Contribución proteica de animales silvestres y domésticos a los menús de los contextos rurales, periurbanos y urbanos de varias regiones de Colombia
Protein contribution of wild and domestic animals in rural, peri-urban and urban diets in different regions of Colombia
Contribución proteica de animales silvestres y domésticos a los menús de los contextos rurales, periurbanos y urbanos de varias regiones de Colombia
Biota Colombiana, vol. 17, núm. 1, pp. 26-43, 2016
Instituto de Investigación de Recursos Biológicos "Alexander von Humboldt"

Recepción: 28 Octubre 2016
Aprobación: 12 Julio 2016
Resumen: El presente estudio busca generar información acerca de la importancia del consumo de carne de monte con respecto a otras fuentes de proteína animal silvestre (pescado), doméstica o industrial, en cuatro regiones de Colombia, desde lo rural hacia lo urbano. Para llevar a cabo este estudio se analizaron los datos del consumo de proteínas animales de 1808 estudiantes en 23 colegios rurales, peri-urbanos y urbanos. En las regiones urbanas y peri-urbanas, las proteínas animales más consumidas son de origen doméstico o industrial (pollo industrial, huevo industrial y carne de res), mientras que en las regiones rurales el pescado ocupa el primer lugar. La carne de monte fue consumida por el 8 % de los niños en zonas rurales, el 3 % de los niños en zonas peri-urbanas y el 2 % de los niños en zonas urbanas. Grandes diferencias regionales fueron observadas en la región Pacífica, donde la carne de monte fue la más consumida. Este estudio demuestra que la transición nutricional de lo rural a lo urbano, se caracteriza por la sustitución del consumo de proteínas silvestres (pescado y carne de monte), hacia el consumo de proteínas domésticas e industriales, acompañado a su vez por una pérdida considerable en la diversidad de sus dietas.
Palabras clave: Carne de monte, Gradiente de urbanismo, Nutrición, Proteínas silvestres, Seguridad alimentaria.
Abstract: The present study aims to generate information about the importance of eating bushmeat over other sources of animal protein - wild (fish), domestic or industrial- in four regions of Colombia, from the rural to the urban. The data of animal protein consumption of 1808 students in 23 rural, urban and peri-urban schools were analyzed. In urban and peri-urban areas, the most consumed animal proteins result from domestic or industrial (industrial chicken industrial egg and beef) origin, while in rural areas the fish ranks first. Bushmeat was consumed by 8 % of children in rural areas, 3 % of children in peri-urban areas and 2 % of children in urban areas. Large regional differences were observed in the Pacific region where bushmeat was most consumed. Our study shows that nutritional transition from rural to urban is characterized by the replacement of the wild protein consumption (fish and bushmeat), by domestic and industrial protein consumption, together with considerable loss of dietary diversity.
Keywords: Bushmeat, Food security, Nutrition, Urbanism gradient, Wild proteins.
Introducción
Millones de personas alrededor del mundo dependen de los alimentos provenientes de los bosques como fuente de nutrición y aporte para su seguridad alimentaria (FAO 2013). Se estima que en 62 países el consumo de proteínas silvestres (carne de monte y pescado) por parte de las comunidades rurales, representa al menos el 20 % del total de la proteína animal consumida (FAO 2011). Entre cinco y ocho millones de personas en Suramérica consumen regularmente carne de monte como fuente de proteína, constituyendo hasta el 37 % del total de la proteína animal de sus dietas (Rushton et al. 2005, Ferrer et al. 2010). Diferentes estudios del consumo proteico rural “demuestran la importancia de la carne de monte en la alimentación de las comunidades y sus medios de vida, siendo la cacería y la pesca las fuentes más frecuentes de proteína en sus dietas” y a su vez uno de los productos más representativos de sus dinámicas económicas locales (Milner-Gulland et al. 2003, citado en Restrepo 2012). Igualmente, la carne de monte no sólo contribuye directamente como recurso alimenticio, sino que también genera ingresos y favorece el bienestar físico, espiritual y cultural de las comunidades (Carpineti y Fa 2012).
En las últimas décadas, los efectos de la globalización y la urbanización en zonas de bosques tropicales han influido directamente en el suministro de alimentos, modificando los hábitos alimenticios y estilos de vida de las poblaciones ancestrales del mundo (Bermudez y Tucker 2003). Sin embargo, hay aún poco conocimiento sobre el impacto de la urbanización sobre el consumo de carne de monte. En África Central, Chardonnet (1995) reportó que las poblaciones urbanas de Gabón, República Democrática de Congo y República de África Central, consumen en promedio 4,7 kg/persona/año de carne de monte. Aunque estos datos requieren actualización, los autores demuestran que las ciudades siguen contribuyendo de forma significativa a la demanda global de carne de monte a medida que la población se urbaniza. En Madagascar, Jenkins et al. (2011) encontraron que las frecuencias de consumo de pescado y carne de monte eran significativamente más altas en medios urbanos que en medios rurales, en donde la mayoría de los niños no consumen ninguna fuente de proteína. Al contrario, en América Latina, Rushton et al. (2005) sugieren que el consumo de carne de monte tiende a desaparecer con el proceso de urbanización y la disponibilidad de fuentes de proteínas alternativas. van Vliet et al. (2015) demostraron que en la zona tri-fronteriza amazónica, el pollo industrial y los alimentos procesados están remplazando el uso de la carne de monte y el pescado. En el Amazonas brasileño, Silva y Begossi (2009), también reportan un consumo más bajo de proteínas de origen silvestre (carne de monte y pescado) en zonas urbanas, en comparación con las zonas rurales. Sin embargo, un estudio a escala regional en la Amazonia brasileña demuestra que la urbanización podría ser una amenaza para la biodiversidad, si las ciudades crecientes perpetúan una demanda de carne de monte para su alimentación (Parry et al. 2015).
Es en este contexto de transiciones nutricionales relacionadas de diferentes formas con el gradiente rural-urbano, que tiene lugar el objetivo de este estudio: evidenciar el consumo de carne de monte en el gradiente rural, peri-urbano y urbano, en comparación con otras fuentes de proteínas animales silvestres (pescado), domésticas o industriales, a partir de encuestas realizadas en escuelas de cuatro regiones biogeográficas de Colombia (Orinoquia, Pacífica, Caribe y Amazónica), partiendo de las siguientes preguntas: 1) ¿cuál es la importancia relativa del consumo de carne de monte versus otras fuentes de proteínas en las mayores regiones boscosas del país?; 2) ¿existen diferencias significativas en la ocurrencia del consumo de carne de monte entre zonas rurales, peri-urbanas y urbanas? y 3) ¿existen diferencias en la diversidad de dietas entre las zonas rurales, peri-urbanas y urbanas?
Material y métodos
En Suramérica, Colombia es uno de los países con procesos de urbanización más rápidos, con una tasa de urbanización de 1,66 % entre 2000-2015 (CIA 2015). Al mismo tiempo, el país está listado dentro de los países mega-diversos, con casi un 10 % de la biodiversidad del planeta (Carrizosa-Umaña 2014). En Colombia el 53 % del territorio continental sigue cubierto por bosques naturales (Ideam et al. 2007). La biodiversidad de Colombia no solo es importante para la preservación de especies únicas, sino también para garantizar las condiciones básicas para mejorar el bienestar humano, la equidad social y el desarrollo económico. En este contexto, aún es insuficiente la documentación respecto a la importancia que sigue teniendo la carne de monte en las dietas desde lo rural hacia lo urbano. Por lo anterior se eligió realizar el muestreo en distintas regiones biogeográficas de Colombia, para cubrir las diversas condiciones climatológicas, hidrológicas, edafológicas, biológicas y antrópicas particulares, que las constituyen en macro-unidades ecológicas o ecorregiones (FAO 2002). Este estudio cubrió cuatro de las seis regiones biogeográficas, dos de las tres macro unidades ecológicas (bosque tropical seco y bosque tropical húmedo) y cinco sistemas ambientales territoriales dentro de los 19 descritos en Colombia por FAO (2002) y Carrizosa-Umaña (2014).
La metodología se basó en encuestas llevadas a cabo en colegios, utilizando el método “Recordatorio 24 horas”, en donde el entrevistado documenta lo consumido (en este caso el consumo proteico), en las 24 horas anteriores a la encuesta. Este método es particularmente adecuado para las evaluaciones rápidas y puede realizarse simultáneamente a numerosos usuarios; requiere menos recursos financieros y humanos que las entrevistas en los hogares y tiene el potencial de ser utilizado para monitorear el consumo a lo largo del tiempo (van Vliet et al. 2012, van Vliet et al. 2014, citado en van Vliet et al. 2015). El estudio se llevó a cabo en 12 sitios (Tabla 1), elegidos teniendo en cuenta la existencia de colegios urbanos, peri-urbanos y rurales que tuvieran cursos de sexto a undécimo grado.
Para la definición de la tipología de los colegios, se utilizó el Sistema de Información Nacional de Educación Básica y Media (Sineb) que permite consultar en línea la información de los establecimientos educativos del país, tanto del sector oficial como del sector no oficial. Inicialmente se siguió la clasificación del Ministerio de Educación Nacional que define los colegios urbanos como aquellas instituciones o centros educativos que se encuentran ubicados en los límites urbanos definidos en el plan de ordenamiento territorial de la región, y a los colegios rurales como las instituciones educativas que se encuentran ubicadas fuera de los límites urbanos definidos en el plan de ordenamiento territorial (http://www.mineducacion.gov.co/1621/articles-163151_archivo_doc2.doc). Para la definición de los colegios peri-urbanos se eligieron zonas de transición, en donde sus habitantes poseen medios de vida que combinan características urbanas y rurales, regiones con una dinámica en las que coexisten características y usos del suelo tanto urbanos como rurales, generalmente con una estrecha relación a un núcleo urbano cercano (Ferraro y Zulaica 2011).
Para realizar las encuestas en colegios urbanos se eligieron ciudades con más de 15.000 habitantes, mientras que para realizar las encuestas en los colegios rurales se eligieron sitios de estudios con menos de 4.000 habitantes. Para los colegios peri-urbanos se buscaron los barrios intermedios entre el gradiente rural y urbano (Figura 1). Los sitios de estudio elegidos fueron Inírida (17.866 hab.) y el resguardo El Paujil en la región de la Orinoquia; Fundación (49.856 hab.), Aracataca (35.520 hab.) y Santa Rosa de Lima en la región Caribe; Leticia (23.811 hab.), cabecera municipal de Puerto Nariño (2.025 hab.) y los kilómetros 11 y 18, comunidades de Macedonia, Nazareth y San Francisco de Loretoyacu en la región amazónica; Quibdó (100.113 hab.) y Tutunendo en la región pacífica (FAO 2002, Dane 2007).
Los datos utilizados en este estudio fueron colectados durante los años 2012 a 2014. Se entrevistaron 1.808 estudiantes de 23 colegios en 12 sitios de estudio (Tabla 1). La participación por parte de los estudiantes fue voluntaria y no remunerada; los estudiantes menores de edad proporcionaron una autorización del director del colegio para participar en la encuesta. La mayoría de los estudiantes (97 %) que diligenciaron los cuestionarios contaban con edades entre los 9 y los 19 años; este intervalo de edades fue establecido con el propósito de garantizar que los estudiantes comprendieran la totalidad de las preguntas.

Sitios de estudio donde se realizaron las encuestas de consumo de proteínas y sus regiones biogeográficas.

Colegios y número de estudiantes encuestados en cada sitio visitado.
La metodología se dividió en dos etapas: una primera etapa en la que mediante una actividad lúdica, se realizó el reconocimiento de los tipos de proteínas silvestres y domésticas usadas en la alimentación de cada sitio de estudio, con el objetivo de introducir el tema del consumo de carne de monte y demás proteínas. Una segunda etapa, en la que se aplicaron las encuestas a los grupos de estudiantes y se leyeron y explicaron todas y cada una de las preguntas. Adicionalmente, para garantizar la veracidad de los datos, los estudiantes respondieron el cuestionario individualmente y en silencio, el grupo de estudiantes encuestados tuvo durante toda la encuesta el acompañamiento de un docente del colegio (Anexo 2).
La primera parte de las encuestas indagó acerca de la información general del estudiante y de su familia (edad del niño encuestado, género, etnia, religión, número de adultos y niños en su hogar, profesión de sus padres y tipo de electrodomésticos y enseres en el hogar). La segunda parte del cuestionario indagó sobre las proteínas de origen animal que el estudiante había consumido durante las últimas 24 horas. De acuerdo al énfasis del estudio, se profundizó en el consumo de carne de monte y pescado. De este modo, cuando el estudiante respondió que había consumido carne de monte o pescado, se registró el nombre de la especie.
Para el procesamiento de los datos colectados, se determinaron las frecuencias de consumo de todas las proteínas en comparación con las proteínas silvestres, y además se cuantificaron las especies de carne de monte consumidas en cada sitio de estudio. Para analizar la relación entre el consumo de carne de monte (Si o No) y el gradiente de urbanización (rural, peri-urbano y urbano), se evaluó la significancia con la prueba estadística de Chi2, para confirmar la diferencia significativa entre las variables dependientes: consumo o no de carne de monte. Posteriormente, se comparó la diversidad de la dieta proteica en función del consumo en colegios rurales, peri-urbanos y urbanos. Para analizar la diversidad del consumo proteico, se utilizó el índice de Shannon y se corroboró con el índice de dominancia Simpson. Para el caso de la carne de monte, cada especie se consideró como una fuente distinta de proteína.
PRespecto al índice de Shannon, utilizado para calcular la diversidad de la dieta: H= -∑Pi*In(Pi); H es el índice de la diversidad y Pi es la proporción reportada de la proteína i. Por su parte, el índice de dominancia Simpson permite analizar la posible dominancia de alguna(s) de las proteína(s) en el consumo general, este índice toma en cuenta la representatividad de las proteínas con mayor valor de importancia, así: λ= ∑Pi2, donde Pi = es la abundancia proporcional de la proteína i, es decir, el número de veces que se consumió la proteína i dividido entre el número de todos los reportes de consumo. Todas las pruebas estadísticas se llevaron a cabo con la ayuda del software libre ®PAST (Hammer et al. 2001).
Resultados
Consumo de carne de monte en comparación con los demás tipos de proteínas en los sitios de estudio
El análisis descriptivo general de las frecuencias de consumo demuestra que las proteínas más consumidas en los sitios muestreados fueron en orden descendente: el pollo industrial (22 %) el pescado (17 %), el huevo industrial (16 %) la carne de res (13 %), los embutidos (6 %), la gallina criolla (5 %), la carne de monte (5 %), los enlatados (4 %), el cerdo (3 %), el pato de cría (1,4 %), el chivo (1,5 %), el cordero (0,4 %) y el conejo de cría (0,3 %). Entre las 1.808 encuestas realizadas, en 157 ocasiones (5 %) los estudiantes encuestados declararon no haber comido proteína de origen animal el día anterior (Figura 2).
Los sitios de estudio en los que se halló el mayor consumo de carne de monte, fueron los sitios pertenecientes a las biorregión del Pacífico. A nivel global las especies más utilizadas como carne de monte fueron en orden decreciente: boruga (Cuniculus paca), guaras (Dasyprocta punctata, Dasyprocta fuliginosa), venados (Mazama americana y Odocoileus virginianus), danta (Tapirus terrestris), armadillos (Dasypus spp, Cabassous unicinctus, Priodontes maximus), tortugas (Podocnemis spp, Chelonoidis spp, Trachemys sp., Eretmochelys imbricata, Caretta caretta, Chelonia mydas, Dermochelys coriacea, Rhinoclemys nasuta, Kinosternon dunni), marrano de monte de labio blanco (Tayassu pecari), caimán (Crocodylus sp., Paleosuchus spp) y conejo (Sylvilagus sp., y Oryctolagus sp.) (Figura 3) (Anexo 1).

Descripción de la frecuencia del consumo nacional de proteínas de origen animal.
De acuerdo a estos resultados, en los sitios de estudio de la biorregión Pacífica (Quibdó) y Tutunendo), la principal fuente de proteína animal es la carne de monte (12 %). Otras proteínas reportadas en la región fueron el pollo industrial (11 %), la gallina criolla (11 %), el pescado (10 %), los embutidos (9 %), el huevo industrial (7 %), el pato de cría (5 %), los enlatados (5 %) y el cerdo (4 %). Las especies de carne de monte más consumidas fueron la boruga (Cuniculus paca) (32 %), la guara (Dasyprocta punctata) (13 %), los venados (Mazama americana y Odocoileus virginianus) (6 %), los armadillos (Dasypus spp, Cabassous centralis) (7 %), el marrano de monte de labio blanco (Tayassu pecari) (7 %), la perdiz (Crypturellus sp., Tinamus sp.) (3 %), el cusumbo (Nasua narica) (3 %) y los ratones de monte (Proechimys semispinosus, Scolomy sp.) (3 %). En total 120 estudiantes encuestados (20 %) reportaron no haber comido ninguna proteína animal el día anterior (Figura 4) (Anexo 1).
Para los sitios de estudio de Aracataca, Fundación y Santa Rosa de Lima en la región Caribe las proteínas más consumidas fueron la carne de res (24 %), huevo industrial (15 %), pollo industrial (12 %), cerdo (8 %), gallina criolla (8 %), pescado (7 %), carne de monte (4 %), enlatados (4 %) y chivo (4 %). Las especies de carne de monte más consumidas fueron: boruga (Cuniculus paca) (22 %), conejos (Sylvilagus sp. y Oryctolagus sp.) (14 %) y armadillos (Dasypus spp, Cabassous centralis) (7 %). El 57 % de los niños que consumieron carne de monte no conocían el nombre de la especie. En 72 ocasiones (7 %) los estudiantes encuestados reportaron no haber comido ninguna proteína de tipo animal el día anterior (Anexo 1).
Para la región de la Orinoquia, en los sitios de estudio de Inírida y El Resguardo El Pajuil las proteínas más consumidas fueron: huevo industrial (22 %), pescado (20 %) res (14 %). pollo industrial (14 %), gallina criolla (11 %), enlatados (7 %), carne de monte (4 %), cerdo (3 %), chivo (2 %). Las especies de carne de monte más consumidas fueron: danta (Tapirus terrestris) (27 %), boruga (Cuniculus paca) (27 %), guara (Dasyprocta fuliginosa) (14 %), armadillos (Dasypus sp., Cabassous unicinctus, Priodontes maximus) (5 %), venados (Mazama sp., Odocoileus virginianus) (5 %), marrano de monte sin collar (Tayassu pecari) (5 %) y chigüiro (Hydrochoerus hydrochaeris) (4 %). En esta región no hubo registros de estudiantes sin consumo de proteína animal el día anterior (Anexo 1).

Especies de carne de monte más consumidas en los sitios de estudio visitados de las cuatro regiones geográficas de Colombia.
En la región Amazónica las proteínas más consumidas fueron pollo industrial (28 %), pescado (25 %), huevo industrial (21 %), carne de res (10 %), embutidos (5 %), carne de monte (3 %) y enlatados (2 %). Las especies de carne de monte más consumidas fueron: boruga (Cuniculus paca) (49 %), venados (Mazama americana, Mazama gouazoubira) (14 %), guara (Dasyprocta fuliginosa) (12 %), danta (Tapirus terrestris) (7 %), tortugas (Chelus fimbriatus, Podocnemis sp., Chelonoidis denticulata) (7 %), armadillos (Dasypus sp., Priodontes maximus) (4 %), Caimán (Crocodylus sp., Paleosuchus spp, Melanosuchus niger ) (3 %), marrano de monte sin collar (Tayassu percari) (2 %), marrano de monte de collar (Tayassu tajacu) (2 %). En esta región solo un encuestado declaró no haber comido proteínas de origen animal el día anterior (Figura 4) (Anexo 1).
Comparación de los patrones del consumo proteico entre colegios rurales, peri-urbanos y urbanos
Los resultados muestran que existen diferencias significativas en los patrones de consumos de proteínas animales entre colegios rurales, peri-urbanos y urbanos (Chi2= 60,192; p (no assoc.): 8,4996E-14). Existe un mayor consumo de carne de monte y pescado en los colegios rurales, siendo el pescado la proteína más consumida (30 %). Los colegios rurales tuvieron también el mayor consumo de carne de monte (8 %), significativamente alto en relación al consumo de carne de monte en los colegios peri-urbanos (3 %) y colegios urbanos (2 %).
El consumo de proteínas industriales fue más alto en los colegios peri-urbanos y urbanos que en los colegios rurales. En los colegios peri-urbanos el pollo industrial (22 %) y huevo industrial (19 %), fueron las proteínas más consumidas. De manera similar, las proteínas más consumidas en colegios urbanos fueron el pollo industrial (27 %) y el huevo industrial (21 %), ubicándose como las dos proteínas más consumidas tanto en los colegios peri-urbanos como urbanos (Figuras 4).
Diversidad del consumo proteico de los colegios rurales, peri-urbanos y urbanos
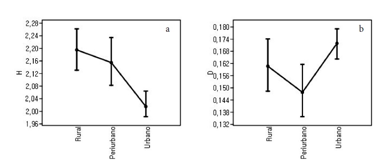
Los índices de diversidad del consumo de proteínas respecto al gradiente rural-urbano permiten señalar que los colegios con un consumo proteico más diversificado, fueron los colegios rurales con un valor de H: 2,195, según el índice de Shanon. Seguido del consumo en colegios peri-urbanos con un índice de diversidad de Shanon de 2,155 y finalmente el consumo proteico menos diverso fue el de los colegios urbanos con un índice de diversidad de Shanon de 2,015 (Tabla 2).).
En cuanto al índice de dominancia de Simpson, la muestra de los colegios urbanos presentó la mayor dominancia con un valor de D: 0,1607, seguida por la muestra de los colegios rurales con un valor de D: 0,174. Finalmente, la muestra con la menor dominancia fue la de los colegios peri-urbanos con un valor de D: 0,1478 (Figura 5).
Discusión
El método del recordatorio de 24 horas es un método eficaz para recopilar información, que permite la toma simultánea de datos, facilitando el trabajo con grupos. Además, por ser un método estandarizado, permite comparaciones entre diferentes estudios de caso. Sin embargo, la fiabilidad de los datos dependerá de la calidad de información que los estudiantes entrevistados proveyeron para el estudio.
En cuanto a los resultados obtenidos en este estudio, la primera evidencia fue la vigencia del consumo de carne de monte en las cuatro regiones biogeográficas de Colombia en donde se realizaron las encuestas, lo cual concuerda con lo documentado por van Vliet et al. (2016), quienes documentan la importante actividad de las cadenas de mercado de carne de monte en cinco regiones biogeográficas de Colombia.

a) Consumo de proteínas de los colegios rurales. b) Consumo de proteínas de los colegios peri-urbanos. c) Consumo de proteínas de los colegios.

Valores de los índices de diversidad de Shannon y de dominancia de Simpson en el consumo proteico de colegios rurales, periurbanos y urbanos.

Representación gráfica de: a) índice de diversidad de Shannon y b) índice de dominancia de Simpson, para los colegios rurales, peri-urbanos y urbanos de los sitios de estudio.
Respecto a una transición alimentaria en relación con el gradiente de urbanización, los resultados muestran una disminución en el consumo de proteínas silvestres (carne de monte y pescado) en los estudiantes de los colegios peri-urbanos y urbanos en comparación con los estudiantes de colegios rurales. Los estudiantes de colegios rurales declararon basar su alimentación principalmente en el pescado, mientras que los estudiantes de los colegios peri-urbanos y urbanos declararon basar su alimentación en pollo y huevo industriales. Este resultado, en donde el consumo de proteínas silvestres disminuye directamente en relación al mayor grado de urbanización, evidencia una transición alimentaria de lo rural a lo urbano.
En las regiones rurales la dependencia de la carne de monte es mayor por diferentes razones. Por una parte, la carne de monte es una proteína disponible y de fácil de adquisición (Restrepo 2012), por otra parte, en general los contextos rurales no cuentan con una oferta de proteínas industriales especialmente fuerte, además el poder adquisitivo es menor respecto a los contextos urbanos (Gómez 2003). Sin embargo, es necesario aclarar que en algunos contextos la transición alimentaria puede depender de diversas variables, más allá del gradiente de urbanización. En algunos contextos, la pertenencia a grupos étnicos, la distancia a los mercados, las fuertes medidas de prohibición de consumo de proteínas silvestre, la presencia de bosques o la oferta y disponibilidad de opciones proteicas industriales, pueden permear el consumo más allá del gradiente de urbanización.
Al analizar globalmente los resultados obtenidos en este estudio, la proteína más consumida fue el pollo industrial. Esto puede deberse a su bajo costo y fácil adquisición como lo muestran East et al. (2005) en su estudio de caso en Guinea Ecuatorial y van Vliet et al. (2015) en la región de la trifrontera Amazónica. Entre los sitios de estudio de las cuatro regiones biogeográficas, llaman la atención los datos obtenidos en los sitios de estudio de la biorregión pacífica en donde la mayoría de los reportes (120) indicaron el no consumo de proteína animal, así mismo en esta región, la proteína más consumida fue la carne de monte (76 reportes). Estos resultados, pueden deberse a la importancia de la caza y la pesca como actividades de subsistencia, especialmente por parte de las comunidades afrodescendientes e indígenas de la región, en donde el pescado y la carne de monte aportan entre el 60 % y 70 % de la proteína animal consumida regularmente (Cuesta-Ríos et al. 2006). Teniendo en cuenta que la mayoría de los estudiantes entrevistados no consumieron proteína animal el día anterior y que la proteína más consumida fue la carne de monte, se hace evidente la importancia de la carne de monte en la seguridad alimentaria de las regiones más vulnerables (Rivas-Abadía et al. 2010).
En cuanto a la diversidad de las dietas, de acuerdo al índice de Shannon, los consumidores de los colegios rurales tienen el consumo proteico más diverso. Esto puede deberse a la oferta de recursos provenientes del bosque como diferentes especies de carne de monte, pescado y al consumo ocasional de otras proteínas a las que en ocasiones pueden acceder, complementando la variedad de su consumo proteico. El análisis de diversidad, también muestra una relación inversamente proporcional en relación al grado de urbanismo. De este modo, los estudiantes encuestados que pertenecían a colegios urbanos contaban con dietas poco diversificadas a nivel proteico y con un fuerte consumo de pollo y huevo industrial, lo que se corrobora con el índice de dominancia de Simpson, que muestra una mayor dominancia en las dietas de colegios urbanos, debido posiblemente a los altos consumos de huevo y pollo industrial que representan para este tipo de colegios el 48 % del consumo proteico total.
Al evidenciar la transición alimentaria que se está experimentando, en donde las proteínas silvestres disminuyen y las industriales aumentan, es necesario pensar en las posibles consecuencias de dicha transición. Barría y Amigo (2006) analizaron la transición alimentaria en Latinoamérica concluyendo que la migración hacía regiones más urbanizadas puede estar favoreciendo el exceso de peso de los niños, probablemente por la mayor disponibilidad de alimentos no tradicionales, en general proteínas industrializadas, que pueden provocar aumento en la ingesta de grasas y aceites. Igualmente, Mispireta et al. (2007) evaluaron datos nutricionales durante 14 años, señalando la relación de la transición alimentaria respecto al gradiente de urbanización, llamando nuevamente la atención sobre las consecuencias en la salud y la calidad de vida de los ahora menores de edad en su futura vida adulta. De acuerdo a Cesani et al. (2007) la migración hacía las regiones más urbanizadas en busca de mejor calidad de vida, podría llegar a ser todo lo contrario, ya que los rápidos procesos de urbanización pueden conllevar al aumento de trastornos nutricionales nocivos y de enfermedades infecciosas (Haddad et al. 1999, Ruel 2000 y Gracey 2002 citado en Cesani et al. 2007). De acuerdo a Benítez-Hernández et al. (2014), quienes utilizaron el método del recordatorio de 24 horas, existen diferencias significativas en la alimentación de las comunidades rurales y las comunidades urbanas, llamando la atención sobre la alimentación actual de los niños de las regiones urbanas, quienes podrían desarrollar problemas de salud y nutrición al alcanzar la edad adulta. Del mismo modo, la tendencia al cambio de una alimentación basada en proteínas silvestres a una dieta con un fuerte componente de alimentos procesados e industriales, puede resultar inquietante si se tienen en cuenta las posibles consecuencias para la salud de los consumidores, como diabetes, hipertensión y obesidad (Russell-Jones et al. 1990, Garret y Ruel 1999, Galal 2002, Shetty 2002).
A nivel regional, en la Amazonia, a pesar de su vasta oferta de recursos naturales y de fauna silvestre, se ha documentado una marcada transición nutricional, caracterizada por el incremento de proteínas procesadas y por el aumento del consumo de hidratos de carbono complejos, azúcares y grasas saturadas (Gugelmin y Santos 2001, Coimbra et al. 2002, Tavares et al. 2003, Godoy et al. 2005 a,b, Benefice et al. 2007, Piperata 2007, Lourenço et al. 2008, Welch et al. 2009, Godoy et al. 2010, Silva y Padez 2010, Nardoto et al. 2011). En cuanto al consumo de proteínas procesadas, esto probablemente se explica por su disponibilidad y su bajo precio (Rushton et al. 2005, van Vliet et al. 2015). Reafirmando, que cuanto más avanza el proceso de urbanización, la transición nutricional se asocia con una mayor prevalencia de obesidad (especialmente obesidad infantil), la diabetes y enfermedades coronarias (Drewnowski y Popkin 1997 y Gordon-Larsen et al. 2014).
Conclusión
Los resultados evidencian un cambio nutricional asociado al gradiente rural-urbano, en donde por un lado conforme las zonas se hacen más urbanas aumenta el consumo proteico de alimentos procesados como pollo y huevo industriales, con posibles consecuencias nocivas para la salud y del otro resalta la importancia de las fuentes de proteína silvestre para la seguridad alimentaria de las comunidades rurales. El presente estudio también muestra la necesidad de continuar con la colecta y sistematización de datos similares a los presentados aquí, con el propósito de contar con la información necesaria para analizar los posibles futuros efectos en la salud y el ambiente, derivados de esta transición alimentaria entre el gradiente rural-urbano. El uso de los recursos de fauna silvestre en la alimentación rural y urbana contribuye a mantener dietas más diversificadas y menos nocivas para la salud. Por lo anterior, es necesario procurar oportunidades de manejo sostenible de la fauna silvestre, para garantizar la sostenibilidad de su uso y su contribución en la seguridad alimentaria de las comunidades.
Referencias
Barría, R. y H. Amigo. 2006. Transición nutricional: una revisión del perfil latinoamericano. Archivos Latinoamericanos de Nutrición 56 (1): 3-11.
Benefice, E., R. Lopez, S. L. Monroy y S. Rodriguez. 2007. Fatness and overweight in women and children from riverine Amerindian communities of the Beni River (Bolivian Amazon). American Journal of Human Biology 19 (1): 61-73.
Benítez-Hernández, Z. P., P. Hernández-Torres, M. D. Cabañas, M. L. Torre-Díaz, N. López-Ejeda, M. D. Marrodán y M. Cervantes-Borunda. 2014. Composición corporal, estado nutricional y alimentación en escolares Tarahumaras urbanos y rurales de Chihuahua, México. Nutrición Clínica y Dietética Hospitalaria 34 (2): 71-79.
Bermudez, O. I. y K. L. Tucker. 2003. Trends in dietary patterns of Latin American populations. Cadernos de Saúde Pública 19 (Suppl. 1): S87-S99.
Carpineti, B. y J. Fa. 2012. El consumo de “Carne de Monte” en la Isla de Bioko. Una mirada desde la antropología ecológica. Avá 20: 57-72.
Carrizosa-Umaña, J. 2014. Colombia Compleja. Jardín Botánico de Bogotá José Celestino Mutis, Instituto de Investigación de Recursos Biológicos Alexander von Humboldt. Bogotá, D.C. 295 pp.
Cesani, M. F., M. L. Zonta, L. Castro, M. F. Torres, L. M. Forte, A. B. Orden, F. A. Quintero, M. A. Luis, M. L. Sicre, G. T. Navone, M. I. Gamboa y E. E. Oyhenart. 2007. Estado nutricional y parasitosis intestinales en niños residentes en zonas urbana, peri-urbana y rural del partido de Brandsen (Buenos Aires, Argentina). Revista Argentina de Antropología Biológica 9: 105-121.
Chardonnet, P. (Ed.). 1995. Faune sauvage Africaine: la ressource oubliée. International Game Foundation, CIRAD-EMVT, Luxembourg. 704 pp.
CIA. 2015. The World Factbook. https://www.cia.gov/library/publications/the-world-factbook/fields/2212.html.
Coimbra, C. E. A. Jr., N. M. Flowers, F. M. Salzano y R. V. Santos. 2002. The Xavante in transition: health, ecology and bioanthropology in Central Brazil. The University of Michigan Press, Ann Arbor, MI. 376 pp.
Cuesta-Ríos, E. Y., J. D. Valencia-Mazo y A. M. Jiménez-Ortega. 2006. Aprovechamiento de los vertebrados terrestres por una comunidad humana en bosques tropicales (Tutunendo, Chocó, Colombia). Revista Institucional Universidad Tecnológica del Chocó 26 (2): 37-43.
Departamento Administrativo Nacional de Estadística (DANE). 2007. Censo general 2005. En línea: https://www.dane.gov.co/index.php/poblacion-y-registros-vitales/censos/censo-2005. Consultado en: 21 de julio de 2015.
Drewnowski, A. y B. M. Popkin. 1997. The nutrition transition: new trends in the global diet. Nutrition Review 55: 31-43.
East, T., N. Kümpel, E. J. Milner-Gulland, J. M. Rowcliffe. 2005. Determinants of urban bushmeat consumption in Río Muni, Equatorial Guinea. Biological Conservation 126 (2): 206-215.
FAO. 2002. Información y análisis para el manejo forestal sostenible: integrando esfuerzos nacionales e internacionales en 13 países tropicales en América Latina. Monografías de países, Vol. 5. Comisión Europea y Organización de las Naciones Unidas para la Agricultura y Alimentación. Santiago, Chile. 252 pp.
FAO. 2011. Los bosques para una mejor nutrición y seguridad alimentaria. Documento FAO, Roma. 12 pp.
FAO. 2013. En pro de la seguridad alimentaria y una mejor nutrición: la creciente contribución de los bosques y los árboles. Documento FAO, Roma. 16 pp.
Ferrer, A., D. Lew, C. Vispo y F. Daza. 2010. Uso de la fauna silvestre y acuática por comunidades del bajo río Caura (Guayana venezolana). Biota Colombiana 14: 33-44.
Ferraro, R. y L. Zulaica. 2011. Potencialidades y limitaciones ambientales en el área de interfase urbana-rural de la ciudad de Mar del Plata (provincia de Buenos Aires, Argentina): una contribución al ordenamiento territorial. Revista Geográfica de América Central 2 (47): 1-19.
Galal, O. M. 2002. The nutrition transition in Egypt: obesity, undernutrition and the food consumption context. Public Health Nutrition 5 (1A): 141-148.
Garrett, J. L. y M. T. Ruel. 1999. Are determinants of rural and urban food security and nutritional status different? Some Insights from Mozambique. FCND discussion papers, Vol. 65, International Food Policy Research Institute (IFPRI), Washington, D. C. 54 pp.
Godoy, R., E. Byron, V. Reyes-García, V. Vadez, W. R. Leonard, L. Apaza, T. Huanca, E. Pérez y D. Wilkie. 2005a. Income inequality and adult nutritional status: anthropometric evidence from a preindustrial society in the Bolivian Amazon. Social Science y Medicine 61: 907-919.
Godoy, R., V. Reyes-García, V. Vadez, W. R. Leonard y T. Huanca. 2005b. Human capital, wealth, and nutrition in the Bolivian Amazon. Economics y Human Biology 3: 139-162.
Godoy, R., C. Nyberg, D. T. Eisenberg, O. Magvanjav, E. Shinnar, W. R. Leonard, C. Grav-lee, V. Reyes-García, T. W. McDade, T. Huanca y S. Tanner. 2010. Short but catching up: statural growth among native Amazonian Bolivian children. American Journal of Human Biology 22 (3): 336-347.
Gordon-Larsen, P., H. Wang y B. M. Popkin. 2014. Overweight dynamics in Chinese children and adults. Obesity Reviews 15: 37-48.
Gómez Jiménez, A. 2003. Colombia: el contexto de la desigualdad y la pobreza rural en los noventa. Cuadernos de Economía 22 (38): 199-238. Consultado 18 de abril de 2016, http://www.scielo.org.co/scielo.php?script=sci_arttext&pid=S0121-47722003000100009&lng=en&tlng=es.
Gracey, M. 2002. Child health in an urbanizing world. Acta Pediátrica 91: 1-8.
Gugelmin, S. A. y R. V. Santos. 2001. Ecología humana e antropometría nutricional de adultos Xavante, Mato Grosso, Brasil. Cadernos de Saúde Pública 17: 313-322.
Haddad, L., M. Ruel y J. Garrett. 1999. Are urban poverty and undernutrition growing? some newly assembled evidence. World Development 27 (11): 1891-1904.
Hammer, Ø., D. A. T. Harper y P. D. Ryan. 2001. PAST: Paleontological statistics software package for education and data analysis. Palaeontologia Electronica 4 (1). En línea: http://palaeo-electronica.org/2001_1/past/issue1_01.htm.
Ideam, Igac IAvH, Invemar, Sinchi I. e IIAP. 2007. Ecosistemas continentales, costeros y marinos de Colombia. Instituto de Hidrología, Meteorología y Estudios Ambientales, Instituto Geográfico Agustín Codazzi, Instituto de Investigación de Recursos Biológicos Alexander von Humboldt, Instituto de Investigaciones Ambientales del Pacífico John von Neumann, Instituto de Investigaciones Marinas y Costeras José Benito Vives De Andréis e Instituto Amazónico de Investigaciones Científicas Sinchi. Bogotá D. C. 276 pp. + 37 hojas cartográficas.
Jenkins, R. K. B., A. Keane, A. R. Rakotoarivelo, V. Rakotomboavonjy, F. H. Randrianan-drianina, H. J. Razafimanahaka, S. R. Ralaiarimalala y J. P. G. Jones. 2011. Analysis of Patterns of Bushmeat Consumption Reveals Extensive Exploitation of Protected Species in Eastern Madagascar. PloS ONE 6 (12): e27570.
Lourenço, A. E. P., R. V. Santos, J. D. Y. Orellana y C. E. A. Jr. Coimbra. 2008. Nutrition transition in Amazonia: Obesity and socioeconomic change in the Surui Indians from Brazil. American Journal of Human Biology 20 (5): 564-571.
Milner-Gulland, E. J., E. L. Bennett y SCB. 2003. Annual Meeting Wild Meat Group. 2003. Wild meat: the bigger picture. Trends in Ecology and Evolution 18: 351–357.
Mispireta, M. L., A. M. Rosas, J. E. Velasquez, A. G. Lescano y C. F. Lanata. 2007. Transición nutricional en el Perú, 1991 – 2005. Revista Peruana de Medicina Experimental y Salud Pública 24 (2): 129-135.
Nardoto, G., R. Murrieta, L. Prates, C. Adams, M. Garavello, T. Schor, A. Moraes, F. Rinaldi, J. Gragnami, E. Moura, P. Duarte-Neto y L. Martinelli. 2011. Frozen chicken for wild fish: Nutrition transition in the Brazilian Amazon region determined by carbon and nitrogen stable isotope ratios in fingernails. American Journal of Human Biology 23 (5): 642-650.
Parry, L., J. Barlow y H. Pereira. 2015. Wildlife Harvest and Consumption in Amazonia’s Urbanized Wilderness. Conservation Letters 7 (6): 565-574.
Piperata, B. A. 2007. Nutritional status of ribeirinhos in Brazil and the nutrition transition. American Journal of Physical Anthropology 133: 868-878.
Restrepo, S. (Eds.). 2012. Carne de monte y seguridad alimentaria: Bases técnicas para una gestión integral en Colombia. Instituto de Investigación de Recursos Biológicos Alexander von Humboldt. 108 pp.
Rivas-Abadía, X., S. C. Pazos, S. K. Castillo-Castillo y H. Pachón. 2010. Alimentos autóctonos de las comunidades indígenas y afrodescendientes de Colombia. Archivos Latinoamericanos de Nutrición 60 (3): 212–219.
Ruel, M. T. 2000. Urbanization in Latin America: Constrains and opportunities for child feeding and care. Food & Nutrition Bulletin 21: 12-24
Rushton, J., R. Viscarra, C. Viscarra, F. Basset, R. Baptista y D. Brown. 2005. How Important is Bushmeat Consumption in South America: Now and in the Future?. Wildlife Policy Briefing 11: 1-4.
Russell-Jones, D. L., P. Hoskins, E. Kearney, R. Morris R, S. Katoaga, B. Slavin y J. R. Tur-tle. 1990. Rural/Urban Differences of Diabetes - Impaired Glucose Tolerance, Hypertension, Obesity, Glycosolated Haemoglobin, Nutritional Proteins, Fasting Cholesterol and Apolipoproteins in Fijian Melanesians over 40. The Quarterly Journal of Medicine 74 (273): 75-81.
Shetty, P. 2002. Nutrition transition in India. Public Health Nutrition 5 (1A): 175-182.
Silva, A. L. y A. Begossi. 2009. Biodiversity, food consumption and ecological niche dimension: a study case of the riverine populations from the Rio Negro, Amazonia, Brazil. Environment, Development and Sustainability 11: 489-507.
Silva, H. y C. Padez. 2010. Body size and obesity patterns in Caboclo populations from Pará, Amazonia, Brazil. Annals of Human Biology 37: 217-229.
Tavares, E. F., F. P. B. Vieira-Filho, A. A. Sanudo, S. G. Gimeno y L. J. Franco. 2003. Metabolic profile and cardiovascular risk patterns of and Indian tribe living in the Amazon Region of Brazil. Human Biology 75: 31-46.
van Vliet, N., C. Nebesse, S. Gambalemoke, D. Akaibe y R. Nasi. 2012. The bushmeat market in Kisangani, Democratic Republic of Congo: implications for conservation and food security. Oryx 46 (2): 196-203.
van Vliet, N., C. Nebesse y R. Nasi. 2014a. Bushmeat consumption among rural and urban children from Province Orientale, Democratic Republic of Congo. Oryx 49 (1): 165-174.
van Vliet, N., M. Quiceno-Mesa, D. Cruz-Antia, L. Tellez, C. Martins, E. Haiden, M. Oliveira, C. Adams, C. Morsello, L. Valencia, T. Bonilla, B. Yagüe, y R. Nasi. 2015. From fish and bushmeat to chicken nuggets: the nutrition transition in a continuum from rural to urban settings in the tri frontier Amazon region. Ethnobiology and Conservation 4: 1-12.
van Vliet, N., M. Quiceno, J. Moreno, D. Cruz, J. E. Fa, y R. Nasi. 2016. Is urban bushmeat trade in Colombia really insignificant? Oryx: 1-10.
Welch, J., A. Ferreira, R. Santos, S. Gugelmin, G. Werneck y C. Coimbra. 2009. Nutrition transition, socioeconomic differentiation, and gender among adult Xavante Indians, Brazilian Amazon. Human Ecology 37 (1): 13-26.
Anexos

Lista de las especies consumidas por estudiantes de colegios rurales, peri-urbanos y urbanos de algunas regiones geográficas de Colombia.

Ejemplo de cuestionario utilizado en los sitios de estudio de la región biogeográfica de Chocó acerca del consumo proteico en las últimas 24 horas (los cuestionarios se adaptaron a los grupos humanos presentes en cada sitio de estudio).

Ejemplo de cuestionario utilizado en los sitios de estudio de la región biogeográfica de Chocó acerca del consumo proteico en las últimas 24 horas (los cuestionarios se adaptaron a los grupos humanos presentes en cada sitio de estudio).
Información adicional
Agradecimientos: Expresamos nuestros agradecimientos a los niños y jóvenes que participaron en este estudio, a sus padres y a los profesores y directores de las escuelas que amablemente aceptaron participar en nuestra investigación. Este estudio fue financiado por USAID y UKAID a través de la Iniciativa de Investigación en carne de monte del CIFOR
Cítese como: Vanegas, L., N. van Vliet, D. Cruz y F. Sandrin. 2016. Contribución proteica de animales silvestres y domésticos a los menús de los contextos rurales, peri-urbanos y urbanos de varias regiones de Colombia. Biota Colombiana 17 (1): 26-43. DOI: 10.21068/C2016v17r01a03