ARTÍCULO
Received: 09 November 2021
Accepted: 19 August 2023
DOI: https://doi.org/10.22320/s0718221x/2024.04
Abstract: This study used non-destructive testing with ultrasonic and stress wave propagation to evaluate bending strength and stiffness of wood-polymer composites. Twelve composite plate products were produced with different formulations of polymer matrix (high- and low-density polyethylene and polypropylene) and type and proportion of flour (coconut shell and wood). Mechanical and acoustic properties were influenced primarily by the type of matrix used in the composite. The greater the proportion of wood and coconut shell flour the higher the wave propagation velocity, stiffness, and strength. We found a correlation between mechanical properties (strength and stiffness) and wave velocity and stiffness coefficient. We also present linear regression equations of the stiffness and strength of the specimen as a function of wave velocity and stiffness coefficient obtained through non-destructive testing. For polypropylene and high-density polyethylene matrix composites, the stiffness coefficient provided a better estimate of stiffness, while for low-density polyethylene the wave velocity provided better results.
Keywords: Cocos nucifera, Pinus taeda, stress wave, ultrasound wave, mechanical properties, wood-polymer composites.
Introduction
Previous studies have demonstrated that it is possible to estimate the elastic properties of timber and its derivatives (plywood, Medium Density Particleboard (MDP), Oriented Strand Board (OSB), etc.) by non-destructive testing. Using these methods, sample extraction is not necessary as the evaluation is done on the piece or structure itself (Han et al. 2006, Wang et al. 2012, Baar et al. 2015, Taghiyari et al. 2017). The use of non-destructive testing (NDT) and evaluation (NDE) has been growing in Europe and North America since the 20th century. Currently, such technologies are being used to successfully evaluate wood and wood-based materials (Dündar and Divos 2014).
According to Legg and Bradley (2016), technologies such as x-ray diffraction, near infrared (NIR) spectroscopy, and x-ray tomography, have been used to evaluate timber in a non-destructive manner. However, acoustic techniques are more common because they are relatively inexpensive, fast, robust, and easy to use in the field.
Ultrasonic waves have frequencies of 20 kHz or higher which are commonly produced by piezoelectric transducers that convert voltage to mechanical motion. The transducers must maintain contact with the analyzed material, which can be achieved with the use of coupling agents that do not affect the conditions of the specimen (Senalik et al. 2014). Due to an increasing number of advanced materials that can be contaminated by these coupling agents, air-coupled ultrasonic (ACU) methods have become increasingly popular in testing (Fang et al. 2017).
The stress wave evaluation method is performed by striking a piece of timber, panel, or composite in the transverse or longitudinal direction with a hammer. The impact can be on the piece or the transducer, depending on the type of equipment used to detect the start and stop wave propagation times. The hardness and weight of the material used as the hammer can also affect the wave frequency that is produced (Kasal et al. 2010).
A methodology for estimating the mechanical properties of thin wood panels (less than 6,4 mm) through the velocity of ultrasonic waves was developed by Tucker et al. (2003). However, variations in the static modulus of elasticity (MOE) and stiffness coefficient (C) for composites with the same composition may occur due to imperfections in the instruments or data collection procedures. In addition, variations in temperature, material porosity, and heterogeneity can also produce differences in these properties (Nesvijski 2000).
In a bar whose width and thickness are much smaller than the wavelength the sound propagates only as a strain wave or quasi-longitudinal wave, therefore, the dynamic modulus of elasticity is calculated from the velocity of wave propagation and the density of material (E = V2·ρ). In wood ultrasound tests, was verified that velocity was affected by the frequency, increasing up to 500 kHz and remaining almost constant for higher frequencies (Bucur 2006).
For wood, based on the modulus of elasticity values measured, the ultrasonic wave velocity is found to be suitable for determining the dynamic modulus of elasticity, however, non-diagonal terms of the stiffness matrix must be considered. “While the ultrasonic technique is found to be reliable to measure the elastic moduli, based on the measured values, its eligibility to measure the Poisson’s ratios remains uncertain” (Ozyhar et al. 2013). For wood-based composites (particleboard) the anisotropy is smaller and this assumption oversimplifies the structure of particleboard, which is considered a plane isotropic material. However, the accuracy of ultrasound for determining the Poisson’s ratios of particleboard layers was considered questionable (Güntekin and Kaya 2018).
Recently, papers showed consistent relationships between dynamic and static modulus of elasticity for wood-based composites (Haseli et al. 2020). Based on the relationship between strength and stiffness, works also present the relationship between MOR and MOEd, however, with less accuracy (Chung and Wang 2019, Maulana et al. 2019, Ahmed et al. 2020). These works have in common the use of ultrasonic waves considered as a strain or quasi-longitudinal wave, with frequencies below 150 Khz.
Bachtiar et al. (2017) also verified that the ultrasound wave velocity can be used to estimate the modulus of elasticity of wood. The authors used a frequency of 2,27 MHz for longitudinal waves, which allows the use of small specimens, but which lead to the wavelengths (λ) of 5,0 mm - 2,5 mm. The authors considered that the chosen data evaluation method influenced the calculated Young’s moduli and that before applying the ultrasound method to a new wood species, a validation study with respect to mechanical tests should be performed to quantify uncertainties and derive the optimum correction factors.
Bucur (2006) indicates that up to 1 MHz, velocity variation is associated with geometric questions related to wavelength, while above 1 MHz this variation is a result of the combination of material structural dimensions and wavelength. On the other hand, if the wavelength is no greater than both dimensions of specimen cross-section, velocity is influenced by frequency and decreases with falling frequency (Hillig et al. 2018). The authors demonstrated that for WPCs and using frequencies of 22 kHz and 45 kHz (λ ranging from 28,9 mm to 140,3 mm), polymer type significantly affects velocity, overcoming variations due to specimen dimensions.
Nzokou et al. (2006) used the transverse vibration technique and a Metriguard Model 340 system to assess the stiffness coefficient (C) of wood-polymer composites (WPC). The authors evaluated the relationship between C and static MOE using specimens with different dimensions and did not find a statistically significant correlation between them for each dimension.
Najafi et al. (2008) concluded that the length of the piece, wood flour content, use of maleic anhydride grafted polypropylene (MAPP) as a coupling agent, and the incorporation of glass fiber influenced a 16 kHz wave velocity in polypropylene wood composites. Bobadilla et al. (2012) concluded that it is possible to estimate the state of deterioration of an OSB panel and its properties through the loss of ultrasonic or stress wave velocity. Meanwhile, determining the C of particleboard by stress wave time was studied by Mendes et al. (2012), who observed that the type of material exerts the greatest influence on C.
For an orthotropic bagasse fiber polypropylene composite, six diagonal stiffness tensor components were quantified based on ultrasonic longitudinal and shear wave velocity measurements. This data, combined with quasi-static test data, enabled the determination of Poisson's ratio of orthotropic material (Bader et al. 2016).
Considering these previous analyses, the aim of the present study was to evaluate the possibility of using non-destructive tests, including ultrasonic (22 kHz and 45 kHz) and stress wave propagation, to estimate the strength and stiffness of wood-polymer composites (WPC) produced with different types of plastic and cellulose flour.
Material and methods
Raw material
Coconut shell flour coconut (Cocos nucifera L.) and two different grain sizes (thick and thin) Loblolly pine taeda (Pinus taeda L.) wood flour were used. The thick-grain wood flour was obtained from forest industry waste, while the thin-grain flour and thin coconut shell flour were provided by a company that produces the material. The particle diameter for each type of flour, whose volume is equal to the average volume of all particles, was 0,0143 mm, 0,0196 mm, and 0,2599 mm for coconut shell, thin-, and thick-grain pine, respectively.
Three kinds of polymers were used in the matrix phase composites: high-density polyethylene (HDPE); a 50/50 mix of virgin and recycled, low-density polyethylene, (LDPE), and polypropylene (PP). Also, were used a coupling agent MA-HDPE, that a HDPE graphitized maleic anhydride. Their properties are shown in Table 1.

Production of composites and molds
The production of the composites was performed using an MH-COR-20-32 co-rotating twin-screw extruder with a 20 mm diameter screw, length/diameter ratio (L/D) of 32, and degassing. The extrusion was conducted with varying temperatures in the different heating zones according to the following profile: 160 ºC, 160 ºC, 180 ºC, 180 ºC, 185 ºC, and 190 ºC; and melt temperature at 220 ºC. The speed was set to 0,23 m·s-1.
The preparation of plates was performed using a steel mold with dimensions of 250 mm x 300 mm x 10 mm. The molds were male and female snap oriented with guide pins. After the distribution of granulated composite in the mold, it was pressed at 7,85 MPa and a temperature of 180 °C, then braked. After pressing, the mold was cooled in water and the plate removed manually. Specimens of 50 mm x 220 mm were then cut for the acoustic and mechanical tests.
Experimental design and statistical analysis
In order to evaluate the acoustic properties of specimens made from different materials, composites were produced that varied in terms of polymer type, flour ratio, and particle type and size (Table 2).

Five specimens of each composite type were used in the statistical analysis, for a total of 60 samples. The mean and standard deviation values of the properties evaluated by composite type were calculated. Correlation and regression analysis were performed for all specimens and for each polymer matrix group.
Acoustic and physical-mechanical tests
Acoustic tests
To conduct the acoustic tests, three commercial devices were used: USLab, Sylvatest-Duo, and Fakopp Microsecond Timer, manufactured by Agricef, CBS-CBT, and Fakopp Enterprise, respectively (Figure 1). The first two measure the velocity of ultrasonic wave propagation in the evaluated specimens. USLab operates at a frequency of 45 kHz and the Sylvatest-Duo at 22 kHz. The third device measures the stress wave velocity generated by a hammer strike on the start sensor, which is received at the end sensor. The pulse used is at a lower frequency than with ultrasound and is generally lower than 20 kHz (Dackermann et al. 2014). For the ultrasonic and stress wave tests the specimens were placed on wooden supports and held by a horizontal clamp.
The wave propagation time between the two transducers was recorded to calculate the propagation velocity, according to Equation 1. During the test, the transducers were positioned at opposite sides of the specimens (direct test) to read the compression wave propagation time (t) across a 220 mm span (s) for ultrasound or 216 mm span (s) for stress wave, due to the penetration of stress wave sensors by 2 mm on each side of the specimen (Figure 1a and Figure 1b).
(1)Where, V = velocity (m·s-1); s = distance between transducers or sensors (m); t = time (s).

The stiffness coefficient (C) was calculated according to Equation 2 from density and velocity. This coefficient avoids the interference of density in the main analysis.
(2)Where, ρ = apparent density (kg·m-3); V = velocity (m·s-1).
Physical-mechanical tests
The apparent density was calculated by the apparent mass to volume ratio determined by the stereometric method. The assessment of bending strength (modulus of rupture - MOR) and stiffness (modulus of elasticity - MOE) was performed according to UNE EN 310-93 (1994). The test specimens, with dimensions of 220 mm x 50 mm x 10 mm, were conditioned at 20 ºC and 65 % relative humidity, and submitted to a three-point bending test.
Results and discussion
Physical-mechanical and acoustic properties of the specimens
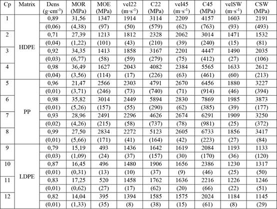
Table 3 shows the mean values of the specimen properties by composite type. Properties varied among composites, mainly due to the type of matrix (polymer) used. In addition, the inclusion of voids in the molding process interfered with the density of some specimens. Specimens made with HDPE presented the greatest number of voids, except for formulation 4 which reached a density of 980 kg·m-3.
Specimens made from PP showed the highest mean values for all properties except for bending strength (MOR), with HDPE showing intermediate values and LDPE lower values. Although the melting temperature of PP is 175 °C, the temperature of 180 °C used in the press plates was insufficient to evenly melt the polymer. As such, the plates showed regions where the granules did not melt. This explains the higher stiffness and lower strength values of these composites compared to those made with HDPE matrix.

An increase in the proportion of flour is expected to increase the bending strength and stiffness of the plates; however, when comparing the results between composites 1 and 2 (HDPE) and composites 7 and 8 (PP), such a result was not obtained. For the HDPE matrix, the lack of increase in bending strength can be attributed to the occurrence of voids which caused a difference in density between composites 1 and 2. For the PP matrix, the lower strength and stiffness of composite specimen 7 compared to 8 can be attributed to the difficulty of melting the polymer at the temperature used in the press plates, as mentioned above. The occurrence of regions where the granules did not melt affected the strength of the PP matrix plates, since it did not provide a good plate conformation.
The wave propagation velocity and stiffness coefficient varied between methods as a result of the type of matrix and type and proportion of flour used in the composite. As expected, the mean value of both properties was lowest for the stress wave, followed by the 22 kHz ultrasonic wave, and highest for the 45 kHz ultrasonic wave for all evaluated composites. This difference can be explained by the influence of frequency on wave velocity, because according to Bucur (2006), wave velocity was affected by the frequency increasing up to 500 kHz and remaining almost constant for higher frequencies.
The density had some influence on wave velocity, as can be seen in the velocity values obtained for composite 2 which are inferior to those obtained for the other HDPE composites. However, for wood and wood byproducts, differences in wave velocity are related to changes in the ratio between density and modulus of elasticity. With a higher wood density, the wave propagation velocity should decrease, but this usually results in an increase in wood stiffness, which counterbalances the effect (Baar et al. 2012).
The acoustic properties of a medium are determined by its physical-mechanical properties, such as density, modulus of elasticity, and structure. In general, for solid media that have similar levels of rigidity, an increase in density results in a decrease in wave velocity because it requires a greater amount of kinetic energy to make larger molecules vibrate (Nazarchuk et al. 2017). However, for wood panels (fiberboard, particleboard, and OSB), the velocity increases almost linearly with increasing density between 350 kg·m-3 and 900 kg·m-3 due to an increase in MOE (Hilbers et al. 2012).
Najafi et al. (2008) found propagation velocity values varying from 2285 m/s to 2784 m·s-1 using 16 kHz ultrasonic waves with wood-polypropylene composites at ratios of 50 %, 60 %, and 70 %. These values are similar to those found herein with 22 kHz waves that ranged from 2272 m·s-1 to 2449 m·s-1.
If we compare the wave velocity reported for other composites or wood panels, we can see that the mean values found in this study are lower but similar to those reported for particleboard and fiberboard. Table 4 provides a comparison with the values reported in other studies on wood panels, where it is verified that MDF and MDP panels had lower wave velocity, followed by OSB. Plywood was the panel that wave velocity was considerably higher.

Correlation and regression
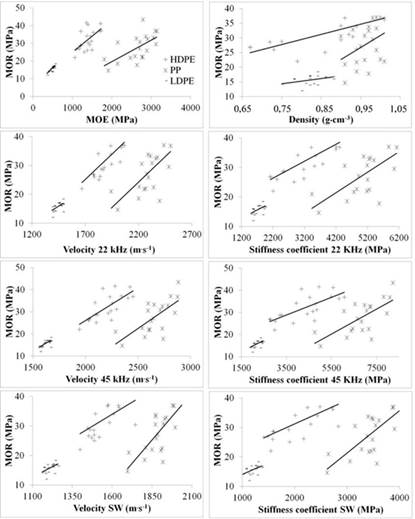
Table 5 shows the Pearson correlation coefficient between the analyzed properties of the composite specimens. There was a significant correlation between all evaluated properties, with a strong correlation among the three types of waves evaluated and between wave type and MOE. Furthermore, a strong correlation was observed between the wave velocity or stiffness coefficient and MOE.

The MOE showed some variation among composites of the same matrix, which is consistent with the variations in density (Figure 2). The stiffness coefficient (C22, C45, CSW) followed a trend that was more similar to the MOE than wave velocity, except for LDPE composites because the variation in density and MOE are limited. For MOR, other sources of variation occurred mainly in composites 1 to 5.
Furthermore, the normalized density and MOR followed a trend in variation similar to the MOE, which confirms the correlation between these properties (Table 4). The density of the composite was affected by voids and the problems discussed above in relation to the melting temperature of the PP polymer. This resulted in differences in density among the composites that mainly affected their strength. On the other hand, the stiffness was more heavily influenced by the characteristics of each fiber/matrix combination.

MOE and stiffness coefficient formed three distinct groups which correspond to the matrix used in the composite. In addition, we found that the assumptions of linear regression for independence, normality, and homogeneity of error variances were not obtained when considering all composites. However, these assumptions were met when analyzing the data separately for each matrix.
Thus, in Figure 3, the MOE plot is presented as a function of the wave velocity and stiffness coefficient separated by the type of matrix used in the composite. We can see that the MOE varied as a function of the wave velocity, which is similar to the variation found as a function of the stiffness coefficient. Thus, this shows that the influence of the composite density on their dynamic stiffness properties verified in Table 5 occurs in the same way for all three types of polymers used.

Table 6 presents the linear regression equations of MOE as a function of the wave velocity and stiffness coefficient for each composite group of the same matrix. The results show an estimated standard error of less than 11 %, which is low and indicates the applicability of acoustic techniques to estimate MOE.

For HDPE and PP, the coefficient of determination was greater and the estimated standard error was lower when the stiffness coefficient was used instead of wave velocity. However, the reverse was true for LDPE. Regarding the types of waves used, for HDPE and LDPE the best results were obtained with the 45 kHz ultrasonic waves, while for PP it was with the 22 kHz ultrasonic wave.
This can be explained by the plate characteristics produced with each type of matrix. For the plates produced with PP, which had problems obtaining a good polymer melting, a lower frequency was less affected by the discontinuous points of the plates. On the other hand, for HDPE and LDPE, a higher frequency was less affected by the relationship between cross-sectional dimensions and specimen length. (Bachtiar et al. 2017).
The stress wave velocity presented the lowest coefficient of determination and the highest estimated standard error for the three matrices. Han et al. (2006) presented MOE estimates as a function of stress wave velocity obtained using a Metriguard 239A system for wood panels in different conditions of humidity, obtaining coefficients of determination ranging from 0,35 (plywood panels) to 0,80 (OSB panels). Furthermore, Nzokou et al. (2006) concluded that the stress wave technique was ineffective in determining the MOE for PVC composites made with oak wood flour. However, the authors performed regression analyses to estimate the MOE as a function of wave velocity in specimens that were all made with the same type of composite. They suggest that further studies are needed on composites produced with a range of different materials. In this study, for ultrasound waves of 22 kHz and 45 kHz and for stress waves, we found significant correlations between different composites of the same matrix.
Najafi et al. (2008) reported that composite characteristics influenced the propagation velocity of ultrasound waves. This fact was confirmed herein for the composites produced with different matrices and with different types and proportions of wood flour. These characteristics also affected the strength and stiffness of the specimens, with a significant correlation found between these properties and the velocity of the three types of waves studied.
Figure 4 shows graphs of MOR as a function of density, MOE, wave velocities, and stiffness coefficients with the regression line for each group of composites of the same matrix. The regression coefficients are smaller than those obtained for the estimates of MOE but demonstrate that part of the variation of MOR can also be explained by the variation in these properties.

LDPE;
HDPE;
PP).
Figure 4 shows that for each matrix there is a relationship between MOR and MOE and this relationship is more significant than MOR as a function of density. The greatest variation in density among composites of the same matrix occurred for those produced with HDPE (Table 3), due to the existence of voids, as discussed above. These voids affected the specimen strength; therefore, for this matrix the relationship between density and MOR was higher.
For the PP matrix composites, we found less variation in density; however, there was variation in MOR due to the problems with polymer melting during pressing. For the LDPE matrix composites, we found little variation in MOR. Therefore, for these two matrices the relationship between MOR and density was low.
Several studies have demonstrated the relationship between the bending properties of wood panels and wave velocity, obtained using ultrasound, transverse vibration, or stress waves (Silva and Gonçalves 2007, Morales et al. 2007, Del Menezzi et al. 2007, Bobadilla et al. 2011). For the composites evaluated herein, we found that there is a relationship between the studied properties and wave velocity. However, for MOR there was a lower coefficient of determination (Table 7).
Considering the results obtained in this study and the results obtained for wood panels by others, estimates of composite stiffness (MOE), as obtained through velocity or the stiffness coefficient (C), presented the best conditions for analysis as a function of ultrasonic or stress wave velocity.
We can infer that wave velocity is a promising technique for estimating the modulus of elasticity and, to a lesser extent, the strength of WPC specimens. Nevertheless, evaluated specimens must be significantly different, for example, when they are produced with different materials or when subjected to weathering and environmental factors. In addition, the dimensions of the specimens must be considered in comparison with the frequency of waves used.

Conclusions
The specimens presented mechanical and acoustic properties that were mainly determined by the type of matrix used in the composite. The composites produced with polypropylene presented greater stiffness and higher values of wave velocity, followed by those made with high-density polyethylene and low-density polyethylene.
Increasing the proportion of wood flour and coconut shell flour increased the wave propagation velocity and the stiffness and strength of the specimens.
There was a significant correlation between bending strength and dynamic modulus of elasticity based on analyses with the three types of waves. We found that wave velocity is a promising technique to estimate mechanical properties (bending strength and modulus of elasticity) of WPC specimens, however, the wave frequency and its relationship to the cross-sectional dimensions of the specimen must be considered.
The best regression coefficients and lower standard errors for estimates of the modulus of elasticity were obtained as a function of the stiffness coefficient for polypropylene and high-density polyethylene matrix composites. For low-density polyethylene the wave velocity provided better results.
It is recommended that future studies test the use of higher frequencies to estimate the strength and stiffness of polymer-wood composites.
References:
Ahmed, S.A.; Adamopoulos, S.; Poggi, F.; Walther, T.; AB, I.I. 2020. Resonance and time-of-flight methods for evaluating the modulus of elasticity of particleboards at different humid conditions. Wood Research 65(3): 365-380. https://doi.org/10.37763/wr.1336-4561/65.3.365380
Baar, J.; Tippner, J.; Gryc, V. 2012. The influence of wood density on longitudinal wave velocity determined by the ultrasound method in comparison to the resonance longitudinal method. European Journal of Wood and Wood Products 70(5): 767-769. https://doi.org/10.1007/s00107-011-0550-2
Baar, J.; Tippner, J.; Rademacher, P. 2015. Prediction of mechanical properties-modulus of rupture and modulus of elasticity of five tropical species by nondestructive methods. Maderas. Ciencia y Tecnología 17(2): 239-252. http://dx.doi.org/10.4067/S0718-221X2015005000023
Bachtiar, E.V.; Sanabria, S.J.; Mittig, J.P.; Niemz, P. 2017. Moisture-dependent elastic characteristics of walnut and cherry wood by means of mechanical and ultrasonic test incorporating three different ultrasound data evaluation techniques. Wood Science and Technology 51(1): 47-67. https://doi.org/10.1007/s00226-016-0851-z
Bader, T.K.; Dastoorian, F.; Ebrahimi, G.; Unger, G.; Lahayne, O.; Hellmich, C.; Pichler, B. 2016. Combined ultrasonic-mechanical characterization of orthotropic elastic properties of an unrefined bagasse fiber-polypropylene composite. Composites Part B: Engineering 95: 96-104. https://doi.org/10.1016/j.compositesb.2016.03.070
Bobadilla, I.; Santirso, M.C.; Herrero, D.; Esteban. M.; Iñiguez Gonzalez, G. 2011. Non-destructive methods to estimate physical aging of plywood. In 17th International Nondestructive Testing and Evaluation of Wood Symposium. University of West Hungary, Sopron, Hungary. https://oa.upm.es/12494
Bobadilla, I.; Gonzalez, G.I.; Herrero, M.E.; Martitegui, F.A. 2012. Vibration Method for the Prediction of Aging Effect on Properties of Particleboard and Fiberboard. Forest Products Journal 62(1): 69-74. https://meridian.allenpress.com/fpj/article/62/1/69/136786/Vibration-Method-for-the-Prediction-of-Aging
BRASKEM. 2020. Poliolefinas - Tabelas de Propriedades. São Paulo: Braskem. Brazil. https://www.braskem.com.br/cms/Principal/Catalogo/Download?CodigoCatalogo=5
Bucur, V. 2006. Acoustics of Wood. 2nd ed. Springer-Verlag: Berlin Heidelberg. https://link.springer.com/book/10.1007/3-540-30594-7
Chemtura Corporation. 2006. Material Safety Data Sheet Polybond® 3009. https://www.b2bcomposites.com/msds/ted/73496.pdf
Chung, M.J.; Wang, S.Y. 2019. Physical and mechanical properties of composites made from bamboo and woody wastes in Taiwan. Journal of Wood Science 65(1): 1-10. https://doi.org/10.1186/s10086-019-1833-1
Dackermann, U.; Crews, K.; Kasal, B.; Li, J.; Riggio, M.; Rinn, F.; Tannert, T. 2014. In situ assessment of structural timber using stress-wave measurements. Materials and Structures 47(5): 787-803. https://doi.org/10.1617/s11527-013-0095-4
del Menezzi, C.H.S.; Tomaselli, I.; Souza, M.R. 2007. Avaliação não-destrutiva de painéis OSB modificados termicamente: parte 1- efeito do tratamento térmico sobre a velocidade de propagação de ondas de tensão. Scientia Forestalis 76: 67-75. https://repositorio.unb.br/handle/10482/10464
Dündar, T.; Divos, F. 2014. European Wood NDT & NDE Research and Practical Applications. Eurasian Journal of Forest Science 1(1): 35-43. https://doi.org/10.31195/ejejfs.70186
Fang, Y.; Lin, L.; Feng, H.; Lu, Z.; Emms, G.W. 2017. Review of the use of air-coupled ultrasonic technologies for nondestructive testing of wood and wood products. Computers and Electronics in Agriculture 137: 79-87. https://doi.org/10.1016/j.compag.2017.03.015
Güntekin, E.; Kaya, H. 2018. Moisture dependent elastic constants of particleboard layers by ultrasound and compression tests. Wood Research 63(6): 1059-1070. http://www.woodresearch.sk/wr/201806/13.pdf
Han, G.; Wu, Q.; Wang, X. 2006. Stress-wave velocity of wood-based panels: Effect of moisture, product type, and material direction. Forest Products Journal 56(1): 28-33. https://www.fs.usda.gov/treesearch/pubs/22992
Haseli, M.; Layeghi, M.; Hosseinabadi, H.Z. 2020. Evaluation of modulus of elasticity of date palm sandwich panels using ultrasonic wave velocity and experimental models. Measurement 149: e107016. https://doi.org/10.1016/j.measurement.2019.107016
Hilbers, U.; Thoemen, H.; Hasener, J.; Fruewald, A. 2012. Effects of panel density and particle type on the ultrasonic transmission through wood-based panels. Wood Science and Technology 46: 685-698. https://doi.org/10.1007/s00226-011-0436-9
Hillig, É.; Bobadilla, I.; Gonçalves, R.; Llana, D.F. 2018. The influence of wood polymer composite (WPC) specimen composition and dimensions on wave propagation. European Journal of Wood and Wood Products 76: 1153-1164. https://doi.org/10.1007/s00107-018-1309-9
Kasal, B.; Lear, G.; Tannert, T. 2010. Stress waves. In In situ assessment of structural timber . Kasal, B.; Tannert, T (eds) Springer: Dordrecht, Netherlands. https://doi.org/10.1007/978-94-007-0560-9_2
Legg, M.; Bradley, S. 2016. Measurement of stiffness of standing trees and felled logs using acoustics: A review. Journal of the Acoustical Society of America 139(2): 588-604. https://doi.org/10.1121/1.4940210
Maulana, S.; Gumelar, Y.; Fatrawana, A.; Maulana, M.I.; Hidayat, W.; Sumardi, I.; Wistara, N.J.; Lee, S.H.; Kim N.H.; Febrianto, F. 2019. Destructive and non-destructive tests of bamboo oriented strand board under various shelling ratios and resin contents. Journal of the Korean Wood Science and Technology 47(4): 519-532. https://doi.org/10.5658/WOOD.2019.47.4.519
Mendes, R.F.; Mendes, L.M.; Carvalho, A.G.; Guimarães Junior, J.B; Mesquita, R.G.A. 2012. Determination of the Elastic Modulus of Particleboard by Stress Wave Timer. Floresta e Ambiente 19(2): 117-122. http://dx.doi.org/10.4322/floram.2012.013
Morales, E.A.M.; Lahr, F.A.R.; Nascimento, M.F. 2007. Estudo da variação de velocidade através da espessura de painéis OSB utilizando ondas ultra-sônicas. Minerva4(1): 57-63. https://www.researchgate.net/publication/320474380
Najafi, S.K.; Ebrahimi, G.; Behjati, S. 2008. Nondestructive evaluation of wood plastic composites using ultrasonic technique. In 38th International Conference and NDT Exposition. Brno University of Technology, Brno, Czech Republic. https://www.ndt.net/article/defektoskopie2008/papers/87.pdf
Nazarchuk, Z.; Skalskyi, V.; Serhiyenko, O. 2017. Propagation of elastic waves in solids. In Acoustic Emission. Foundations of Engineering Mechanics . Springer, Cham. https://doi.org/10.1007/978-3-319-49350-3_2
Nesvijski, E.G. 2000. Some aspects of ultrasonic testing of composites. Composite Structures 48(1-3): 151-155. https://doi.org/10.1016/S0263-8223(99)00088-4
Nzokou, P.; Freed, J.; Kamdem, D.P. 2006. Relationship between non destructive and static modulus of elasticity of commercial wood plastic composites. Holz als Roh- und Werkstoff 64(1): 90-93. https://doi.org/10.1007/s00107-005-0080-x
Ozyhar, T.; Hering, S.; Sanabria, S.J.; Niemz, P. 2013. Determining moisture-dependent elastic characteristics of beech wood by means of ultrasonic waves. Wood Science and Technology 47(2): 329-341. https://doi.org/10.1007/s00226-012-0499-2
Senalik, A.C.; Schueneman, G.; Ross, R.J. 2014. Ultrasonic-based nondestructive evaluation methods for wood: a primer and historical review. General Technical Report, FPL-GTR-235. USDA Forest Service, Forest Products Laboratory: Madison, WI., USA. https://www.fpl.fs.usda.gov/documnts/fplgtr/fpl_gtr235.pdf
Silva, S.A.M.; Gonçalves, R. 2007. Evaluation of the density distribution in MDF’s using ultrasonic wave technique. Scientia Forestalis 74: 19-26. https://www.researchgate.net/publication/293356876
Taghiyari, H.R.; Taheri, A.; Omrani, P. 2017. Correlation between acoustic and physical-mechanical properties of insulating composite boards made from sunflower stalk and wood chips.European Journal of Wood and Wood Products 75(3): 409-418. https://doi.org/10.1007/s00107-016-1101-7
Tucker, B.J.; Bender, D.A.; Pollock, D.G.; Wolcott, M.P. 2003. Ultrasonic Plate Wave Evaluation of Natural Fiber Composite Panels. Wood and Fiber Science 35(2): 266-281. https://wfs.swst.org/index.php/wfs/article/view/306
Wang, Z.; Li, L.; Gong, M. 2012. Measurement of dynamic modulus of elasticity and damping ratio of wood-based composites using the cantilever beam vibration technique. Construction and Building Materials 28(1): 831-834. https://doi.org/10.1016/j.conbuildmat.2011.09.001
Author notes
♠Corresponding author: ehillig@unicentro.br