ARTÍCULO
Characterizations of tree-decay fungi by molecular and morphological investigationsin aniranian alamdardeh forest
Characterizations of tree-decay fungi by molecular and morphological investigationsin aniranian alamdardeh forest
Maderas. Ciencia y tecnología, vol. 23, 33, 2021
Universidad del Bío-Bío
Received: 24 September 2020
Accepted: 30 January 2021
Abstract: Forest trees are considered important in ameliorating climate change through removing carbon dioxide from the atmosphere, stabilizing water catchments and for timber production. Wood decay fungi are among the most important biotic factors in ecosystems, infecting valuable landscaping trees causing an economic loss or the preeminent recyclers of the wood. In a survey of forest trees in the Alamdardeh forest, northern Iran, fungal fruit bodies were collected and isolations made. Based on a combination of macro-morphological characteristics and molecular analyses, using the sequence data of ITS-rDNA, isolates were identified to the species level. A total of 22 species in nine families and 15 genera were identified. Most isolates were the white-rot fungi. Additionally, the brown-rot fungus Laetiporus sulphureus and the soft-rot species Xylaria longipes were identified.
Keywords: Brown-rot fungi, fungal fruit, Alamdardeh forest trees, molecular identification, rDNA-ITS sequencing, tree rot fungi, white-rot fungi.
Introduction
Forest trees provide numerous ecological functions, such as oxygen production, carbon dioxide sequestration, prevention of soil erosion, water catchment management, protection of biodiversity, and multiple benefits for humans. Forests are managed for traditional forest products such as timber for construction or firewood, and fiber for paper manufacture (Young 1982). The northern forests of Iran are temperate and include species of oriental beech (Fagus orientalis), chestnut-leaved oak (Quercus castaneifolia), common hornbeam (Carpinus betulus), caucasian alder (Alnus subcordata) and velvet maple (Acer velutinum). In forest ecosystems, fungi play a fundamental role in recycling nutrients, thereby providing a vital function in natural forest ecosystems (Aghajani et al. 2017). However, forests can also be damaged by fungi, bacteria, insects, and parasitic plants. Amongst these damaging agents, wood inhabiting and/or decay fungi are important, particularly the white and brown-rot species, although their functioning may balance forest ecosystems.
Aghajani et al. (2013) presented a comprehensive report of the wood-inhabiting fungi in northern Iran, identified by morphological features. Alamdardeh forest, part of the Mazandaran forests of northern Iran, has a high biodiversity of tree species, dominated by oriental beech (Fagusorientalis), chestnut-leaved oak (Q. castaneifolia), common hornbeam (C. betulus), caucasian alder (A. subcordata) and velvet maple (A.velutinum).
Classical mycological identification methods including those based on morphological features such as type of decay, fruit body characterization, spore and mycelium morphology (e.g. Nobles 1965, Stalpers 1978, Lombard and Chamuris 1990) are unsuitable for the definitive identification of species in many genera, particularly Armillaria, Ganoderma or Pleurotus. In the last approximately 25 years, molecular analytical techniques have been developed for rapid and more stringent identification of wood inhabiting fungi, with methods such as SDS-PAGE (sodium dodecyl sulfate polyacrylamide gel electrophoresis; Schmidt and Kebernik 1989, Vigrow et al. 1991), RAPD (random amplification of polymorphic DNA; Schmidt and Moreth 1998a), RFLP (restriction fragment length polymorphism; Schmidt and Moreth 1998b), species-specific priming PCR (Schmidt and Moreth 1999, Schmidt and Moreth 2000), sequencing of the rDNA-ITS region (e.g. White et al. 1990, Schmidt and Moreth 2002, Kauserud et al. 2004), matrix-assisted laser desorption/ionization time-of-flight mass spectrometry (MALDI-TOF MS) (Schmidt and Kallow 2005, Pristaš et al. 2017) and their degradation behaviors (Bari et al. 2021). For example, different researchers (Luley 2005, Terho et al. 2007, Schmidt et al. 2012) identified several fungi associated with rot in urban trees in the United State, Finland, and Germany, respectively, using ITS-sequencing.
Alamdardeh, within the Kiasar forest area, is an example of an old-growth forest in northern of Iran. This area has a high biodiversity of tree species. The dominant species are oak and hornbeam, with a mixture of F. orientalis and A subcordata. The average age and diameter of oak and hornbeam trees are 150 and 100 years old, and 75 cm to 250 cm, respectively. In the forests of Iran, Bari (2014) previously collected Trametes versicolor and Pleurotus ostreatus, causing white rot on beech (F. orientalis)in this forest, with identification by ITS-rDNA sequencing. The properties of beech, oak, and spruce wood decayed by both white-rot fungi were determined (Bari et al. 2015a, Bari et al. 2015b, Bari et al. 2015c, Bari et al. 2015d, Bari et al. 2016, Bari et al. 2017, Bari et al. 2018, Bari et al. 2020, Aghajani et al. 2018). In previous work, several Xylaria species were also identified using ITS-rDNA from trees occurring in the Gilan forest (Hashemi et al. 2015). The aim of the work described in this paper was to increase knowledge of the fungi causing decay of forest trees in Alamdardeh forest, using isolates collected from both standing and fallen trees, through identification using ITS-rDNA sequencing. Accurate identification provides valuable information about the impact of decay on the trees, precise estimation of the distribution of fungal saprophytes and pathogens causing wood decay on standing and fallen trees, mode of action and importance to risk analysis.
Material and methods
Study site
The broad-leaved deciduous forest forming a 20 km to 70 km wide and 800 km long belt parallel to the southern coast of the Caspian Sea was examined. Alamdardeh forest is located at 39°70' to 39°74'N, 40°24' to 40°40'E. These forests cover the northern slopes of the Alborz Mountains of northern Iran, extending from the Caspian lowlands to an elevation of 2800 m and covering an area of ca. 1,9 million ha (Marvie Mohadjer 2011).
Fungal isolation
Fungal sampling was carried out between 2012 - 2015, as described by Aghajani (2012). Samples of colonized wood, along with carpophores from trees including oak (Quercus castaneifolia C.A. Mey.), hornbeam (Carpinus betulus L.), maple (Acer velutinum Boiss), and beech (Fagus orientalis Lipsky.) were collected from standing and fallen trees, and stored at 4°C for transfer to the laboratory.
Photography
Fruit bodiescollected from host trees were photographed with a high definition Canon IXY 50S camera (Japan) and images transferred to Image J software (ImageJ 2020) for analysis.
DNA extraction, polymerase chain reaction and sequencing
Fruit bodies were initially identified by macro- and microscopic analysis (Ryvarden and Gilbertson 1993, Ryvarden and Gilbertson 1994). Molecular identification was performed following the methods of Schmidt et al. (2012), Bari et al. (2017), Aghajani et al. (2018): Approximately 20 mg tissue was taken from the interior of aseptically opened fruit bodies with flamed forceps. DNA was extracted by grinding the tissue using the DNeasy Plant Mini Kit (Denazist, Mashhad, Iran). DNA concentration was measured by UV spectrophotometry and proportional dilutions made. Polymerase chain reaction (PCR) was used to amplify the ITS-rDNA region using the ITS4 and ITS5 primer sets as forward and reverse primers, respectively (White et al. 1990). All PCR reactions were prepared in a total volume of 25 μl, comprising 50 ng genomic DNA mixed with 1× CinnaGen PCR Master-mix (CinnaGen, Tehran, Iran) and 0,2 μM of each primer. The PCR protocol was: initial denaturing of 4 min at 98 °C, 35 cycles of 30 sec at 94 °C for denaturing, 30 sec at 58 °C for annealing, 1 min at 72 °C for extension, and a final extension of 7 min at 72 °C. Aliquots of PCR products were examined on 2 % agarose gels stained with GelStar Nucleic Acid Gel Stain (Lonza Rockland, Inc, USA) and examined under UV light. PCR products for sequencing were sent to Takapouzist Co. (Bioneer, Korea). Species were identified by sequence comparison with accessions in the NCBI databases using the BLAST program.
Phylogenetic analysis
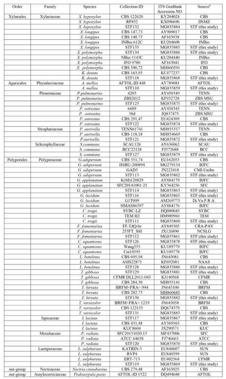
Forward and reverse ABI raw trace files were used to create consensus sequences using the Staden package program, version 2.0.0b9-src.tar.gz (Staden 1996). Consensus sequences were used as queries to blast (Mega BLAST from NCBI) the GenBank nucleotide database. Sequences with the highest similarity together with reference strains were downloaded from GenBank and aligned using MUSCLE software (Edgar 2004) implemented in MEGA6 (Tamura et al. 2013). The best evolutionary model for the alignments was calculated using MrModelTest software, v. 2.3 (Nylander 2004). Bayesian inference (BIs) was used to build phylogenetic trees using MrBayes v. 3.2.1 (Ronquist and Huelsenbeck 2003). Two separate BIs were run for three datasets, the Ascomycota (Xylariales) and the Basidiomycota (Agaricales and Polyporales). For each of the two BIs, the heating parameter was set at 0,15 and four Markov Chain Monte Carlo (MCMC) chains were run, starting from random trees for 1 million generations, with trees sampled every 1,000 generations. The first 25 % of trees were discarded as burn-in; consensus tree and posterior probabilities (PP) were determined from the remaining trees. Phylogenetic trees were inspected and printed using Fig Tree ver. 1.3.2 (Rambaut 2009). Trees were rooted using Nectriacinnabarina CBS 279,48 and Podoserpula pusio AFTOL-ID 1522 for ascomycetous and basidiomycetous fungal taxa, respectively. Sequences derived from this work were deposited in the NCBI GenBank nucleotide database (Table 1).

Results and discussion
Identification of fungi
Fungi identified from trees in the Alamdardeh forest, northern Iran is presented in Table 2, Figure 1 and Figure 2. Twenty two species of decay fungi were identified on standing and fallen trees in the forest (Figure 1 and Figure 2). A total of 122 specimens with most of the specimens being collected most fungi identified were white-rot species, with two species causing brown-rot (Laetiporus sulphureus) or soft-rot (Xylaria longipes) (Table 2, Figure 1 and Figure 2).

In a total of 122 specimens, most specimens were collected from Carpinus betulus followed by Quercus castaneifolia, Fagus orientalis and Acer velutinum (Table 2), whereas the corresponding sequence was Xylaria polymorpha, Trametes gibbosa, Fomes fomentarius and Schizophyllum commune for the frequency of obtained fungal taxa (Table 2).


Phylogenetic analysis
The aligned ITS datasets for Xylariales (Ascomycota), Agaricales and Polyporales (Basidiomycota) contained 13, 15 and 41 in-group taxa with 557, 822 and 714 characteristics containing 172, 401 and 399 unique site patterns respectively. MrModeltest v. 2.3 found GTR+G+I to be the most fitting replacement models for both ITS datasets. The Bayesian analysis enabled the identification of four Ascomycota as Kretzschmaria deusta, Xylaria longipes, X. hypoxylon, and X. Polymorpha with the highest posterior probability (Figure 3, Figure 4 and Figure 5).



Moreover, the identity of eighteen Basidiomycetous fungal taxa belonging to the orders of Agaricales (Armillaria mellea, Pleurotus ostreatus, P. pulmonarius, S. commune and Pholiota aurivella) and Polyporales (Coriolopsis trogii, F. fomentarius, Ganoderma adspersum, G. lucidum, G. applanatum, Irpex lacteus, L. sulphureus, Lenzites betulinus, Phlebia radiata, Cerioporus squamosus (formerly known as Polyporus squamosus), T. gibbosa, T. hirsuta and T. versicolor) (Figure 1 and Figure 2) were identifiedusing Bayesian analysis inference. Overall, all fungal taxa examined in this study were placed in 22 distinct clades with the highest posterior probability (Figure 3, Figure 4 and Figure 5).
Using a combination of macro-morphological characteristics and molecular phylogeny, a total of 4 ascomycetousand 18 basidiomycetous fungal taxa were identified (Figure 1, Figure 2, Figure 4 and Figure 5). Bayesian inference of ITS-rDNA revealed the identity of the fungal taxa obtained with the highest posterior probability (Figure 3, Figure 4 and Figure 5). Phylogenetic analyses based on the sequence data of ITS-rDNA have been previously proved to be practical for the identification of fungi of highly variable morphology like Xylaria spp. and Ganoderma spp. (Cao et al. 2012).
Since the advent of DNA-based identification using PCR (Mullis and Faloona 1987), molecular techniques have been developed for efficient and reliable detection of fungi in plant tissues. Earlier molecular methods used for identification of wood-inhabiting fungi (Schmidt and Kebernik 1989, Schmidt and Moreth 1998a, Schmidt and Moreth 1998b), including SDS-PAGE, RAPD and RFLP, were less suitable for unknown fungal species because very different species can yield similar results by chance; these techniques should only be used if the species in question is already pre-identified by other methods or for revealing within-isolate polymorphism among the populations of fungal species. Species-specific PCR primers (Schmidt and Moreth 1999, Schmidt and Moreth 2000) can identify unknown species; however, development is time-consuming and the ITS sequences of species within some genera (e.g. Armillaria) are too similar for standard primers to separate. For example, ITS sequences of Armillaria borealis, A. cepistipes, A. gallica, and A. ostoyae showed considerable similarity, but differed from A. mellea (Potyralska et al. 2002). However, since 2000, sequencing of the ITS-rDNA region as a molecular barcode and subsequent species identification by sequence comparison with ITS depositions in DNA databases has commonly been used for detection of unknown fungi; the technique is rapid, gives confidence in the results, and numerous ITS sequences for identification, by comparison, are available in DNA databases.
In this study, most fungi identified (Table 1) were white-rot species, with two species causing brown-rot (Laetiporus sulphureus) or soft-rot (Xylaria longipes) (Table 1). White-rot fungi are common in hardwoods, whereas brown-rot species prefer softwoods (Schmidt 2006). White rot fungi degrade the lignin component of the wood in the first stages of the degradation, and then cellulose and hemicellulose while brown rot fungi only degrade the carbohydrates cellulose and hemicellulose (Pandey and Pitman 2003). Since Iranian forests are dominated by angiosperm trees, white-rot fungi are common. Several of the fungal species identified were also reported by Schmidt et al. (2012) from urban trees in northern Germany. These results correspond to Ryvarden and Gilbertson (1993) and Ryvarden and Gilbertson 1994, who suggested that many decay species are cosmopolitan.
It is known that changes in the quantity and also the quality of fallen and standing dead trees in managed and unmanaged forests result in variations in the fungi present (Marvie Mohadjer 2011). Moreover, dead and fallen trees in forest ecosystems provide habitats and substrates for fungal species and other organisms that live in and on the wood. For example, snags have major roles in the localised distribution of macro-fungi and they are known to be of great value in managed forests, and therefore, it is recommended that several standing dead trees are left during harvesting operations (Aghajani et al. 2016). Aghajani et al. (2013) studied wood-inhabiting fungi in Kheyroud forest (Mazandaran province), which has different climate conditions compared to the current work, and found high variations in fungal taxa such as Armillariamellea, Stereum sp., Pluteus cervinus, Ganoderma applanatum, Trichaptum sp., Fomes fomentarius, Pluteus sp., and Schizophyllum commune on oak, and A. mellea, Hypholoma fasciculare, Crepidotus sp., Pluteus sp., Coprinus sp., G. applanatumon hornbeam, representing first reports for Iran (Aghajani et al. 2013, Aghajani et al. 2014).
Generally, many of the above fungi were found in the current work, indicating the selective effect of the host tree on the presence and distribution of fungi. Another factor that potentially led to random variation in the present study was that most dead wood units were surveyed only once, thus a number of species may have remained undetected (Halme and Kotiaho 2012, Abrego et al. 2016). It is likely, therefore, that there are more rare species (with few occurrences) than suggested in the dataset presented here. Nevertheless, as has been shown by both molecular (Kubartova et al. 2012) and fruit body based surveys (Abrego et al. 2016), a high proportion of rare species is an inherent characteristic of wood-inhabiting fungal communities. For some species, the geographical regions examined captured most of the variation observed; meaning that after accounting for variables related to climate, forest connectivity and resource quality, the presence of these fungi was mainly confined to particular geographical areas. However, the use of developed techniques of DNA-based identification including multi-gene and metagenomic identification of environmental DNA is sometimes inevitably necessary to reveal rare and invasive species within a habitat (Stewart et al. 2018). Because many wood-associated fungi are morphological similar to each other or cause similar symptoms on their hosts and also obligate forest pathogens are unable to grow on synthetic cultures (Stewart et al. 2018).
Conclusions
The accurate knowledge of fungal species associated with wood decay such as those identified in this study could be further helpful to adopt proper management of the forests. A total of 22 fungal taxa associated with wood decay in standing and fallen trees in the Alamdardeh forest of Iran were identified which were mostly of the white-rot type, with one species in each of the brown and soft rot categories. Moreover, the results revealed the sequence data of ITS-rDNA as a useful marker to delimit the fungal species obtained in this study especially those belonging to the genus Xylaria.
References:
Abrego, N.; Halme, P.; Purhonen, J.; Ovaskainen, O. 2016. Fruit body based inventories in wood-inhabiting fungi: should we replicate in space or time?. Fungal Ecol 20: 225-232. https://doi.org/10.1016/j.funeco.2016.01.007
Aghajani, H. 2012. Study on the oak (Quercus castaneifolia) and Hornbeam (Carpinus betulus) decaying macro fungi in mixed Oak-Hornbeam forest community in kheyroud Forest, North of Iran. M.Sc. thesis, Department of Forestry and forest economics. Faculty of Natural resources. University of Tehran, Iran. 95p.
Aghajani, H.; Marvie Mohadjer, M.R.; Asef, M.R.; Shirvany, A. 2013. The relationship between abundance of wood macrofungi on Chestnut-leave Oak (Quercus castaneifolia C.A.M.) and Hornbeam (Carpinus betulus L.) and physiographic factors (Case study: Kheyroud forest, Noshahr). Journal of Natural Environment IJNRR 66(1): 1-12. https://doi.org/10.22059/jne.2013.35399
Aghajani, H.; Marvie Mohadjer, M.R.; Asef, M.R.; Shirvany, A. 2014. The relationship between wood-decay fungi abundance and some morphological features of Hornbeam (Case study: Kheyroud forest, Noshahr). Iranian Journal of Forest and Range Protection Research 12 (1): 55-65. https://doi.org/10.22092/ijfrpr.2014.106538
Aghajani, H.; Marvie Mohadjer, M.R.; Asef, M.R.; Shirvany, A. 2016 . Abundance of wood decay macrofungi in forest ecosystems with different management histories in the Kheyroud forest, Nowshahr, northern Iran. J Forest Res-JPN 1(4): 295-305. https://www.sid.ir/en/Journal/ViewPaper.aspx?ID=606182
Aghajani, H.; Mohadjer, M.R.M.; Bari, E.; Ohno, K.M.; Shirvany, A.; Asef, M.R. 2017. Assessing the Biodiversity of Wood Decay Fungi in Northern Forests of Iran. Proceedings of the National Academy of Sciences, India Section B: Biological Sciences 88(4): 1463-1469. https://doi.org/10.1007/s40011-017-0887-3
Aghajani, H.; Bari, E.; Bahmhani, M; Miha, H.; Tajick Ghanbary, M.A.; Nicholas, D.D.; Zahedian, E. 2018. Influence of Relative Humidity and Temperature on Cultivation of Pleurotus species. Maderas-Cienc Tecnol 20(4): 571-578. https://doi.org/10.4067/S0718-221X2018005004501
Bari, E. 2014. Potential of biological degradation of oriental beech wood by the white-rot fungus Pleurotus ostreatus and the effects on mechanical and chemical properties there of and its comparison with standard the white-rot fungus Trametes versicolor. MSc. thesis, Sari Agriculture and Natural Resources University, Sari, Iran.
Bari, E.; Nazarnezhad, N.; Kazemi, S.M.; Tajick Ghanbary, M.A.; Mohebby, B.; Schmidt, O.; Clausen, C.A. 2015a. Comparison of degradation capabilities of the white rot fungi Pleurotus ostreatus and Trametes versicolor. Int Biodeterior Biodegr 104: 231-237. https://doi.org/10.1016/j.ibiod.2015.03.033
Bari, E.; Oladi, R.; Schmidt, O.; Clausen, C.A.; Ohno, K.; Nicholas, D.D.; Ghodskhah Daryaei, M.; Karim, M. 2015b. Influenceof xylem ray integrity and degree of polymerization on bending strength of beech wood decayed by Pleurotus ostreatus and Trametes versicolor. Int Biodeterior Biodegr 104: 299-306. https://doi.org/10.1016/j.ibiod.2015.06.019
Bari, E.; Schmidt, O.; Oladi, R. 2015c. A histological investigation of Oriental beech wood decayed by Pleurotus ostreatus and Trametes versicolor. For Path 45: 349-357. https://doi.org/10.1111/efp.12174
Bari, E.; Taghiyari, H.R.; Mohebby, B.; Clausen, C.A.; Schmidt, O.; Vaseghi, M.J. 2015d. Mechanical properties and chemical composition of beech wood exposed for 30 and 120 days to white-rot fungi. Holzforschung 69: 587-593. https://doi.org/10.1111/efp.12174
Bari, E.; Taghiyari, H.R.; Naji, H.R.; Schmidt, O.; Ohno, M.K.; Clausen, C.A.; Bakar, E.S. 2016. Assessing the destructive behavior of two white-rot fungi on beech wood. Int Biodeter Biodegr 114: 129-140. https://doi.org/10.1016/j.ibiod.2016.06.010
Bari, E.; Karim, M.; Oladi, R.; Tajick Ghanbary, M.A.; Ghodskhah Daryaei, M.; Schmidt, O.; Benz, J.P.; Emaminasab, M. 2017. A comparison between decay patterns of the white-rot fungus Pleurotus ostreatus in chestnut-leaved oak (Quercus castaneifolia) shows predominantly simultaneous attack both in vivo and in vitro. For Path 47(4): e12338. https://doi.org/10.1111/efp.12338
Bari, E.; Mohebby, B.; Naji, H.R.; Oladi, R.; Yilgor, N.; Nazarnezhad, N.; Ohno, K.; Nicholas, D.D. 2018. Monitoring the cell wall characteristics of degraded beech wood by white-rot fungi: anatomical, chemical, and photochemical study. Maderas-Cienc Tecnol 20(1): 35-56. http://dx.doi.org/10.4067/S0718-221X2018005001401
Bari, E.; Daniel, G.; Yilgor, N.; Kim, J.S.; Tajick Ghanbary, M.A.; Singh, A.P.; Ribera, J. 2020. Comparison of the decay behavior of two white-rot fungi in relation to wood type and exposure conditions. Microorganisms 8: 1931. https://doi.org/10.3390/microorganisms8121931
Bari E.; Bari, E.; Pizzi, A.; Schmidt, O.; Amirou, S.; Tajick Ghanbary, M.A.; Humar, M. 2021. Differentiation of fungal destructive behaviour of wood by the white-Rot fungus Fomes fomentarius by MALDI-TOF Mass Spectrometry. J Renew Mater 9(3): 381-397. https://doi.org/10.32604/jrm.2021.015288
Cao, Y.; Wu, S.H.; Dai, Y.C. 2012. Species clarification of the prize medicinal Ganoderma mushroom “ Lingzhi”. Fungal divers 56: 49-62. https://doi.org/10.1007/s13225-012-0178-5
Edgar, R.C. 2004. MUSCLE: multiple sequence alignment with high accuracy and high throughput. Nucleic Acids Res 32: 1792-1797. https://doi.org/10.1093/nar/gkh340
Halme, P.; Kotiaho, J.S. 2012.The importance of timing and number of surveys in fungal biodiversity research. Biodivers Conserv 21: 205-219. https://doi.org/10.1007/s10531-011-0176-z
Hashemi, S.A.; Zare, R.; Khodaparast, K.; Elahinia, A. 2015. Phylogenetic analysis of Xylaria species in North of Iran based on ITS sequence data. 2nd Iranian Mycological Congress, University of Tehran, Karaj, Iran.
ImageJ. 2020. Imaging Procesing and Analysis in Java. https://imagej.nih.gov/ij/download.html
Kubartova, A.; Ottosson, E.; Dahlberg, A.; Stenlid, J. 2012. Patterns of fungal communities among and within decaying logs, revealed by 454 sequencing. Mol Ecol 21: 4514-4532. https://doi.org/10.1111/j.1365-294X.2012.05723.x
Kauserud, H.; Högberg, B.; Knudsen, H.; Elbornes, S.A.; Schumacher, T. 2004. Molecular phylogenetics suggest a North American link between the anthropogenic dry rot fungus Serpula lacrymans and its wild relative S. himantioides. Mol Ecol 13: 3137-3146. https://doi.org/10.1111/j.1365-294X.2004.02307.x
Lombard, F.F.; Chamuris, G.P. 1990. Basidiomycetes. In Identification manual for fungi from utility poles in the eastern United States. Wang, C.J.K.; Zabel, R.A. (eds). Am Type Cult Coll: Rockville, United States. ISBN 0930009312, 9780930009311. pp. 21-104.
Luley, C.J. 2005. Wood decay fungi common to urban living trees in the Northeast and central United States. Urnan Forestry LLC: Naples, United States. ISBN 978-0976712916
Marvie Mohadjer, M.R. 2011. Silviculture. 3nd ed. University of Tehran Press: Tehran, Iran.
Mullis, K.B.; Faloona, F.A. 1987. Specific synthesis of DNA in vitro via a polymerase-catalyzed chain reaction. Meth Enzymol 155: 35-50. https://doi.org/10.1016/0076-6879(87)55023-6
Nobles, M.K. 1965. Identification of cultures of wood-inhabiting hymenomycetes. Can J Bot 43: 1097-1139. https://doi.org/10.1139/b65-126
Nylander, J.A.A. 2004. Mr Modeltest v2. Program distributed by the author. Evolutionary Biology Centre, Uppsala University. https://www.researchgate.net/publication/285805344_MrModeltest_V2_Program_Distributed_by_the_Author#fullTextFileContent https://www.scirp.org/(S(i43dyn45teexjx455qlt3d2q))/reference/ReferencesPapers.aspx?ReferenceID=1276217
Pandey, K.K.; Pitman, A.J. 2003. FTIR studies of the changes in wood chemistry following decay by brown-rot and white-rot fungi. Int Biodeter Biodegr52(3): 151-160. https://doi.org/10.1016/S0964-8305(03)00052-0
Potyralska, A.; Schmidt O.; Moreth, U.; Lakomy, P.; Siwecki, R. 2002. rDNA-ITS sequence of Armillaria species and a specific primer for A. mellea. For Genet 9: 119-123.
Pristaš, P.; Kvasnová, S.; Gáperová, S.; Gašparcová, T.; Gáper, J.; Lehtijärvi, A. 2017. Application of MALDI-TOF mass spectrometry for in vitro identification of wood decay polypores. For Pathol 47(5): e12352. https://doi.org/10.1111/efp.12352
Rambaut, A. 2009. Fig Tree v1.3.1. http://tree.bio.ed.ac.uk/software/figtree/
Ronquist, F.; Huelsenbeck, J.P. 2003. Mr Bayes 3: Bayesian phylogenetic inference under mixed models. J Bioinform 19: 1572-1574. https://doi.org/10.1093/bioinformatics/btg180
Ryvarden, L.; Gilbertson, R.L. 1993. European polypores. Part 1. Oslo: Fungiflora, Norway. https://www.cabdirect.org/cabdirect/abstract/19952305306
Ryvarden, L.; Gilbertson, R.L. 1994. European polypores. Part 2. Oslo: Fungiflora, Norway. https://www.cabi.org/ISC/abstract/19951000185
Schmidt, O. 2006. Wood and tree fungi. Biology, damage, protection, and use. Springer: Berlin. 334p.
Schmidt, O.; Kebernik, U. 1989. Characterization and identification of the dry rot fungus Serpula lacrymans by polyacrylamide gel electrophoresis. Holzforschung 43: 195-198. https://doi.org/10.1515/hfsg.1989.43.3.195
Schmidt, O.; Moreth, U. 1998a. Characterization of indoor rot fungi by RAPD analysis. Holzforschung 52: 229-233. https://doi.org/10.1515/hfsg.1998.52.3.229
Schmidt, O.; Moreth, U. 1998b. Detection of the dry rot fungus Serpula lacrymans by amplified ribosomal DNA restriction analysis. Int Research Group Wood Preserv 10245. 8p.
Schmidt, O.; Moreth, U. 1999. rDNA-ITS sequence of Serpulalacrymans and other important indoor rot fungi and taxon-specific priming PCR for their detection. Int Research Group Wood Preserv 10298. 10p.
Schmidt, O.; Moreth, U. 2000. Species-specific PCR primers in the rDNA-ITS region as a diagnostic tool for Serpula lacrymans. Mycol Research 104: 69-72. https://doi.org/10.1017/S0953756299001562
Schmidt, O.; Moreth, U. 2002. Data bank of rDNA-ITS sequences from building-rot fungi for their identification. Wood Sci Technol 36: 429-433. https://doi.org/10.1007/s00226-002-0152-6
Schmidt, O.; Gaiser, O.; Dujesiefken, D. 2012. Molecular identification of decay fungi in the wood of urban trees. Eur J For Res 131: 885-891. https://doi.org/10.1007/s10342-011-0562-9
Schmidt, O.; Kallow, W. 2005. Differentiation of indoor wood decay fungi with MALDI-TOF mass spectrometry. Holzforschung 59: 374-377. https://doi.org/10.1515/HF.2005.062
Staden, R. 1996. The Staden sequence analysis package. Mol Biotechnol 5:233. https://doi.org/10.1007/BF02900361
Stalpers, J.A. 1978. Identification of wood-inhabiting aphyllophorales in pure culture. Studies in Mycology 16. https://www.studiesinmycology.org/index.php/issue/18-studies-in-mycology-no-16
Stewart, J.E.; Kim, M.S.; Klopfenstein, N.B. 2018. Molecular genetic approaches toward understanding forest-associated fungi and their interactive roles within forest ecosystems. Curr Forestry Rep 4: 72. http://doi.org/10.1007/s40725-018-0076-5
Tamura, K.; Stecher, G.; Peterson, D.; Filipski, A.; Kumar, S. 2013. MEGA6: Molecular Evolutionary Genetics Analysis version 6.0. Mol Biol Evol 30: 2725-2729. http://doi.org/10.1093/molbev/mst197
Terho, M.; Hantula, J.; Hallaksela, A.M. 2007. Occurrence and decay patterns of common wood-decay fungi in hazardous trees felled in the Helsinki City. For Pathol 37(6): 420-432. https://doi.org/10.1111/j.1439-0329.2007.00518.x
Vigrow, A.; Palfreyman, J.W.; King, B. 1991. On the identity of certain isolates of Serpula lacrymans. Holzforschung 45:153-154. https://doi.org/10.1515/HF.2000.038
White, T.J.; Bruns, T.; Lee, S.; Taylor, J. 1990. Amplification and direct sequencing of fungal ribosomal RNA genes for phylogenetics. In PCR Protocols: A Guide to Methods and Applications. Innis, M.A; Gelfand, D.H; Sninsky, J.J; White, T.J. (eds). Academic Press: San Diego, California, United States. pp. 315-322.
Young, R.J. 1982. Introduction to Forest Science. John Wiley & sons. ISBN 978-1111308391
Author notes
♠Corresponding author: bari_lenzites@yahoo.com