto al fuste. Este comportamiento del FEB también fue observado en P. affinis, con la cual comparten una fisonomía similar, si bien los valores de FEB resultaron menores que en V. caven, variando entre 2,3 y 4,9 (Sione et al., 2019). Risio Allione et al. (2012) observaron en individuos de P. caldenia, que el mayor porcentaje de biomasa se encuentra en la copa (ramas de diferentes tamaños y hojas), correspondiendo al fuste la menor participación en la biomasa total (19 % en promedio), si bien en esta investigación también se consideró la biomasa de raíces. Aunque estos autores no reportan estimados de FEB, es de esperar que con estos porcentajes de participación del fuste en la biomasa total se obtengan FEB similares a los determinados en el presente trabajo.
Cabe destacar la gran variabilidad de los valores de FEB reportados en la bibliografía para diferentes especies. El IPCC ha establecido valores de FEB por defecto. Los valores asignados a especies de hoja ancha varían entre 1,15 y 3,2 para bosques templados y entre 2,0 y 9,0 para bosques tropicales (IPCC, 2014). Según Álvarez (2008), el FEB para ecosistemas secos se encuentra entre 1,9 y 2,4. Dentro de este rango están los valores determinados por Solano et al. (2014) para especies de bosque seco pluviestacional de Ecuador (1,72 para Cordia alliodora, 1,41 para Eriotheca ruizii y 1,75 para Tabebuia chrysantha). Por su parte, Bautista - Hernández y Torres - Pérez (2003) determinaron para Manilkara zapota valores de FEB de 3,7, en tanto que para Caesalpinia platyloba (especie de bosques tropicales) resultó significativamente mayor (21,3). Por su parte, Domínguez Cabrera et al. (2009), obtuvo valores de 1,4 y 1,5 para Pinus teocote y Quercus sp., respectivamente.
Correlación entre la biomasa aérea (total y por componentes) y las variables dasométricas
La biomasa total estuvo altamente correlacionada con d15, d30, DAP y ac (0,91 < r < 0,94; P < 0,01) y moderadamente con h. En contraste, la correlación con hf resultó baja (Tabla 4). La biomasa del fuste resultó mejor explicada por d30, (r = 0,90; P< 0,01) y d15 (r = 0,90; P < 0.01) (Tabla 4). Sione et al. (2019), obtuvieron resultados similares en P. affinis; la biomasa aérea total estuvo altamente correlacionada con d15, d30, DAP y ac (0,92 < r < 0,98; P < 0,01), y moderadamente con h (r = 0,64). Sin embargo, en P. affinis se observó que la biomasa del fuste resultó mejor explicada por las variables independientes que la biomasa de los otros componentes (ramas grandes y la fracción compuesta por ramas pequeñas + hojas, flores y frutos). En el presente trabajo, fue la biomasa total la mejor explicada por las variables independientes.
| Biomasa | d15 | d30 | DAP | h | hf | ac |
| Bf | 0,89 | 0,90 | 0,82 | 0,72 | 0,51 | 0,84 |
| Brg | 0,84 | 0,87 | 0,89 | 0,75 | 0,14 | 0,89 |
| Brph | 0,91 | 0,93 | 0,94 | 0,79 | 0,18 | 0,91 |
| Bt | 0,91 | 0,94 | 0,94 | 0,79 | 0,23 | 0,92 |
Por su parte, en P. nigra la correlación de la biomasa total con el diámetro fue mayor que la existente con otras variables dendrométricas (Gaillard de Benítez et al., 2014). Estos autores también observaron una muy baja correlación entre que la biomasa total de esta especie y la hf. Risio-Allione et al. (2012) observaron que el área basimétrica presenta los mayores coeficientes de correlación con todas las fracciones de biomasa de P. caldenia, seguida por el diámetro en la base y el DAP. El valor más bajo correspondió a la altura de copa, mientras que h y dc presentaron valores intermedios dependiendo de la fracción considerada.
Modelos alométricos de biomasa aérea total
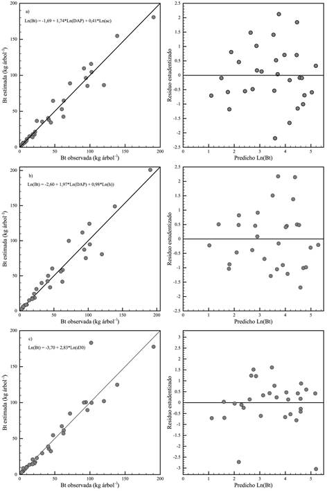
Los modelos genéricos evaluados para estimar biomasa total mostraron menor bondad de ajuste que los modelos obtenidos al incorporar como predictoras a aquellas variables dendrométricas de mayor correlación con la biomasa (Tabla 5). Los dos modelos alométricos que presentaron los mejores estadígrafos para estimar la biomasa total (Figura 2; Tabla 5) se basan en DAP y ac (ecuación 1) y en DAP y h (ecuación 2). Estos modelos estiman el Ln de la biomasa, por lo que la reconversión a valores de biomasa requiere del cálculo de un término de corrección.
Ln(Bt) = -1,69 + 1,74*Ln(DAP) + 0,41*Ln(ac) [1]
Ln(Bt) = -2,60 + 1,97*Ln(DAP) + 0,98*Ln(h) [2]
Donde:
Ln: logaritmo natural; Bt: biomasa aérea total (kg árbol-1); DAP: diámetro del fuste a la altura del pecho (cm); ac: área de copa (m.); h: altura total (m).
Los modelos alométricos reportados en la bibliografía, si bien son variados, se basan generalmente en una sola variable independiente, en las que la biomasa depende del diámetro basal o del DAP. Husch et al. (1971) proponen al DAP como variable estimadora del volumen forestal de especies en general. En el Parque Chaqueño Seco, Gaillard de Benítez et al. (2000, 2014) también observaron que el DAP resultó la variable de mayor correlación con la biomasa aérea individual de P. nigra y A. quebracho-blanco.
En el Espinal entrerriano, Sione et al. (2019) desarrollaron modelos para la estimación de la biomasa de individuos de P. affinis, resultando de mejor ajuste aquellas funciones basadas en DAP y ac, en coincidencia con los modelos obtenidos en el presente trabajo. También los modelos basados en d15 y d30 resultaron de muy buen ajuste para P. affinis.
Conti et al. (2008) proponen al diámetro basal como el mejor estimador del volumen de individuos de P. nigra var. ragonesei en bosques del Espinal de Santa Fe. Iglesias y Barchuk (2010) desarrollaron modelos para Prosopis flexuosa DC, P. torquata (Cavanilles ex Lagasca) D.C. y Acacia furcatispina Burkart. en el Chaco Árido argentino, siendo los de mayor ajuste aquellos que utilizan el cuadrado del diámetro a la base. Para P. caldenia en bosques nativos de la Pampa semiárida, el área basimétrica y la altura total resultaron las mejores variables predictoras de la biomasa (Risio Allione et al., 2012).

Modelos alométricos de biomasa aérea por componente
Los modelos de mejor ajuste para estimar la biomasa por componente se presentan en la Tabla 5. Los coeficientes r2. aj. obtenidos para estos modelos fueron ≥ 0,91 tanto para la estimación de Bf, Brg y Brph (Tabla 5). En todos los casos, los parámetros o coeficientes de los modelos seleccionados fueron significativos (P < 0,05). Las variables relacionadas al diámetro (DAP, d15 y d30) y el área de copa (ac) resultaron las mejores predictoras de la biomasa de cada componente. La altura total queda incluida en los mejores modelos de estimación de Bf y Brg, sin embargo, no resulta buena predictora de Brph. Esto coincide con los modelos obtenidos por Sione et al. (2019) para la estimación de la biomasa de P. affinis en bosques nativos del Espinal.
En la Figura 3 se presentan los mejores modelos de estimación de la biomasa por componente.

Donde: Bt: biomasa aérea total (kg árbol-1); DAP: diámetro a la altura del pecho (cm); ac: área de copa (m2); h: altura total (m); d30: diámetro basal a 0,30 m desde el nivel del suelo (cm).

Donde: Bf: biomasa de fuste (kg árbol-1); Brg: biomasa de ramas grandes (kg/árbol); Brph: biomasa de ramas pequeñas+hojas+flores+frutos (kg árbol-1); Bt: biomasa total arriba del suelo (kg árbol-1); d15: diámetro del tronco a 15 cm desde el suelo(cm); DAP: diámetro del tronco a la altura del pecho (cm); h: altura total (m); ac: área de copa (m2)
Los modelos para predecir Brg y Brph desarrollados presentan satisfactorio ajuste y precisión, a diferencia de lo reportado en la bibliografía, donde estas funciones presentan peor comportamiento que las desarrolladas para el fuste y biomasa total. Esto puede atribuirse a que estos componentes estructurales están más influenciados por la competencia y los regímenes hídricos, presentando mayor variabilidad (Návar - Cháidez, 2009; Andrade et al., 2016).
A diferencia de lo observado en el presente estudio, en Prosopis flexuosa los modelos basados en el diámetro basal no resultaron de buen ajuste para estimar la biomasa foliar (Ledesma et al., 2010). Risio et al. (2012) reportan que en P. caldenia la predicción de la biomasa foliar a partir del diámetro basal o el DAP no es adecuada y no mejora incorporando otras variables como la altura total. Por este motivo, los autores incluyen esta fracción a la de ramas de < 2 cm de diámetro.
4. CONCLUSIONES
Los modelos de mejor ajuste para estimar la biomasa aérea total de individuos de V. caven se basaron en DAP, ac y h. El mejor modelo fue: Ln(Bt) = -1,69 + 1,74*Ln(DAP) + 0,41*Ln(ac).
La función de regresión simple Ln(Bt) = -3,70 + 2,83*Ln(d30) también presentó una muy buena capacidad predictiva de biomasa aérea total, resultando de gran practicidad para su aplicación en individuos bifurcados por debajo de 1,30 m. Esto implica que la estimación de biomasa en estos individuos requiere la determinación del diámetro basal del fuste además del DAP.
Los mejores modelos alométricos obtenidos para estimar la biomasa por componente estructural fueron: Ln(Bf)= -3,87 + 2,25*Ln(d15) para fustes; Ln(Brg) = -7,06 + 2,90*Ln(DAP) + 1,47*Ln(h) para ramas grandes; y Ln(Brph) = -1,96 + 1,79*Ln(DAP) + 0,21*Ln(ac) para ramas pequeñas + hojas + flores + frutos.
La estimación de FEB para V. caven representa una valiosa contribución para las estimaciones de biomasa y C almacenado, dado que a la fecha no existen reportes de estos valores para la región. Los valores de FEB variaron entre 3,1 y 5,8 y fueron significativamente más altos en individuos con diámetros más grandes.
Los modelos obtenidos presentan alta precisión (r. aj. ≥ 0,92) para la estimación de la biomasa aérea total y por componente de individuos de V. caven (con diámetros basales comprendidos entre 5 cm y 25 cm) en el área de bosques nativos de la provincia de Entre Ríos (Argentina). Estas funciones son útiles para predecir la biomasa aérea de manera no destructiva y representan una herramienta valiosa para su aplicación en el monitoreo de los depósitos de carbono en bosques nativos del Espinal y para mejorar la información del Inventario Nacional de GEI que el país debe reportar en forma periódica.
Agradecimientos
Este trabajo fue desarrollado en el marco del PID UNER 2182 “Stock de carbono en especies arbóreas del Espinal entrerriano”, financiado por la UNER. Nuestro agradecimiento a C. Rausch, L. Rausch y E. Gabioud por la colaboración en actividades de campo.
5. REFERENCIAS BIBLIOGRÁFICAS
Álvarez, G. 2008. Modelos alométricos para la estimación de biomasa aérea de dos especies nativas en plantaciones forestales del trópico de Cochabamba. Bolivia. (Tesis de Maestría). Centro Agronómico Tropical de Investigación y Enseñanza (CATIE), Turrialba, Costa Rica.
Andrade, H. J.; M. A. Segura y L. A. Forero. 2014. Desarrollo de modelos alométricos para volumen de madera, biomasa y carbono en especies leños as perennes: conceptos básicos, métodos y procedimientos. Sello Editorial Universidad del Tolima, Ibagué, Colombia. 48 p.
Andrade, H. J.; M. A. Segura; M. Feria y W. Suárez. 2016. Above-ground biomass models for coffee bushes (Coffea arabica L.) in Líbano, Tolima, Colombia. Agroforestry Systems 92: 775-784. DOI 10.1007/s10457-016-0047-4.
Barth, S. R.; A. M. Giménez; M. J. Joseau; M. E. Gauchat y H. E. Fassola. 2016. Compartimentalización de la biomasa aérea de Grevillea robusta A. en función a la densidad inicial de plantación. Scientia Forestalis 44: 653-664.
Bautista-Hernández, J. y J. A. Torres-Pérez. 2003. Valoración económica del almacenamiento de carbono del bosque tropical del ejido Noh Bec, Quintana Roo, México. Revista Chapingo, Serie Ciencias Forestales y del Ambiente 9(1): 69-75.
Cabrera, A. L. 1976. Regiones fitogeográficas argentinas. Enciclopedia Argentina de Agricultura y Jardinería. I2a. Edición. Tomo II, Fas. I. Ed. ACME. S.A.C.I. BS. As. 85 p.
Conti, G.; R. Coirini y R. Zapata. 2008. Funciones de estimación de volumen de P. nigra var. ragonesei (algarrobo amarillo) en un Bosque del Espinal Santafesino. Ciencia 3(7): 39-51.
Chávez-Pascual, E. Y.; G. Rodríguez-Ortiz; J. R. Enríquez del Valle; V. A. Velasco-Velasco y M. Gómez-Cárdenas. 2017. Compartimentos de biomasa aérea en rodales de Pinus oaxacana bajo tratamientos silvícolas. Madera y Bosques 23(3): 147-161.
Domínguez–Cabrera, G.; O. A. Aguirre - Calderón; J. Jiménez – Pérez; R. Rodríguez - Laguna y J. A. Díaz - Balderas. 2009. Biomasa aérea y factores de expansión de especies arbóreas en bosques del sur de Nuevo León. Revista Chapingo Serie Ciencias Forestales y del Ambiente 15(1): 59-64.
Fonseca, W.; F. Alice y J. M. Rey. 2009. Modelos para estimar la biomasa de especies nativas en plantaciones y bosques secundarios en la zona Caribe de Costa Rica. Bosque 30(1): 36-47.
Furnival, G. M. 1961. An index for comparing equations used in constructing volume tables. Forest Science 7(4): 337-341.
Gaillard de Benítez, C.; M. Pece; M. Juárez de Galíndez; A. Maldonado; V. H. Acosta y A. Gómez. 2000. Biomasa aérea de ejemplares de quebracho blanco (Aspidosperma quebracho-blanco) en dos localidades del Parque Chaqueño Seco. Quebracho 9: 115-127.
Gaillard de Benítez, C.; M. Pece; M. Juárez de Galíndez y V. H. Acosta. 2014. Modelaje de la biomasa aérea individual y otras relaciones dendrométricas de Prosopis nigra Gris. en la provincia de Santiago del Estero, Argentina. Quebracho 22(1,2): 17-29.
Husch, B.; C. I. Miller y T. W. Beers. 1971. Forest mensuration. Second Edition. Ed. John Wiley & Sons. 410 p.
Iglesias, M. y A. H. Barchuk. 2010. Estimación de la biomasa aérea de seis leguminosas leñosas del Chaco Árido (Argentina). Ecología Austral 20: 71-79.
IPCC. 2014. Climate Change 2014: Synthesis Report. (The Core Writing Team, R. Pachauri, & L. Meyer, Eds.). Contribution of Working Groups I, II and III to the Fifth Assessment Report of the Intergovernmental Panel on Climate Change.
Ledesma, S.G.; B. D. Muracciole; A. F. Dorsch; R. A. Sabattini; F. J. Cottani; S. M. Sione y C. Fortini, 2007. Caracterización estructural de montes nativos de Entre Ríos. Revista Científica Agropecuaria 11(2): 129-139.
Ledesma, M. B.; C. Carranza y M. Balzarini. 2010. Estimación de la biomasa foliar de Prosopis flexuosa mediante relaciones alométricas. Agriscientia 27(2): 87-96.
León de la Luz, J. L.; R. Domínguez y S. Díaz Castro. 2005. Evaluación de un análisis dimensional para predecir peso fresco del leño en dos especies de mezquite, Prosopis articulata S. Watson y P. palmeri S. Watson. Acta Botánica Mexicana 72: 1732.
Loetsch, F; F. Zohrer y K. E. Haller. 1973. Forest inventory. Munich, DE, BLV Verlagsgesellschaft. 469 p.
Méndez González, J.; A. Santos Méndez; J. A. Nájera Luna y V. González Ontiveros. 2006. Modelos para estimar volumen y biomasa de árboles individuales de Prosopis glandulosa var torreyana en el Ejido Jesús González Ortega N°1, Municipio de Mexicalí B.C. Agrofaz 6(2): 225-239.
Návar-Cháidez, J. J. 2009. Alometric equations and expansion factors for tropical dry trees of eastern Sinaloa, Mexico. Tropical and Subtropical Agroecosystems 10: 45-52.
Plan Mapa de Suelos de la provincia de Entre Ríos. 1997. Convenio INTA-Gobierno de Entre Ríos. Suelos y erosión de la provincia de Entre Ríos. Segunda Ed. Tomo I. Serie Relevamiento de Recursos Naturales (1) INTA-EEA Paraná. Entre Ríos. 112 p.
Programa Nacional ONU-REDD. 2019. Nivel de referencia de emisiones forestales de la República Argentina. Secretaría de Ambiente y Desarrollo Sustentable República Argentina. Disponible en: https://redd.unfccc.int/files/2019_submission_frel_argentina.pdf.
Risio Allione, L.; F. Bravo y S. Bogino. 2012. Cuantificación de biomasa y carbono en bosques nativos de Prosopis caldenia (Burkhart) en la pampa semiárida argentina [en línea] Disponible en: http://uvadoc.uva.es/bitstream/10324/1593/1/TFM-L%2043.pdf.
Sabattini, R. A.; S. M. Sione; S. G. Ledesma; J. Sabattini y M. G. Wilson. 2016. Estimación de la pérdida de superficie de bosques nativos y tasa de deforestación en la Cuenca del Arroyo Estacas (Entre Ríos, Argentina). Revista Científica Agropecuaria 20(1-2): 45-56.
Schlegel, B.; J. Gayoso y J. Guerra. 2001. Manual de procedimientos para inventarios de carbono en ecosistemas forestales. Universidad Austral de Chile. Proyecto FONDEF D98I1076. Chile.15 p.
Secretaría de Ambiente y Desarrollo Sustentable de la Nación. 2007. Primer Inventario Nacional de Bosques Nativos: informe regional Espinal. Segunda Parte (1ª. Ed.). Buenos Aires. 154 p.
Segura, M. and M. Kanninen. 2005. Allometric models for tree volume and total aboveground biomass in a tropical humid forest in Costa Rica. Revista Biotropica 37(1): 2-8.
Segura, M. y H.J . Andrade. 2008. ¿Cómo construir modelos alométricos de volumen, biomasa o carbono de especies leñosas perennes? Revista Agroforestería de las Américas 46: 89-96.
Sione, S.; H. J. Andrade Castañeda; S. Ledesma; L. J. Rosenberger; J. Oszust y M. Wilson. 2019. Aerial biomass allometric models for Prosopis affinis Spreng. in native Espinal forests of Argentina. Revista Brasileira de Engenharia Agrícola e Ambiental 23(6): 467-473.
Solano, D.; V. Eras y K. Cueva. 2014. Generación de modelos alométricos para determinar biomasa aérea a nivel de especies, mediante el método destructivo de baja intensidad para el estrato de bosque seco pluviestacional del Ecuador. Revista Cedamaz 4(1): 32-44.
Somogyi, Z.; E. Ciencia; P. Muukkonen; A. Lehtonen and P. Weiss. 2006. Indirect methods of large scale forest biomass estimation. European Journal of Forest Research 3: 11-13.
StatPoint Technologies Inc. Statgraphics Centurion. Warrenton: StatPoint Technologies Inc., 2010. sp.
UMSEF. Unidad de Manejo del Sistema de Evaluación Forestal. 2017. Informe de monitoreo de la superficie de bosque nativo de la República Argentina. Dirección de bosques. MAyDS. p.7-13.
Notas de autor
silvana.sione@fca.uner.edu.ar