Artículos
Identificación de áreas con aptitud para el desarrollo de maricultura en la región Lambayeque (Perú)
Suitable areas identification for development of sustainable mariculture in the Lambayeque region (Peru)
Identificación de áreas con aptitud para el desarrollo de maricultura en la región Lambayeque (Perú)
AquaTIC, núm. 53, pp. 32-54, 2019
Universidad de Zaragoza

Resumen:
En esta investigación se aplica un Método de Evaluación Multi-Criterio para la identificación y clasificación de sitios potencialmente aptos para el desarrollo de maricultura de Argopecten purpuratus en la Región Lambayeque (Perú). La metodología toma en cuenta múltiples criterios de evaluación, un método para la toma de decisiones y una caracterización de los factores espaciales. Las series de datos que son consideradas para el presente estudio corresponden a aquellas que están disponibles para la zona, obtenidas mediante el uso de imágenes e Información Satelital, la cual será complementada por información obtenida del Instituto del Mar del Perú (IMARPE), Ministerio de la Producción (PRODUCE) y en caso de ser necesario, adicionalmente se realiza un levantamiento de información in situ, de carácter suplementario. Las bases de datos generadas serán procesadas mediante la aplicación de un Sistema de Información Geográfica y de un proceso de Evaluación Multi-Criterio. Los sitios seleccionados como potencialmente aptos para el desarrollo de maricultura, se clasifican y ordenan rigurosamente de acuerdo al cumplimiento de cada uno de los criterios previamente establecidos y en estricto orden jerárquico, mediante la evaluación aptitudinal de todas las áreas previamente identificadas y de los factores espaciales considerados, los cuales están basados en los rangos óptimos de tolerancia de la especie objetivo, con el propósito de determinar la aptitud y capacidad de dichas áreas para permitir y mantener el desarrollo de actividades de maricultura (cultivos de dicha especie) de forma sostenible en la región Lambayeque (Perú).
Palabras clave: Argopecten purpuratus, áreas de maricultura, evaluación multi-criterio, Lambayaque, Perú.
Abstract:
In this research, a Multi-Criteria Evaluation Method is applied for the identification and classification of potentially suitable sites for the development of mariculture of Argopecten purpuratus in the Lambayeque Region (Peru). The methodology considers multiple evaluation criteria, a method for decision making and a characterization of spatial factors. The series of data considered for this study correspond to those that are available for the area, obtained through the use of satellite images and information, which will be complemented by information obtained from the Institute of the Sea of Peru (IMARPE), Ministry of Production (PRODUCE) and, if necessary, in addition, a survey of on-site information, of a supplementary nature, is carried out. The generated databases will be processed through the application of a Geographic Information System and a Multi-Criteria Evaluation process. The sites selected as potentially suitable for the development of mariculture, are classified and ordered rigorously according to the fulfilment of each one of the previously established criteria and in strict hierarchical order, through the aptitude evaluation of all previously identified areas and spatial factors considered, which are based on the optimal ranges of tolerance of the target species, with the purpose of determining the aptitude and capacity of said areas to allow and maintain the development of mariculture activities (crops of mentioned species) in a sustainable manner in the Lambayeque region (Peru).
Keywords: Argopecten purpuratus, mariculture areas, multi-criteria evaluation, Lambayaque, Perú.
Introducción
La maricultura peruana está iniciando y las posibilidades para su desarrollo son grandes, por la variedad de espacios con potencial acuícola y de procedencia marina, pudiendo convertirse en una industria de producción económica importante por las condiciones que ofrece su territorio en cuanto al clima y extensión de agua propicia para la actividad (Carbajal et al., 2004; Valdivia et al., 2018a, 2018b; Valdivia y Yep, 2018).
Aunque la actividad acuícola en Perú se distribuye a lo largo del territorio nacional, se observa que la mayoría de las especies cultivadas son dulceacuícolas, existiendo información de una sola especie marina cultivada (Argopecten purpuratus) de forma extensiva en la zona centro-sur y norte del litoral peruano (Carbajal et al., 2005; Mendo et al., 2001; Mendo y Wolff, 2003; Valdivia et al., 2018a, 2018b; Valdivia y Yep, 2018).
La selección de sitios es un factor clave en cualquier operación de maricultura, garantizando tanto el éxito de la actividad y la calidad del producto, así como la resolución de conflictos por el uso de la tierra o del agua (Brigolin et al., 2015; Valdivia et al., 2018a, 2018b).
Es posible realizar la selección de los sitios que minimicen el estrés ambiental, maximicen el potencial crecimiento de especies, reduzcan al mínimo los costos de producción y posibles conflictos, mediante un análisis multi-criterio (Valdivia y Yep, 2018) con un enfoque ecosistémico, tomando en cuenta factores sociales, económicos y medioambientales (Brigolin et al., 2015; Dapueto et al., 2015; GESAMP 1991, 1996, 2001; Liu et al., 2014; Pérez et al., 2005).
Así, la selección de los lugares aptos (“Site Selection”) para el adecuado desarrollo de maricultura, es un problema complejo de decisión espacial que tiene diferentes opciones iniciales, que implica la definición de diferentes soluciones, y que además involucra la preferencia de los tomadores de decisión, por lo que es una elección difícil y con múltiples alternativas (Brigolin et al., 2015; Dapueto et al., 2015; Liu et al., 2014; Malczewski, 1997; Valdivia et al., 2018a, 2018b).
En el Perú existe una gran diversidad de ecosistemas costeros, los cuales poseen características que los hacen idóneos para el desarrollo de la maricultura de diversas especies (Valdivia et al., 2018a). Sin embargo, muchas de las actividades que se realizan en la costa peruana son incompatibles, pero se desarrollan en forma simultánea y superpuesta, compitiendo por el espacio (Dapueto et al., 2015). Además de haber reservas naturales, puertos, complejos industriales, tráfico comercial, atracciones turísticas internacionales, se desarrolla la pesca artesanal en toda la costa y en continua expansión. A pesar de la escasez de información y la situación socioeconómica compleja en la que se desarrolla, se conoce que la pesca artesanal en Perú tiene fuertes implicancias socioeconómicas y ambientales (Alfaro-Shigueto et al., 2010; Béné, 2006; Chuenpagdee et al., 2006; Jacquet y Pauly, 2008), constituyéndose en una actividad que competirá con la maricultura por el uso del mar.
En este sentido, es importante realizar una planificación y diseño adecuado de las zonas asignadas para la maricultura, satisfaciendo la demanda del mercado con el mínimo de externalidades negativas que afecten el medioambiente y otras actividades económicamente ventajosas (Valdivia et al., 2018a). Por lo tanto, para lograr un adecuado desarrollo de la maricultura en el Perú, se constituye en un factor clave, la correcta selección de un sitio apto que garantice el éxito de la actividad, así como la resolución de conflictos por el uso del agua, áreas marinas o de la tierra (Valdivia et al., 2018a, 2018b).
Material y Métodos
Bases conceptuales
Argopecten purpuratus (Lamarck, 1819)
También se le conoce con el nombre de “Concha de Abanico” o “Señorita” en Perú y además es conocida en Chile con el nombre de “Ostión del Norte” (Alamo y Valdivieso, 1997).
A. purpuratus es un molusco bivalvo filtrador de plancton y detritus suspendido. Es una especie bentónica cuyo hábitat se encuentra en bahías someras y de aguas relativamente tranquilas. Su mayor concentración demográfica se encuentra en las costas de Perú y en el norte de Chile. En el Perú, su población se encuentra normalmente distribuida entre los 5 y los 40 metros de profundidad a lo largo de toda la costa, con corrientes cuyas velocidades fluctúan entre 3 y 10 cm/s, con temperaturas que varían entre los 13 °C y 28 °C, salinidad de 35‰ y niveles de oxígeno entre 0,2 y 9 mL/L (Alva et al., 2002), pero los bancos naturales más grandes de A. purpuratus y las pesquerías dedicadas a su extracción se encuentran concentradas en sólo dos áreas principalmente: la Bahía de Sechura en el Norte y Bahía Independencia en el Sur (Wolff et al., 2007).
Las variables profundidad y hábitat de la especie para esta investigación se presentan en la Tabla 1.

Sistemas de Información Geográfica (SIG)
En la actualidad se encuentran a disposición no sólo de científicos e investigadores, sino que también de empresarios vinculados a la acuicultura y personas encargadas de tomar decisiones involucradas con el desarrollo de esta industria, varios instrumentos que pueden ser utilizados para desarrollar e implementar programas de seguimiento ambiental en acuicultura, a saber: modelos de selección de sitios óptimos para realizar actividades de acuicultura, imágenes satelitales y SIG, entre otros (Aguilar-Manjarrez y Ross, 1995; Brigolin et al., 2015; Dapueto et al., 2015; Hossain et al., 2009; Liu et al., 2014; Longdill et al., 2008; Nayak et al., 2014; Pérez et al., 2005; Radiarta et al., 2008; Silva et al., 2011).
Un SIG es un conjunto de herramientas que integra y relaciona diversos componentes (usuarios, hardware, software, procesos, etc.) que permiten la organización, almacenamiento, manipulación, análisis y modelamiento de grandes cantidades de datos procedentes del mundo real y que están vinculados a una referencia espacial, facilitando la incorporación de aspectos sociales, culturales, económicos y ambientales que conducen a la toma de decisiones de una manera más eficaz (Liu et al., 2014; Longdill et al., 2008; Nayak et al., 2014; Pérez et al., 2005; Radiarta et al., 2008; Silva et al., 2011).
En el sentido más estricto, un SIG es cualquier sistema de información capaz de integrar, almacenar, editar, analizar, compartir y mostrar la información geográficamente referenciada. En un sentido más genérico, los SIG son herramientas que permiten a los usuarios crear consultas interactivas, analizar la información espacial, editar datos, mapas y presentar los resultados de todas estas operaciones. La toma de decisiones es un proceso secuencial, sin embargo, es difícil establecer una metodología estándar (por ejemplo, para la selección de sitios aptos para acuicultura, diferentes lugares tienen su propio conjunto de características, y un enfoque que funciona para un lugar puede no funcionar para otro). Además, las herramientas de toma de decisiones tienen amplias aplicaciones en la acuicultura, de los cuales la selección del sitio es muy importante. En algunos casos, el SIG puede ser un proceso complejo y requiere mucho tiempo para ponerlo en práctica plenamente, sin embargo, incluso en su nivel más simple, la cartografía SIG y análisis espacial contribuirá en la mejor aplicación de la selección de sitios aptos para acuicultura.
La tecnología de los SIG puede ser utilizada para investigaciones científicas, la gestión de los recursos, la gestión de activos, la arqueología, la evaluación del impacto ambiental, la planificación urbana, la cartografía, la sociología, la geografía histórica, el marketing, la logística y más recientemente se está incorporando su uso en investigación para el desarrollo de la acuicultura a través de la aplicación del proceso de “Site Selection” (Brigolin et al., 2015; Dapueto et al., 2015; Liu et al., 2014; Nayak et al., 2014; Silva et al., 2011).
En este contexto, los procesos de selección de sitios para desarrollar acuicultura estarían constituidos por un conjunto de ejercicios analíticos que se efectúa sobre un conjunto de factores (pasados, presentes y futuros) que ocurren en un determinado lugar y que pueden incidir en una operación exitosa para el cultivo de un organismo acuático. En este aspecto, organismos internacionales como la FAO, están desarrollando programas tecnológicos integrados de difusión de estas tecnologías, que es un sitio que reúne e integra conocimientos sobre aplicaciones de SIG, Sensoramiento Remoto y Mapeo, utilizados para la investigación acuícola, más específicamente, aplicados a estudios relacionados al ámbito de la salubridad ambiental y enfocados en la elaboración de modelos ambientales predictivos que permitan visualizar los sitios más aptos para el desarrollo de la piscicultura, capacidades de carga y rangos de influencia (Aguilar-Manjarrez y Ross, 1995; Hossain et al., 2009; Longdill et al., 2008; Nayak et al., 2014; Pérez et al., 2005; Radiarta et al., 2008; Silva et al., 2011).
Evaluación Espacial Multi-Criterio (EEMC)
La técnica de EEMC es una herramienta que puede ayudar en la solución de problemas de decisión espaciales complejos, combinando el software SIG y la evaluación multicriterio (EM) (Carver, 1991; Kamruzzaman y Baker, 2013; Krois y Schulte, 2014). El software SIG aporta un marco adecuado para la aplicación de métodos de análisis espacial y las técnicas de EM, los medios para gestionar situaciones con múltiples criterios. En la última década, la EEMC se utiliza cada vez más en las diferentes áreas del quehacer científico y tecnológico (Bagdanaviciute et al., 2015; Baiocchi et al., 2014; Brigolin et al., 2015; Charabi y Gastli, 2011; Dapueto et al., 2015; Krois y Schulte, 2014; Lasaponara et al., 2014; Li et al., 2013; Valdivia y Yep, 2018; Van der Merwe et al., 2013; Zucca et al., 2008).
Con respecto a la acuicultura, específicamente para la selección de sitios aptos, la EEMC se convierte en una herramienta eficiente de análisis y predicción al momento de la toma de decisiones con el propósito de planificación, desarrollo y medición de consecuencias en distintos escenarios (Aguilar-Manjarrez y Ross, 1995; Brigolin et al., 2015;Dapueto et al., 2015; Hossain et al., 2009; Liu et al., 2014; Longdill et al., 2008; Nayak et al., 2014; Pérez et al., 2005; Radiarta et al., 2008; Silva et al., 2011). Sin embargo, no se ha adoptado este enfoque para la maricultura en el mar peruano. El análisis para la toma de decisiones comprende un conjunto de procedimientos sistemáticos para analizar los problemas de decisión complejos. La estrategia básica consiste en dividir el problema de decisión en partes más pequeñas y comprensibles, analizar cada parte de forma individual, e integrar las partes de una manera lógica para producir una solución significativa (Malczewski, 1997).
Dicho de otra forma, en una EM, se hace un intento de combinar una serie de criterios para lograr una única base compuesta por una decisión de acuerdo con un objetivo específico. Por ejemplo, puede necesitarse tomar una decisión sobre qué áreas son las más adecuadas para el cultivo de peces de estanque. Se podrían incluir ciertos criterios como: variables de producción que afectan a la ubicación, podrían incluir también la disponibilidad de agua, tipos de suelo, pendiente del terreno, la proximidad a las carreteras, la exclusión de las tierras reservadas para otros propósitos, y así sucesivamente (FAO, 2010). A través de una EM, estos criterios de idoneidad pueden ser combinados para formar mapas de aptitud de entre los cuales se realizará la elección final.
Según Malczewski (2006), durante la última década, una serie de métodos multicriterio se han implementado en el entorno SIG incluyendo: el procedimiento de Boole; combinación ponderada lineal (WLC, Weighted Linear Combination), métodos de punto ideales, análisis de concordancia, proceso analítico jerárquico (AHP, Analytical Hierarchy Process), red de procesos analíticos (ANP, Analytical Network Process), Promedio Ponderado Ordenado (OWA, Order Weighted Average) y, recientemente, el cuantificador lingüístico de promedio ponderado ordenado. Entre estos procedimientos, el WLC y operación de superposición de Boole son considerados los más sencillos y han dominado tradicionalmente el uso de los SIG como herramientas de soporte de decisiones. En el procedimiento de Boole no hay ponderaciones asignadas a los criterios. Este procedimiento de combinación también conlleva al menor riesgo posible ya que las únicas áreas que se consideran adecuadas en el resultado son aquéllas que fueron consideradas aptas en todos los criterios. La WLC se caracteriza por compensación total entre los factores y el nivel promedio de riesgo. Pesos factoriales (no se utiliza en absoluto en el caso del procedimiento de Boole), son muy importantes en WLC porque determinan cómo los factores de localización individuales se compensarán relativamente entre ellos. En este caso, cuanto mayor sea el peso del factor, mayor será la influencia que el factor tiene en el mapa de aptitud final.
El Proceso Analítico Jerárquico
Es una metodología flexible y sin embargo estructurada para analizar y resolver problemas de decisión complejos mediante su estructuración dentro de un marco jerárquico (Saaty, 1980, 2001, 2004. El primer paso en el procedimiento de AHP es descomponer el problema de decisión en una jerarquía que tiene como componentes los elementos más importantes del problema de decisión. En el desarrollo de una jerarquía, el nivel superior es el objetivo último de la decisión en cuestión. La jerarquía luego desciende desde el objetivo general a los elementos más específicos del problema hasta que se alcanza un nivel de atributos. Aunque la estructura jerárquica contiene usualmente como elementos: una meta, objetivos, atributos y alternativas; una variedad de elementos relevantes para un problema de decisión particular y una combinación diferente de estos elementos puede ser utilizado para representar el problema. La AHP se ocupa de la medición elementos tangibles e intangibles, es una herramienta para articular nuestra comprensión de un problema de decisión (Saaty, 1980, 2001, 2004).
El OWA asume ambos factores y limitaciones igual que en el método WLC. Sin embargo, además de los pesos de los factores, se utilizan pesos de orden. Este segundo conjunto de pesos permitirá un control directo sobre los niveles de compensación y riesgo. El grado de compensación general es el grado en que se aplica el procedimiento de combinación de pesos factor/compensación; la influencia de estos pesos, de ninguno a pleno, se rige por el conjunto de pesos de orden. Los pesos de orden son un conjunto de pesos asignados no a los factores propiamente dichos, sino a la posición de orden del rango de valores de los factores de un lugar determinado (píxel). Después de que los pesos factoriales son aplicados, al factor con la puntuación más baja de idoneidad se da el primer peso de la orden, el factor con la siguiente puntuación más baja de aptitud se da el segundo peso de la orden, y así sucesivamente (FAO, 2010).
Borowshaki y Malkzewski (2008) proponen un nuevo sistema de EM-SIG mediante la aplicación de AHP-OWA dentro de un software específico, capaz de integrar etiquetas lingüísticas dentro de AHP convencional para la toma de decisiones espacial. Ellos sugieren que la propuesta EM-SIG simplificaría la definición de las estrategias de decisión y facilitarían un análisis exploratorio de múltiples criterios mediante la incorporación de información cualitativa en el análisis. Para ilustrar la aplicación de AHP-OWA en un problema de decisión en el mundo real, los autores utilizaron datos de un Problema de aptitud de la tierra en la región de Arva y Ilderton, al norte de Londres, Ontario, Canadá. Una de las pocas aplicaciones que utiliza el método de OWA en la acuicultura hasta ahora, ha sido la realizada para seleccionar sitios aptos para la ubicación de un cultivo de ostras en la bahía sur de Florianópolis en Brasil (SEAP, 2007).
En resumen, la toma de decisiones es un proceso secuencial. Cualquier proceso de toma de decisiones comienza con la definición del problema o del objetivo que se pretende alcanzar. Una vez definido el problema de decisión, lo que sigue es la creación de un conjunto de criterios que reflejan todos los aspectos del problema. El propósito de los pesos es expresar la importancia o preferencia de cada criterio en relación con otros criterios.
Las alternativas suelen estar determinadas por las restricciones que limitan el espacio de decisión de alternativas viables. En las reglas de decisión se integran los criterios, los pesos y las preferencias para generar una evaluación global de las alternativas. Las recomendaciones se basan en una clasificación de las alternativas, con referencia a las posibles incertidumbres o sensibilidades. Las sensibilidades son los cambios realizados en los datos de entrada del análisis que generan sesgo en los resultados (FAO, 2010).
Área de Estudio
El área de estudio está constituida por las playas y zonas marinas adyacentes del litoral de la región Lambayeque como se muestra en la Figura 1.
Enfoque Metodológico
En esta investigación se aplica una EM en ArcGIS teniendo en cuenta factores y restricciones espaciales que definen la idoneidad. Los factores y restricciones espaciales son proporcionados por la geografía, mecanismos de planificación marina (restricciones regulatorias; guías de calidad de sedimentos y agua; áreas de importancia de pesquerías locales y de pequeña escala; áreas protegidas y reservas naturales marinas; y problemas de navegación y tráfico marítimo) y los requerimientos para el desarrollo de cultivos marinos (batimetría, afloramientos, sedimentología, etc.) (Inglis et al., 2000; McKindsey et al., 2006).

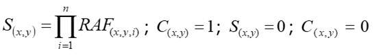
Siguiendo la metodología utilizada por Silva et al. (2011), la aptitud S(x,y) es calculada como la media geométrica de todos los factores, modificada por su rango de aptitud de factor (RAF) que convierte los datos originales a valores estandarizados de aptitud acuícola, y posteriormente limitada por las restricciones:
[Ecuación 1]donde:
RAF(x,y,i) es el factor espacialmente variable modificado por su RAF en niveles de aptitud; i=1...n es un índice que identifica los parámetros de entrada correspondientes; y C(x, y) es la imagen de restricciones espacialmente variable. S(x,y) es un valor binario que puede ser 0 (no apto) o 1 (apto). Los RAF de la calidad del agua y disponibilidad de alimento se pueden obtener de la literatura científica sobre la fisiología y el crecimiento de moluscos cultivados.
Generación de Bases de Datos
La generación de las bases de datos para la selección de sitios potencialmente aptos para el desarrollo de actividades de maricultura inicia con la recopilación de toda la información que esté disponible en las diversas instituciones y organismos que tengan relación con dicha actividad, ya sean públicas o de índole privado.
La información procede de archivos generales y específicos de varias instituciones, a saber:
· BIAM.- Biblioteca Ambiental Nacional (Perú)
· CAN.- Catastro Acuícola Nacional (Perú)
· DIREPRO.- Dirección Regional de Producción (Lambayeque)
· GERENAGA.- Gerencia Regional de Recursos Naturales y Gestión Ambiental
· GORELAM.- Gobierno Regional de Lambayeque
· IGP.- Instituto Geofísico del Perú
· IMARPE.- Instituto del Mar del Perú
· INEI.- Instituto Nacional de Estadística e Informática del Perú
· Laboratorio Costero de Santa Rosa, IMARPE (Lambayeque)
· MEF.- Ministerio de Economía y Finanzas (Perú)
· MINAM.- Ministerio del Ambiente (Perú)
· MTC.- Ministerio de Transportes y Comunicaciones (Perú)
· OEFA.- Organismo de Evaluación y Fiscalización Ambiental
· PNIPA.- Programa Nacional de Innovación en Pesca y Acuicultura
· PRODUCE.- Ministerio de la Producción
· RNIA.- Red Nacional de Información Acuícola
· RPB.- Revista Peruana de Biología
· SENACE.- Servicio Nacional de Certificación Ambiental para las Inversiones Sostenibles
· SENAMHI.- Servicio Nacional de Meteorología e Hidrología del Perú
· SERNANP.- Servicio Nacional de Áreas Naturales Protegidas
· SIAR Lambayeque.- Sistema Regional de Información Ambiental
· SINIA.- Sistema Nacional de Información Ambiental (Perú)
Implementación Digital
La implementación del SIG para desarrollar el estudio de selección de sitios aptos para el desarrollo de maricultura en la región Lambayeque, se inicia con la adecuada selección y ordenamiento de la información que es requerida para que sea ingresada en el sistema y que será utilizada para la elaboración de una base de datos digitalizada con restricciones y criterios espaciales del área geográfica en estudio, los cuales han sido seleccionados por su relevancia para ser considerados en la selección de sitios potencialmente aptos. Entre los principales restricciones y criterios espaciales seleccionados encontramos: áreas naturales protegidas, hidrocarburos, pesquerías, uso recreacional, sedimentología, batimetría.
La generación de las capas o planos de información (layers), ha tenido un origen automatizado o semiautomatizado. En el primer caso la información proviene de imágenes satelitales y en el segundo caso la información procede de cartografía temática o topografía convencional la cual es procesada e ingresada al sistema de bases de datos mediante la utilización de procesos de digitalización de la información con el uso de equipos específicos para realizar dicha tarea (escáners).
La información que es obtenida mediante procesos de recolección y registro de datos en las zonas seleccionadas (toma de muestras in situ), sigue un proceso de digitalización e ingreso manual a las bases de datos.
En este sentido, si se toma en consideración los requerimientos técnicos del SIG, la zona seleccionada como objetivo de estudio está representada por una matriz de datos de X columnas e Y filas, que poseen un tamaño de píxel (resolución espacial) determinado por el número “N” de datos que existen o posee por cada unidad de medida. De esta forma, sobre esta base se pueden trazar mapas temáticos de cada uno de los criterios que se han considerado para el estudio.
Después de que ha sido ingresada de forma exitosa y completa toda la información al sistema, se da inicio a la siguiente etapa, que está constituida principalmente por la obtención de información complementaria que los softwares SIG proporcionan. Esta etapa de obtención de información complementaria es posible debido a las funciones de superposición gráfica, topológica y de base de datos que poseen los softwares SIG y además a su capacidad de generar y proporcionar valores o atributos para cada elemento gráfico y asociarlos a una base de datos.
Construcción de Áreas – Zonas
Para la construcción de los sitios que se consideran como potencialmente aptos para desarrollar maricultura en la región Lambayeque, se toman en cuenta las restricciones de cada uno de los parámetros que son considerados como reguladores o limitantes para el cultivo de las especies acuícolas objetivo, que para este caso en particular corresponden a restricciones por conflicto de uso y criterios espaciales. Posteriormente se lleva a cabo un proceso superposición gráfica mediante la intersección booleana entre los planos de información para poder obtener como resultado final la elaboración de un mapa que pueda mostrar las áreas o sitios potencialmente aptos para el desarrollo de maricultura de Argopecten purpuratus.
De este modo la superposición gráfica y de atributos de los planos de información, permite generar áreas/zonas o unidades homogéneas (polígonos) respecto a los criterios espaciales.
En el caso de la presente investigación para el área geográfica estudiada correspondiente a la región Lambayeque y tomando en consideración las limitaciones máximas y mínimas de los parámetros que regulan los cultivos de Argopecten purpuratus, se obtuvo que los factores espaciales que restringen principalmente la actividad de maricultura de dicha especie son: Áreas naturales protegidas, hidrocarburos, rutas de navegación, pesquerías, uso recreacional, batimetría, y sedimentología. Mediante los procesos de superposición gráfica con el SIG se obtuvo un polígono apto (Figura 9 y Tabla 2).
Evaluación Multi-Criterio y Multi-objetivo
Primero se deben evaluar, normalizar y asignar los pesos relativos de los factores, para tal efecto se requiere que las personas comprometidas en la toma de decisiones hagan un juicio de valor sobre la importancia relativa de combinaciones pareadas entre los criterios de selección.
Después de obtener los pesos, se incorporan las restricciones, se valorizan las soluciones y se optimizan los resultados. La información de los criterios de selección es valorizada, sustentándose en requerimientos, las cuales se muestran en la Tabla 1. Como resultado de este análisis se generan imágenes digitales donde se muestra el índice de aptitud para cada área-zona, este índice es estimado con la Ecuación 1. Para ayudar en el proceso de toma de decisión sobre qué especie cultivar y dónde, se realiza un análisis de distribución de sitios para multi-objetivos con el software ArcGIS.
Con el propósito de lograr la determinación de la aptitud de las áreas seleccionadas como potenciales para desarrollar la maricultura de A. purpuratus, se lleva a cabo una EM, proyectado como la selección de la mejor opción entre varias alternativas. Esta selección se realiza tomando en consideración la combinación de una serie de criterios lo cuales están trazados en función de la consecución de un objetivo específico en común.
Entonces, a través de un proceso de EM, las imágenes obtenidas de cada uno de los criterios seleccionados que van a definir la capacidad o idoneidad del área o zona previamente seleccionada; son combinadas y acopladas para generar un mapa de aptitud, a partir del cual se realizará la selección final.
Resultados
La zona seleccionada como área de estudio se convirtió en una matriz de datos de 52 filas y un número de columnas que varía entre 18 y 58, haciendo un total de 2206 unidades de estudio como se muestra en la Figura 2.

Las áreas naturales protegidas del área de estudio se muestran en la Figura 3. Éste fue el primer criterio aplicado, descartando las zonas declaradas como áreas naturales protegidas, dado que no pueden ser utilizadas para actividades productivas.

La siguiente capa que se aplicó fue las zonas consideradas para la explotación de hidrocarburos, las cuales se presentan en la Figura 4. Estas zonas también fueron descartadas como posibles sitios potenciales para realizar maricultura.

En la Figura 5 se muestran las unidades de estudio utilizadas por las embarcaciones. Al ser utilizadas estas zonas para el transporte marítimo, no será posible utilizarlas para la maricultura, por lo tanto, también son descartadas como posibles sitios potenciales.

El siguiente criterio que se aplicó al área de estudio fue las zonas de pesquería de la especie objetivo. Es importante resaltar que la extracción de A. purpuratus se realiza de manera informal e ilegal, dado que las zonas actuales de pesquería se encuentran dentro de un área natural protegida. Las zonas actuales de pesquería se muestran en la Figura 6.

Para el presente estudio, también se consideraron las variables de profundidad y hábitat, ya que ambas tienen relevancia para el cultivo de nuestra especie objetivo, pero no sufrirían cambios si se analizara la variabilidad ambiental. El rango óptimo de estas variables para A. purpuratus se encuentra en la Tabla 1. En la Figura 7 se muestra la batimetría de la zona seleccionada para el estudio.

En la Figura 8 se presentan los sedimentos de la zona de estudio, encontrando que los distintos sedimentos del área de estudio se ajustan a las necesidades de la especie objetivo.

Finalmente, luego de superponer los gráficos anteriores (de la Figura 3 a la Figura 8) que contienen los criterios para seleccionar los sitios potencialmente aptos, en Figura 9 se presenta el polígono de la zona con mayor aptitud para la maricultura de la especie objetivo en la región Lambayeque (Perú), y en la Tabla 2 se muestran sus respectivas coordenadas. Esta área tiene una extensión de 101,11 Km. y se encuentra situada frente a las caletas Chérrepe – Lagunas.


Selección de Sitios Aptos para el Desarrollo de Maricultura en la Región de Lambayaque
Como resultado de los procedimientos descritos anteriormente se han obtenido imágenes digitales de áreas-zonas potencialmente aptas (de la Figura 3 a la Figura 9) que tienen en sus bases de datos la información de todos los planos de información digital de base y adicionales generadas con los procesos del SIG. Esto facilita la determinación de un sitio apto para cultivo, es decir, la probabilidad de éxito y potencial de cultivo, ya que del análisis y manejo de las bases de datos se obtiene una imagen de síntesis final (imagen de distritos de aptitud). De acuerdo con la Ecuación 1, la base de datos asociada a cada área – zona o polígono de las imágenes potencialmente aptas (obtenida por superposición de las imágenes digitales de los criterios ambientales considerando los requerimientos específicos), contiene la información de los criterios de selección. Sin embargo, esta evaluación puede ser complementada con características cualitativas y cuantitativas que el SIG puede entregar desde la base de datos que reúne todos los factores incorporados en la metodología.
Consideraciones Finales
La metodología planteada está basada en la característica integral con la que se ha desarrollado el tratamiento de la aptitud de las áreas-zonas para desarrollar maricultura en región Lambayeque (Perú). Se considera como integral en función tanto de las variables espaciales como de los parámetros que son considerados en el presente estudio como en la forma organizada y sistematizada de cómo estos son asociados para la obtención de un resultado en conjunto. La metodología es estructurada para ser implementada en un SIG, sin embargo, es pertinente destacar que de igual forma podría ser ejecutado de manera no automatizada. En este sentido, la principal razón de ejecutar esta metodología mediante software SIG, se debe a la considerablemente extensa cantidad de bases de datos e información que se incluye en los procesos y análisis que se llevan a cabo.
Es preponderante que los datos no se confundan o se pierdan en algún momento dentro del desarrollo y ejecución de la metodología. En este sentido, la precisión y confiabilidad que proporcionan los softwares SIG garantizan una mayor y mejor seguridad al momento de procesar la información, además de la velocidad con la que estos programas y softwares computacionales ejecutan y procesan cada paso o actividad de la metodología una vez que la información o las bases de datos son incorporados al SIG.
Sin embargo, la validez y confianza que se genere en los resultados conseguidos en dichos procesos estará directamente relacionada con cuatro factores que deben ser tomados en cuenta indefectiblemente, los cuales en estricto orden jerárquico se describen como sigue: (i) la autenticidad de la información y confianza en las bases de datos que son utilizadas para “alimentar” al software; (ii) la competencia del equipo que desarrolla la investigación en cuanto a su conocimiento y dominio en el uso del software SIG y su experiencia en el desarrollo de estudios de esta índole; (iii) el cuidadoso y diligente desarrollo y ejecución del proceso de organización e implementación del SIG, el cual al mismo tiempo va a depender preponderantemente del tipo de software que se utilice y de las características y condiciones del hardware; y (iv) las personas que ejerzan como especialistas para emitir su juicio de experto en lo referente a la importancia relativa de los diferentes factores y variables ambientales involucradas en el estudio y las combinaciones pareadas entre los criterios de selección.
Discusión
La maricultura es una actividad que se está expandiendo a nivel mundial y específicamente en el Perú, pero que lamentablemente interactúa con otras actividades de la zona costera. Por lo tanto, es necesario designar a esta actividad un área adecuada desde el punto de vista ambiental, económico y social. La zona costera marina de la Región Lambayeque es un sistema complejo, en el que existen muchos recursos ambientales y usos diversificados de la zona costera marina.
El problema de la planificación espacial (selección adecuada del sitio) para cualquier actividad en la zona costera es que requiere la consideración de varios datos e información aparentemente incompatibles (Longdill et al., 2008). Además, al comienzo de una nueva actividad productiva, muchas partes interesadas entran en juego y tienen que participar en el proceso de toma de decisiones de manera transparente.
Dado el aumento de la demanda de peces y las condiciones favorables para un mayor desarrollo de la maricultura en la Región Lambayeque, se ha desarrollado una EEMC capaz de identificar áreas adecuadas para desarrollar maricultura en alta mar para producción mediana en esta área, siguiendo un enfoque integrado. Se basa en tecnologías SIG y técnicas EM y proporciona todas las alternativas posibles útiles a la ruta de decisión para el manejo de la zona costera. El uso de SIG en maricultura para seleccionar sitios adecuados está ampliamente documentado, y también hay varios estudios que utilizaron EEMC (Hossain et al., 2009; Longdill et al., 2008; Nayak et al., 2014; Pérez et al., 2005; Radiarta et al., 2008; Silva et al., 2011).
La EEMC permitió discriminar las áreas inadecuadas de las adecuadas a escala regional, en función del área de estudio y los factores considerados. Además, se podrían tener en cuenta otros factores (por ejemplo, vientos, impactos visuales, análisis químicos, actividades temporales, tráfico marino local, etc.), pero la disponibilidad de datos a una escala más fina para toda el área de estudio a menudo no es posible de conseguir o resulta muy caro. Por esta razón, estos factores locales deben considerarse sólo después de la selección de las áreas adecuadas para elegir los mejores sitios a escala local. Una vez identificadas las áreas adecuadas de acuerdo con las consideraciones generales, como se dijo anteriormente, se deben realizar análisis locales para examinar profundamente los factores específicos.
La altura de las olas localmente podría tener una mayor relevancia en el posicionamiento de los centros de cultivo a la interacción con el fondo marino: los datos de mayor resolución sólo se pueden recopilar en las áreas identificadas, a fin de reducir los costos y el tiempo de muestreo. Las corrientes marinas deben analizarse a mayor escala para mejorar la dispersión de los contaminantes y la hidrodinámica de la columna de agua. El impacto visual del centro de cultivo debe evaluarse, por ejemplo, considerando el número de casas a lo largo de la costa, la presencia de áreas valiosas o la elevación sobre el nivel del mar de las áreas costeras. También es necesario tener en cuenta los conflictos con la pesquería local, agregando las áreas asociadas a las restricciones, pero es difícil encontrar datos a nivel de la zona. Además, las rutas de navegación recreativa deben ser delimitadas para identificar las áreas prohibidas. La EEMC presentada puede mejorarse aún más, tanto en el análisis de criterios, factores considerados, como en el procedimiento de software SIG que produce el mapa de áreas clasificadas adecuadas.
Conclusiones
La selección de sitios aptos es probablemente el aspecto más importante en el éxito de los proyectos de maricultura. Esta es una tarea compleja, pues las zonas marinas son sometidas a un uso cada vez más intensivo, a lo que se debe sumar la tendencia creciente a establecer áreas marinas con distintas categorías de uso espacial. De hecho, es factible que las áreas marinas protegidas se incrementen en un futuro cercano en Perú. En otro contexto, el diseño de proyectos para llevar a cabo el desarrollo de actividad de maricultura ya sea como cultivos suspendidos o a través de cultivos de fondo (fondeo de jaulas) exige condiciones geográficas apropiadas, de modo que garanticen una operación segura y la sostenibilidad de las instalaciones. Esto será cada vez más importante y más costoso conforme los proyectos se alejen de la protección de la costa.
Desde el punto de vista biológico, las especies a ser cultivadas requieren que los sitios presenten también condiciones ambientales favorables a sus requerimientos fisiológicos, principalmente las condiciones térmicas y de circulación, de modo que mantengan, por un lado, una temperatura adecuada para el crecimiento óptimo de los organismos y, por otro, un adecuado recambio de oxígeno, que garantice los altos rendimientos asociados a estas prácticas acuícolas. Los aspectos arriba indicados expresan la necesidad de establecer áreas técnicamente apropiadas para maricultura, lo que se daría a través de una planificación adecuada del espacio acuático que considere los aspectos normativos restrictivos, las condiciones ambientales más apropiadas para la ingeniería de los cultivos y las características fisiológicas de las especies.
Este documento muestra como la EEMC desarrollada, y en particular su procedimiento, permite identificar áreas adecuadas para desarrollar actividades de maricultura de una manera fácil y rápida para resolver de manera efectiva este complejo problema espacial.
Esta EEMC permite una primera identificación de áreas adecuadas basadas en diferentes factores y criterios a nivel regional. En una etapa posterior, es necesario un análisis detallado a escala local para elegir los mejores sitios. A pesar de esto, la EEMC se puede refinar aún más, tanto en el análisis de criterios y factores considerados, como en el procedimiento para el software SIG que genera el mapa de áreas clasificadas adecuadas.
Además, esta EEMC se puede utilizar también para tener información sobre la planificación espacial futura.
Bibliografía
1. Aguilar-Manjarrez, J., Ross, L. G. (1995). Geographical information system (GIS) environmental models for aquaculture development in Sinaloa State, Mexico. Aquac. Int., 3: 103-115.
2. Alamo, V., Valdivieso, V. (1997). Lista sistemática de moluscos marinos del Perú. Boletín Volumen Extraordinario Instituto del Mar del Perú.
3. Alfaro-Shigueto, J., Mangel, J., Pajuelo, M., Dutton, P. H., Seminoff, J. A. y Godley, B. J. (2010). Where small can have a large impact: Structure and characterization of small-scale fisheries in Peru. Fisheries Research, 106: 8-17.
4. Alva, J., Arenas, J., Galindo, O., Flores, D. (2002). Cultivo de concha de abanico Argopecten purpuratus. Asociación de Buzos a Pulmón Almirante Miguel Grau ABPAMG-BIOFOR. Lima, International Resources Groups, Usaid, Unica, Minpes.
5. Bagdanaviciute, I., Kelpsait, E. L., Soomere, T. (2015). Multi-criteria evaluation approach to coastal vulnerability index development in micro-tidal low-lying areas. Ocean Coast. Manag., 104: 124-135.
6. Baiocchi, V., Lelo, K., Polettini, A., Pomi, R. (2014). Land suitability for waste disposal in metropolitan areas. Waste Manag. Res., 32(8): 707-716.
7. Béné, C. (2006). Small – scale fisheries: assessing their contribution to rural livelihoods in developing countries. FAO Fisheries Circular No.1008 FIPL/C1008 (En).
8. Borowshaki, S., Malkzewski, J. (2008). Implementing an extension of the Analytical Hierarchy Process using Ordered Weighted Averaging operators with fuzzy quantifiers in ArcGIS. Computers and Geosciences, 24: 399-410.
9. Brigolin, D., Lourguioui, H., Mohamed A. T., Venier, Ch., Mangin, A., Pastres, R. (2015). Space allocation for coastal aquaculture in North Africa: Data constraints, industry requirements and conservation issues. Ocean and Coastal Management, 116: 89-97.
10. Carbajal, W., de la Cruz, J., Ramírez, P., Castro, J., Bances, S. (2004). Evaluación poblacional del recurso concha de abanico Argopecten purpuratus en la Isla Lobos de Tierra. Informe técnico, IMARPE, Santa Rosa. 27 pp.
11. Carbajal, W., de la Cruz, J., Ramírez, P., Castro, J., Bances, S. (2005). Evaluación poblacional del recurso concha de abanico Argopecten purpuratus en la Isla Lobos de Tierra. Informe técnico, IMARPE, Santa Rosa. 32 pp.
12. Carver, S. J. (1991). Integrating multi-criteria evaluation with geographical information systems. Int. J. Geogr. Inform. Syst., 5(3): 321-339.
13. Dapueto, G., Massa, F., Costa, S., Cimoli, L., Olivari, E., Chiantore, M., Federici, B., Povero, P. (2015). A spatial multi-criteria evaluation for site selection of offshore marine fish farm in the Ligurian Sea, Italy. Ocean and Coastal Management, 116: 64-77.
14. Charabi, Y., Gastli, A. (2011). PV site suitability analysis using GIS-based spatial fuzzy multi-criteria evaluation. Renew. Energy, 36: 2554-2561.
15. Chuenpagdee, R., Liguori, L., Palomares, M. L. D., Pauly, D. (2006). Bottom-up, global estimates of small-scale fisheries catches. Fish. Cent. Res. Rep., 14: 110.
16. FAO (Food and Agriculture Organization of the United Nations) (2010). Available at: http://www.fao.org.
17. GESAMP (IMO/FAO/UNESCO/WMO/WHO/IAEA/UN/UNEP Joint Group of Expert on the Scientific Aspects of Marine Pollution) (1991). Reducing Environmental Impacts of Coastal Aquaculture. Reports and Studies GESAMP 47, 39 pp.
18. GESAMP (IMO/FAO/UNESCO/WMO/WHO/IAEA/UN/UNEP Joint Group of Expert on the Scientific Aspects of Marine Pollution) (1996). The Contribution of Science to Integrated Coastal Management. Reports and Studies GESAMP 61, 66 pp.
19. GESAMP (IMO/FAO/UNESCO/WMO/WHO/IAEA/UN/UNEP Joint Group of Expert on the Scientific Aspects of Marine Pollution) (2001). Planning and Management for Sustainable Coastal Aquaculture Development. Reports and Studies GESAMP 68, 107 pp.
20. Hossain, M. S., Chowdhury, S. R., Das, N. G., Sharifuzzaman, S. M., Sultana, A. (2009). Integration of GIS and multicriteria decision analysis for urban aquaculture development in Bangladesh. Landsc. Urban Plan., 90: 119-133.
21. Inglis, G. J., Hayden, B. J., Ross, A. H. (2000). An overview of factors affecting the carrying 689 capacity of coastal embayments for mussel culture. NIWA Client report CHC00/69. 690 Christchurch, New Zealand. 31 pp.
22. Jacquet, J., Pauly, D. (2008). Funding priorities: big barriers to small-scale fisheries. Conserv. Biol., 22: 832-835.
23. Kamruzzaman, M., Baker, D. (2013). Will the application of spatial multi criteria evaluation technique enhance the quality of decision-making to resolve boundary conflicts in the Philippines? Land Use Policy, 34: 11-26.
24. Krois, J., Schulte, A. (2014). GIS-based multi-criteria evaluation to identify potential sites for soil and water conservation techniques in the Ronquillo watershed, northern Peru. Appl. Geogr., 51: 131-142.
25. Lasaponara, R., Leucci, G., Masini, N., Persico, R. (2014). Investigating archaeological looting using satellite images and GEORADAR: the experience in Lambayeque in north Peru. J. Archaeol. Sci., 42: 216-230.
26. Li, C., Huang, Z., Peng, M. y Zhou, H. (2013). The location analysis of indemnificatory housing based on SMCE. En: Geoinformatics (GEOINFORMATICS), 2013 21st International Conference on. IEEE, pp. 1-3.
27. Liu, Y., Saitoh, S. I., Radiarta, I. N., Igarashi, H., Hirawake, T. (2014). Spatiotemporal variations in suitable areas for Japanese scallop aquaculture in the Dalian coastal area from 2003 to 2012. Aquaculture, 422-423: 172-183.
28. Longdill, P. C., Healy, T. R., Black, K. P. (2008). An integrated GIS approach for sustainable aquaculture management area site selection. Ocean Coast. Manag., 51: 612-624.
29. Malczewski, J. (1997). Spatial Decision Support Systems. NCGIA (National Center for Geographic Information and Analysis). Core Curriculum in GIScience. Available from: http://www.ncgia.ucsb.edu/giscc/units/u127/u127.html. posted October 6, 1998.
30. Malczewski, J. (2006). GIS – based Multi-criteria Decision Analysis: A Survey of the Literature. International Journal of Geographical Information Science, 20(7): 703-726.
31. McKindsey, C. W., Thetmeyer, H., Landry, T., Silvert, W. (2006). Review of recent carrying capacity models for bivalve culture and recommendations for research and management. Aquaculture, 261(2): 451-462.
32. Mendo, J., Wolff, M. (2003). El impacto de El Niño sobre la producción de concha de abanico (Argopecten purpuratus) en bahía Independencia, Pisco, Perú. Ecología Aplicada, 2(1): 51-57.
33. Mendo, J., Isla, L., Orrego, H., Toledo, M., Gil, P., del Solar, A. (2011). Manual técnico para el repoblamiento de concha de abanico en la Bahía de Sechura. 100 pp. Proyecto FINCYT, Lima, mayo 2011.
34. Mendo, J., Isla, L., Orrego, H., Tomaylla, R. (2001). Manual técnico para el cultivo y manejo integral de la concha de abanico. Programa APGEP-SENREM. Convenio USAID-CONAM. 1era Edición, Lima. 74 pp.
35. Nayak, A. K., Pant, D., Kumar, P., Mahanta, P. C., Pandey, N. N. (2014). GIS-based aquaculture site suitability study using multi-criteria evaluation approach. Indian J. Fish., 61(1): 108-112.
36. Pérez, O. M., Telfer, T. C., Ross, L. G. (2005). Geographical information systems-based models for offshore floating marine fish cage aquaculture site selection in Tenerife, Canary Islands. Aquac. Res., 36: 946-961.
37. Radiarta, I. N., Saitoh, S., Miyazono, A. (2008). GIS-based multi-criteria evaluation models for identifying suitable sites for Japanese scallop (Mizuhopecten yessoensis) aquaculture in Funka Bay, southwestern Hokkaido, Japan. Aquaculture, 284: 127-135.
38. Saaty, T. L. (1980). The Analytic Hierarchy Process. McGraw-Hill, New York.
39. Saaty, T. L. (2001). Decision making for leaders. Vol. II, AHP Series, 315p.
40. Saaty, T. L. (2004). Fundamentals of the Analytic Network Process: Dependence and Feedback in Decision-Making with a Single Network. Journal of Systems Science and Systems Engineering, 13(2): 129-157.
41. SEAP (Secretaria Especial de Aqüicultura e Pesca) (2007). Planos Locais de Desenvolvimento da Maricultura - PLDM’s de Santa Catarina. Brasília, DF. Available at http://tuna.seap.gov.br/seap/html/aquicultura/index.htm
42. Silva, C., Ferreira, J. G., Bricker, S. B., DelValls, T. A., Martín-Díaz, M. L., Yáñez, E. (2011). Site selection for shellfish aquaculture by means of GIS and farm-scale models, with an emphasis on data-poor environments. Aquaculture, 318: 444-457.
43. Valdivia, H., Yep, S. (2018). Evaluación Espacial Multi-Criterio (EEMC) en la Identificación de Zonas Aptas para el Cultivo de Argopecten purpuratus en la Región Lambayeque – Perú. Tresierra, A. Alvaro., Solano, S. Amado., Buitrón, Betsy., Alcántara, B. Fernando., Montes M. Luis. 2018. (Editores). I Congreso Internacional de Pesca, Acuicultura y Ambiente Acuático. Colegio de Biólogos del Perú. Consejo Regional IV La Libertad. Asociación de Biólogos Pesqueros de La Libertad. 320 p.
44. Valdivia, H., Carbajal, W., De la Cruz, J., Yep, S., Chanamé, J., Fupuy, J. (2018a). Selección de Sitios Aptos y su Importancia para el Desarrollo de una Maricultura Sustentable en el Perú. Ganoza, F., Barreto, J., Reyes, F., Torres, F. 2018. (Editores). VI Congreso de Ciencias del Mar del Perú. Universidad Nacional José Faustino Sánchez Carrión. Facultad de Ingeniería Pesquera. Huacho – Perú 2018. 300 p.
45. Valdivia, H., Carbajal, W., De la Cruz, J., Yep, S., Chanamé, J., Fupuy, J. (2018b). “Site Selection”: Implicancias y Perspectivas para el Desarrollo de una Maricultura Sostenible en la Región Lambayeque – Perú. Ganoza, F., Barreto, J., Reyes, F., Torres, F. 2018. (Editores). VI Congreso de Ciencias del Mar del Perú. Universidad Nacional José Faustino Sánchez Carrión. Facultad de Ingeniería Pesquera. Huacho – Perú 2018. 300 p.
46. Van der Merwe, J. H., Ferreira, S. L. A., Van Niekerk, A. (2013). Resource-directed spatial planning of agritourism with GIS. South Afr. Geogr. J., 95(1): 16-37.
47. Wolff, M., Taylor, M., Mendo, J., Yamashiro, C. (2007). A catch forecast model for the Peruvian scallop (Argopecten purpuratus) base on estimators of spawing and settlement rate. Ecol. Model., 209(2-4): 333-341.
48. Zucca, A., Sharifi, A. M., Fabbri, A. G. (2008). Application of spatial multi-criteria analysis to site selection for a local park: a case study in the Bergamo Province, Italy. J. Environ. Manag., 88: 752-769.
Notas de autor
valdmont@gmail.com