ARTÍCULO
Influence of initial wood moisture on decay process by two brown-rot fungi
Influence of initial wood moisture on decay process by two brown-rot fungi
Maderas. Ciencia y tecnología, vol. 23, 34, 2021
Universidad del Bío-Bío
Received: 17 June 2020
Accepted: 08 February 2021
Abstract: The biological decomposition of lignocellulosic materials caused by basidiomycetes plays an essential role in the carbon cycle. Brown rot fungi represent important agents in the biodegradation of wood products and standing coniferous trees in natural ecosystems. The initial moisture content of the wood is an important factor in the degradation process. In this work, the effects of initial moisture content of Eucalyptus grandis sapwood on decay by two brown rot fungi Gloeophyllum trabeum and Laetiporus sulphureus were studied over a 10-month period. The fungal activity was evaluated, through wood weight loss, moisture content, anatomical changes (scan electronic and fluorescence microscopy) and Fourier-transform infrared spectroscopy. Weight loss increased through the 10-month test for both fungi, Laetiporus sulphureus producing higher mass losses. Colonization of the wood by both fungi started below the fiber saturation range. It was observed that the initial moisture content of the wood influenced the rate of deterioration: the wet samples showed higher weight loss compared to the dry samples. Changes in the chemical composition and structure of cell walls were detected. The initial moisture content of the substrate affected the development of the fungi, slowing their growth.
Keywords: Brown rot, cell walls, Eucalyptus grandis, fluorescence microscopy, moisture content, weight loss, wood biodegradation.
Introduction
Wood is widely used for construction; however, its biological origin makes it vulnerable to attack by decomposing fungi, particularly those that cause brown and white rot. Brown rot fungi degrade the holocellulose, rapidly decreasing the degree of cellulose polymerization. Simultaneously, lignin is partially oxidized, and the degradation products are produced faster than they are utilized (Green and Highley 1997).
The risk of deterioration by fungi can be quantified through environmental parameters such as moisture content and temperature of the wood (Brischke et al. 2017). The minimum wood moisture for fungal decay is considered to be the most important factor in view of wood protection against fungi (Schmidt 2006). Air relative humidity (RH) and temperature have a direct impact on the growth dynamics of the fungus and its ability to metabolize and degrade the cell wall (Meyer and Brischke 2015, De Ligne et al. 2019). Water availability becomes critical for fungi, if water is exclusively limited to the cell wall and no free water is present in the cell lumens, which is called fiber saturation point (FSP) (Stienen et al. 2014). Numerous studies have examined the minimum moisture contents that allow fungal colonization and wood deterioration (Walchli 1980, Huckfeldt et al. 2005, Huckfeldt and Schmidt 2015, Höpken et al. 2016, Brischke et al. 2017, Thybring 2017). In all cases, wood weight loss is employed to evaluate the wood deterioration process often 12 to 16 weeks of incubation (Mitsuhashi and Morrell 2012). Meanwhile, the effect of the initial moisture content of the wood on the decay rate is generally studied in the early stages of the process, analyzed through weight loss or mechanical properties.
The objective of this study was to evaluate the effect of initial wood moisture content of Eucalyptus grandis sapwood, on brown rot fungal associated mass loss. Sapwood was used, as only a few works study its degradation by fungus, even though it is the most vulnerable part of the tree, and producer of the most expensive wooden boards. A culture period longer than the commonly found in the literature allows the analysis of the moisture content variation along the process, as it would occur in real situations of use in humid environments.
Materials and methods
Fungal species
Two species of brown rot fungi Gloeophyllum trabeum (Pers.) Murrill, strain H2130 CCMFQ and Laetiporus sulphureus (Bull.) Murrill, strain H3609 CCMFQ belonging to the Cátedra de Microbiología de la Facultad de Química, Udelar, were used. These species were chosen as they are reported frequently in Eucalyptus sp. wood (Murace et al. 2017, Ortiz et al. 2014, Martínez et al. 2009). The fungi were kept at 5 °C in Petri dishes containing 1,5 % malt extract - agar (Oxoid Ltd, Basingstoke, United Kingdom), previously sterilized in an autoclave for 15 minutes at 121 °C.
The test fungi were inoculated onto fresh plates and incubated for 28 days at 28 ºC, prior to use.
Durability essay
Five trees used for wood samples were obtained from a 28-year-old monospecific plantation of Eucalyptus grandis located at the Bernardo Rosengurtt Experimental Station -EEBR-Facultad de Agronomía, Universidad de la República (32° 20'16.22 "S, 54° 26' 58.00"W, elevation 151 m).
The wood was used to prepare 200 test samples of (50 ± 1) mm x (25 ± 0, 3) mm x (15 ± 0, 3) mm according to procedure described on European Standard CEN EN 113 (1996).
Half of the samples were maintained in wet state that was defined as 49 % ± 2 % of moisture content (maximum reached when air dried at room temperature), while the other half were defined as dry wood, and dried to a moisture content of 14 % ± 2 % (Figure 1). The initial weight (W1) was registered, and average density (kg/m3) was calculated in each case. Glass flasks were prepared with 1,5 % malt extract - agar, previously sterilized at 121 ºC for 15 minutes, and were inoculated with a mycelial plug (5 mm diameter) obtained from actively growing mycelia of each fungus and incubated at 28 °C and 75 % RH (relative humidity). Once the fungi covered the whole surface of the medium, two E. grandis samples were placed in each flask. Three additional flasks were set up with wood samples without fungi, to serve as no exposed control. The 200 flasks were incubated at 22 °C and 75 % RH for 10 months.

Analysis strategy
Weight loss and wood moisture content
Every month, 5 samples of each initial condition (wet and dry wood) were taken randomly from the cultures flasks of each fungus; the 20 monthly samples were cleaned from surface mycelium and weighted (W2). Later they were dried at 103 ºC ± 2 ºC until constant weight, and weighed (W3).
Weight loss percentage (WL) and moisture content (MC) was calculated according to Equation 1 and Equation 2:
(1)
(2)Where: MC= moisture content (%); WL= weight loss (%); W1= initial weight of each sample (g); W2= weight after fungal exposure (g); W3= anhydrous weight after fungal exposure (g).
This procedure was repeated for 10 months.
Microscopical analysis
10-20 mm thick transverse sections of all dried samples were cut with a Reichert-Jung xylotome (Vienna, Germany) and then observed with: 1) a JEOL JCM-6000 PLUS (Jeol USA, Inc., Massachusetts, USA) scanning electron microscope (SEM), used in high vacuum mode with an accelerating voltage of 10 kV and SE detector (the samples were no coated with gold). 2) a Nikon Eclipse 50i fluorescence microscope (Melville, USA) equipped with an excitation filter of 330 nm to 350 nm and an emission filter of 420 nm.
The sections (to be observed with the fluorescence microscope) were stained with 1 % (w/v) safranin to help differentiate lignified tissue in the xylem. According to Bond et al. (2008) the change in fluorescence emission, safranine can differentiate high and low levels of lignin: regions of high lignin fluoresce red/orange, while regions with low lignin fluoresce green/yellow.
FTIR analysis
Non fungal exposed samples so well as those exposed to the test fungi for 5 and 10 months were analyzed using an IR Prestige -21 Shimadzu (Kyoto, Japan) spectrometer, at a resolution of 8 cm-1 and 32 scans per sample.
Statistical analysis
The experimental design used was a random experimental factorial design of two levels (fungus species and wood condition), which makes for a total of four treatments, five repetitions each, measured every 30 days for dry wood and every 15 days for wet wood (total of five samples per month) (Figure 1). Weight loss and moisture content data were analyzed through an analysis of variance for dry and wet wood, and a combined treatment analysis was made according to a split plot in the time model. Means were compared by the Tukey test. A p-value of 0, 10 was considered using the statistical software package Infostat (Di Rienzo et al. 2018).
Results and discussion
All wood samples were visually colonized within 10 months. The changes caused by L. sulphureus and G. trabeum in the dry and wet wood of E. grandis were found through the traditional gravimetric method (weight loss), FTIR spectrometry and the different types of microscopy. These methodologies showed the characteristic physico - chemical changes during the brown rot process (Lucejko et al. 2018), through which the effect of the initial moisture content can be analyzed.
Dry wood
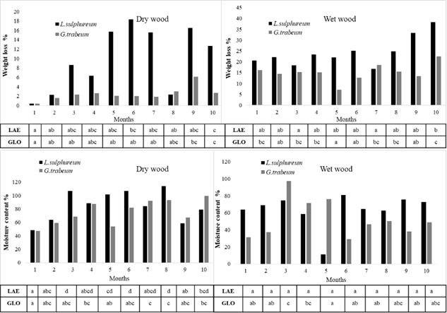
Samples with an initial moisture content of 14 %, named “Dry wood”, with an average density of 588 kg/m3 showed the moisture content evolution and weight loss monthly after exposure to the studied fungi.

Dry wood was rapidly colonized by L. sulphureus within the first month of incubation, whereas G. trabeum grew more slowly. When analyzing the effect of the initial moisture content of the wood on the degradation process by brown rot fungi, it can be observed that in dry wood the colonization degradation started even being below the fiber saturation range. This wood presented an initial moisture content of 14 % and was exposed to the fungi in an environment with a relative humidity of 75 % and a temperature of 25 °C, as under these conditions the equilibrium moisture content of the wood is not above 14% (Glass and Zelinka 2010). Although wood is a hygroscopic material and as such tends to balance with its surroundings to atmospheric humidity of 95 % to 100 % for a long period of time, is needed to reach the fiber saturation range (Brischke et al. 2017).
The environmental conditions chosen for this test are close to those reached in wooden houses´ interiors in some latitudes, although there may be an additional effect of moisture condensation. This means that if a source of inoculum is near exists, there could be indoor fungal colonization.
At the same time, when the deterioration begins, water is actively transported to the degradation spot by the fungi (Brischke et al. 2017); however, liquid water transported as a capillary flow within the wood of such small dimensions is of very little relevance (Thybring 2013) which indicates that no significant humidity gradient is generated within the samples.
Numerous researchers report the importance of this minimum moisture content of wood at the beginning of the fungal attack, in which other factors such as fungal and wood species and environmental conditions are important. Brischke et al. (2017) showed degradation below the fiber saturation range but the relative humidity values were above 96 %, whereas Meyer and Brischke (2015) reported degradation below the fiber saturation range, but on wood with an initial moisture content above 19 %. Otherwise, Ammer (1963) reported a minimum moisture content of 30 % by Coniophora puteana on Norway spruce and a range between 40 % and 70 % (MC) for optimal action of the basidiomycetes (Walchli 1980). Schmidt et al. (1996) introduced the technique of measuring the wood moisture contents in Erlenmeyer flasks with piled wood samples of Pinus sylvestris sapwood where different moistures developed during the growth of the white-rot fungus Physisporinus vitreus. Huckfeldt et al. (2005) showed with this technique for Serpula lacrymans 21 % minimum moisture content for sample colonization and 26, 2 % for wood degradation. Stienen et al. (2014) tested several wood-rot fungi regarding the minimum values. Höpken et al. (2016) found for example 17, 9 % moisture content as minimum for decay by the white-rot indoor fungus Donkiopria expansa. Thybring et al. (2018) claimed that water plays an essential role in wood degradation by brown rot fungi, and that lowering the moisture content of the cell wall can be a strategy to delay the growth of the fungus, increasing the wood durability. This reduction in the water content reduces the diffusion of enzymes, delaying or inhibiting the fungus development.
Figure 2 shows a slight increase in weight loss with time can be observed. The initial tendency observed in weight loss of samples, coincides with Monrroy et al. (2011) who exposed Eucalyptus globulus and Pinus radiata wood to L. sulphureus and G. trabeum for 8 weeks; the latter caused greater weight loss in both wood species (E. globulus and P. radiata). The same was observed by Mattos et al. (2014), who reported an increase in wood weight loss in two fast growing species (Eucalyptus saligna and Corymbia citriodora) after a year of exposure to brown rot fungus on field trials.
When observing the moisture content evolution of the dry wood exposed to the fungi (Figure 2), an increase in humidity during the essay can be noticed for L. sulphureus, and no tendencies were noticed for G. trabeum. This increase in moisture content is due to the production of water as a consequence of the depolymerization process of cell wall components by the fungi (Schmidt 2006, Stienen et al. 2014, Höpken et al. 2016, Thybring 2017). Given the statistical differences in moisture content between the fungi (p = 0,069), it can be inferred that L. sulphureus would present a more active metabolism than G. trabeum, since, as a closed system, moisture variation can be associated with the fungal metabolism.
Average moisture content values at 10 months of incubation were 87, 67 % and 77, 49 % (24, 58 % of coefficient of variation- VC) for L. sulphureus and G. trabeum respectively.
At a microscopic level, great similarities between the decomposition patterns caused by the brown rot fungi were observed, coinciding also with decomposition patterns reported by other researchers (Eriksson et al. 1990, Schwarze et al. 2000, Schmidt 2006).
As observed in Figure 3, initially the cellular lumina and the S2 layer were deformed, while the S3 layer remained intact almost until the end of the culture time. During the last two months exposure to mycelium was present in larger diameter vessels and residue (resulted from the decomposition of the cell wall) could be observed. As mentioned above, this is when the degradation of the S3 layer occurred: the cell wall is severely affected, which could be clearly seen through the deformation of the vessels. These characteristics could be observed for both fungi, but more severely with L. sulphureus.

Blanchette (1995) also reported that the presence of the mycelium in the early stages of degradation is scarce and disperse within the cellular lumina, becoming more abundant as the degradation progresses. Schwarze et al. (2000) observed the same in Robinia pseudoacacia infected by L. sulphureus.
A fluorescence microscope allows the identification of changes in the cell wall and the recognition of lignin and cellulose rich walls (Bond et al. 2008), to detect changes in its chemical composition caused by the fungal attack (Lowell 1981, Bond et al. 2008).
The difference between the coloration of the wood -initially intense orange (control), and yellow after 10 months- is notorious (Figure 4). For both fungi, in the first month lignin is homogeneously distributed in the cell wall; from the eighth month, the coloring progressively changes due to the action of the fungi on the cell wall.

Furthermore, the micrographics confirmed the above-mentioned changes in the parenchymatic cells observed by SEM: collapse or rupture of the cell wall and deformation of the vessels and lumens, among others.
The microscopic observations corroborated that the beginning of the deterioration process occurred from the first month of incubation, in wood with moisture content below PFS.
When observed with a scanning electronic microscope (SEM), parenchyma cells of Eucalyptus grandis sapwood presented structural changes when attacked by L. sulphureus and G. trabeum from the first month of incubation. This change increased over the 10 months, being L. sulphureus more invasive and aggressive (Figure 2 and Figure 3).
Wet wood
The wood samples with an initial moisture content of 49 % presented an average density of 488 kg/m3. In wet wood, weight loss for both fungi showed significat differences with each other, at a confidence level of 0, 90. A tendency of increased weight loss as culture time progressed could be observed, presenting L. sulphureus with greater average values (Figure 2).
The moisture content of wet wood samples showed an increment during the incubation period, with average values of 69,76 % and 46,11 % for L. sulphureus and G. trabeum respectively (47,03 % de CV) (Figure 2). The attacked wet wood was influenced by fungus species (p=0,0012), exposure time (p=0,0869), and the interaction between these variables (p=0,0186). Despite the moisture content presented numerous oscillations along the 10 months, results showed greater values for L. sulphureus than for G. trabeum in 7 out of the 10 months of the essay (Figure 2).
Given the variability of the obtained results for both initially dry and wet wood, a covariance analysis by density and initial sample weight was used. This analysis demonstrated that variability is not a consequence of either of mentioned factors; therefore, it can be inferred that the cause was the interaction fungus- wood- environment. In the case of dry wood, to analyze the changes in weight loss (%), their values were transformed to the arsin√ (%-100), in such a way as to approximate the ANOVA assumptions.
FTIR
FTIR spectroscopy can be used to characterize undergone chemical changes as a result of chemical treatment, fungal degradation and weathering, as well as to determine its cellulose (Owen and Thomas 1989, Faix 1992, Pandey 1999, Popescu et al. 2007, Shi and Jian 2012) and lignin (Berben et al. 1987, Rodrigues et al. 1998) content.
In the FTIR spectra, two regions with information could be recognized: the region between 3800 cm-1 and 2750 cm-1, containing seven bands assigned to the different vibrations of the OH bond, and the “fingerprint region” (between 1800 cm-1 and 800 cm-1), with 27 bands (Popescu et al. 2007). Bands in the latter region have contributions of all wood components, with only a few of them being assigned to cellulose, hemicellulose or lignin (Pandey and Nagveni 2007, Mahajan et al. 2012, Lucejko et al. 2018, Traoré et al. 2018). The main bands used in the analysis were assigned as 1738 cm-1 for unconjugated C=O in hemicelluloses, 1375 cm-1 for C-H deformation in cellulose and hemicelluloses, 1158 cm-1 for C-O-C vibration in cellulose and hemicelluloses, 898 cm-1 for C-H deformation in cellulose and 1505 cm-1 for aromatic skeletal vibration in lignin.
Figure 5 shows the FTIR spectra of dry and wet E. grandis wood respectively, for both fungi at 5 and 10 months of culture. The spectra of non fungal exposed wood present significant variation with respect to wood after fungal exposure, which indicates chemical alterations in both cases. According to the expected (Lucejko et al. 2018, Traoré et al. 2018), when comparing dry healthy wood to the degraded samples at different culture times, the intensity of the polysaccharide band at 1738 cm-1, 1375 cm-1 1158 cm-1 and 898 cm-1 decreases, while the intensity of the absorption band at 1596 cm-1, 1505 cm-1, 1462 cm-1, 1268 cm-1, 1245 cm-1 and 1125 cm-1 due to relative lignin increases.

However, in wet wood, at 5 months of culture, the intensity of the absorption bands assigned to polysacharid at (1738 cm-1,1375 cm-1, 1158 cm-1 y 898 cm-1) and to lignin (1596 cm-1, 1505 cm-1, 1462 cm-1, 1268 cm-1, 1245 cm-1 y 1125 cm-1) increased, and then decreased at 10 months of culture.
These effects of the fungi can be understood through a semiquantitative method that highlights the relation between the absorption intensity of the bands (Pandey and Pitman 2003). The ratio between the intensity of the lignin band at 1508 cm-1 and the intensity of the carbohydrate band at 1730 cm-1, 1370 cm-1, 1155 cm-1 and 897 cm-1 were calculated. Changes in the hemicellulose (at 1730 cm-1) and cellulose (at 897 cm-1) were also considered.

As Figure 6 shows, when comparing dry non fungal exposed and degraded wood at 5 months of culture, for both fungi there was an increase in all ratios that compare lignin to carbohydrates (I1508/I1370, I1508/I1155, I1508/I1730, I1508/I897), indicating higher carbohydrate reduction when compared to lignin. At the same time, the I1730/I897 ratio decreased, indicating greater chemical changes in hemicellulose over cellulose in this stage. At 10 months of culture, the ratios comparing lignin to carbohydrates tended to decrease, whereas I1730/I897 remained lower in degraded wood, indicating that the tendency of greater hemicellulose deterioration over cellulose deterioration is maintained. Brown rot fungal decay resulted in an increase of the lignin/carbohydrate ratio, indicating that carbohydrates were selectively removed by the fungi. The changes in the chemical composition of the wood observed by FTIR spectrometry coincided with the microscopic observations (mainly by fluorescence).
On the other hand, for wet wood for both fungi at 5 and 10 months of culture, the I1730/I897 ratio decreased, indicating greater decay for hemicellulose than for cellulose. As for the lignin-carbohydrate ratios (I1508/I1370, I1508/I1155, I1508/I1730, and I1508/I897) of healthy and degraded wood, a slight increase at 5 months of culture was observed, indicating selective removal of carbohydrates. At 10 months of culture, these ratios decreased.
This suggests that for both fungi, and for both initial moisture contents (dry and wet), at 5 and 10 months of culture there were depolymerization and subsequent selective removal of carbohydrates, particularly of hemicellulose above cellulose, the former being more prone to hydrolysis than the latter (Lucejko et al. 2018). However, after 10 months of culture, the trend was not as evident.
There was a significant difference between dry and wet wood after five to ten months; this coincides with what Fredriksson and Thybring (2018) report- the equilibrium moisture content of the wood depends not only on the environmental conditions but also on its moisture history, since the equilibrium moisture content reached by desorption is higher than that reached by absorption (hysteresis).
Conclusions
Moisture content altered the degradation rate for both fungi; wet wood samples presented greater weight loss values than dry wood samples. However, both fungi were capable of colonizing and developing in wood with moisture content below the fiber saturation range. Both fungi showed a clear tendency of increased weight loss, presenting L. sulphureus faster speed degradation in E. grandis wood.
References:
Ammer, V.U. 1963. Untersuchungen fiber das Wachstum von Rotstreifepilzen in Abhängigkeit von der Holzfeuchtigkeit. Forstwiss Centralbl 82: 360-391. https://doi.org/10.1007/BF02202726
Berben, S.A.; Rademacher, J.P.; Sell, L.O.; Easty, D.B. 1987. Determination of lignin in wood pulp by diffuse reflectance Fourier transform infrared spectrometry transform infrared spectrometry. IPC Techical Paper Series 210: 15p. https://smartech.gatech.edu/bitstream/handle/1853/2513/tps-210.pdf
Blanchette, R.S. 1995. Degradation of the lignocellulose complex in wood. Can J Bot 73(S1): 999-1010. https://doi.org/10.1139/b95-350
Bond, J.; Donaldson, L.; Hill, S.; Hitchcock, K. 2008. Safranine fluorescent staining of wood cell walls. Biotech Histochem 83(3-4): 161-171. https://doi.org/10.1080/10520290802373354
Brischke, C.; Soetbeer, A.; Meyer-Veltrup, L. 2017. The minimum moisture threshold for wood decay by basidiomycetes revisited. A review and modified pile experiments with Norway spruce and European beech decayed by Coniophora puteana and Trametes versicolor. Holzforschung 71(11): 893- 903. https://doi.org/10.1515/hf-2017-0051
CEN EN. 1996. Wood preservatives-method 339 of test for determining the protective effectiveness against wood destroying basidiomycetes. Determination of the toxic values. CEN EN 113. 1996. Brussels, Belgium.
De Ligne, L.; Ulzurrun, G.V.D.; Baetens, J.M.; Bulcke, J.V.; Acker, J.V.; De Baets, B. 2019. Analysis of spatio- temporal fungal growth dynamics under different environmental conditions. IMA Fungus 1(7): 1-14. https://doi.org/10.1186/s43008-019-0009-3
Di Rienzo, J.A.; Casanoves, F.; Balzarini, M.G.; Gonzalez, L.; Tablada, M.; Robledo, C.W. 2018. InfoStat versión 2018. Centro de Transferencia InfoStat, FCA, Universidad Nacional de Córdoba: Argentina. http://www.infostat.com.ar
Eriksson, K.; Blanchette, R.; Ander, P. 1990. Microbial and enzymatic degradation of wood and wood components. Springer: Berlin Heidelberg. https://www.cabdirect.org/cabdirect/abstract/19920660389
Faix, O. 1992. Methods in Lignin Chemistry.. ISBN: 978-3-642-74065-7. 578p. Springer Series in Wood Science: Germany. https://link.springer.com/book/10.1007%2F978-3-642-74065-7
Fredriksson, M.; Thybring, E.E. 2018. Scanning or desorption isotherms? Characterising sorption hysteresis of wood. Cellulose 25(8): 4477-4485. https://doi.org/10.1007/s10570-018-1898-9
Glass, S.V.; Zelinka, S.L. 2010. Moisture relations and physical properties of wood. In Wood Handbook. Wood as an Engineering Material. chapter 4. General technical report FPL; GTR-190. Centennial ed. U.S. Dept. of Agriculture, Forest Service, Forest Products Laboratory: Madison, WI. USA. p. 4.1-4.19. https://www.fs.usda.gov/treesearch/pubs/37428
Green, F.; Highley, T.L.1997. Mechanism of brown-rot decay: Paradigm or paradox. Int Biodeter Biodegr 39: 113-124. https://doi.org/10.1016/S0964-8305(96)00063-7
Höpken, M.; Schmidt, O.; Huckfeldt, T. 2016. Fungal moisture demands for colonization and decay of wood. In Proceedings of the 12th Meeting of the Northern European Network for Wood Science and Engineering. Wood Science and Engineering - a Key Factor on the Transition to Bioeconomy. Riga, Latvia, Andersons B, K.A. (Ed.). 1-16 p. http://www.kki.lv/old/dokumenti/WSE2016_Hopken_M.pdf
Huckfeldt, T.; Schmidt, O. 2015. Hausfäule- und Bauholzpilze Diagnose und Sanierung. 2 Auflage. ISBN 978-3-481-03100-8. https://www.rudolf-mueller.de/data/mediapool/pt_huckfeldt_hausfaeule_2a.pdf
Huckfeldt, T.; Schmidt, O.; Quader, H. 2005. Ökologische Untersuchungen am Echten Hausschwamm und weiteren Hausfäulepilzen. Holz Roh- Werkst 63: 209-219. https://doi.org/10.1007/s00107-004-0559-x
Lowell, E.C. 1981. Fluorescence microscopy for detecting incipient decay and estimating residual strength of wood. Master of Science. Oregon State University. Oregon, United States. https://ir.library.oregonstate.edu/concern/graduate_thesis_or_dissertations/ns064798k
Lucejko, J.J.; Mattonai, M.; Zborowska, M.; Tamburini, D.; Cofta, G.; Cantisani, E.; Kúdela, J.; Cartwright, C.; Colombini, M.P.; Ribechini, E.; Modugno, F. 2018. Deterioration effects of wet environments and brown rot fungus Coniophora puteana on pine wood in the archaeological site of Biskupin (Poland). Microchem J 138: 132-146. https://doi.org/10.1016/j.microc.2017.12.028
Mahajan, S.; Jeremic, D.; Goacher, R.E.; Master, E.R. 2012. Mode of coniferous wood decay by the white rot fungus Phanerochaete carnosa as elucidated by FTIR and ToF-SIMS. Appl Microbiol Biot 94(5): 1303-1311. https://doi.org/10.1007/s00253-011-3830-1
Martínez, G.; Núñez, P.; González, W.; Rodríguez, F.; Gómez, M. 2009. Distribución vertical de la chinche del eucalipto Thaumastocoris peregrinus Carpintero y Dellappe 2006 (Hemiptera; Thaumastocoridae): Resultados preliminares. Serie de Actividades de Difusión 567: 31-35. http://www.ainfo.inia.uy/digital/bitstream/item/2328/1/14432290409100546.pdf#page=32
Mattos, B.D.; de Cademartori, P.H.G.; Lourençon, T.V.; Gatto, D.A.; Magalhães, W.L.E. 2014. Biodeterioration of wood from two fast-growing eucalypts exposed to field test. Int Biodeter Biodegr 93: 210- 215. https://doi.org/10.1016/j.ibiod.2014.04.027
Meyer, L.; Brischke, C. 2015. Fungal decay at different moisture levels of selected European grown wood species. Int Biodeter Biodegr 103: 23-29. https://doi.org/10.1016/j.ibiod.2015.04.009
Mitsuhashi, J.G.; Morrell, J.J. 2012. Effects of Environmental Factors on Decay Rates of Selected White- and Brown-Rot Fungi. Wood Fiber Sci 44(4): 343-356. https://ir.library.oregonstate.edu/concern/articles/44558d748?locale=en
Monrroy, M.; Ortega, I.; Ramírez, M.; Baeza, J.; Freer, J. 2011. Structural change in wood by brown rot fungi and effect on enzymatic hydrolysis. Enzyme Microb Tech 49(5): 472-477. https://doi.org/10.1016/j.enzmictec.2011.08.004
Murace, M.; Luna, M.L.; Ciuffani, M.G.G.; Perelló, A. 2017. Modificaciones anatómicas y químicas en el leño de ejemplares del arbolado de la ciudad de la plata (Buenos Aires) causadas por Laetiporus sulphureus (basidiomycota, polyporales). Bol Soc Argent Bot 52(4): 647-661. https://doi.org/10.31055/1851.2372.v52.n4.18843
Ortiz, R.; Párraga, M.; Navarrete, J.; Carrasco, I.; de la Vega, E.; Ortiz, M.; Herrera, P.; Jurgens, J.A.; Held, B.W.; Blanchette, R.A. 2014. Investigations of biodeterioration by fungi in historic wooden churches of Chiloé, Chile. Microb Ecol 67(3): 568-575. https://doi.org/10.1007/s00248-013-0358-1
Owen, N.L.; Thomas, D.W. 1989. Infrared studies of hard and soft woods. Appl Spectrosc 43(3): 451- 455. https://doi.org/10.1366/0003702894202760
Pandey, K.K. 1999. A study of chemical structure of soft and harwood and wood polymers by FTIR spectrscopy. J Appl Polym Sci 71: 1969-1975. https://doi.org/10.1002/(SICI)1097-4628(19990321)71:12%3C1969::AID-APP6%3E3.0.CO;2-D
Pandey, K.K.; Pitman, A.J. 2003. FTIR studies of the changes in wood chemistry following decay by brown- rot and white-rot fungi. Int Biodeter Biodegr 52(3): 151-160. https://doi.org/10.1016/S0964-8305(03)00052-0
Pandey, K.K.; Nagveni, H.C. 2007. Schnellcharakterisierung von durch Weiß- und Braunfäulepilze abgebautem Holz von Pinus roxburghii und Hevea brasiliensis mittels FTIR-Spektroskopie. Holz Roh Werkst 65(6): 477-481. https://doi.org/10.1007/s00107-007-0181-9
Popescu, C.M.; Popescu, M.C.; Singurel, G.; Vasile, C.; Argyropoulos, D.S.; Willfor, S. 2007. Spectral characterization of Eucalyptus wood. Appl Spectrosc 61(11): 1168-1177. https://doi.org/10.1366/000370207782597076
Rodrigues, J.; Faix, O.; Pereira, H. 1998. Determination of lignin content of Eucalyptus globulus wood using FTIR spectroscopy. Holzforschung 52(1): 46-50. https://doi.org/10.1515/hfsg.1998.52.1.46
Schmidt, O.; Liese, W.; Moreth, U. 1996. Decay of timber in a water cooling tower by the basidiomycete Physisporinus vitreus. Mater Org 30: 161-177. https://agris.fao.org/agris-search/search.do?recordID=DE1997T12614
Schmidt, O. 2006. Wood and tree decay. Biology, damage, protection, and use. ISBN 978-3-540-32139-2. 336p. Springer-Verlag Berlin Heidelberg: Germany. https://link.springer.com/content/pdf/10.1007/3-540-32139-X.pdf
Schwarze, F.W.M.R.; Mattheck, C.; Engels, J. 2000. Fungal strategies of wood decay in trees. ISBN 978-3-642-57302-6, 185p. Springer-Verlag Berlin Heidelberg: Germany. https://www.springer.com/gp/book/9783540672050
Shi, J.; Jian, L. 2012. Metabolites and chemical group changes in the wood -forming tissue of Pinus Koraiensis under inclined conditions. BioResources7(3): 3463-3475. https://ojs.cnr.ncsu.edu/index.php/BioRes/article/view/BioRes_07_3_3463_Shi_Li_Metabolites_Wood_Pinus_koraiensis
Stienen, T.; Schmidt, O.; Huckfeldt, T. 2014. Wood decay by indoor basidiomycetes at different moisture and temperature. Holzforschung 68(1): 9-15. https://doi.org/10.1515/hf-2013-0065
Thybring, E.E. 2013.The decay resistance of modified wood influenced by moisture exclusion and swelling reduction. Int Biodeter Biodegr 82: 87-95. https://doi.org/10.1016/j.ibiod.2013.02.004
Thybring, E.E. 2017. Water relations in untreated and modified wood under brown-rot and white-rot decay. Int Biodeter Biodegr 118: 134-142. https://doi.org/10.1016/j.ibiod.2017.01.034
Thybring, E.E.; Kymäläinen, M.; Rautkari, L. 2018. Moisture in modified wood and its relevance for fungal decay. IForest 11: 418-422. https://doi.org/10.3832/ifor2406-011
Traoré, M.; Kaal, J.; Martínez-Cortizas, A. 2018. Differentiation between pine woods according to species and growing location using FTIR-ATR. Wood Sci Technol 52(2018): 487-504. https://doi.org/10.1007/s00226-017-0967-9
Walchli, O. 1980. Der echte Hausschwamm - Erfahrungen über Ursachen und Wirkungen seines Auftretens. Holz Roh Werkst 38: 169-174. http://doi.org/10.1007/bf02607473
Author notes
♠Corresponding author: valentinabenitezgonzalez@gmail.com