ARTÍCULO
Received: 30 March 2021
Accepted: 11 August 2023
DOI: https://doi.org/10.22320/s0718221x/2024.06
Abstract: Forestry companies have invested in genetic improvement to increase wood production in a shorter amount of time. Thus, studies are needed to compare the properties of clonal and seminal wood materials. The objective of this study was to analyze physical and mechanical properties of Tectona grandis (teca) from clonal (C1 and C2) and seminal (S) origin and evaluate the yield and quality of sawn wood subjected to outdoor and oven drying. Genetic material was collected from six, 15-year-old trees. Clone C2 presented the lowest amount of bark, and 51% heartwood up to half the commercial height, while the heartwood of C1 and S went up to 25% of the height. The three materials did not differ statistically for maximum angular deviation, pith eccentricity, basic density, Janka hardness, anisotropy, commercial income of sawn wood and the presence of knots. After the drying processes, the bowing and crooking indexes were less than 5 mm.m-1, however, the seminal material showed a higher cracking incidence after outdoor and oven drying. In conclusion, the wood properties of the three materials are similar. In addition, the oven drying process is recommended.
Keywords: Drying defects, genetic enhancement, mechanical properties, sawn wood, teak, wood drying.
Introduction
Teak (Tectona grandis L.), is one of the most valuable tropical woods in the world market due to its attractive characteristics such as unique coloring, design and brightness, in addition to high natural resistance (Kollert and Kleine 2017). In addition to these characteristics, teak wood is easy to cut and work with, so it is preferred for making furniture and carvings (Darmawan et al. 2021), boatbuilding, floors, doors, tubs, panels, among other noble uses (Arias and Monteuuis 2013).
The average prices of teak logs and blocks are 420.50 and 499 US$ per cubic meter, respectively (ITTO 2021). Since this wood is one of most expensive on the market, in addition to the natural teak forests in India, Laos, Myanmar and Thailand, the area used for teak plantations has been growing and occupies around 6,83 million hectares, with 80% in Asia, 10% in Africa and 6% in America (Kollert and Kleine 2017). In 2018, there were approximately 94,000 hectares of this species in Brazil, with a 30% increase in the last decade and 6.21% increase compared to 2017 (IBÁ 2019).
Short rotation plantations have the advantage of a shorter cycle, 15-20 years, lower proportion of branches and consequent knots in sawn wood, straight and cylindrical trunk (Martha et al. 2021). However, they have a high proportion of juvenile wood, which has shorter fibers with thinner walls and a larger microfibril angle (Martha et al. 2021). Short rotation wood has less heartwood and extractives but there are no significant differences compared to long rotation wood in swelling and mechanical properties (Rizanti et al. 2018), which indicates the need for care with outdoor use.
Up until a few years ago, most teak plantations in the world were planted using seedlings from seminal propagation (Oliveira 2003), which present disadvantages as restricted seed quantity per tree, low germination rates and considerable variability in important economic attributes between individuals (Monteuuis and Maître 2006). Therefore, heterogeneous stands form in terms of wood growth and properties (Raposo et al. 2010). Nonetheless, to reduce the cutting cycle time and obtain trees with higher volumetric development and suitable wood properties, especially for lumber mills, forest producers have invested in genetic breeding programs. Thus, using clones stands out with highly productive plantations in the same location, uniformity and high growth rates. As a result, the cutting cycles and production costs are reduced (Arias and Monteuuis 2013).
Since clonal material presents accelerated wood growth and production, it is important to analyze whether they present higher defect rates in their final products, e.g., warping and cracking. Therefore, it is necessary to study the behavior of clonal wood in different drying processes. Loiola et al. (2015) emphasized that the purpose of drying wood is to reduce the moisture content as soon as possible, avoiding defects that may interfere in the final use of wood. In addition, a homogeneous moisture content of wood is desirable for any final product, since the drying gradients are related to stresses and defects of the wood (Batista et al. 2016). Thus, the companies and researchers have been studying on drying kilns with more controlled atmospheric conditions to obtain high quality dried wood products.
Thus, to validate the genetic improvement for teak wood production and quality, studies focusing specifically on physical and mechanical properties and drying defects are needed. This is because, in addition to larger volumetric increments, clonal wood must have characteristics that are similar or superior to seminal wood, to be planted in new plantations and ensure that they can be used in products with greater value, e.g., furniture, floor, panels and boatbuilding.
Therefore, this work aimed to analyze the production of heartwood, sapwood and bark and evaluate the physical and mechanical properties of teak (Tectona grandis L.) wood from seminal and clonal origins, as well as to evaluate the quality of sawn wood subjected to outdoor and oven drying.
Material and methods
Material collection
In this study, we evaluated three different genetic materials: commercial clone (C1), test clone (C2) and seminal (S) from15-year-old teak (Tectona grandis L.) forest plantations. The three genetic materials were established at an initial spacing of 3 m x 3 m and thinning was done at four, six, and eight years. A total of five prunings were also made throughout the growth of the trees. The plantation belonged to teak Resources Company (TRC) located in Cáceres city, state of Mato Grosso (MT), Brazil (16°8'1,75" S and 58°31'1,77" W) with Tropical Savanna climate (Aw) (Köppen 1936) and soil classification We - Eutric Planosols (FAO 1992).
From each genetic material, six individuals were selected, totaling 18 trees. The diameter at breast height (DBH) of each of these trees was measured. After cutting, the total and commercial heights were measured, with the first bifurcation of the trunk considered for the latter. Wood sampling in each tree is shown in Figure 1.

Volumetric production and sawn wood yield
To calculate the commercial volume (Vc) of the trees, rigorous cubing was performed through the Smalian method. Subsequently, the logs were split with a Vantec band saw (1,10 m steering wheel, locked and repressed saw teeth, 7-inch x 1,2 mm saw and 65 HP motor, 48,5 kW), tangential model sawing, on 3 cm x 15 cm x 100 cm boards. The number of tables varied according to each type of genetic material and log. After sawing, boards were visually analyzed to verify the presence of bark and pith and to calculate the commercial yield, which is the relationship between the volume of boards (without bark and pith) from the log’s volume.
Wood properties
The discs were identified and photographed for image analysis to quantify the areas of heartwood, sapwood and bark and determine pith eccentricity with image J software, using 0.5 cm calibration. These regions were macroscopically defined by color change. Then, the percentages of heartwood, sapwood and bark were calculated in relation to the total disk area.
Pith eccentricity (PS) was calculated according to the methodology described by Lima et al. (2007). The main formula is
where PS: pith eccentricity (%); PD: pith displacement given by the distance between the geometric center and the actual pith position (cm); and md: mean disc diameter (cm). Being,
, where PD is pith displacement (cm); Rm is value of the greatest distance between the pith and the periphery of the disk (cm); and, R m is value of the average distance of the four perpendicular rays between the pith and the periphery of the disk (cm). The four rays are obtained with the equation,
where RM is value of the greatest distance between the pith and the periphery of the disk; Rm is value of the shortest distance between the pith and the periphery of the disk; Rp1 is value of the perpendicular ray 1 (cm); and, Rp2 is value of the perpendicular ray 2 (cm).
Subsequently, the discs were used to make the specimens, with the objective of evaluating the basic density and maximum angular deviation (MAD). For the MAD analysis, discs from the regions of 0% and 25% for the commercial height. From each of these discs, four specimens were made: two from the core region and two from the transition between heartwood and sapwood, with 5 cm x 5 cm x 5 cm dimensions, following to the radial division method proposed by Webb (1969) and adapted by Hernández and Almeida (2003). The classification for maximum angular deviation followed Limaye (1954).
The basic wood density of the wood was calculated using the ABNT NBR 11941 (2003). To analyze compressive strength parallel to fibers and Janka hardness, defect-free specimens (knots and cracks) with 5 cm x 5 cm x 15 cm dimensions were cut, while 5 cm x 5 cm x 6.5 cm specimens and 2 cm x 3 cm x 5 cm specimens were cut to measure shear and dimensional stability, respectively, thirty-six samples per treatment for each analysis, as determined by the ABNT NBR 7190 (1997). The anisotropy coefficient (or T/R shrinkage ratio) was determined by the ratio of tangential shrinkage and radial shrinkage.
Quality of sawn wood, dying processes and drying defects
On the boards, knots were measured according to the ABNT NBR 9487 (1986) and classified as small, medium and large according to Arruda (2013). The quality of the material from both drying processes were analyzed after 75 days - warping (bowing and crooking) and splitting according to the technical standard ABNT NBR 14806 (2002).
After, the boards were divided into two parts, with one dried in an oven, and the other dried outside. For the oven drying of the first batch of boards, a drying program lasting 200 hours (approximately eight days) was used. The maximum temperature was 60 °C and final wood moisture content of 8%, with temperature, air velocity and humidity all controlled, according to the company's drying protocol. For the outdoor drying of the other batch of boards, they were packed in a covered shed in Cuiabá, MT (-15,5594 latitude and -56,0628 longitude), at 240 m altitude and average temperature and relative humidity of 23 °C and 72%, respectively (Souza et al. 2016). This drying was conducted for 75 days, during May to July, when the wood reached the hygroscopic equilibrium moisture of 12%.
After both drying processes, the quality of the boards was analyzed - warping (bowing and crooking) and splitting according to the technical standard ABNT NBR 14806 (2002).
Statistical analysis
This study used a completely randomized design. Each genetic material was considered a treatment, with six replications (trees). The Shapiro-Wilk test was used for the analysis of the variables for the assumptions of normality of errors, at 5% significance. The homogeneities of the variances were determined by the Bartlett test, at 5% significance. When the F test of the variance analysis was significant, the means were compared by the Tukey test, at a level of 5%. Statistical analyses were performed with the R version 3.6.1 software.
Results and discussion
Volumetric production and sawn wood yield
There were no statistical differences (p < 0,05) for variables DBH, TH, CH, CVwb, and CY (Table 1).

The averages for the dendrometric variables (Table 1) were higher than those obtained by Blanco-Flórez et al. (2014), who evaluated 14-year-old seminal teak and verified average values of 0,204 m for DBH 12,49 m for total height and 0,160 m3/tree of bark volume. On the other hand, Benedetti (2018) also evaluated 14,4-year-old seminal teak and found average DBH of 0.28 m and average volume per tree of 0,5768 m3. Thus, the clonal materials analyzed presented better development.
Thulasidas and Baillères (2017) affirm that planting genetically improved materials with rapid growth, associated with short rotations in populations, will produce trees with larger diameters. These results (Table 1) agree with studies that have highlighted the superiority of clonal teak material in relation to seminal teak material. Oliveira et al. (2019) stated that clonal material produced 74,52% more volume than seminal material, while Medeiros et al. (2015) found that teak clones were 11% higher in height, 18% in DBH, 34% in basal area and 32% by volume. Such characteristics are interesting for the forestry sector as higher volumetric production of wood can lead to higher sawn wood production per tree, if there are not many defects.
The average commercial yield in sawn wood was close to 55%. The high value for teak wood yield is due to the sapwood, which is used to produce edge glued panels (EGP), sold mainly in the Brazilian market. When evaluating teak wood from different origins, Queiroz (2018) verified a commercial yield of 38,89% for 9-year-old trees from the same industry analyzed herein, which is lower than the yield obtained herein. The volume of sawn wood with pith and bark for C1, C2 and S materials was 23,37%, 24,78% and 26,55%, respectively. The seminal material showed higher percentages of pith and bark in boards, demonstrating better performance of clonal materials (Table 1). This is because pieces end up with smaller dimensions after secondary sawing to remove pith and bark.
Table 2 presents some works that have evaluated the pith, heartwood, sapwood, and bark of teak wood.

Wood properties
There were no significant differences (p < 0.05) among the three genetic materials for total percentage of heartwood and sapwood, which presented mean values of 46,16% and 39,53%, respectively. Figure 2 shows the average values of heartwood, sapwood and bark along the trunk of C1, C2 and S teak trees. Benedetti (2018) verified 47,99% heartwood in seminal teak at 14,4 years and Oliveira et al. (2019) found 15,24% higher heartwood production than that of seminal material when comparing seminal and clonal teak. Thus, the three materials had satisfactory heartwood development for about 15-year-old material, with values similar to those found in 30-year-old teak trees (maximum of 55% heartwood) (Pérez and Kanninen 2003).
The C1 material stood out in heartwood production along the trunk compared to the seminal material (Figure 2). However, the C2 material outperformed the other materials with about 51% heartwood in the longitudinal direction until halfway up the tree, while this percentage went up to 25% of the height for the other materials. The largest diameter associated with the largest percentage of heartwood is important for the lumber production sector, since this wood produces sawn wood with higher commercial value. Therefore, the larger the log diameter is, the more heartwood there is and, consequently, the higher the sawn heartwood yield is. The heartwood percentage is extremely important when determining sawn wood quality because the heartwood formation process changes the color of the wood and increases its natural durability (Blanco-Flórez et al. 2014).

The C2 material values were similar to those found by Blanco-Flórez et al. (2014), who evaluated 14-year-old seminal teak and found 51,44% heartwood in the first two logs of the trees. Thus, the values found for the three materials corroborate with Gonçalves et al. (2010), who demonstrated the importance of heartwood and its application in furniture manufacturing, civil construction and in lumber products, thus adding value to the final product.
The average percentage of sapwood from the three materials was lower than those found by Blanco-Flórez et al. (2014), who found 48,56% sapwood for 14-year-old seminal teak, and Benedetti (2018), who verified 43,52% sapwood in 14,4-year-old seminal teak. Lower amounts of sapwood in lumber products are more interesting for the lumber industry, as it has lower market value than heartwood. Therefore, it is essential to determine what by-products this material is going to be used e.g., production of solid wood panels or short pieces of sawn wood.
There were significant differences for the bark variable, in which the C2 material presented the lowest average value (10,72%), followed by S material with 15,32%, and C1 material with 16,38%. C2 material presented about 5% less bark than the C1 and S materials. In addition to C2 having greater volumes than C1 and S (Table 1), it produced the least bark, that is, less waste will be generated when planting, transporting and processing this wood.
Blanco-Flórez et al. (2014) obtained an average bark value of 16,92%, which is close to the C1 material. However, herein, the bark values for the three materials were lower than those found by Pérez and Kanninen (2003), who verified 20% bark for teak trees between 10 and 15 years of age.
Average values of pith eccentricity and maximum angular deviation of wood from materials C1, C2 and S are presented in Figure 3.

There were no statistical differences (p < 0,05) among the three materials for pith eccentricity, with an average value of 19,23%. Figure 3a shows that the clonal materials presented a coefficient of variation < 20%, while that of the seminal material was 33,51, attesting to the homogeneity of C1 and C2; an important result for the standardization of industry equipment for higher sawn wood productivity and yield.
C1, C2 and S materials presented average pith eccentricity values that were higher than those of the studies developed by Benedetti (2018) and Blanco-Flórez et al. (2014), being 5,35% and 9%, respectively. According to Boschetti et al. (2015), the higher the trunk inclination is, the greater the pith eccentricity is, due to how trees react to winds and the slope of the terrain and the species’ genetics, which is called reaction wood (Burger and Richter 1991). However, the region where C1, C2 and S were planted had a low slope. Thus, the high values of pith eccentricity are likely correlated to the characteristics of the genetic materials.
The average MAD values of the three genetic materials did not differ statistically, with an average value of 4,74° (Figure 3b). According to Limaye (1954)’s classification, the three genetic materials fall into the moderately intercrossed class (3,64º-5,44°). However, C2 is different from the other materials since the trunk bends on its own axis (Figure 3c), which characterizes a spiral grain. Coelho et al. (2015) verified an average MAD of 4,09° for teak, with standard deviation of 2,59°, which is lower than that found herein. However, all these values fall within the range from Limaye’s classification (1954). The MAD value affects the surface finish of the wood, since higher angulation of the fibers causes its surface to have "roughness" (Vidaurre et al. 2017); an aspect that is not suitable for teak wood because it is used to make noble products such as furniture. In addition, workability can be impaired, as drying and machining of wood can cause major defects such as cracking and warping.
Therefore, according to NBR 7190 (1997), the three materials presented satisfactory quality, as they fall within the angulation limit of fibers up to 6º. Anything above this angulation significantly interferes with the wood properties, because the inclination of cellular elements causes defects in wood, e.g., warping and decreased mechanical resistance, and causes cracks to form, which interferes in the finishing of sawn wood (Panshin and De Zeeuw 1980, Coelho et al. 2015).
Coelho et al. (2015) highlighted the importance of identifying the MAD of wood because it helps make decisions regarding sawing, re-sawing, drying, and finishing techniques. According to these authors, MAD is also important for the workability of wood for various uses, mainly civil construction, due to the correlation between grain type and dimensional stability and mechanical strength of the wood. C1, C2 and S materials present grain classification that is superior to commercially valued species, with MAD close to 15, and is considered a strongly intercrossed grain (Hernández and Almeida 2003).
The results of basic density, compressive strength parallel to fibers, Janka hardness and shear strength of C1, C2 and S materials are presented in Table 3.

The materials did not differ statistically (p < 0,05) for basic density and presented an average value of 520 kg·m-3. “Therefore, they are classified as moderate (range 500 kg·m-3 - 750 kg·m-3), according to the Csanády et al. (2015). The basic density found herein was close to that found for 15 year old teak planted in Minas Gerais by Motta (2011), and those obtained by Blanco-Flórez et al. (2014) and Benedetti (2018), who found basic densities of 540 kg·m-3, 520 kg·m-3, and 550 kg·m-3, respectively.
The mean values of compression strength parallel to the wood fibers of the three genetic materials differed statistically. S material was higher than C1 and C2 by 7,71% and 12,38%, respectively (Table 3). The mean values of compressive strength parallel to the fibers were close to those found by Zahabu et al. (2015), with 40,12 MPa for 14-year-old teak wood in Tanzania, and by Blanco-Flórez et al. (2014), with 46,58 MPa for 13-year-old teak. Additionally, it was higher than the value found by Benedetti (2018) (38,54 MPa), and lower than those obtained by Valero et al. (2005) (52,24 MPa) for 20-year-old seminal teak in Barinas, Venezuela, and Motta (2011) (54,23 MPa) for 15-year-old wood.
Nogueira (2007) affirmed that the grain inclination significantly interferes with the mechanical properties of wood at different magnitudes, which was verified herein with an inverse correction of 0,60 for these variables. The C2 material presented the highest grain angulation (5,25°) (Figure 3b), and the lowest compressive strength value parallel to the fibers (Table 3), while the seminal material presented the lowest grain inclination (4,42°) (Figure 3b), and higher compression strength parallel to the fibers (Table 3).
There were no significant differences (p < 0,05) between the three materials for Janka hardness, with an average value of 43,05 MPa. Thus, they were all classified as moderately soft, following FPL-0171(1973). The average Janka hardness of the three materials was similar to those found by Motta (2011) and Blanco-Flórez et al. (2014), being 48,15 MPa and 46,58 MPa, respectively. When comparing the mechanical properties of teak with those of other forest species, Benedetti (2018) found that young teak wood is not indicated for flooring production. Similarly, the three evaluated materials should be used for civil construction (doors and windows), panels and furniture, however, 15-years-old teak are not recommended for flooring. The low hardness of teak is related to workability and it is important for traditionally uses, i.e decorative portals (Arias and Monteuuis 2013), however, makes it not suitable for floors and decks.
The average shear strength of wood from the three genetic materials did not differ statistically and was 9,66 MPa. This value was close to that found by Zahabu et al. (2015) (8,7 MPa) and by Valero et al. (2005) (10,49 MPa). These authors consider this value low for shear strength. The values found herein were lower than those found by Benetti (2018) and Motta (2011), which were 16,41 MPa and 12,25 MPa, respectively.
The characteristic values of parallel to the grain compression strength (fc0,k) for C1, C2 and S materials were 45,76 MPa, 43,67 MPa and 49,12 MPa, respectively. They also presented average values for basic density and characteristic shear strength values of 520 kg·m-3 and 12,43 MPa, respectively. When considering these three variables, the three materials fall into the C20 class, according to ABNT NBR 7190 (1997). It should be pointed out that when considering only the value of fc0,k we could classify teak wood in the C40 class (fc0,k= 40 MPa) for hardwoods (ABNT NBR 7190 1997), but due to the basic density criterion, we have to classify it as C20 (basic density = 500 kg·m-3). For C40, in addition to fc0,k, the basic density should ≥ 750 kg·m-3. Valero et al. (2005) highlight the use of teak for carpentry purposes in general, such as lathing.
There were no statistical differences (p < 0,05) for anisotropy factor, volumetric shrinkage, tangential shrinkage and radial shrinkage, with average values of 2,07%; 6,62%; 4,21% and 2,09%, respectively. The mean values for anisotropy coefficient of teakwood range from 2,08 to 1,88; 1,17% to 1,89% for radial shrinkage, and 2,30% to 3,57% for tangential shrinkage, while the volumetric shrinkage is on the order of 3,57% to 6,07% (Blanco-Flórez et al. 2014, Lengowski et al. 2021).
The shrinkage found in the present work are close to those reported in the literature, but the tangential shrinkage and volumetric shrinkage are higher. According to the anisotropy factor classification, Nock et al. (1975), teak wood is classified as normal (1,5-2,0), thus, it can be used for furniture manufacturing and other uses that allow small warping.
Teak wood is classified as resistance class 20 (ABNT NBR 7190), thus, Queiroz (2018) suggested using it in the light construction sector, as well as for decorative pieces, sheets, panels, laminated plywood and framed plywood. This wood can also be used to manufacture frames, doors, or as slats, baseboards, boards and to manufacture fine furniture.
Quality of sawnwood and drying defects
Table 4 shows the percentage of boards with and without knots along with knot classification according to Arruda (2013).

There were no statistical differences (p < 0,05) between the three materials regarding the presence of living knots. However, the clonal materials presented knot incidences above 60% in the boards, while the seminal material presented almost 50%. The C2 material showed a higher incidence of knots concentrated in the medium and large size classes, while C1 presented the lowest number of knots in the large class and the seminal material in the small class. Although the C2 material presented a higher number of knots in the middle class, their maximum diameter was 2 cm.
With knot development, there is greater inclination of the grain angle around it, which results in a striking design with decorative value that is determined by the individual preference of the final user (Wiedenhoeft 2010). However, the presence of a knot changes the direction of wood fibers, and thus, most mechanical properties are lower in these regions (Kretschmann 2010).
There were no statistical differences between the three genetic materials for knots diameter, with an average of 3.24 cm, and are classified as medium diameter knots according to Arruda (2013). According to the IBDF (1984), the three materials would fit into the first quality class, because the sum of the diameters of each genetic material is less than one tenth of the length of the board. Forestry practices, such as pruning and thinning, are recommended to reduce the incidence and diameter of knots, which can increase the yield and classification of wood, since better quality logs result in higher wood yield rates (Tze 1999).
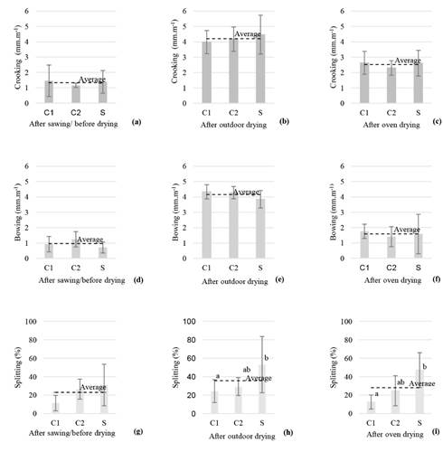
There were no statistical differences (p< 0,05) between the three genetic materials for bowing, crooking and splitting after the sawing process, with averages of 1,33 mm·m-¹, 0,96 mm·m-¹ and 22,89%, respectively (Figure 4).

However, there was a higher incidence of splitting the boards from seminal material, in addition to high variation of the material (Figure 4g, Figure 4h and Figure 4i). This makes it difficult to use the entire piece of wood, consequently, generates damages for forest producers.
Defects were greater after drying (Figure 4), when compared to defects after sawing. There were no significant differences (p < 0,05) for warping between the three materials in outdoor drying, and the average crooking and bowing were 4.20 mm·m-1 and 4.04 mm·m-1, respectively.
There was also no significant statistical effect (p < 0,05) between the three materials for oven drying, both for crooking and for bowing, and the mean values were 2,51 mm·m-1 and 1,58 mm·m-1, respectively. When evaluating the drying process of 20-year-old teak (Tectona grandis L.) in a conventional camera Loiola et al. (2015) obtained an average value of 0.40 mm·m-1 for crooking and 0,30 mm·m-1 for bowing, which are lower than the values found herein.
Figure 4 shows that the average values of the bowing index were higher than those of crooking both in outdoor drying and in oven drying. This same result was found by Berrocal et al. (2017), who evaluated different drying programs for 11-year-old teak and verified that the wood presented a higher bowing than crooking. Arruda (2013) states that bowing can be minimized by adding weight to the wood pile.
According to the NBR 14806 (2002), there is a quality class tolerance for the bowing and crooking in hardwood of up to 5 mm·m-1. Hence, the crooking index was 16% lower than the stipulated limit for outdoor drying, while bowing was 19,2% lower. On the other hand, oven drying showed a better response because the average crooking and bowing values were 49,8% and 68,45%, respectively, which is below the established limit.
According to the IBDF (1984), regarding the aspect of bowing and crooking, the boards of the three genetic materials fall into the first class since all presented values below 5 mm·m-1. However, woods that were dried in the oven had a lower incidence of bowing and crooking defects. Therefore, the oven drying process is advantageous as it presents fewer defects and shorter drying time, demonstrating that the drying program used by the company is effective for the teak species.
This result contradicts Betancur et al. (2000), who evaluated different drying processes in teak wood and obtained better results in the outdoor drying process, with final dry material presenting fewer defects. Nonetheless, regardless of the genetic material, all the boards submitted to the drying processes herein are suitable for manufacturing and commercialization.
After the artificial drying process 25% of the samples did not present any kind of defect, and for crooking, bowing and splitting were 3,95%, 18,42% and 2,63%, respectively. While in the air drying process, only 11,43% did not have splitting, that is, they had the development of warping. Trujillo et al. (2021) evaluating the artificial drying of teak boards obtained from 33 year-old trees, observed that 61 % of the evaluated boards showed no deformation, however, among those that suffered deformation, only 3,5% were rejected, that is, they had indexes above the acceptable by the standard, resulting in a percentage of 96,5% of boards accepted for commercialization after drying.
There was a significant effect (p > 0,05) of the materials for splitting, and the seminal material presented higher values for both outdoor drying and oven drying. For all materials, the outdoor drying process had the highest incidence of splitting, demonstrating that the oven drying process met the drying requirements with lower defect index, even with higher temperature and air circulation.
When evaluating different drying processes in teak, Berrocal et al. (2017) obtained a splitting index between 10% and 35%. The C1 boards submitted to the oven drying process presented a value close to 10%, while those from seminal material presented average values higher than 40%, and those from C2 material presented intermediate behavior in relation to the other materials, in both drying processes.
The greatest variation in drying type occurred with C1 material, with a difference of 48,46%. Yet, C1 presented the lowest percentage of splitting of all three materials. The C2 and S materials showed variation between the drying processes of 15,51% and 11,13%, respectively. According to the IBDF classification (1984), C1 material would fit into the fourth class, due to its splitting value of < 20%. The other materials did not fit any classification, as they presented values > 20%. However, it was the most significant defect in the wood from the three genetic materials.
Conclusions
The wood properties of the three genetic materials (two clones and one seminal) are similar, but C2 showed higher volumetric production of heartwood in the basal region of the tree, above 50% heartwood until half of the commercial height.
The three materials did not differ significantly (p<0,05) for maximum angular deviation and basic density. They were classified with moderately intercrossed grain and presented an average basic density of 520 kg·m-³.
The seminal material was superior to materials C1 and C2 for fiber parallel compressive strength, however the three materials did not differ for Janka hardness and shear strength. The wood from the genetic materials evaluated can be intended for decorative purposes, furniture manufacturing, and the light civil construction sector.
The incidence of knots did not differ among the genetic materials and was higher than 50%, but with knots of medium diameter (3,24 cm). Compared to seminal material, the clonal materials presented higher yields of sawn wood and lower incidences of defects, mainly for splitting, despite lower mechanical strength, demonstrating the sawn wood with the best quality.
The oven drying process is recommended, as it proved to be more efficient and generated the lowest defect rates.
Acknowledgments
We would like to thank the Coordination of Superior Level Staff Improvement-CAPES for the scholarship; the Teak Resources Company-TRC for donating the material and funding the project; and the UFMT Wood Technology Laboratory for the infrastructure and scientific support.
References
Arias L.A.U.; Monteuuis, O. 2013. Teak: new trends in silviculture, commercialization and wood utilization. International Forestry and Agroforestry (INFOA): Costa Rica.
Arruda, T.P.M.De. 2013. Drying juvenile wood of Tectona grandis L.f. Ph.D. Thesis, Federal University of Lavras. Lavras-MG, Brazil. http://repositorio.ufla.br/jspui/bitstream/1/2457/1/TESE_Secagem%20da%20madeira%20juvenil%20de%20Tectona%20grandis%20L.F..pdf
Batista, D.C.; Oliveira, J.T.S.; Pizetta, R.P.; Lube, V.M. 2016. Quality assessment of Air-dried Teakwood boards using moisture content gradients. Floresta e Ambiente 24: e00066613. http://dx.doi.org/10.1590/2179-8087.066613
Benedetti, V. 2018. Characterization of teak wood planted at different ages and regions for flooring production. MSc. Dissertation, Agriculture School “Luiz de Queiroz” -USP. Piracicaba- SP, Brazil. https://teses.usp.br/teses/disponiveis/11/11150/tde-20032019-121422/pt-br.php
Berrocal, A.; Moya, R.; Rodríguez-Solis, A.M.; Muñoz, F. 2017. Drying of plantation-grown Tectona grandis wood with daily-controlled drying rate schedules. Journal of Tropical Forest Science 29 (1): 69-79. https://www.jstor.org/stable/44028276
Betancur, S.C.A.; Herrera, B.J.F.; Mejía, M.L.C. 2000. Study of the physical and mechanical properties, workability and drying of teak (Tectona grandis L.f) from Puerto Libertador (Córdoba). Revista - Facultad Nacional de Agronomía Medellín 53 (1): 913-939.
Blanco-Flórez, J.; Trugilho, P.F.; Lima, J.T.; Gherardi-Hein, P.R.; Silva, J.R.M.DA. 2014 Characterization of the young wood of Tectona grandis L. f. planted in Brazil. Madera y Bosques 20(1): 11-20. https://www.scielo.org.mx/pdf/mb/v20n1/v20n1a2.pdf
Boschetti, W.T.N.; Paes, J.B.; da Silva-Oliveira, J.T.; Dudecki, L. 2015. Anatomical characteristics for cellulose production of reaction wood from inclined Eucalyptus trees. Pesquisa Agropecuária Brasileira 50 (6): 459-467. https://doi.org/10.1590/S0100-204X2015000600004
Burger, L.M.; Richter, H.G. 1991. Anatomy of wood. São Paulo: Nobel.
Coelho, J.C.F.; Firmino A.V.; Silva, J.G.M.Da.; Vidaurre, G.B.; Medeiros Neto, P.N.De; Soranso, D.R. 2015. Characterization of the wood grain of six forest species. In II Congresso Brasileiro de Ciência e Tecnologia da Madeira. Belo Horizonte.
Csanády, E.; Magoss, E.; Tolvaj, L. 2015. Quality of machined wood surfaces. Cham: Springer. https://link.springer.com/content/pdf/10.1007/978-3-319-22419-0.pdf
Darmawan, E.; Novantara, P.; Suwarto, G.P.; Andriyat, R.; Nurhayati, Y. 2021. The implementation of k-means algorithm to determine the quality of teak wood in image based on the texture. Journal of Physics: Conference Series 1933: e012003. https://doi.org/10.1088/1742-6596/1933/1/012003
FPL. 1973. Standard terms for describing wood. University of Wisconsin, FPL-0171.
FAO. 1992. Soil Map of the World. Rome: FAO/UNESCO. http://www.fao.org/soils-portal/data-hub/soil-maps-and-databases/faounesco-soil-map-of-the-world/en/
Gonçalves, F.G.; Oliveira, J.T.D.S.; Silva, G.F.D.; Nappo, M.E.; Tomazelo Filho, M. 2010. Dendrometric parameters and correlations with technological properties in a clonal hybrid of Eucalyptus urophylla x Eucalyptus grandis. Revista Árvore 34: 947-959. https://www.scielo.br/j/rarv/a/WpcmF3zXNCLZwSKLJ5fbLTy/
Hernández, R.E.; Almeida, G. 2003. Effects of density and interlocked grain on shear strength. Wood and Fiber Science 35(2): 154-166. https://wfs.swst.org/index.php/wfs/article/view/688
IBÁ. 2019. Indústria brasileira de árvores - Relatório 2019. https://www.iba.org/datafiles/publicacoes/relatorios/relatorioiba2019-final.pdf
IBDF.1984. Standard for classification of hardwood lumber. Brasília-DF, Brazil.
ITTO. 2021. Tropical Timber Market Report 23. https://www.itto.int/files/user/mis/MIS_1-15_July2021.pdf
Kollert, W.; Kleine, M. 2017. The Global Teak Study. Analysis, Evaluation and Future Potential of Teak Resources. Viena: IUFRO. https://www.iufro.org/uploads/media/ws36.pdf.
Köppen, W. 1936. Das geographische System der Klimate. Köppen, W.; Geiger, R. (Eds). In Handbuch der Klimatologie. Gebrüder Bornträger: Berlin 1: 1-44.
Kretschmann, D.E. 2010. Mechanical Properties of Wood. In Wood handbook-Wood as an engineering material. General Technical Report FPL-GTR-190. Madison, WI: U.S. Department of Agriculture, Forest Service, Forest Products Laboratory. pp. 5-1 a 5-44.
Lengowski, E.C.; Bonfatti-Júnior, E.A.; Nisgoski, S.; Muñiz, G.I.B. de.; Klock, U. 2021. Properties of thermally modified teakwood. Maderas. Ciencia y Tecnologia 23(1): 1-16. http://dx.doi.org/10.4067/s0718-221x2021000100410
Lima, I.L.D.; Garcia, J.N.; Stape, J.L. 2007. Influence of thinning and fertilization on the displacement of bone marrow and log end cracks of Eucalyptus grandis Hill ex-Maiden. Cerne 13(2): 170-177. https://www.redalyc.org/pdf/744/74413206.pdf
Limaye, V.D. 1954. Interlocking of grain in Indian timbers. Indian Forester80: 6-9. https://www.indianforester.co.in/index.php/indianforester/article/view/23645
Loiola, P.L.; Juízo, C.G.F.; Marchesan, R.; Klitzke, R.J.; Rocha, M.P.DA. 2015. Drying of Wood from Mimosa scabrella, Eucalyptus dunnii and Tectona grandis in Solar Kiln, in South Brazil. Australian Journal of Basic and Applied Sciences 9: 445-453.
Martha, R.; Mubarok, M.; Batubara, I.; Rahayu, I.S.; Setiono, L.; Darmawan, W.; Akong, F.O.; George, B.; Gerardin, C.; Gerardin, P. 2021. Effect of furfurylation treatment on technological properties of short rotation teak wood. Journal of Materials Research and Technology 12: 1689-1699. https://doi.org/10.1016/j.jmrt.2021.03.092
Medeiros, R.A.; Paiva, H.N.; Leite, H.G.; Oliveira Neto, S.N.; Vendrúscolo, D.G.S.; Silva, F.T. 2015. Silvicultural and economic analysis of clonal and seminal plantations of Tectona grandis L.f. in Taungya system. Revista Árvore 39: 893-903. https://doi.org/10.1590/0100-67622015000500012
Motta, J.P. 2011. Technological properties of Tectona grandis L.f. from the Doce River Valley, Minas Gerais. MSc. Dissertation, Federal University of Espírito Santo. Brazil. http://repositorio.ufes.br/bitstream/10/5826/1/JavanPereiraMotta-2011-trabalho.pdf
Monteuuis, O.; Maître, H.F. 2006. Advances in teak cloning: New developments in teak cloning lead to better plantation stock. Tropical Forest Update 17(3): 13-15. https://agritrop.cirad.fr/543129/1/543129.pdf
Nock, H.P.; Richter, H.G.; Burger, L.M. 1975. Wood technology. Curitiba. Brazil: UFPR.
Nogueira, M. 2007. Classification of sawn wood pieces with structural dimensions of Eucalyptus sp. using non-destructive tests. PhD. Thesis, Paulista State University. Brazil. https://repositorio.unesp.br/bitstream/handle/11449/101798/nogueira_m_dr_botfca.pdf?sequence=1&isAllowed=y
Oliveira, A. C.; Pereira, B. L. C.; Silva, M.; Santos, L.; Madi, J. P. S. 2019. Influence of the propagation method on the production and quality of Tectona grandis wood. Advances in Forestry Science 6: 761-765.
Oliveira, J.R.V. 2003. System for calculating nutritional balance and recommending liming and fertilizing teak stands - Nutriteca. PhD. Thesis - Federal University of Viçosa. Brazil. https://www.locus.ufv.br/bitstream/123456789/10818/1/texto%20completo.pdf
Panshin, A.J.; De Zeeuw, C. 1980. Textbook of wood technology: structure, identification, properties and uses of the commercial woods of the United States and Canada. 4. ed. New York: McGraw-Hill, 722p.
Pérez, L.D.; Kanninem, M. 2003. Heartwood, sapwood and bark content, and wood dry density of young and mature teak (Tectona grandis) trees grown in Costa Rica. Silva Fennica 37(1): 45-54. https://pdfs.semanticscholar.org/5a7e/9c61cbc6aedf6345ed640a237ad8ed4314ba.pdf
Queiroz, F.L.C. 2018. Wood quality of Tectona grandis L.f. of different origins for use in the forest products industry. PhD. Thesis, University of Brasilia. Brazil. https://repositorio.unb.br/bitstream/10482/32728/3/2018_FrancisL%c3%advioCorr%c3%aaaQueiroz.pdf
R Core Team. 2018. R: A language and environment for statistical computing. R Foundation for Statistical Computing: Vienna, Austria. https://www.R-project.org/.
Rahmawati, R.B.; Widiyatno, W.; Hardiwinoto, S.; Budiadi, B.; Nugroho, W.D.; Wibowo, A.; Rodiana, D. 2022. Effect of spacing on growth, carbon sequestration, and wood quality of 8-year-old clonal teak plantation for sustainable forest teak management in Java Monsoon Forest, Indonesia. Biodiversitas Journal of Biological Diversity 23: 4180-4188. https://doi.org/10.13057/biodiv/d230840
Raposo, A.; Fermino Junior, P.C.P.; Teixeira, R.B.; Pereira, J.E.S. 2010. Production of micropropagation teak seedlings. Circular Técnica 56: 01-08. Rio Branco: Embrapa. https://www.infoteca.cnptia.embrapa.br/bitstream/doc/872550/1/Circulartec.56.pdf
Rizanti, D.E.; Darmawan, W.; George, B.; Merlin, A.; Dumarcay, S.; Chapuis, H.; Gérardin, C.; Gelhaye, E.; Raharivelomanana, P.; Sari, R.K.; Syafii, W.; Mohamed, R.; Gerardin, P. 2018. Comparison of teak wood properties according to forest management: short versus long rotation. Annals of Forest Science 75: e39. https://doi.org/10.1007/s13595-018-0716-8
Souza, A.P.; Stangerlin, D.M.; Melo, R.R.DE.; Uliana, E.M. 2016. Seasonal humidity of wood balance for the State of Mato Grosso. Pesquisa Florestal Brasileira 36 (88): 423-433. https://doi.org/10.4336/2016.pfb.36.88.811
Tze, W.T.Y. 1999. Recovery and quality of lumber from mature teak (Tectona grandis) planted in Sabah, Malaysia. Journal of Tropical Forest Products 5: 115-123.
Thulasidas, P.K.; Baillères, H. 2017. Wood Quality for Advanced Uses of Teak from Natural and Planted Forests. IUFRO World Series 36(2017): 73-81. https://www.researchgate.net/publication/318419068_Wood_quality_for_advanced_uses_of_teak_from_natural_and_planted_forests
Trujillo, F.T.; Klitzke, R.J.; Rocha, M.P.Da; Mora, H.E.G.; Segura, C.E.C. 2021. The effect of air velocity on the characteristics produced by conventional drying of Tectona grandis L.f. wood. Floresta 51(4):1019-1028. https://doi.org/10.5380/rf.v51i4.75863
Valero, S.W.; Reyes, C.E.C.; Garay, J.D.A. 2005. Study of the physical-mechanical properties of the 20-year-old Tectona grandis species from the plantations of the experimental unit of the Ticoporo forest reserve, Barinas state. Revista Forestal Venezolana 49(1): 61-73. http://www.saber.ula.ve/bitstream/handle/123456789/24409/articulo7.pdf?sequence=2&isAllowed=y
Vidaurre, G.B.; Silva, J.G.L.M. Da; Castro, M.De; Coelho, J.C.F.; Brito, A.S.; Moulin, J.C. 2017. Relationship of grain to some growth variables and properties of Khaya ivorensis wood. Scientia Forestalis 45 (114): 249-259. https://www.ipef.br/PUBLICACOES/scientia/nr114/cap02.pdf
Webb, C.D. 1969. Variation of interlocked grain in Sweetgum (Liquidambar styracifula). Forest Products Journal 19: 8.
Wiedenhoeft, A. 2010. Structure and Function of Wood. In.: Wood handbook-Wood as an engineering material. General Technical Report FPL-GTR-190. Madison, WI: U.S. Department of Agriculture, Forest Service, Forest Products Laboratory . pp. 3-1 a 3-18.
Zahabu, E.; Raphael, T.; Chamshama, S.A.O.; Iddi, S.; Malimbwi, E. 2015. Effect of spacing regimes on growth, yield, and, wood properties of Tectona grandis at Longuza Forest Plantation, Tanzania. International Journal of Forestry Research 2015: e469760. https://doi.org/10.1155/2015/469760
Author notes
♠Corresponding author: theoniziangelica@yahoo.com.br