Estado y factores de cambio de los servicios ecosistémicos de aprovisionamiento en humedales relacionados con aguas subterráneas en Iberoamérica y España
Estado y factores de cambio de los servicios ecosistémicos de aprovisionamiento en humedales relacionados con aguas subterráneas en Iberoamérica y España
Biota Colombiana, vol. 17, 1, pp. 106-119, 2016
Instituto de Investigación de Recursos Biológicos "Alexander von Humboldt"
Recepción: 25 Mayo 2015
Aprobación: 01 Marzo 2016
Resumen: Los humedales se han reconocido como hábitats para sostener los procesos ecológicos de los ecosistemas. Son proveedores de bienes y servicios ecosistémicos para el bienestar humano. Muchos humedales están relacionados con las aguas subterráneas y dependen parcial o totalmente de ellas. Así, algunas acciones que se realizan sobre el suelo, el territorio o los acuíferos pueden producir impactos significativos sobre los humedales, sus funciones y sus servicios, poniendo en riesgo su existencia. El proyecto UNESCO-IGCP 604: “Wetlands related to groundwater in Iberoamérica”, realizado entre 2011 y 2014, tuvo como propósito generar conocimiento acerca de la interacción entre aguas subterráneas, humedales y seres humanos en Iberoamérica y España, mediante la evaluación de las características hidrológicas, los servicios que prestan estos ecosistemas y los factores que inducen cambios en dichos servicios. En el marco de este proyecto, se recopiló información en 13 países para evaluar 64 casos de estudio. Por ser uno de los ecosistemas más vulnerables ante la presión por factores de cambio inducidos por el hombre (especialmente en relación con la extracción de materiales, la contaminación y el uso del territorio), dada la relevancia de los servicios de aprovisionamiento, en este artículo se hace referencia especial a los resultados obtenidos en relación con ellos.
Palabras clave: Cambio ambiental, Ecosistemas del Milenio, Evaluación cualitativa de servicios ambientales, Hidrogeología.
Abstract: Wetlands have been recognized as very important habitats to support the ecological processes in ecosystems. They supplie goods and ecosystem services for human well-being. Many wetlands are related to groundwater and depend from of them. This explains that some actions taken in aquifers affect the function of wetlands and can threaten their existence. The UNESCO-IGCP Project 604: Wetlands Related to Groundwater in Iberoamerica, has the objective to generate knowledge about the interaction between groundwater, wetlands and human activitiess in Ibero-America and Spain, by evaluating their main hydrological characteristics, the services these ecosystems provide to humans and the factors that may induce changes in such services. In the framework of this Project, researchers from 13 countries have provided information on the characteristics of 64 wetlands, on the aquifers linked to them, and a summary of their services. In this paper, the results obtained relative to provision of ecosystemic services have been summarized, as well as the main factors that could produce changes in them. The special reference to this type of services is due to the fact that the human socio-economical activities may have a greater impact on them and produce the most important changes and impacts, especially in what refers to materials extraction, pollution, and land use.
Keywords: Environmental change, Environmental services assessment, Hydrogeology, Milenum Ecosystems.
Introducción
Dentro de las directrices de las políticas de biodiversidad, cada nación determina y establece jerarquías en términos de la identificación de sistemas y priorización de medidas para la conservación y protección de ecosistemas estratégicos, a la vez que reconoce las necesidades que en materia de conocimiento debe afrontar para apoyar y soportar con criterios científicos la toma de decisiones.
Los humedales han sido reconocidos como cunas de biodiversidad y como sistemas dotados de un valor hidrológico, cultural y paisajístico que los convierte en foco de atención en torno a los cuales se han firmado tratados y convenios para su conservación y preservación, como es el caso de la convención Ramsar (2010).
La condición ecológica de los humedales como cunas de biodiversidad está estrechamente relacionada con sus características hidrológicas, al ser estas las que determinan el hidroperíodo, definido como el patrón estacional del nivel del agua del humedal. Tras identificar a la precipitación, la escorrentía y el flujo base como las fuentes que mantienen las características principales de cuerpo de agua de un humedal, se va evidenciando la importancia y la frecuencia de la relación agua superficial - agua subterránea en torno a estos cuerpos de carácter léntico.
Cuando se hace referencia a los humedales, las funciones de aprovisionamiento, regulación y cultura se convierten en beneficios y en servicios para el ser humano tanto o más que en otros muchos ecosistemas.
El proyecto IGCP604, llevado a cabo a través de un diálogo de cooperación internacional promovido por Unesco entre varios países de Iberoamérica y España, constituye el marco de referencia para este artículo, debido a que dicho proyecto sirvió para establecer las bases conceptuales de la evaluación de los servicios de los humedales relacionados con el agua subterránea, al recopilarse y analizarse dentro de él las características hidrológicas, el estado de los servicios ecosistémicos y los factores de cambio para 64 humedales de 13 países.
Teniendo en cuenta que en el marco del desarrollo socioeconómico las mayores presiones sobre los ecosistemas -y entre estos sobre los humedales- se generan al momento de tomar de ellos los productos que pueden suministrar bienestar al ser humano, este artículo se centra en la evaluación de los servicios de aprovisionamiento o abastecimiento que brindan los humedales dependientes del agua subterránea. Estos servicios suelen ser los más conocidos y mejor documentados y por ello la evaluación de los factores que inducen cambios en los mismos deben ser los más estudiados, particularmente aquellos que tengan que ver con la explotación de recursos, los cambios en el uso del territorio y la contaminación.
Contexto conceptual
El ciclo hidrológico, entendido como el movimiento continuo del agua en la hidrosfera, conecta los reservorios atmosférico, superficial y subterráneo, incluyendo la biosfera como elemento común de especial interés. Desde y hacia la atmósfera los movimientos de agua están determinados por la precipitación, la evaporación y la transpiración. Como resultado de la infiltración y la recarga, se genera la humedad del suelo y se conforma la zona saturada de las unidades hidrogeológicas. Mediante flujos subsuperficiales y subterráneos, el agua puede regresar a la superficie para incorporarse a los caudales que de nuevo, en algún momento, regresan a la atmósfera. Al representar el flujo base, un aporte de los acuíferos a los cuerpos superficiales de agua, el mismo constituye un factor importante en el sostenimiento de muchos ecosistemas acuáticos y terrestres. Así pues, para poder establecer medidas de manejo y protección efectivas, es necesario entender el ciclo hidrológico y las relaciones entre sus componentes con una visión integral.
La biodiversidad y los recursos naturales son fundamentales para el mantenimiento del bienestar humano y para el desarrollo económico y social. En consecuencia con esto, la biodiversidad es un bien de valor inestimable para la supervivencia de las generaciones presentes y futuras.
Humedales relacionados con el agua subterránea
Los humedales relacionados con el agua subterránea están generalmente localizados en lugares donde el nivel freático está cerca de la superficie del terreno. En todos ellos, la presencia de agua constituye un factor determinante en el desarrollo de los suelos, la vegetación y el paisaje (Custodio 2010).
Hay muchos tipos de humedales relacionados con el agua subterránea. Esta interacción varía en función de las características geológicas e hidrológicas del sistema y puede cambiar espacialmente para un mismo humedal según su extensión y también a través del tiempo. Muchas veces su identificación, caracterización y delimitación no son tareas fáciles, al constituir en muchas ocasiones ámbitos de transición entre ecosistemas acuáticos y terrestres. Los humedales incluyen también sistemas en los que no se registra una lámina superficial de agua, pero el nivel freático está lo suficientemente próximo a la superficie del terreno como para condicionar la aparición de suelos y de vegetación que dependen del agua subterránea. Son los llamados criptohumedales, que pueden diferenciarse de los ecosistemas terrestres o acuáticos eventualmente adyacentes y que dan lugar a cambios cualitativos del paisaje. El Instituto Alexander von Humbolt (Vilardy et al. 2014) ha concretado una metodología para la delimitación de humedales en Colombia y, dentro de los resultados valora la ocurrencia de los criptohumedales asociados al suelo.
Aguas subterráneas
Las aguas subterráneas constituyen más del 97 % del agua líquida dulce disponible en el planeta y cada vez representan más la única fuente segura para abastecimiento humano y para satisfacer las demandas de actividades económicas, especialmente de la agricultura. El programa para la Evaluación de los Ecosistemas del Milenio de Naciones Unidas -MEA- ha reconocido que el incremento en el uso del agua subterránea en todo el mundo (MEA 2005, Wada et al. 2012, Margat y van der Gun 2013), representa un peligro para los humedales relacionados con ellas. Bajo esta perspectiva, las evaluaciones hidrológicas cobran importancia ya que a través de ellas es posible cuantificar esta posible afección. Este artículo no pretende profundizar en estos aspectos ya que hay muchos trabajos disponibles en la literatura científica sobre este respecto, como por ejemplo Winter et al. (1998), Mitsch y Gosselink (2000), Townley y Trefry (2000), McEwan et al. (2006), Schot y Winter (2006),Custodio (2010) y Ramsar (2010), entre otros.
Servicios ecosistémicos y humedales
El concepto de servicio ecosistémico ha sido objeto de discusión y análisis durante las últimas décadas. Daily (1997) definió los servicios ecosistémicos como las condiciones y procesos a través de los cuales los ecosistemas naturales y las especies conforman, sostienen y satisfacen la vida humana. En el mismo año, Costanza et al. (1997) se refieren a ellos como los beneficios que las poblaciones humanas derivan directa o indirectamente de las funciones de los ecosistemas. Esta acepción fue retomada en 2005 por Naciones Unidas en el programa sobre la Evaluación de los Ecosistemas del Milenio (MEA, 2005), por Boyd y Banzhaf (2007) y por Fisher et al. (2008), entre otros muchos.
En MEA (2005) se consideran tres categorías de servicios: abastecimiento, regulación y culturales. Los servicios de abastecimiento son los productos obtenidos directamente de la estructura biótica, hidrológica y geológica de los ecosistemas. Los servicios de regulación son los beneficios obtenidos de manera indirecta del funcionamiento de los ecosistemas. Los servicios culturales son los beneficios intangibles o no materiales que las personas obtienen a través de las experiencias estéticas, educativas, turismo o de enriquecimiento espiritual, entre otras.
Saber cuáles son los factores que provocan cambios en el funcionamiento de los ecosistemas y en los servicios que éstos prestan, es fundamental para diseñar medidas de manejo e intervenciones que potencien impactos positivos y minimicen los impactos negativos. En este contexto, un “impulsor” es cualquier factor que altere algún aspecto de un ecosistema (MEA 2005). Los principales impulsores de cambios en el funcionamiento y los servicios de los humedales son la explotación intensiva de recursos, los cambios de uso del suelo, la modificación del ciclo hidrológico, la contaminación, los efectos asociados a cambios y el cambio climático y global. Cada uno de estos factores de cambio se describen brevemente asi:
- La explotación intensiva de recursos incluye la extracción de agua del humedal y de las masas de agua a las que está vinculado, la explotación biológica y la obtención de minerales, en sus diversas formas.
- Los cambios en el uso de suelo tratan de los efectos sobre los humedales relacionados con los aspectos de reforestación y deforestación, agricultura, ganadería y urbanización, entre otros.
- El factor de modificación del ciclo hidrológico toma en cuenta tanto aquellos cambios en la red de flujo de la cuenca del humedal que influyen sobre la hidrología de éste, como los cambios en los flujos de entradas, salidas y variación de almacenamiento del propio humedal.
- La contaminación del humedal se asocia fundamentalmente a la contaminación difusa agrícola y atmosférica y a procesos puntuales de origen urbano e industrial.
- Los efectos asociados a cambios contemplan cambios en la calidad mineral y biológica del agua y otros efectos en el suelo.
- Los factores de interés vinculados al cambio climático y global son las variaciones en la precipitación y en la temperatura y el aumento del nivel del mar.
Bajo estas líneas generales, entre los años 2011 y 2014 y en el marco del proyecto IGCP 604: “Wetlands related to groundwater in Iberoamerica”, se estableció un marco conceptual y metodológico dentro del cual se diseñaron procedimientos para identificar el estado y la tendencia de los servicios de los humedales vinculados a las aguas subterráneas en Iberoamérica y España y para reconocer los impulsores de cambio que pueden incidir sobre ellos y la tendencia de los cambios observados y/o previstos (Bocanegra et al. 2012).
Se ha asistido en las últimas décadas a cambios drás-ticos en los ecosistemas, y también a modificaciones profundas en los sistemas sociales que, además de generar presiones sobre los ecosistemas, limitan las oportunidades de respuesta y adaptación de estos. A la vez que crecen las demandas -específicamente para abastecimiento- de los servicios que prestan, disminuye la capacidad de muchos de ellos para satisfacer tales demandas.
El marco conceptual del MEA (2005) considera que el bienestar humano es el foco central de la evaluación, aunque reconoce que la biodiversidad y los ecosistemas también tienen valores intrínsecos y que los hombres deben tomar decisiones en relación con los ecosistemas basándose tanto en consideraciones de bienestar como en el valor intrínseco de los humedales. Los humedales están entre los ecosistemas del planeta más amenazados en los últimos 50 años; la utilización humana de la mayoría de los servicios que proveen se está incrementando y están siendo degradados.
Desde un punto de vista económico, la pérdida o el deterioro de humedales y/o acuíferos contribuye a la destrucción de un bien natural que significa una pérdida económica y patrimonial que la sociedad actual o futura deberá pagar. Hacer compatibles los usos humanos y la conservación es una tarea difícil porque hay diferentes actores involucrados y con frecuencia en competencia. La legislación, si existe, suele ser escasa, y el conocimiento científico resulta insuficiente en la mayoría de los casos. Los órganos gestores y la participación en ellos de los usuarios proporcionan las condiciones para que la administración pública y los otros actores involucrados interaccionen para lograr una gestión integrada de los recursos hídricos, cada uno desarrollando sus responsabilidades a través de los medios adecuados. Para garantizar la protección, conservación y restauración de los humedales, la consideración pública de su importancia y el aprovechamiento sostenible de sus recursos, se han propuesto diversas figuras de protección a nivel internacional, tales como los sitios Ramsar, Reserva de la Biosfera (MAB) de Unesco y otras figuras de alcance nacional o local (Bocanegra et al. 2014).
Métodos
La metodología del Proyecto UNESCO-IGCP 604 incluyó la realización de las siguientes tareas (Manzano et al. 2013):
1) Elaboración de un marco conceptual para emprender el estudio de las relaciones aguas subterráneas-humedales-bienestar humano de forma sistemática. Dicho marco se plasmó en tres fichas temáticas en las que se recopiló la información necesaria sobre humedales vinculados a aguas subterráneas. La primera ficha está dedicada a datos generales básicos tales como localización, clasificación, dimensiones, estacionalidad, geología, hidrología, morfología, existencia o no de medidas de protección y de gestión, etc. La segunda ficha está dedicada al inventario de los servicios del humedal y a una evaluación cualitativa de la funcionalidad y la tendencia de evolución actual de los mismos. La tercera ficha está dedicada a identificar los principales impulsores de cambios en el funcionamiento de cada humedal y a evaluar, de forma cualitativa, el grado de influencia y la tendencia actual de evolución de cada impulsor.
2) Las tres fichas se distribuyeron por correo electrónico a decenas de investigadores, gestores y usuarios de humedales en Iberoamérica, España y Portugal, recopilándose 64 fichas correspondientes a humedales de 13 países, tomando el humedal en el sentido amplio de la convención Ramsar.
3) Para abordar la elaboración numérica de la infor-mación, los datos de las tres fichas de esos 64 humedales se sintetizaron en tres fichas únicas.
El presente trabajo se realiza sobre la base de la síntesis de la caracterización hidrológica de los humedales, del estado y tendencias de evolución de los servicios de abastecimiento (Figura 1) y del impacto y tendencias de evolución de los factores que impulsan cambios en dichos humedales, en relación con tres aspectos específicos: explotación intensiva de recursos, cambios en el uso del territorio y contaminación (Figura 2).
La metodología de MEA (2005) propone usar universalmente un código estilo semáforo con el fin de poder comparar resultados de trabajos realizados en sitios muy diversos. En relación con el estado de los servicios ecositémicos, dicho código propone emplear el color verde para representar un servicio “alto” (el servicio actúa a un nivel alto, lo cual es bueno), amarillo para la categoría “medio” y rojo para un servicio “bajo” (el servicio actúa a un nivel bajo, lo cual es malo). Respecto a los factores impulsores de cambios, el código de colores se aplica así: a) alto rojo (el factor perturba a un nivel alto, lo cual es malo); b) moderado amarillo; c) bajo verde (el factor perturba a un nivel bajo, lo cual es bueno).
Resultados y discusión
Aun cuando 64 humedales parece un número pequeño de casos de estudio para generalizar la descripción acerca de las características físicas e hidrológicas de los humedales en Iberoamérica y España, cabe aclarar que la recolección de información documentada constituye una tarea ardua, ante la cual se debe sacrificar la cantidad a favor de la calidad. No obstante, una mirada general (Figura 3), ya da cuenta de la variedad notoria de sistemas existentes. Los ambientes climáticos considerados involucran zonas húmedas o áridas y cálidas o frías, con distintos tipos de cobertura vegetal e incluso algunos salares. Respecto a la génesis de los humedales, prevalecen los de llanura costera y llanura de inundación y en menor número los de origen tectónico o erosivo, entre otros. En relación con las fuentes de agua que soportan el humedal, aparte de los aportes freáticos o desde acuíferos profundos, la precipitación y la escorrentía directa alimentan la mayoría de los sistemas. Todos los humedales considerados son permanentes, aun cuando en algunos de ellos existen zonas que se secan estacionalmente. Como era de esperar, la totalidad de los casos de estudio reportan distintos grados de alteración en la funcionalidad. El conocimiento que se ha logrado de los humedales considerados está soportado generalmente en modelos hidrológicos e hidrogeológicos conceptuales. En muy pocos casos se han desarrollado modelos numéricos o se han practicado estudios de validación mediante técnicas hidrogeoquímicas o de isótopos ambientales.
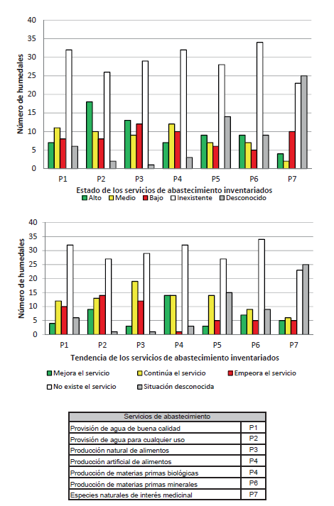
El estado de los servicios de abastecimiento y sus tendencias se muestran en la figura 4.

Estructura y contenido de la ficha de síntesis del inventario de servicios de abastecimiento de los humedales, su estado actual y su tendencia de evolución (es una presentación de parte del inventario).

Estructura y contenido de la ficha de síntesis de inventario de impulsores de cambios en el funcionamiento de los humedales y sus servicios (es una presentación de parte del inventario).

Características hidrológicas generales de los humedales estudiados.
La provisión de agua de buena calidad (P1) y para diversos fines (P2) son servicios que tienen un estado alto o medio en 18 y 28 humedales respectivamente, la tendencia más significativa es a mantener igual o empeorar el estado de dichos servicios.
La producción natural de recursos alimentarios (P3) y la producción artificial (P4) tienen estado alto o medio en unos 20 humedales. Se aprecia una diferencia significativa en las tendencias de estos servicios, ya que mientras P3 tiende a continuar o empeorar su estado, P4 tiende a continuar o mejorar.
La producción de materias primas biológicas (P5) y de materias primas minerales (P6) son servicios con estado alto o medio en un número similar de humedales, unos 16; la tendencia prioritaria de P5 es estable, mientras que para P6 los distintos tipos de tendencia considerados aparecen en un número similar de humedales.
Las especies naturales de interés medicinal (P7) están en estado alto o medio sólo en seis humedales. Hay un equilibrio entre mejorar, continuar o empeorar el servicio.
El conocimiento que se tiene acerca del estado de los servicios y de sus tendencias parece está suficientemente documentado (Betancur et al. 2013), con excepción de a) las sustancias de interés medicinal cuya existencia se desconoce en 25 casos de estudio y b) la producción de materias primas biológicas y minerales, que son desconocidas en 25 y 15 humedales respectivamente.

Estado de los servicios de abastecimiento evaluados y tendencia evolutiva de mismos.
Es de resaltar el hecho que existe un gran número de humedales que aparentemente no proporcionan servicios de abastecimiento. Esta situación podría obedecer a dos razones muy distintas: 1) que las personas que recolectaron los datos y confeccionaron las fichas desconozcan la situación de dichos servicios, lo que es muy plausible ya que algunos servicios son difíciles de evaluar si no existen indicadores concretos o si no se posee una mínima formación en relación con el concepto de servicios ecosistémicos y 2) que muchos humedales se encuentran en zonas poco pobladas, sin usuarios potenciales de esos servicios. La primera razón sugiere que es necesario tanto formar a las personas involucradas en las tareas de estudio y gestión de los humedales, como poner en marcha programas de adquisición de información relevante para evaluar todos los servicios que provee un humedal concreto. La segunda razón sugiere que dichos humedales gozan de condiciones favorables para su conservación, en la medida que el aprovechamiento futuro de los productos de abastecimiento pueda planificarse, previendo y controlando posibles impactos negativos por efecto de la extracción.
Los principales factores que inducen cambios en los servicios de abastecimiento se muestran en la figura 5. Entre los factores relacionados con la explotación intensiva de recursos, tanto la extracción de agua subterránea próxima al humedal (RO3) como en la cuenca (RO4) afectan a más de la mitad de los humedales inventariados, con un impacto alto o medio. En cuanto a la explotación biológica, principalmente los cultivos (RO5), con 34 humedales afectados, y en menos medida la ganadería (RO7) y la pesca (RO8), son factores de impacto significativo en el funcionamiento de los humedales.
Entre los factores relacionados con cambios en el uso del suelo, la agricultura extensiva (LU5) y la urbanización (LU7) aparecen como los principales impulsores de cambio e involucran a más del 50% de los humedales; le siguen la reforestación (LU1) y la agricultura extensiva (LU6), que afectan a unos 25 humedales en cada caso.
Entre los factores de contaminación, la actividad agrícola (P1) es el principal factor de cambio de los servicios de los humedales, afectando a más de la mitad de los humedales inventariados.
Existe un elevado número de humedales, entre 35 y 40, que aparentemente no se ven afectados por la extracción de agua del humedal y/o de sus afluentes, así como por la explotación de bosques. La mayoría de los humedales inventariados no están afectados por ninguno de los diversos factores relacionados con la explotación intensiva de recursos minerales.
Entre los impulsores relacionados con cambios en el uso del suelo considerados, la deforestación, la reforestación, el manejo de bosques y la sustitución de especies vegetales no aparecen en un número alto de humedales, entre 30 a 40. En cuanto a los factores de contaminación, la asociada a procesos de difusión atmosférica no está presente en 35 humedales.
El estado de los impulsores de cambio de los servicios y sus tendencias se conoce en la mayoría de los humedales inventariados, aunque con deficiencias y vacíos, según se ha comentado ya que las personas han informado de acuerdo con su conocimiento empírico en los aspectos que conocen y en los que no conocen han hecho una extrapolación con base en su propia formación. Debido a que los conceptos relativos a ecología y servicios ecosistémicos son muy ajenos a la formación de geólogos e ingenieros, es muy frecuente que no sepan identificar ciertos servicios ni evaluarlos y por ello un “no existe” significa en muchos casos “se desconoce”. En el proyecto IGCP 604 se ha usado estrictamente la metodología propuesta por MEA para evaluar el estado de los servicios y su evolución, y los impulsores que producen cambios y su tendencia. A futuro se deberán realizar nuevas evaluaciones usando conjuntos de indicadores concretos para cada servicio/impulsor de cambio, e implementar metodologías de valoración de los servicios.
En resumen, parece ser que son las actividades relacionados con la agricultura - tanto en términos de explotación, uso del territorio y contaminación - las que inducen mayores cambios sobre el humedal, al contrario de la extracción minera, que sería la que menos está afectando los servicios. Igualmente vale la pena resaltar el hecho que hasta ahora los efectos de la extracción de agua desde el humedal o desde los afluentes pueden controlarse y debe prestarse más atención al beneficio del agua subterránea

Conclusiones
En este trabajo se identifican y evalúan de forma preliminar los servicios de abastecimiento que proporcionan un número representativo de humedales vinculados a las aguas subterráneas de Iberoamérica y España y que contribuyen al bienestar humano. Diversos científicos, gestores y usuarios de humedales de casi todos los países del área de estudio han suministrado información acerca de 64 humedales. Aun cuando el número de casos inventariados es relativamente pequeño, la representatividad de los resultados se sustenta en el hecho de estar apoyados en evidencias documentales, aportadas por los actores responsables del reporte de la información. La metodología propuesta inicialmente por MEA y adoptada en este proyecto, justifica en principio la evaluación cualitativa; esta se obtiene muchas veces con el concurso de profesionales, que si bien no son expertos en temáticas relacionadas con los servicios, impulsores e impactos, tienen experiencia en los aspectos físicos e hidrogeológicos. Futuras evaluaciones darán cuenta del uso de indicadores concretos para cada servicio/impulsor de cambio, y podrán implementar metodologías de valoración de los servicios.
La provisión de agua de buena calidad y para diversos fines, son servicios que tienen un estado alto o medio en un buen número de humedales. No obstante el papel importante que representan estos servicios para el bienestar humano y las actividades socioeconómicas, la tendencia más significativa es a continuar o empeorar el estado de dichos servicios. Esto se relaciona con la disminución de la cantidad de agua disponible en muchos humedales como consecuencia de factores como la explotación intensiva de agua subterránea próxima al humedal y de la cuenca, los cambios en los usos del territorio, que incluyen agricultura y ganadería extensivas, y la contaminación agrícola, entre otros.
La producción natural de recursos alimenticios y la producción artificial son también servicios que presentan un estado alto o medio en buen número de humedales. Se aprecia una diferencia significativa en las tendencias de estos servicios. La producción natural de recursos alimenticios tiende a continuar o empeorar, probablemente debido a la explotación biológica intensiva a través de la pesca, mientras que la producción artificial de alimentos tiende a continuar o mejorar, siendo la causa más probable el creciente uso del territorio cercano y del agua de los humedales para cultivar.
Los principales impulsores de cambios en el funcionamiento de los 64 humedales estudiados y en sus servicios, que tienen un impacto alto o medio, son en orden decreciente de impacto (sólo los que afectan a 32 o más humedales): Extracción de agua subterránea (como impulsor de explotación intensiva de recursos) > Agricultura extensiva (como impulsor de cambios en el uso del territorio) > Urbanización (como impulsor de cambios en el uso del territorio) > Contaminación difusa agrícola (como impulsor de contaminación) > Cultivos tradicionales (como impulsor de explotación biológica).
Muchos servicios han sido reportados como no existentes en muchos de los humedales. Esto se puede interpretar de dos maneras: 1) para que una función natural de un ecosistema se transforme en servicio, debe existir un usuario que se beneficie de dicha función, pero muchos de los humedales inventariados están en áreas protegidas o en áreas poco pobladas en cuyo entorno cercano no viven seres humanos y por tanto no hay usuarios humanos ni servicios a los mismos; 2) también podría tratarse de un resultado falso, derivado del que las personas que confeccionaron las fichas, siendo expertas en otros aspectos, desconocían los conceptos relativos a los servicios de los ecosistemas o de algunos de ellos.
Cabe destacar que adicionalmente a los resultados concretos de este estudio, su validez e importancia se resalta en la medida en que a partir del marco conceptual y metodológico se puedan adelantar iniciativas de nuevos estudios. Por un lado estudios para avanzar en el conocimiento de los sistemas que ya se vienen estudiando y de otro para emprender la priorización, delimitación y definición de alcances en la evaluación de ecosistemas estratégicos que se identifiquen en distintas localidades. La modelación conceptual sustentada en el conocimiento y monitoreo hidrológico, hidroquímico, hidrogeoquímico e isotópico ambiental, es la ruta para abordar y consolidar el conocimiento científico de estos ecosistemas estratégicos, con el apoyo final cuando es razonable y viable de la modelación matemática, bien sea con modelos sencillos o con modelos numéricos de flujo y de transporte de masa cuando sea posible y conveniente. La evaluación y la aplicación de técnicas de valoración de los servicios deben constituir una meta hacia la que se apunte al futuro. La operatividad de los organismos de gestión a distintas escalas, involucrando entes gubernamentales y la participación de actores clave constituyen una necesidad imperiosa para lograr la sostenibilidad ambiental. No hay una ruta única a seguir. Cada nación traza y trazará su recorrido a partir de la elaboración de una línea base de conocimiento, posiblemente a escala regional, que podría partir del ejercicio de superposición de los mapas de humedales y sistemas hidrogeológicos, para proseguir con la caracterización del conocimiento que se tenga en materia de servicios, factores de cambio y medidas de gestión.
Agradecimientos
Este trabajo es parte del proyecto IGCP 604 Groundwater and Wetlands in Ibero-America (http://www.mdp.edu.ar/hidrogeologia/IGCP604/index.php), soportado por Unesco. Se agradece la colaboración de todos los profesionales que han contribuido voluntariamente al inventario de humedales.
Referencias
Betancur, T., E. Bocanegra, M. Manzano, E. Custodio y G. Cardoso da Silva. 2013. Acerca del estado del conocimiento respecto a las interacciones aguas subterráneas - humedales - bienestar humano en Iberoamérica y la Península Ibérica. Pp. 255–262. En: González, N., E. E. Kruse, M. M. Trovatto y P. Laurencena (Eds.). Temas actuales sobre la hidrología subterránea. Editorial de la Universidad Nacional de La Plata (Edulp). La Plata.
Bocanegra, E., M. Manzano, T. Betancur, E. Custodio y G. Cardoso da Silva. 2012. Caracterización preliminar de las interacciones aguas subterráneas - humedales - ser humano en Iberoamérica. Pp: 5. En: Actas XI Congreso Latinoamericano de Hidrogeología. Cartagena de Indias, Colombia.
Bocanegra, E., M. Manzano, E. Custodio, T. Betancur y G. Cardoso da Silva. 2014. Análisis de las acciones de gestión en humedales que brindan servicios altos al bienestar humano en Iberoamérica. Pp: 8. En: Actas V Congreso Colombiano de Hidrogeología. Medellín, Colombia.
Boyd, J. y S. Banzhaf. 2007. What are ecosystem services? The need for standardized environmental accounting units. Ecological Economics 63 (2-3): 616 - 626.
Custodio, E. 2010. Las aguas subterráneas como elemento básico de la existencia de numerosos humedales. Ingeniería del Agua 17 (2): 119-135.
Costanza, R., R. d’Arge, R. de Groot, S. Farber, M. Grasso, B. Hannon, K. Limburg, S. Naeem, R. V. O’Neill, J. Paruelo, R. G. Raskin, P. Suttonkk y M van den Belt. 1997. The value of the world’s ecosystem services and natural capital. Nature 387: 253-260.
Daily, G. C. 1997. Nature´s services: Societal dependence on natural ecosystems. Island Press. Washington, D.C. 375 pp.
Evaluación de los Ecosistemas del Milenio (MEA). 2005. Los ecosistemas y el bienestar humano: humedales y agua. Informe de síntesis. World Resources Institute, Washington, D.C. 68 pp.
Fisher, B., K. R. Turner y P. Morling. 2008. Defining and classifying ecosystem services for decision making. Ecological Economics 68 (3): 643 - 653.
McEwan, K., I. Jolly y K. Holland. 2006. Groundwater-surface water interactions in arid/semi-arid wetlands and the consequences of salinity for wetland ecology. Informe Técnico. CSIRO Land and Water. Burnside. 36 pp.
Manzano, M., E. Bocanegra, E. Custodio, T. Betancur y G. Cardoso da Silva. 2013. Una aproximación a los servicios al bienestar humano de los humedales vinculados a las aguas subterráneas con Iberoamérica. Pp: 953-966. En: Libro de Resúmenes del X Simpósio de Hidrogeología. Granada, España.
Margat J. y J. van der Gun. 2013. Groundwater around the world: A geographic synopsis. Unesco–PHI. IGRAC. CRC Press-Taylor and Francis Group, London, UK. 376 pp.
Mitsch, W. J. y J. G. Gosselink. 2000. Wetlands. Tercera Edición. John Wiley. New York. 920 pp.
Ramsar. 2010. Ramsar handbooks for the wise use of wetlands. Cuarta edición. Ramsar Convention Secretariat. Gland. 60 pp.
Schot, P. y T. Winter. 2006. Groundwater–surface water interactions in wetlands for integrated water resources management. Journal of Hydrology 320 (3-4): 261–263.
Townley, L. R. y M. G. Trefry. 2000. Surface water-groundwater interaction near shallow circular lakes: Flow geometry in three dimensions. Water Resources Research 36 (4): 935-948.
Vilardy, S., U. Jaramillo, C. Flórez, J. Cortes-Duque, L. Estupiñán, J. Rodríguez, O. Acevedo, W. Samacá, A. Santo, S. Peláez y C. Aponte. 2014. Principios y criterios para la delimitación de humedales continentales. Una herramienta para fortalecer la resiliencia y la adaptación al cambio climático en Colombia. Instituto de Investigación de Recursos Biológicos Alexander von Humboldt. Bogotá, D. C. 86 pp.
Wada, Y., L. P. H. van Beek y F. F. Bierkens. 2012. Nonsustainable groundwater sustaining irrigation: A global assessment. Water Resources Research 48 (6): 1-18.
Winter, T. C., J. W. Harvey, O. L. Franke y W. M. Alley. 1998. Groundwater and surface water a single resource. Circular 1139. U.S. Geological Survey. Denver. 79 pp.
Información adicional
Citación del artículo: Betancur, T., E. Bocanegra, E. Custodio, M. Manzano y G. Cardoso da Silva. 2016. Estado y factores de cambio de los servicios ecosistémicos de aprovisionamiento en humedales relacionados con aguas subterráneas en Iberoamérica y España. Biota Colombiana 16 (Suplemento 1- Humedales): 106-119. DOI: 10.21068/c2016s01a06.