Microstructure and electrical properties of solid electrolytes of fully stabilized zirconia with rare earth mixed oxides
Microestructura y propiedades eléctricas de electrólitos sólidos de circonia totalmente estabilizada con óxidos mixtos de tierras raras
Microstructure and electrical properties of solid electrolytes of fully stabilized zirconia with rare earth mixed oxides
Dyna, vol. 83, no. 196, pp. 168-175, 2016
Universidad Nacional de Colombia

Received: July , 17, 2015
Accepted: February , 02, 2016
Abstract: In this work was obtained solid electrolytes of fully stabilized zircônia with doped of 10 and 12 mol% of Re2O3 (mixed oxides rare earth), for use in oxygen sensors and or fuel cells. The specimens were prepared by uniaxial pressing and sintered using two heating schedules, S1 and S2. Impedance diagrams show that the crystalline phases and the grain size change the electrical behavior of the ceramics. The sample with the best electrical performance was obtained with 10 mol% doped and was sintered with the curve S1. The value of the total conductivity of this sample was 2,85x10-3 W-1.cm-1 (taken at 600 ° C). When making a comparison between this values of conductivity with the reported in the literature is identified similarity with or traditional system zirconia-yttria the most widely used commercially as electrolyte oxygen sensors and fuel cells, confirming the potential use of the oxides mixed rare earth for these specific applications.
Keywords: Oxygen sensor, Grain growth, Grain boundaries, Solid oxide fuel cells, Sintering temperature, Electrical impedance.
Resumen: En este trabajo fueron obtenidos electrólitos sólidos de circonia totalmente estabilizada, para uso en sensores de oxigeno y/o celdas combustibles, con dopado de 10 e 12 % mol de Re.O. (óxidos mixtos de tierras raras). Los cuerpos de prueba fueron confeccionados por prensado uniaxial y sinterizados usando dos cronogramas de calentamiento, S1 y S2. Diagramas de impedancia revelan que tanto las fases cristalinas presentes cuanto el tamaño de grano tienen influencia sobre el comportamiento eléctrico de las cerámicas. La muestra más conductora fue obtenida con 10% mol de dopado y sinterizada con la curva S1. El valor de conductividad total de esta muestra fue de 2,85x10-3 .-1.cm-1 (tomada en 600°C). Al realizar una comparación directa de estos valores de conductividad con los reportados en la literatura, se identifica semejanza con el sistema tradicional circonia-ítria, el sistema más usado comercialmente como electrólito en sensores de oxígeno y celdas combustibles, confirmando el potencial uso de los óxidos mixtos de tierras raras para estas aplicaciones específicas
Palabras clave: sensores de oxígeno, crecimiento de grano, contornos de grano, celdas combustibles, sinterización, espectroscopia de impedancia.
1. Introducción
Electrólitos sólidos a base de circonia totalmente estabilizada han sido ampliamente estudiados en las últimas décadas por su elevada conducción iónica en un amplio rango de temperatura y presiones parciales de oxígeno [1,2]. Las aplicaciones más destacadas de estos materiales son como sensores de oxígeno y celdas combustibles las cuales ganaron destaque a nivel científico por el impacto ambiental, al ayudar en el control de la contaminación atmosférica y en la generación de energía limpia, respectivamente.
Una celda combustible, por ejemplo, presenta ventajas en la generación de energía pues en algunos casos puede convertir más del 90% de la energía contenida en un combustible en energía eléctrica y calor, además por no poseer partes móviles, las celdas combustibles presentan más confianza cuando comparadas con los motores de combustión interna. Otra de las múltiples ventajas que se pueden citar es que al substituir las centrales termoeléctricas convencionales que producen electricidad a través de combustibles fósiles se mejorará la calidad de aire y se reducirá el consumo de agua, como también se reducirá el descarte de agua residual. Uno de los aspectos que merece principal atención son las emisiones de gases contaminantes que estos dispositivos presentan, pues se ha determinado que son diez veces menores de lo que estipulan las normativas ambientales además de producir niveles inferiores de dióxido de carbono [3].
Con un sensor de oxígeno, por su vez, se cambió de forma radical la forma como era suministrado el combustible en los vehículos, que hasta la época lo hacían con el llamado carburador, con la imposibilidad de modificar la entrega de la cantidad de combustible cuando el motor estaba encendido en diferentes situaciones de tráfico ocasionando problemas de rendimiento en los motores y emisiones de gases contaminantes debido a la quema, de forma inadecuada, del combustible. La función del sensor de oxígeno es la de monitorear la cantidad de oxígeno existente en los gases de escape, justo después de la combustión, y emitir un voltaje proporcional a esta cantidad, el cual es recibido e interpretado por la unidad de control electrónico la cual regula la cantidad de combustible entregado al motor, variando el tiempo que se tienen abiertos los inyectores [4].
Para estas dos aplicaciones el electrólito sólido es el encargado de:
Motivado por estas aplicaciones, por el impacto científico y ambiental, en este trabajo se utilizó un aditivo para la estabilización de la circonia diferente del utilizado convencionalmente, denominado óxidos mixtos de tierras raras, el cual contiene como óxido mayoritario el óxido de itrio con 76 % en peso, con el objetivo principal de obtener circonia totalmente estabilizada. Se utilizó el método de los precursores poliméricos "Pechini" para la obtención de la materia prima.
2. Materiales y Métodos
Fueron usados los siguientes materiales para el desarrollo de este trabajo:
ZrO2:10% mol Re2O3 (Z10-Pch), material compuesto por 11% de circonia tetragonal y 89% de circonia cúbica [6].
ZrO2:12% mol Re2O3 (Z12-Pch), material compuesto por 100% de circonia cúbica [6].
Alcohol isopropílico, grado analítico.
Antes de confeccionar los cuerpos de prueba, una molienda mecánica en molino de atricción fue realizada a la materia prima con el objetivo de romper los aglomerados presentes. La molienda fue realizada en alcohol isopropílico, y agitadas por 1 hora. Fueron utilizadas bolas de circonia (2 mm de diámetro) como material moledor en una relación 1:4. Después de la molienda, la materia prima fue secada, desagregada y tamizada en tamiz de 0,045 mm de abertura de malla. Utilizando la técnica de prensado uniaxial, fueron compactados cuerpos de prueba en troquel cilíndrico de aproximadamente 10 mm de diámetro. La presión usada fue de 187 MPa por 30s, con prensa Marcon MPH-10, en el laboratorio de ingeniería mecánica de la universidad de Brasília. Los cuerpos de prueba compactados fueron sinterizados en horno resistivo Naberttherm LHT407GN6 en temperatura de 1400 °C, por 2h, sin control de atmosfera, utilizando dos cronogramas de calentamiento a seguir:
Cronograma S1: El cronograma de sinterización S1 fue usado para producir cuerpos de prueba densos, con porosidad aislada y promoviendo el crecimiento de grano. Estas características son favorecidas en temperaturas altas, pues dependen de mecanismos de sinterización térmicamente activados como la difusión por el contorno de grano y la difusión volumétrica. En este trabajo fue usada la temperatura de 1650 °C por cinco minutos, para activar estos mecanismos de sinterización.
Cronograma S2: El cronograma de sinterización S2 consiste en la forma "tradicional" de sinterización usada en trabajos anteriores [7]. Caracterizada por tener una rampa de calentamiento rápida, 10 °C/min, hasta la temperatura de 1000 °C, con estancia de cinco minutos. Posteriormente la velocidad de calentamiento es disminuida a 3 °C/min, hasta alcanzar la temperatura de sinterización, manteniéndose a esta temperatura por dos horas y, finalmente, una rampa de enfriamiento a una velocidad de 5 °C/min. Estos cronogramas de sinterización pueden ser observados en la Fig. 1.

La respuesta eléctrica de los electrólitos sólidos sinterizados fue estudiada a través de la espectroscopia de impedancia. Electrodos de platina Pt- paste Demetron 308-A fueron depositados en sus caras paralelas y posteriormente curados a 1100 °C por 20 minutos. La impedancia de las muestras en estudio fue colectada en un rango de frecuencia de 1 MHz hasta 1 Hz, una tensión de 1000 mV fue usada, utilizando un equipo Solartron 1260 del laboratorio de materiales vítreos (LAMAV) de la Universidad Federal de San Carlos-Brasil. El rango de temperatura usada fue de 250- 600 °C. A partir de los espectros de impedancia fue posible cuantificar el aporte resistivo/capacitivo de las diferentes regiones de la muestra, grano y contorno de grano además de la resistencia total.
3. Resultados y Discusión
La distribución y forma de las partículas que componen la materia prima debe estar libre de aglomerados, pues su presencia promueve la formación de cuerpos de prueba con baja densidad, comprometiendo sus propiedades mecánicas y eléctricas, entre otras [8]. Observación por microscopia electrónica de barrido (MEB) fue realizada en la materia prima antes y después de la molienda, como se puede observar en la Fig. 2. En esta figura son presentadas micrografías representativas de las muestras en estudio. Es posible observar dos (2) tipos de aglomerados, fuertes y partículas con ligaciones débiles, Fig. 1 (a), se puede destacar también de esta figura el tamaño acentuado dos aglomerados, siendo en algunos casos, mayores que 10 µm. La Fig. 1 (b) presenta micrografías obtenidas por MEB después de la molienda, evidenciando que los aglomerados fuertes fueron desagregados en este proceso. Con la materia prima en este formato se procedió a la compactación y sinterización de los cuerpos de prueba conforme descrito en el procedimiento experimental.

Se sabe que la densidad obtenida después de la sinterización tiene influencia directa en las propiedades mecánicas, térmicas, ópticas y eléctricas finales de los materiales [9], por tal motivo, en este trabajo, se considera importante obtener cuerpos de prueba densos, con porosidad aislada, a fin de viabilizar las propiedades eléctricas de la circonia, ya que este tipo de defecto, la porosidad, es considerada una fase que bloquea los portadores de carga. La densidad aparente de los cuerpos de prueba fue calculada, usando el método de Arquímedes con inmersión de cuerpos de prueba en agua destilada, y comparada con la densidad teórica del material. Valores de densidad relativa fueron calculados e indexados en una tabla para mejor interpretación, Tabla 1. Para efectos de comparación también fueron conformados cuerpos de prueba sin molienda de la materia prima y sinterizados solamente con la curva de sinterización S1, estando estos valores también presentes en la Tabla 1. Es posible observar de la Tabla 1 una considerable diferencia en la densidad de los cuerpos de prueba que fueron sometidos al proceso de molienda, tornando esta etapa del procesamiento cerámico fundamental para la obtención de cuerpos de prueba densos, con densidades superiores a los 92% de la densidad teórica, conforme previsto para aplicaciones en sensores de oxígeno y celdas combustibles [10].

Se puede notar también de la Tabla 1 que la densidad de los cuerpos de prueba fue favorecida por el cronograma de sinterización utilizado, siendo mayor para cuerpos de prueba sinterizados con el cronograma de sinterización S1. Este resultado fue el esperado, pues los cuerpos de prueba que estuvieron sometidos a temperaturas altas (1650 °C), mismo que por corto periodo de tempo (5 minutos), presentaron crecimiento de grano y reducción acentuada de porosidad, como puede ser apreciado en las imágenes de la Fig. 3, obtenidas por microscopia electrónica de barrido.

Se puede notar de las Figs. 3 y 4, cuando se compara las micrografías de una misma composición y diferente cronograma de sinterización, por ejemplo, Z12-Pch(Fig. 4c y d), los aspectos microestructurales, tales como tamaño medio de grano y la porosidad, están completamente ligados a el cronograma de sinterización utilizado. Esta muestra en particular, cuando sinterizada con el cronograma S2, presenta un tamaño medio de grano de aproximadamente 3,03 µm y porosidad con formatos irregulares localizados en los pontos triplos y poros esféricos localizados en el interior de los granos. Los aspectos microestructurales de la misma muestra sinterizada con el cronograma S1 cambian considerablemente. El tamaño medio de grano aumento para 7,97 µm y el formato de los poros es esférico y localizado preferencialmente en el interior de los granos. Estos resultados indican que los mecanismos de sinterización que densificam, tales como difusión por el contorno de grano y la difusión por el volumen, actuaron de forma efectiva en estas muestras. Además, el aspecto visual de las muestras sinterizadas con el cronograma S1 demuestra que el proceso de sinterización alcanzo la etapa final, caracterizada de forma general para materiales cerámicos, como microestructuras con porosidad reducida o ausente, acompañada de crecimiento del tamaño de grano. Se puede inferir entonces, que el cronograma de sinterización S1 promueve satisfactoriamente los mecanismos de transporte de masa como a difusión de contornos de grano y la difusión volumétrica. Estos resultados son considerados de interés por dos motivos:
En términos de propiedades eléctricas, cuanto menor cantidad de contornos de grano en la muestra, menor será resistividad atribuida a este parámetro físico, promoviendo aumento de la conductividad total del material.
La porosidad, intragranular e intergranular, son consideradas elementos o fases que se oponen al flujo de carga. La disminución de estas porosidades resulta en la mejoría de las propiedades erétricas.

Utilizando micrografías con menor aumento, en este estudio 1500X, fue efectuada la medición del tamaño medio de grano por medio de contaje del número de intersecciones existentes entre el contorno de grano y líneas rectas con longitud conocida. Estos resultados fueron indexados en la Tabla 2.

El análisis cuantitativo de la diferencia en el tamaño de grano obtenido fue atribuido al cronograma de sinterización, ya que los dos tipos de muestras fueron procesados de forma idéntica. Este resultado fue el esperado, pues la temperatura alta (1650 °C) en el cronograma de sinterización S1, por un tiempo de cinco minutos, favoreció la velocidad de sinterización, obteniendo cuerpos de prueba densos con dos horas de sinterización. Otros aspectos microestructurales son identificados de las micrografías: poros en los contornos de grano y en el interior de los granos y lo más importante, uniformidad en el tamaño y forma de los granos.
Finalmente, la respuesta eléctrica de las cerámicas sinterizadas fue estudiada a través de la espectroscopia de impedancia, pues esta técnica de caracterización permite establecer la dependencia en el comportamiento eléctrico de las diferentes regiones de la cerámica, grano y contorno de grano, con la temperatura. La Fig. 5 presenta diagramas típicos de impedancia para las muestras en estudio en la temperatura de 300 °C y son diferenciados claramente dos semicírculos que, en el estudio de materiales cerámicos, son atribuidos a las contribuciones resistivo capacitivas del grano (altas frecuencias) y las contribuciones resistivo capacitivas de los contornos de grano (bajas frecuencias) [10]. A partir de los diámetros de estos semicírculos sus respectivas resistividades fueron obtenidas. Cabe resaltar que estos diagramas de impedancia ya fueron corregidos por el factor geométrico de los cuerpos de prueba y que la información que está ilustrada en la figura se encuentra en parámetros de resistividad.
Se observa de la Fig. 5 (a), para la cerámica que contiene10% mol de dopante, que esta muestra presenta resistividad en el interior del grano de 437 KW.cm cuando sinterizada con el cronograma S2. Entretanto, este valor es disminuido para 290 KW.cm cuando utilizado el cronograma S1. Este comportamiento es justificado debido a la completa estabilización de la circonia, ya que la circonia totalmente estabilizada es más conductora que la parcialmente estabilizada, resultado que fue evidenciado con DRX usando el cronograma S1,[11].
Analizando la resistividad atribuida a los contornos de grano, Fig. 5, es posible observar una reducción en su valor. A Z10-Pch disminuyo en 61 KW.cm e Z12-Pch disminuyo en 228 KW.cm, comportamiento esperado debido a su modificación microestructural que fue confirmada por MEB. De esta forma queda claro que a disminución de la densidad de contornos de grano afecta, de forma benéfica, el comportamiento eléctrico de las cerámicas en estudio.

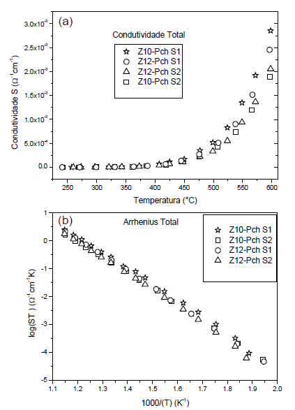
Con los valores de resistividad obtenidos para cada temperatura de ensayo, fue posible calcular la conductividad y, además, observar el comportamiento térmicamente activado de la conductividad total de las cerámicas. Esta dependencia de la conductividad con la temperatura es interpretada como un aumento en la movilidad del ion oxígeno.
Observando la Fig. 6(a) queda más evidente que el aumento de la conductividad de las cerámicas es dependiente de la temperatura de ensayo. También es evidente que, para una misma muestra, esta grandeza es favorecida debido al cronograma de sinterización utilizado. Este comportamiento pode ser atribuido a dos factores principales:
Aumento en el tamaño de grano: físicamente para todas las muestras el aumento en el tamaño de grano implica disminución de la densidad de contornos de grano, hecho que facilita a migración de los iones oxígeno [12],
Transformaciones de fase: aumento en la conductividad favorecida con la utilización del cronograma de sinterización S1 para muestras con 10 e 12% mol de dopado, por la completa estabilización de la circonia.
Para completar los análisis eléctricos fueron construidos los gráficos de Arrhenius (Log sT Vs. 1000/T) de los cuales fue posible obtener la energía de activación para el proceso de conducción, Fig. 6(b). La energía de activación representa la energía mínima necesaria para iniciar el proceso de conducción [13].

Fue observada para cada muestra en estudio una única inclinación de la recta en el intervalo de temperatura estudiado, consecuentemente ellas no presentan desvíos en el comportamiento del tipo Arrhenius. Esta apreciación fue posible al linealizar cada reta e calcular los coeficientes de correlación (..), los cuales están indexados en la Tabla 3. En este caso el coeficiente de correlación está próximo de la unidad para todos los ajustes, indicando que el grado de dispersión de los puntos experimentales está alrededor de una recta hipotética. De la inclinación de estas retas hipotéticas fueron obtenidas las energías de activación total para las muestras sinterizadas con los cronogramas S1 y S2 y expuestas en la Tabla 3, presentando valores similares a los encontrados en trabajos anteriores, para conductores de oxígeno basados en óxido de circonio que están en el rango de 1 a 1.2 eV [14], [15].

Finalmente y considerando que uno de los objetivos de este trabajo era comprobar el uso del carbonato de tierras raras como aditivo de estabilización de la circonia, para posible uso en sensores de oxígeno en celdas combustibles, se comparo el resultado de las caracterizaciones eléctricas de la mejor muestra obtenida en este trabajo con valores de conductividad reportados en la literatura para sistemas de circonia, los cuales usan aditivos de estabilización de elevada pureza. Estos valores de conductividad se encuentran en la Tabla 4, donde se puede observar que los resultados obtenidos en este trabajo se encuentran en el mismo orden de grandeza en el rango de temperatura de 400 a 600 °C. Considerando linealidad en un rango de temperatura mayor en los gráficos de Arrhenius, por ejemplo hasta 800 °C, temperatura de operación de los sensores de oxígeno y celdas combustibles, se extrapoló esta gráfica para obtener el valor de conductividad en esta temperatura. Estos valores extrapolados constan también en la Tabla 4 siendo diferenciados por una estrella (*), presentando comportamiento eléctrico del orden dos 10-2 .-1cm-1, el cual se encuentra en el orden de grandeza de los conductores de iones de oxígeno.

4. Conclusiones
En este trabajo fue usado el método de los precursores poliméricos (Pechini) con la intención de preparar sistemas basados en circonia/óxidos mixtos de tierras raras. Como ventajas de este método se puede destacar: utilización de materia prima de bajo costo, simplicidad de producción, homogeneidad química y reproductibilidad del proceso. Adicionalmente, se destaca la incorporación de una materia prima poco beneficiada, específicamente el carbonato de tierras raras, en la producción de dispositivos de alta tecnología, concretamente en la fabricación de electrólitos sólidos para aplicaciones en sensores de oxígeno y/o celdas combustibles.
En las condiciones de molienda impuestas, una hora en molino de atrito, se observó cualitativamente la reducción de los aglomerados presentes en el polvo cerámico. Este resultado favoreció la acomodación de las partículas en la compactación y favoreció una alta densidad (superior a los 92 % de la teórica) en los CPS después de la sinterización.
El tamaño de grano de los cuerpos de prueba, sinterizados a 1400 °C por dos horas fue dependiente del cronograma de sinterización utilizado: muestras sinterizadas con el cronograma S2 tienen tamaños medios de grano de 2,96 µm, con un aumento a 6,52 µm cuando usado el cronograma de sinterización S1. Estos resultados indican, conforme relatado en la literatura, que los mecanismos de sinterización, difusión por el contorno de grano y difusión por el volumen operaran de forma efectiva en estas muestras, indicando que el proceso de sinterización llego a su etapa final, con microestructura homogénea y porosidad reducida, acompañada de crecimiento de grano.
La conductividad atribuida al contorno de grano fue dependiente del tamaño de grano, para muestras con la misma composición y sinterizadas con los cronogramas de sinterización S1 y S2. Una posible explicación para este fenómeno está relacionada al hecho de que muestras con tamaños de grano mayor, presentan menor cantidad de contornos de grano por unidad de volumen, consecuentemente la resistividad atribuida a los contornos de grano va a ser reducida, ocasionando un incremento de la conductividad total de las cerámicas.
Finalmente, la conductividad de la mejor muestra, Z10-Pch, fue de 2.85x10-3 .-1 cm-1 tomada a 600 °C. Para saber su posible conductividad en temperaturas próximas a 800 °C, se hizo una extrapolación de la curva de Arrhenius hasta esta región. Se encontró en este caso un valor de conductividad de 4,89 x10-2 .-1 cm-1, cuyo orden de magnitud es similar al reportado en la literatura para materiales conductores de iones oxígeno.
Bibliografía
[1] Huijsmans, J., Ceramics in solid oxide fuel cells, Current Opinion in Solid State and Materials Science, 5(4), pp. 317-323, 2001. DOI: 10.1016/S1359-0286(00)00034-6
[2] Murray, E.P., Tsai, T. and Barnett, S.A., Oxygen transfer processes in (La, Sr) MnO./Y.O. -stabilized ZrO. cathodes: an impedance spectroscopy study, Solid State Ionics, 110, pp. 235-243, 1998. DOI: 10.1016/S0167-2738(98)00142-8.
[3] Portal Energia: Vantagens e desvantagens das células de combustível. [Online]. [Consulta: 28 Enero 2016]. Mensaje archivado en: http://www.portal-energia.com/celulas-de-combustivel-vantagens-e-desvantagens/
[4] Mecánica básica: Función del sensor de oxígeno. [Online]. [Consulta: 28 Enero 2016]. Mensaje archivado en: http://www.mecanicabasicacr.com/auto/funcion-del-sensor-de-oxigeno.html
[5] Lopez, F.J. Desarrollo de sensores ópticos para gases y diseño de instrumentación portátil., Tesis Doctoral. Departamento de Química Analítica, Universidad de Granada, España, 365 P, 2005.
[6] Muñoz, R.A., Rodriguez, J.E. and Silva, C.R.M. Study of polymorphs of zirconia in the system ZrO2: h wt% Re2O3 Obtained by polymeric precursor method, Materials Science Forum, 727-728, pp. 1340-1344, 2012. DOI: 10.4028/www.scientific.net/MSF.727-728.1340.
[7] Muñoz, R.A., Rodrigues, A.C.M., Santos, C. and Silva, C.R.M., Effect of rare earth addition on electrical properties of zirconia based ceramics, Materials Science Forum, 660-661, pp. 652-657, 2010. DOI: 10.4028/www.scientific.net/MSF.660-661.652.
[8] Ferreira, L.F., Efeito das inclusões nanométricas de zircônia na obtenção de nanocompósitos de alumina-zircônia, Dissertação de MSc., Programa de posgraduaçao en Stricto Sensu em Engenharia e Ciência dos Materiais. Universidade de São Francisco, Brasil, 80 P, 2006.
[9] Galmarini, S, Ceramics: Sintering and microstructure, Work Practices Ceramics Process: TP3 Sintering, pp. 1-15, 2011.
[10] Caproni, E., Eletrólitos sólidos cerâmicos à base de óxido de zircônio para a detecção de oxigênio, Tese de Doutorado, 88 P., 2007.
[11] Muñoz, R.A., Microestrutura e propriedades elétricas da zircônia dopada com óxidos mistos de terras raras para aplicação como eletrólito sólido em sensores de oxigênio., Tese de Dr. .Programa de pós-Graduação em Sistemas Mecatrônicos. Departamento de Engenharia Mecânica. Universidade de Brasília-UnB, Brasil., 151 P, 2013.
[12] Irvine, J.T.S., Sinclair, D.C. and West, A.R., Electroceramics: characterization by impedance spectroscopy, Advanced Materials, 2( 3), pp. 132-138, 1990. DOI: 10.1002/adma.19900020304
[13] Peters, A., Korte, C., Hesse, D., Zakharov, N. and Janek, J., Ionic conductivity and activation energy for oxygen ion transport in superlattices - The multilayer system CSZ (ZrO.+CaO)/Al.O., Solid State Ionics, 178(1-2), pp. 67-76, 2007. DOI: 10.1016/j.ssi.2006.12.004
[14] Muccillo, E.N.S., Condutores de íons oxigênio - uma breve revisão (Oxygen-ion conductors - a brief review), Cerâmica, 54, pp. 129-144, 2008. DOI: 0.1590/S036669132008000200002
[15] Abélard, P. and Baumard, J., The electrical conductivity of cubic stabilized zirconia the results of an IUPAC collaborative study, Pure and Applied Chemistry, 67(11), pp. 1891-1904, 1995.
[16] Zhang, C., Li, C.-J., Zhang, G., Ning, X.-J., Li, C.-X., Liao, H. and Coddet, C., Ionic conductivity and its temperature dependence of atmospheric plasma-sprayed yttria stabilized zirconia electrolyte, Materials Science and Engineering: B, 137(1-3), pp. 24-30, 2007. DOI: 10.1016/j.mseb.2006.10.005
[17] Li, G. and Ren, R., Preparation of YSZ-TZP solid electrolytes by gel-casting technology, Journal of Environmental Sciences, 23, pp. S170-S172, 2011. DOI: 10.1016/S1001-0742(11)61105-4
[18] Yao, H.-C., Wang, X.-W., Dong, H., Pei, R.-R., Wang, J.-S. and Li, Z.-J., Synthesis and characteristics of nanocrystalline YSZ powder by polyethylene glycol assisted coprecipitation combined with azeotropic-distillation process and its electrical conductivity, Ceramics International, 37(8), pp. 3153-3160, 2011. DOI: 10.1016/j.ceramint.2011.05.055
[19] Pimenov, A., Ullrich, J., Lunkenheimer, P., Loidl, A. and Ruscher, C. H., Ionic conductivity and relaxations in ZrO.-Y.O. solid solutions, 109, pp. 111-118, 1998. DOI: 10.1016/S0167-2738(98)00082-4
[20] Badwal, S.P.S., Electrical conductivity of Sc.0.-ZrO. compositions by 4-probe d . c . and 2-probe complex impedance techniques, Journal of Materials Science, 18, pp. 3117-3127, 1983.
[21] Badwal, S.P.S. and Swain, M.V., ZrO.-Y.O.: Electrical conductivity of some fully and partially stabilized single grains, Journal of Materials Science Letters, 4, pp. 487-489, 1985.
Author notes