Artículo
Composición y estructura florística en bosques de los Andes y del piedemonte de la Orinoquia colombiana
Composition and floristic structure in Andean and Piedmont Forests of the Colombian Orinoquia
Composición y estructura florística en bosques de los Andes y del piedemonte de la Orinoquia colombiana
Biota colombiana, vol. 25, e1132, 2024
Instituto Alexander von Humboldt
Received: 13 February 2023
Accepted: 15 November 2023
Published: 20 September 2024
Resumen: Si bien la información de la composición y estructura florística de los bosques es fundamental para proponer acciones de conservación, los bosques subandinos y del piedemonte de la Orinoquia han sido poco estudiados en este respecto. En esta investigación se caracterizó la estructura y composición florística de los bosques ribereños y de tierra firme del Piedemonte (250-500 m de altitud) y de los Andes (1400-2000 m de altitud) de Casanare y Arauca en diecinueve parcelas de 0,1 ha. Se censaron en total 4886 individuos de 475 especies, 204 géneros y 74 familias. Las especies más abundantes fueron: Socratea exorrhiza, Rudgea crassiloba, Oenocarpus minor y Siparuna guianensis. El cálculo de riqueza estimada arrojó un resultado de 52-69 % de las especies esperadas en el muestreo de los bosques estudiados. Los bosques subandinos en Casanare registraron la mayor equitatividad (índice de Shannon) y riqueza (S), y un bosque de tierra firme en el Piedemonte de Casanare registró la mayor dominancia (índice de Simpson). La familia dominante en los bosques del piedemonte fue Fabaceae, mientras que en los bosques subandinos fue Lauraceae. Así, este artículo presenta nuevos registros para la flora del Casanare y amplía el conocimiento de las formaciones vegetales en los Andes y el Piedemonte de la Orinoquia en Colombia.
Palabras clave: Bosque de tierra firme, bosque ribereño, bosque subandino, diversidad florística, riqueza florística.
Abstract: Although information on the composition and floristic structure of forests is fundamental for proposing conservation actions, the sub-Andean and piedmont forests of the Orinoquia have been little studied in this regard. This research characterized the floristic structure and composition of the riparian and terra firme forests of the piedmont (250-500 m altitude) and the Andes (1400-2000 m altitude) of Casanare and Arauca in nineteen plots of 0.1 ha. A total of 4886 individuals of 475 species, 204 genera and 74 families were censused. The most abundant species were: Socratea exorrhiza, Rudgea crassiloba, Oenocarpus minor and Siparuna guianensis. The estimated richness calculation yielded a result of 52-69 % of the expected species in the sample of the studied forests. The sub-Andean forests in Casanare recorded the highest evenness (Shannon index) and richness (S), and a terra firme forest in the piedmont of Casanare recorded the highest dominance (Simpson's index). The dominant family in piedmont forests was Fabaceae, while in sub-Andean forests it was Lauraceae. This article presents new records for the flora of Casanare and expands the knowledge of the plant formations in the Andes and the piedmont of the Orinoquia in Colombia.
Keywords: Terra firme forest, riparian forest, sub-Andean forest, floristic diversity, floristic richness.
Introducción
El conocimiento de la flora en la región de la Orinoquia se ha venido documentando desde la segunda mitad del siglo pasado, pero es en las últimas dos décadas que se ha compilado en las listas de especies de Rangel et al. (1995), Minorta y Rangel (2015) y Bernal et al. (2015). En el departamento del Casanare diversos documentos han contribuido al conocimiento de las comunidades vegetales en el departamento: inventarios florísticos realizados en bosques del piedemonte (Viña, 1995; Alvira, 1997; Alvira & Viña, 1999; Viña & Estévez, 2019); trabajos en bosques de galería y sabanas inundables de Orocué (Miranda, 2006; Ariza & Baptiste, 2009); la flora del municipio de Aguazul (Díaz et al., 2018); estudios asociados a la cuenca baja del río Pauto (Pinzón et al., 2011; Cabrera & Rivera, 2016; Cabrera et al., 2020); listados de especies asociadas a humedales compilados por Córdoba (2004) y Casas (2009); y las compilaciones sobre la flora del Casanare realizadas por Córdoba et al. (2011) y Mora et al. (2011). Para el departamento de Arauca se publicó la compilación realizada por Rangel (2019) sobre sabanas y humedales, así como los estudios realizados en morichales, en zurales boscosos (Pérez & Mijares, 2013; Mijares & Pérez, 2019) y en fragmentos de bosque aislados, al interior de sabanas inundables (Pérez et al., 2020).
La mayoría de estas investigaciones florísticas de Casanare y Arauca se han llevado a cabo en las llanuras adyacentes a la Orinoquia, particularmente en los bosques de llanura aluvial y en el complejo bioma de sabanas. Sin embargo, el ecotono Andino-Orinoquia -en la vertiente orinoquense de los Andes y la zona de piedemonte- es un área poco estudiada, pese a ser una de las regiones con mayor diversidad florística del Neotrópico. Sobre esta subregión solo se conocen los estudios realizados en los municipios de Chámeza y Recetor, del departamento de Casanare, por Trujillo y Henao (2018), y Jacquin y Gómez (2021); y en San Luis de Cubarral, del departamento del Meta, por Torrejano (2019).
Comprender la variación espacial de la composición, diversidad y estructura de las especies leñosas es un desafío para la ecología de comunidades (Lomolino, 2008). Sin embargo, la información sobre la estructura y composición de los bosques es importante para preservar la biodiversidad y conservar los hábitats de especies raras (Maracahipes et al., 2015). Además, la estructura del bosque es un factor importante que determina la abundancia y actividad de la fauna, principalmente de murciélagos y aves (Erickson & West, 2002; Ferreira et al., 2017), que juegan un papel importante en el mantenimiento de los ecosistemas tropicales a través de la dispersión de semillas, la polinización y la regulación de poblaciones de invertebrados (Kunz et al., 2011). Es por esto que en el presente artículo se describe la composición y estructura florística de once bosques en cuatro municipios y ocho veredas subandinas y del piedemonte de los departamentos de Casanare y Arauca. Además, se presentan nuevos registros para la región y para los departamentos estudiados.
Materiales y métodos
Área de estudio
El área de estudio se ubica en el zonobioma de estribaciones tropicales húmedas de la cuenca del Orinoco, según la clasificación propuesta por Rodríguez et al. (2006), o bosque húmedo tropical, según la clasificación bioclimática de Holdridge (1978). En esta zona la temperatura media anual es de 28 °C y la precipitación de 2000-4000 mm por año.
Los muestreos se realizaron en bosques que eran objeto de extracción selectiva de maderas en once localidades de cuatro municipios en los departamentos de Casanare y Arauca (Tabla 1 y Figura 1). Los bosques estudiados fueron clasificados en dos tipos: 1) bosques de tierra firme y 2) bosques ribereños (Tabla 1). Los bosques ribereños se ubican en la orilla de los ríos, quebradas o caños, y se ven influenciados regularmente por sus aguas continentales (Naiman & Decamps, 1997). Esta clasificación incluye los bosques ubicados en planos de inundación y diques de ribera (zonas no inundables a la orilla de los ríos). En cambio, los bosques de tierra firme están ubicados lejos de la ribera de los ríos y no se inundan, aunque pueden tener un alto nivel freático o estar atravesados por cuerpos de agua menores.


En Chámeza los bosques estudiados (subandinos) se extendían por más de 100 ha en zona de baldío. Por su parte, en Recetor los bosques comprendían de 10 a 20 ha, con pendientes de cerca del 35 al 45 %. Para el caso de Tame y Támara (piedemonte) se estudiaron fragmentos de 5 a 80 ha en diferente estado sucesional -debido a la influencia de incendios- con pendientes de cerca del 5 al 20 %.
Trabajo de campo
Para esta investigación se empleó una modificación de la metodología propuesta por Gentry (1982), que consistió en censar todos los individuos con un diámetro a la altura del pecho (DAP) mayor o igual a 2,5 cm en parcelas de 0,1 ha (DAP medido a 1,3 m desde la superficie del suelo). Se midió el DAP de cada individuo censado y se estimó su altura total. Cada parcela consistió en 10 subunidades o transectos de 50 x 2 m, ubicados en un mismo tipo de bosque y separados de 10 a 20 m entre sí. En cada tipo de bosque se realizaron 20 transectos de 50 x 2 m, es decir, se muestrearon 0,2 ha de bosque.
Determinación taxonómica
Las colecciones botánicas fueron determinadas taxonómicamente en el Herbario Nacional Colombiano (COL) del Instituto de Ciencias Naturales de la Universidad Nacional de Colombia y depositadas en el Herbario Federico Medem Bogotá (FMB) del Instituto Humboldt, con duplicados en COL. La nomenclatura sigue la empleada en la base de datos del Missouri Botanical Garden (www.tropicos.org), la cual concuerda con el sistema de clasificación APG III. Las colecciones se realizaron en el marco de la Resolución No. 500.41-16-0883 del 19 de julio de 2016, por medio de la cual se otorga permiso individual de recolección de especímenes silvestres de la diversidad biológica con fines de investigación científica no comercial.
Tratamiento de datos
Con los datos de presencia, altura total y DAP de cada árbol censado se calculó la abundancia (Ab), la frecuencia (Fr) y la dominancia (Dr) en sus valores relativos. Las fórmulas empleadas fueron las siguientes:

N = número de individuos de una especie; Nt = número total de individuos.

a = número de apariciones de una determinada especie en las subunidades de muestreo; A = suma de la frecuencia de todas las especies.

AB = área basal de una especie o familia; ABt = área basal total.
El área basal se expresa como:

Pi = constante 3,1416; D = diámetro a la altura del pecho (DAP).
Usando los valores relativos de abundancia, frecuencia y dominancia se calculó el índice de valor de importancia (IVI), el cual se expresa como:

La diversidad alfa (α) de la comunidad se calculó con el índice de equidad de Shannon y el índice de dominancia de Simpson (Moreno, 2001). Por otra parte, se empleó el método Jackknife 2 -con datos de presencia-ausencia por parcela- para estimar la completitud del muestreo y determinar el número de especies que se esperaban a partir de este (Moreno, 2001). También se usaron curvas de acumulación de especies, que fueron calculadas usando los paquetes “vegan” (Oksanen et al., 2022) e “iNEXT” (Hsieh et al., 2016) en el software R Core Team versión 4.3.2 (2023).
Resultados
Composición florística
Se encontró un total de 4886 individuos, agrupados en 475 especies, 204 géneros y 74 familias (Tabla 2), los cuales fueron censados en 1,9 ha a lo largo del área de estudio. Fabaceae fue la familia mejor representada, con 44 especies; seguida por Lauraceae, Melastomataceae y Rubiaceae, con 34, 31 y 29 especies respectivamente; mientras que los géneros Miconia, Inga y Piper registraron el mayor número de especies, con 31, 26 y 25 especies respectivamente (Figura 2). Las especies más abundantes en todo el muestreo fueron Socratea exorrhiza y Rudgea crassiloba (Tabla 2). Del total de especies registradas, 236 se encontraron en Támara, 219 en Tame y 166 en Chámeza y Recetor. La distribución de especies por departamentos arroja un total de 372 en Casanare (Támara, Chámeza y Recetor) y 219 en Arauca (Tame). A continuación, se presentan los resultados de diversidad, composición y estructura florística en el área de estudio.


Riqueza
Piedemonte de Casanare
El bosque ribereño de las parcelas SP2 y SP3 presentó la riqueza más alta, con 102 especies en 0,2 ha. Debido a la heterogeneidad local del hábitat, y a que las parcelas se ubicaron en sitios con diferente régimen de inundación (plano de inundación y dique de ribera), se presentaron diferencias notables en el número de especies entre parcelas (SP2 = 80 y SP3 = 53). De manera contrastante, las parcelas en bosque de tierra firme TA1 y TA16 presentaron una estructura y una composición relativamente homogénea, así como valores de riqueza similares, con 60 y 65 especies respectivamente (Figura 3).

Piedemonte en Arauca
En Tame se registraron entre 47 y 69 especies por parcela. El valor más alto de riqueza fue registrado en el bosque de tierra firme EB19, con 69 especies; seguido por el bosque ribereño BP17, con 65 especies. La riqueza en el piedemonte de Tame fue levemente más baja que en las parcelas del piedemonte de Casanare (Figura 3).
Bosques subandinos de Casanare
En Casanare, el bosque de tierra firme BT registró la mayor riqueza de todo el muestreo, con 112 especies en total (BT11 = 85 y BT9 = 64) (Figura 3). Este bosque presentó una riqueza levemente mayor al promedio registrado en las parcelas de muestreo en otros sitios.
Distribución de abundancias
Piedemonte de Casanare
El bosque de tierra firme CS registró la dominancia más alta según el índice de Simpson. Acá, Rudgea crassiloba registró el 31,43 % de la abundancia relativa. En el bosque ribereño de Támara QH, las abundancias relativas de Ardisia foetida, Garcinia madruno y Trichilia pleeana alcanzaron un 45 % de representación, el segundo valor más alto de dominancia en los bosques del piedemonte de Casanare. Por otro lado, los bosques de tierra firme SP y TA mostraron valores bajos de dominancia -inferiores al 12 %-. Sin embargo, respecto a la equitatividad, estos mismos bosques (SP y TA) registraron los valores más altos en el piedemonte de Casanare, mientras que el bosque ribereño QH y el bosque de tierra firme CS tuvieron los más bajos según el índice de Shannon (Tabla 3).

Piedemonte de Arauca
El bosque de tierra firme PU y el bosque ribereño BP registraron la dominancia más alta debido a la abundancia de palmas Socratea exorrhiza y Oenocarpus minor (Tabla 3). El bosque ribereño EB y los bosques de tierra firme CA4 y CA5 registraron valores de dominancia inferiores a 0,07, con abundancias relativas por especie inferiores al 20 %. El bosque con mayor equitatividad fue el bosque ribereño EB, seguido por el bosque de tierra firme CA4. Finalmente, el bosque con menor equitatividad fue el bosque de tierra firme PU, donde dominan ampliamente las palmas.
Bosques subandinos de Casanare
En los bosques subandinos se registró la dominancia más baja de todos los sitios, dado que las especies registradas no superan el 15 % de abundancia relativa. El bosque subandino BT obtuvo los valores más altos de equitatividad en relación con los demás sitios muestreados (Tabla 3).
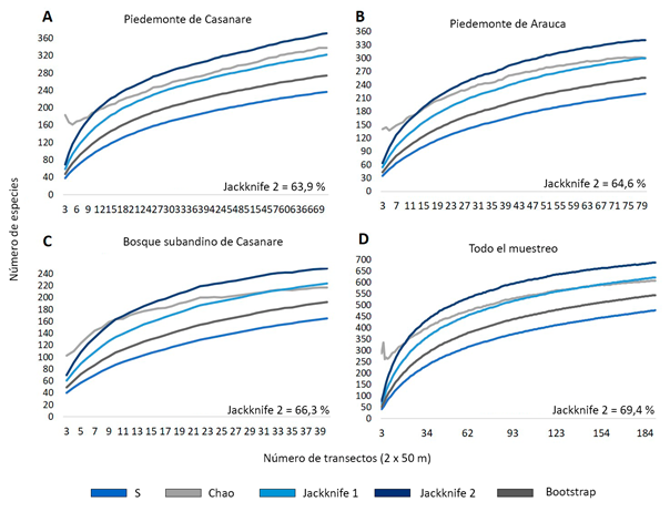
Completitud del muestreo
En el muestreo de las parcelas establecidas en el piedemonte de Casanare se obtuvo una completitud del 63,9 % de las especies estimadas, en el piedemonte de Arauca un 64,6 % y en los bosques subandinos un 66,3 % de la riqueza estimada. Las 475 especies registradas en las 19 parcelas estudiadas representaron el 69,4 % de las especies potencialmente presentes en el área de estudio (Figura 4).

Piedemonte de Casanare
Las especies registradas en el bosque de tierra firme TA representaron el 63 % de las estimadas. En los bosques ribereños SP y QH los porcentajes de representatividad de la muestra fueron de 57 % y 83 % respectivamente. En el caso del bosque secundario de tierra firme CS se obtuvo casi el 70 % de las especies esperadas (Figura 5).
Piedemonte de Arauca
El muestreo en las dos parcelas del bosque de tierra firme PU alcanzó el 64 % de las especies esperadas. En este bosque la riqueza de especies fue baja, mientras que la dominancia de las palmas Socratea exorrhiza y Oenocarpus minor fue alta. Pese a la baja riqueza y la evidencia de extracción selectiva de algunas especies maderables, estos fragmentos de bosque se encuentran en buen estado de conservación y son importantes porque protegen los nacimientos de agua, a la vez que ofrecen refugio a la fauna silvestre, que se encuentra rodeada por una matriz de pastos para ganadería. El bosque de tierra firme EB presentó una de las riquezas más altas en Tame, sin embargo, su completitud fue baja, del 52 % (Figura 5).
El bosque de tierra firme CA4 registró una riqueza observada de 55 especies, que representan el 61 % de las estimadas. Estos valores de completitud están por encima de los encontrados en los otros bosques de tierra firme del piedemonte de Arauca (CA5, EB, BP). CA4 es un bosque secundario que tiene aproximadamente 15 años -según informan los pobladores locales- y crece sobre un terreno levemente inclinado. Por otra parte, en el bosque de tierra firme CA5 se obtuvo el 62 % de las especies esperadas, una completitud relativamente baja en relación con el resto de los bosques de tierra firme (Figura 5). CA5 es un bosque primario, con un alto nivel freático y una alta dominancia de tres especies de palmas, en él se encuentran múltiples nacimientos que nutren pequeños cuerpos de agua sobre un terreno levemente inclinado.

Bosques subandinos de Casanare
En el bosque subandino BT se alcanzó un 69 % de las especies esperadas. Este es un bosque en buen estado de conservación, aunque presenta señales de extracción selectiva de maderas en el pasado reciente. En cambio, en el bosque subandino de Chámeza AR se muestrearon el 61 % de las especies estimadas (Figura 5). Este bosque está ubicado en los límites entre Casanare y Boyacá, a 2100 m de altitud (Figura 1).
Densidad
Piedemonte de Casanare
En el bosque de tierra firme CS14 se registró la mayor densidad, con valores extraordinariamente altos si se comparan con los registrados en el resto de las parcelas (Figura 6).
Piedemonte de Arauca
El bosque de tierra firme PU arrojó los valores de densidad más altos en el piedemonte de Arauca (Figura 6). Lo que contrasta con sus valores relativamente bajos de riqueza (Figura 3), que se deben a altas abundancias concentradas en unas pocas especies de palmas. La densidad en el resto de las parcelas del piedemonte de Arauca registró valores máximos de 35 individuos/100 m2 (Figura 6).

Bosques subandinos de Casanare
El bosque secundario de tierra firme del piedemonte de Casanare CS14 registró el valor más alto de densidad de todos los sitios de muestreo, seguido del bosque subandino AR12, con un promedio de 36 árboles/100 m2. De manera contrastante, la parcela AR10, correspondiente también a bosque subandino de tierra firme, resultó tener valores de densidad mucho menores (13-36 individuos/100 m2) (Figura 6). La densidad en los bosques subandinos de Casanare fue más homogénea que en el piedemonte, con valores promedio de 25 y 27 individuos por transecto.
Importancia ecológica de las especies
En la Tabla 4 se muestran los valores de importancia ecológica según el índice de valor de importancia de los bosques de tierra firme y los bosques ribereños del piedemonte de Casanare y Arauca, así como de los bosques subandinos de Casanare. También se presentan las diez especies de cada zona estudiada con los mayores valores del IVI. En el Anexo 1 se presentan los valores para todas las especies.

Piedemonte de Casanare
Los mayores valores del índice de importancia ecológica (IVI) en los bosques de tierra firme los reportaron las especies Siparuna guianensis (75,97), Protium calanense (63,74) y Tapirira guianensis (61,46). En cuanto a los bosques de ribera, las especies Trichilia pleeana (65,59), Trichilia pallida (63,75) y Ardisia foetida (63,37) fueron las más importantes (Tabla 4).
Piedemonte de Arauca
Los valores más altos del IVI en los bosques de tierra firme los reportaron las especies Socratea exorrhiza (77,92), Terminalia amazonia (68,96) y Oenocarpus minor (67,80), al ser las más abundantes. Por su parte, en los bosques de ribera las especies Socratea exorrhiza (121,23), Oenocarpus minor (114,58) y Croton sp.1 (72,50) fueron las más importantes (Tabla 4).
Bosques subandinos de Casanare
Alchornea glandulosa (77,15), Helicostylis tovarensis (68,26) y Wettinia praemorsa (66,64) fueron las especies ecológicamente más importantes en los bosques de tierra firme, ya que presentaron mayor abundancia, frecuencia y dominancia (Tabla 4).
Novedades corológicas
Se registraron varias especies que no estaban reportadas en las listas de especies publicadas para Casanare y la Orinoquia (Minorta & Rangel, 2015; Córdoba et al., 2011; Bernal et al., 2015). Esta ausencia de registros se debe a los vacíos de información florística, principalmente de los bosques subandinos de Casanare (Chámeza y Recetor). En la Tabla 5 se presentan las novedades corológicas obtenidas para el departamento de Casanare, seis provienen de Chámeza y Recetor y una de Támara. Aunque se debe confirmar su identidad taxonómica, ya que se colectaron estériles, estas son otras posibles novedades corológicas registradas durante la investigación: Swartzia cf. dipetala, Vochysia cf. duquei, Dilodendron cf. elegans, Zanthoxylum cf. fagara, Meriania cf. haemantha, Alchornea cf. latifolia, Monteverdia cf. oblongata, Miconia cf. pulvinata, Cestrum cf. racemosum, Conceveiba cf. rhytidocarpa, Zanthoxylum cf. setulosum, Platymiscium cf. stipulare, Henriettea cf. tuberculosa, Lonchocarpus cf. velutinus y Arachnothryx cf. glabrata. Si bien no fue posible identificarlas con plena certeza, es altamente probable que el nombre asignado corresponda a su identidad y que estos sean los primeros registros para el departamento.

Discusión
Composición florística
El número de especies registradas en las localidades estudiadas de Casanare (Támara y Chámeza-Recetor), representa el 43 % de las reportadas por Bernal et al. (2015) y el 32 % de las registradas por Córdoba et al. (2011). A su vez, el total de especies registradas representa el 15 % de las especies de plantas con flores reportadas para Orinoquia por Minorta y Rangel (2015). La composición florística concuerda con los patrones conocidos para las diferentes franjas altitudinales de los Andes en el Neotrópico (Gentry, 1988; Gentry, 1995). Esto es así para la región de la Orinoquia en Colombia (Minorta & Rangel, 2015) y, específicamente, para el departamento de Casanare (Córdoba et al., 2011; Bernal et al., 2015), donde Fabaceae fue la familia con el mayor número de especies en altitudes por debajo de los 1000 m s. n. m., mientras que en los bosques subandinos de Chámeza-Recetor, entre los 1500 y 2000 m de altitud, predomina Lauraceae como la familia con mayor riqueza (Figura 2A). Los tres géneros más representados en el área de estudio, que además están entre los 50 géneros más diversos a nivel mundial (Frodin, 2004), fueron Miconia, Inga y Piper (Figura 2B). Entre ellos, Miconia e Inga registraron el mayor número de especies en los trabajos de Córdoba et al. (2011) y Bernal et al. (2015).
En cuanto a las cuatro especies más abundantes registradas en todo el muestreo (Tabla 2), Rudgea crassiloba y Siparuna guianensis se encontraron en el piedemonte de Casanare y Arauca, mientras que Socratea exorrhiza y Oenocarpus minor se registraron únicamente en el piedemonte de Arauca (Tame). Ninguna de estas se encontró en los bosques subandinos de Casanare (Chámeza y Recetor), sin embargo, Garcinia madruno, que ocupa el quinto lugar en abundancia, fue registrada en los tres sitios, lo que la hace la especie más generalista. Estas cinco especies constituyen importantes taxones para la estructura de las comunidades estudiadas. En los bosques del piedemonte de Arauca (Tame), las palmas Socratea exorrhiza y Oenocarpus minor representaron los elementos florísticos más importantes por su abundancia, frecuencia y dominancia, mientras que en Támara, especies generalistas y de mediano porte, como Rudgea crassiloba y Siparuna guianensis, constituyeron los elementos predominantes.
Alchornea glandulosa, que alcanza tallas de hasta 33 metros de altura, fue registrada en los tres sitios de muestreo (Tame, Támara y Chámeza-Recetor), pero con valores de abundancia mucho más altos en los bosques subandinos de Casanare (Chámeza y Recetor). Esta especie constituye un elemento florístico importante, pues hace parte del grupo de especies que componen el dosel y el estrato emergente de la mayoría de los bosques estudiados. Por otro lado, la especie Ardisia foetida, que se encontró únicamente en un bosque ribereño en el piedemonte de Casanare (Támara), registró valores altos de abundancia relativa, lo que la hace un elemento característico de estos bosques. Oenocarpus minor y Socratea exorrhiza fueron registradas solamente en el piedemonte de Arauca, sin embargo, su distribución natural incluye también el piedemonte de Casanare y los bosques subandinos.
Las especies de alta importancia ecológica registradas en este estudio (Tabla 2 y Tabla 4), como Siparuna guianensis y Rudgea crassiloba en el estrato de sotobosque, y Garcinia madruno y Alchornea glandulosa en el estrato arbóreo, han sido reportadas previamente como elementos clave de los bosques de tierra firme del piedemonte andino de la Orinoquia (Aldana et al., 2017; Alvira, 1997; Pérez, 2005; Viña, 1995). Por su parte, la especie Ficus insipida ha sido reportada como un elemento importante de los bosques de planicies aluviales (Aldana et al., 2017). De acuerdo con los resultados de este estudio, algunas especies abundantes de estratos medios y bajos, como Trichilia pallida y Warszewiczia coccinea (Tabla 2 y Tabla 4), también han sido reportadas como abundantes en los bosques de tierra firme del Parque Nacional Natural Tinigua, en el límite de las regiones Amazonia-Orinoquia (Pérez, 2005). Aunque Rudgea crassiloba se registró en esta investigación como una de las especies más abundantes en tierra firme y en los bosques de ribera de Arauca, estudios previos en otras zonas de la Orinoquia no la ubican entre los taxones más importantes. También se reconocieron como elemento florístico importante en bosques de tierra firme las especies Spondias mombin y Socratea exorrhiza (Tabla 4). No obstante, otros estudios han encontrado valores altos de IVI para S. exorrhiza en bosques inundables de la región de la Orinoquia, específicamente en el Parque Nacional Natural Tinigua y cerca al río Tomo (Vichada) (Aldana et al., 2017).
Los árboles que habitan áreas inundadas pueden presentar adaptaciones morfológicas que se dan para resistir las condiciones de estrés causadas por la anoxia (Voesenek & Bailey 2015). Si bien la supervivencia y la producción de biomasa pueden verse influenciadas por estas adaptaciones, estudios florísticos en el noroeste de la Amazonia indican que las especies comunes que se encuentran en ambientes inundados y pantanosos también están presentes en bosques bien drenados de tierra firme (Rosales et al., 1999, Duivenvoorden, 1996, Pitman et al., 2014), lo que concuerda con los descubrimientos realizados en este estudio. Por su parte, Hoorn et al. (2010) sugieren que las presiones evolutivas que sufren los árboles para adaptarse a las condiciones ambientales específicas de los pantanos han sido bastante débiles. Aún se desconoce el mecanismo que permite a las especies sobrevivir en ambos ambientes, y se requieren estudios adicionales para comprender las adaptaciones fisiológicas que se dan en esos hábitats (Pitman et al., 2014).
Piedemonte de Casanare (Támara)
Según el catálogo de plantas y líquenes de Colombia, publicado por Bernal et al. (2015), las familias con mayor número de especies registradas para el departamento de Casanare son, en su orden: Fabaceae, Poaceae, Asteraceae, Melastomataceae y Rubiaceae. Esto concuerda con los resultados arrojados por este estudio para el piedemonte de Casanare (Támara) (Figura 2A). Rudgea crassiloba es una especie generalista, registrada entre las especies más abundante del piedemonte de Casanare (Tabla 2), que encuentra sus condiciones óptimas de hábitat en bosques secundarios o con intervención media a alta, en los que presentó una abundancia extraordinariamente alta (Tabla 2). Por su parte, Siparuna guianensis fue hallada en casi todas las parcelas de muestreo, mientras que Ardisia foetida alcanzó altas abundancias exclusivamente en bosques ribereños del piedemonte de Casanare (QH). Las especies más abundantes en el piedemonte de Casanare no superan los 13 metros y dominan en los estratos medios del bosque.
Piedemonte de Arauca (Tame)
Las palmas fueron elementos florísticos relevantes en el piedemonte de Arauca por su abundancia. Acá, las especies Socratea exorrhiza, Oenocarpus minor y Attalea butyracea resultaron altamente dominantes (Tabla 2). Esto confirma que las especies de palmas constituyen un importante componente estructural y funcional en los bosques neotropicales (Gentry, 1988; Terborgh & Andresen, 1998). Bernal et al. (2015) también reportaron las palmas como la familia más importante para Arauca.
Bosques subandinos de Casanare (Chámeza-Recetor)
En estas unidades de muestreo, la familia más diversa fue Lauraceae (Figura 2A), así mismo lo reporta Gentry (1988) en un gradiente altitudinal de los Andes, donde Lauraceae reemplaza a Fabaceae como el taxón con mayor número de especies en elevaciones de intermedias a altas. En los bosques montanos, los 1500 m de altitud representan el límite inferior o superior de muchos géneros y familias botánicas (Gentry, 1995). Lauraceae es la familia de plantas leñosas dominante a partir de los 1500 y hasta los 2500 m de altitud, seguida de Melastomataceae y Rubiaceae, lo cual coincide, casi con exactitud, con los resultados de este estudio, que se ajustan a los modelos de composición de taxones previamente propuestos por Gentry (1988) y Gentry (1995). En cuanto a géneros, Gentry (1995) observó que Miconia fue el más diversificado en los bosques andinos, lo cual confirma esta investigación para los bosques subandinos de Casanare (Chámeza y Recetor).
Estructura florística y tipos de vegetación
El muestreo de flora y vegetación que se hizo para este estudio amplía el conocimiento de las formaciones vegetales en el Piedemonte llanero y en la vertiente orinoquense de los Andes. Constituye, así, una adición a las formaciones previamente reportadas para la región de la Orinoquia. Los resultados arrojados por el índice de importancia ecológica indican que el piedemonte de Casanare y de Arauca se caracteriza por la abundancia, frecuencia y dominancia de las especies Siparuna guianensis, Protium calanense, Tapirira guianensis, Socratea exorrhiza, Terminalia amazonia y Oenocarpus minor en los bosques de tierra firme y Trichilia pleeana, Trichilia pallida, Ardisia foetida, Socratea exorrhiza, Oenocarpus minor y Croton sp. en los bosques de ribera. En los bosques de tierra firme de la región subandina de Casanare, las especies Alchornea glandulosa, Helicostylis tovarensis y Wettinia praemorsa son las de mayor importancia ecológica (Tabla 4). La mayoría de estas especies mostraron una alta dominancia local (alto IVI) en comparación con otros estudios realizados en el piedemonte de Arauca y Casanare (Alvira et al., 1997; Miranda, 2006), así como en la región subandina de la Orinoquia (Jacquin & Gómez, 2021). Esto podría indicar que, a pesar de la cercanía espacial, existen diferencias biogeográficas, climáticas o geológicas que influyen en el reclutamiento exitoso de las especies en cada área. Por lo tanto, las especies mencionadas pueden tener amplia distribución y ser predominantes en bosques subandinos y del Piedemonte de la Orinoquia.
Los bosques estudiados en el piedemonte se caracterizaron por presentar densidades que oscilan entre 1870 y 3130 por hectárea, además, sus árboles alcanzan alturas de hasta 34 m y diámetros del tallo de hasta 1,99 m. Por su parte, las densidades de los bosques subandinos estudiados en Casanare oscilan entre 1690 y 3620 por hectárea, y se caracterizan por sus árboles de hasta 33 m de altura, con diámetros del tallo de hasta 1,20 m.
Diversidad y riqueza florística
La riqueza florística observada fue mayor en los bosques de tierra firme que en los bosques ribereños, esto coincide con los resultados de estudios previos realizados por Duivenvoorden (1996), Stevenson et al. (1999), Balslev et al. (2017), Haugaasen & Peres (2006) y Nebel et al. (2001). Sin embargo, el bosque ribereño SP del río Pauto, en el piedemonte de Casanare (Figura 4), fue el que registró la mayor riqueza. Los resultados sugieren que los bosques ubicados en diques de ribera -como SP-, que se caracterizan por frecuencias de inundación baja, presentan mayor riqueza por encontrarse en terraza, es decir, en una zona alta que no hace parte del plano de inundación del río. Esto hace que se presenten menos condiciones limitantes, como la anoxia, característica de los planos de inundación. De esta manera, los bosques ribereños pueden tener regímenes de inundación similares a los bosques de tierra firme si se ubican en diques de ribera o en terrazas, y mostrar patrones de riqueza, composición y estructura similares a estos. Por lo tanto, los futuros estudios para evaluar el efecto de la anoxia por inundación en los Andes y el piedemonte de la Orinoquia deben considerar las variaciones del régimen de inundación al interior de los bosques ribereños y hacer una clasificación más detallada.
Los altos valores de riqueza y diversidad registrados en los bosques subandinos BT pueden ser explicados por la hipótesis del “efecto del dominio medio” (Colwell et al., 2004), que predice valores altos de riqueza florística en elevaciones medias debido a la confluencia de elementos florísticos en las zonas bajas y altas. Además, en los bosques subandinos estudiados no existe la influencia frecuente de incendios forestales que modifiquen la composición, estructura y riqueza de los bosques, como sí ocurre en el piedemonte. Por otro lado, los resultados del análisis de completitud sugieren que el muestreo incluyó cerca de tres quintas partes de las especies de árboles con diámetros de tallo mayores de 2,5 cm y potencialmente presentes en el área de estudio, una muestra importante que permite ampliar el conocimiento de la flora en los bosques subandinos y del Piedemonte de la Orinoquia.
Según Bernal et al. (2015), en Colombia las siguientes especies se distribuyen así: Chrysochlamys weberbaueri (Clusiaceae) en los departamentos de Amazonas, Antioquia, Caquetá, Putumayo y Vaupés, en un rango de 100 a 1000 m de altitud; Helicostylis tovarensis (Moraceae) en los departamentos de Antioquia, Boyacá, Huila, Norte de Santander y Valle, en un rango altitudinal de 1000 a 2500 m; Cybianthus laurifolius (Primulaceae) en los departamentos de Antioquia, Boyacá, Magdalena, Norte de Santander, Quindío y Santander, en un rango altitudinal de 1300 a 3750 m; Cybianthus poeppigii (Primulaceae) en Antioquia, Cauca, Chocó, Cundinamarca, Putumayo y Valle, entre 50 y 2000 m de altitud; Palicourea albert-smithii (Rubiaceae) en los departamentos de Cundinamarca y Norte de Santander, en un rango de 2400 a 2600 m de elevación; Palicourea eburnean (Rubiaceae) en los departamentos de Bolívar, Boyacá y Santander en un rango de 900 a 2800 m de altitud; y Solanum occultum (Solanaceae) en los departamentos de Amazonas y Vaupés, en un rango de altitud entre 100 y 250 m. Ninguna de estas especies se reportaba en la vertiente orinoquense de los Andes, ni en el departamento de Casanare, por lo que este estudio amplía su distribución conocida. Estos nuevos registros responden a vacíos de información sobre la subregión estudiada, por lo que se resalta la importancia de seguir adelantando muestreos en todo el piedemonte de los Andes en la vertiente de la Orinoquia.
Agradecimientos
Esta investigación fue desarrollada en el marco de los proyectos “Conservación de especies amenazadas en el área de influencia del Oleoducto Bicentenario”, realizado bajo el Convenio de cooperación No. 15-14-172-010CE entre el Instituto de Investigación de Recursos Biológicos Alexander von Humboldt y la Fundación Reserva Natural La Palmita, Centro de Investigación y “Caracterización de humedales, riqueza de ecosistemas de piedemonte y montaña, identificación de incentivos socioeconómicos para la conservación y servicios ecosistémicos asociados a adaptación de cambio climático en el departamento de Casanare”, realizado bajo el Contrato de consultoría No. 1918 de 2014 entre La Gobernación del Casanare y El Consorcio Casanare Biodiversa.
Referencias
Aldana, A. M., Carlucci, M. B., Fine, P. V. A., & Stevenson, P. R. (2017). Environmental filtering of eudicot lineages underlies phylogenetic clustering in tropical South American flooded forests. Oecologia, 183, 327-335. https://doi.org/10.1007/s00442-016-3734-y
Alvira, D. (1997). Estructura y composición florística de cuatro estadios sucesionales de bosque húmedo tropical en el piedemonte llanero. Tesis de pregrado, Universidad de los Andes.
Alvira, D. J., Cavelier, J., & Saldarriaga, J. (1997). Estructura y composición florística de cuatro estadios sucesionales de bosque húmedo tropical en el piedemonte llanero. En G. Kattan (Ed.), Resúmenes del Primer Congreso de Biología de la Conservación y Tercer Simposio sobre Biodiversidad y Conservación de Ecosistemas de Montaña. Editorial Feriva. https://doi.org/10.19053/978-958-660-335-5.4
Alvira, C., & Viña, A. (1999). Plantas leñosas del piedemonte de la Cordillera Oriental en el departamento del Casanare (Orinoquia Colombiana). The Field Museum Chicago. https://doi.org/10.19053/978-958-660-332-4.2
Ariza, A., & Baptiste, L. G. (2009). Ecología y manejo adaptativo de los ecosistemas acuáticos de origen antrópico en las sabanas inundables del municipio de Orocué (Casanare). Informe inédito. Pontificia Universidad Javeriana.
Balslev, H., Copete, J. C., Pedersen, D., Bernal, R., Galeano, G., Duque, Á., Berrio, J. C., & Sánchez, M. (2017). Palm diversity and abundance in the Colombian Amazon. En R. W. Myster (Ed.), Forest Structure, Function and Dynamics in Western Amazonia (pp. 101-123). John Wiley & Sons Ltd. https://doi.org/10.1002/9781119090670.ch5
Bernal, R., Gradstein, S. R., & Celis, M. (Eds.). (2015). Catálogo de plantas y líquenes de Colombia. Universidad Nacional de Colombia. http://catalogoplantasdecolombia.unal.edu.co
Cabrera, A., Giraldo, K., Rivera, D., & Castro, L. (2020). Riqueza, composición y distribución de las plantas vasculares en sabanas y bosques ribereños de la cuenca baja del río Pauto (Casanare-Colombia). Revista de la Academia Colombiana de Ciencias Exactas, Físicas y Naturales, 44(173), 1018-1032. https://doi.org/10.18257/raccefyn.1188
Cabrera, D., & Rivera, O. (2016). Composición florística y estructura de los bosques ribereños de la cuenca baja del río Pauto, Casanare, Colombia. Caldasia, 38(1), 53-85. https://doi.org/10.15446/caldasia.v38n1.57829
Casas, L. (2009). Flora. En Ramírez et al., Establecimiento de la composición biológica y estructura ecológica de la laguna que conforma el humedal “Laguna El Tinije”, que permitan conocer su dinámica, estructura y funcionalidad tendiente a su postulación como área Ramsar. Gobernación de Casanare; Asociación de Becarios de Casanare.
Colwell, R., Rahbek, C., & Gotelli, N. J. (2004). The Mid‐Domain Effect and Species Richness Patterns: What Have We Learned So Far?. The American Naturalist, 163(3), E1-E23. https://doi.org/10.1086/382056
Córdoba, M. (2004). Listado de especies del Humedal artificial de Wisirare y humedales aledaños de Casanare. Documento inédito realizado dentro del proyecto de caracterización de los humedales del Casanare.
Córdoba, M., Miranda, L., Ávila, R., & Pérez, C. (2011). Flora de Casanare. En J. S. Usma & F. Trujillo (Eds.), Biodiversidad del Casanare: ecosistemas estratégicos del departamento (pp. 82-101). Gobernación de Casanare, Fondo Mundial para la Naturaleza.
Díaz-Pérez, C. N., Morales-Puentes, M. E., Gil-Leguizamón, P. A., & Gil-Novoa, J. E. (2018). Flora de Aguazul: muestra de diversidad. Editorial Uptc, Ecopetrol. https://repositorio.uptc.edu.co/bitstream/001/3893/1/3475.pdf
Duivenvoorden, J. F. (1996). Patterns of Tree Species Richness in Rain Forests of the Middle Caqueta Area, Colombia, NW Amazonia. Biotropica, 28(2), 142-158. https://doi.org/10.2307/2389070
Erickson, J. L., & West, S. D. (2002). Associations of bats with local structure and landscape features of forested stands in western Oregon and Washington. Biological Conservation, 109(1), 95-102. https://doi.org/10.1016/S0006-3207(02)00141-6
Ferreira, D. F., Rocha, R., López-Baucells, A., Farneda, F. Z., Carreiras, J. M. B., Palmeirim, J. M., & Meyer, C. F. J. (2017). Season-modulated responses of Neotropical bats to forest fragmentation. Ecology and Evolution, 7(11) 4059-4071. https://doi.org/10.1002/ece3.3005
Frodin, D. (2004). History and Concepts of Big Plant Genera. Taxon, 53(3), 753-776. https://doi.org/10.2307/4135449
Gentry, A. H. (1982). Patterns of Neotropical Plant Species Diversity. Evolutionary Biology, 15, 1-84. https://doi.org/10.1007/978-1-4615-6968-8_1
Gentry, A. H. (1988). Changes in Plant Community Diversity and Floristic Composition on Environmental and Geographical Gradients. Annals of the Missouri Botanical Garden, 75(1), 1-34. https://doi.org/10.2307/2399464
Gentry, A. H. (1995). Patterns of diversity and floristic composition in neotropical montane forests. En S. Churchill, H. Balslev, E. Forero & J. L. Luteyn (Eds.), Biodiversity and Conservation of Neotropical Montane Forests (pp. 103-148). The New York Botanical Garden.
Haugaasen, T., & Peres, C. A. (2006). Floristic, edaphic and structural characteristics of flooded and unflooded forests in the lower Rio Purús region of central Amazonia, Brazil. Acta Amazonica, 36(1), 25-36. https://doi.org/10.1590/s0044-59672006000100005
Holdridge, L. R. (1978). Ecología basada en zonas de vida. Instituto Interamericano de Cooperación para la Agricultura.
Hoorn, C., Wesselingh, F. P., ter Steege, H., Bermudez, M. A., Mora, A., Sevink, J., Sanmartín, I., Sánchez-Meseguer, A., Anderson, C. L., Figueiredo, J. P., Jaramillo, C., Riff, D., Negri, F. R., Hooghiemstra, H., Lundberg, J., Stadler, T., Särkinen, T., & Antonelli, A. (2010). Amazonia Through Time: Andean Uplift, Climate Change, Landscape Evolution, and Biodiversity. Science, 330(6006), 927-931. https://doi.org/10.1126/science.1194585
Hsieh, T. C., Ma, K. H., & Chao, A. (2016). iNEXT: An R package for rarefaction and extrapolation of species diversity (Hill numbers). Methods in Ecology and Evolution .En revisión.
Jacquin-Suárez, O. S., & Gómez-León, L. (2021). Composición florística a lo largo del gradiente altitudinal de los bosques de niebla de Chámeza, Casanare. Tesis de pregrado, Universidad Distrital Francisco José de Caldas. http://hdl.handle.net/11349/27839
Kunz, T. H., de Torrez, E. B., Bauer, D., Lobova, T., & Fleming, T. H. (2011). Ecosystem services provided by bats. Annals of the New York Academy of Sciences, 1223(1), 1-38. https://doi.org/10.1111/j.1749-6632.2011.06004.x
Lomolino, M. V. (2008). Elevation gradients of species-density: historical and prospective views. Global Ecology and Biogeography, 10(1), 3-13. https://doi.org/10.1046/j.1466-822x.2001.00229.x
Maracahipes, L., Lenza, E., dos Santos, J. O., Marimon, B. S., Eisenlohr, P. V., Marimon-Junior, B. H., & Feldpausch, T. R. (2015). Diversity, floristic composition, and structure of the woody vegetation of the Cerrado in the Cerrado-Amazon transition zone in Mato Grosso, Brazil. Brazilian Journal of Botany, 38, 877-887. https://doi.org/10.1007/s40415-015-0186-2
Mijares, F., & Pérez, N. (2019). Estudio florístico y estructural de un zural boscoso en el municipio de Arauca, Colombia. Colombia forestal, 22(1), 37-50. https://doi.org/10.14483/2256201x.13237
Minorta, V., & Rangel-Ch., J. O. (2015). La riqueza y la diversidad de las plantas con flores de la Orinoquia Colombiana. En J. O. Rangel-Ch. (Ed.), Colombia Diversidad Biótica XIV La región de la Orinoquia de Colombia. Universidad Nacional de Colombia.
Miranda, L. (2006). Caracterización florística y estructural arbórea de un bosque de galería y su análisis etnobotánico en la comunidad indígena Sáliba del resguardo Paravare (Orocué -Casanare). Tesis de pregrado, Pontificia Universidad Javeriana.
Mora-Fernández, C., Castellanos-Castro, C., Cardona-Cardozo, A., Pinzón-Pérez, L., & Vargas-Ríos, J. O. (2011). El medio natural: los llanos de Casanare y área de estudio. En T. León-Sicard, (Ed.), Mamíferos, Reptiles y Ecosistemas del Bloque Cubiro (Casanare): Educación Ambiental para la Conservación (pp. 45-73). Universidad Nacional de Colombia; Alange Energy Corp.
Moreno, C. E. (2001). Métodos para medir la biodiversidad. M&T-Manuales y Tesis SEA, 1. Programa Iberoamericano de Ciencia y Tecnología para el Desarrollo, Oficina Regional de Ciencia y Tecnología para América Latina y el Caribe, Sociedad Entomológica Aragonesa. http://entomologia.rediris.es/sea/manytes/metodos.pdf
Naiman, R. J., & Décamps, H. (1997). The Ecology of Interfaces: Riparian Zones. Annual Review of Ecology and Systematics 28, 621-658. https://doi.org/10.1146/annurev.ecolsys.28.1.621
Nebel, G., Kvist, L. P., Vanclay, J. K., Christensen, H., Freitas, L., & Ruíz, J. (2001). Structure and floristic composition of flood plain forests in the Peruvian Amazon: I. Overstorey. Forest ecology and Management, 150(1-2), 27-57. https://doi.org/10.1016/s0378-1127(00)00680-0
Oksanen, J., Simpson, G., Blanchet, F., Kindt, R., Legendre, P., Minchin, P., O'Hara, R., Solymos, P., Stevens, M., Szoecs, E., Wagner H., Barbour M., Bedward, M., Bolker, B., Borcard, D., Carvalho, G., Chirico, M., De Caceres, M., Durand, S., Evangelista, H., FitzJohn, R., Friendly, M., Furneaux, B., Hannigan, G., Hill, M., Lahti, L., McGlinn, D., Ouellette, M., Ribeiro-Cunha, E., Smith, T., Stier, A., Ter-Braak, C., & Weedon, J. (2022). vegan: Community Ecology Package. R package version 2.6-4. https://CRAN.Rproject.org/package=vegan
Pérez, C. (2005). Análisis comparativo de la composición y estructura de la vegetación riparia de tres rangos altitudinales, en un fragmento de bosque de piedemonte de la reserva forestal protectora cuenca alta del caño Vanguardia y quebrada Vanguardiuno (RFPVV), Villavice. Tesis de pregrado, Pontificia Universidad Javeriana.
Pérez, K., & Mijares, F. (2013). Distribución, composición florística, estructura y estado de conservación de los morichales en el departamento de Arauca, Colombia. En C. A. Lasso, A. Rial & V. González-B. (Eds.), Morichales y canangunchales de la Orinoquia y Amazonia: Colombia-Venezuela (pp. 99-119). Instituto de Investigación de Recursos Biológicos Alexander von Humboldt.
Pérez, N. F., Guio, P. A., & Mijares, F. J. (2020). Jóvenes y aisladas pero diversas: estructura y composición florística de matas de monte en Arauca. Acta Biológica Colombiana, 25(2). https://doi.org/10.15446/abc.v25n2.76370
Pinzón-Pérez, L. C., Castellanos-Castro, A., Cardona-Cardozo, C., Mora-Fernández, C., & Vargas-Ríos, O. (2011). Caracterización de las comunidades vegetales presentes en el bloque Cubiro, cuenca baja del Río Pauto, Casanare (Colombia). En T. León-Sicard (Ed.), Mamíferos, reptiles y ecosistemas del Bloque Cubiro (Casanare): educación ambiental para la conservación. Universidad Nacional de Colombia; Alange EnergyCorp.
Pitman, N. C. A., Guevara-Andino, J. E., Aulestia, M., Cerón, C. E., Neill, D. A., Palacios, W., Rivas-Torres, G., Silman, M. R., & Terborgh, J. W. (2014). Distribution and abundance of tree species in swamp forests of Amazonian Ecuador. Ecography37, 902-915. https://doi.org/10.1111/ecog.00774
R Core Team. (2023). R: A Language and Environment for Statistical Computing. R Foundation for Statistical Computing. https://www.R-project.org/
Rangel-Ch., J. O., Aguilar, M., Sánchez, H., Lowy, C. P., Aguilar, M., & Castillo, A. (1995). Región de la Orinoquia. En J. O. Rangel-Ch. (Ed.), Colombia Diversidad Biótica I (pp.239-254). Universidad Nacional de Colombia.
Rangel-Ch., J. O. (2019). Los ecosistemas del territorio sabanas y humedales de Arauca, Colombia. En J. O. Rangel-Ch., M. G. Andrade-Correa, C. Jarro, & G. Santos (Eds.), Colombia Diversidad Biótica XX. Territorio sabanas y humedales de Arauca (Colombia) (pp. 711-741). Universidad Nacional de Colombia; Parques Nacionales Naturales de Colombia.
Rodríguez, N., Armenteras, D., Morales, M., & Romero, M. (2006). Ecosistemas de los Andes colombianos. Instituto de Investigación de Recursos Biológicos Alexander von Humbolt.
Rosales-Godoy, J., Petts, G., & Salo, J. (1999). Riparian flooded forests of the Orinoco and Amazon basins: a comparative review. Biodiversity and Conservation, 8, 551-586. https://doi.org/10.1023/A:1008846531941
Stevenson, P. R., Castellanos, M. C., & Medina, A. (1999). Elementos arbóreos de los bosques de un plano inundable en el Parque Nacional Natural Tinigua, Colombia. Caldasia21(1), 38-49. http://www.jstor.org/stable/23641563
Terborgh, J., & Andresen, E. (1998). The composition of Amazonian forests: patterns at local and regional scales. Journal of Tropical Ecology14(5), 645-664. https://doi.org/10.1017/s0266467498000455
Torrejano-Munevar, A. F. (2019). Dinámica de un bosque subandino en la vertiente orinoquense de los Andes, departamento del Meta, Colombia. Tesis de pregrado. Universidad Distrital Francisco José de Caldas.
Trujillo, W. F., & Henao, M. M. (2018). Riqueza florística y recambio de especies en la vertiente orinoquense de los Andes, Colombia. Colombia Forestal, 21(1), 18-33. https://doi.org/10.14483/2256201x.11848
Viña, A. (1995). Influencia de la fragmentación de bosques sobre la riqueza de especies de árboles en el Piedemonte llanero. Trabajo de pregrado, Universidad de los Andes.
Viña, A., & Estévez-Varón, J. V. (2019). Efectos de la fragmentación sobre la diversidad de especies de árboles en un área de bosque de tierras bajas en el piedemonte andino de Colombia. Boletín Científico. Centro de Museos. Museo de Historia Natural, 23(2), 109-132. https://doi.org/10.17151/bccm.2019.23.2.5
Voesenek, L. A. C. J., & Bailey‐Serres, J. (2015). Flood adaptive traits and processes: an overview. New Phytologist, 206(1), 57-73. https://doi.org/10.1111/nph.13209
Author notes
Autor para correspondencia: William Trujillo, williamtrujilloca@gmail.com