
Received: 04 February 2016
Revised: 01 April 2016
Accepted: 20 April 2016
Abstract: Supply chain (SC) management implies a large number of interactions and a great deal of cooperation between the organizations that make up the supply chain in order to fulfill the purposes of logistics processes such as supply, distribution and warehousing. Much research has been carried out to illustrate the advantages of coordinating these processes at different stages of supply chain planning. However, these studies appear to be separate efforts. This study proposes methodological guidelines for the coordinated planning of the supply chain in the context of the healthcare services, considering the global benefits to its members by using primary information collected at several health service institutions. The proposal also includes a mixed-integer programming model to show how organizational coordination contributes to a reduction of the overall costs throughout the chain.
Keywords: Supply chain, coordination, medical supply chain, medical operations management, healthcare supply chain, mixed-integer programing.
Resumen: La gestión de la cadena de abastecimiento implica la articulación intra e inter organizacional de las áreas funcionales participantes en los procesos de aprovisionamiento, almacenamiento y distribución a través de las organizaciones que la componen. Diversas investigaciones se han realizado mostrando las ventajas de la coordinación de estos procesos en diferentes etapas de la planeación de la cadena de abastecimiento, sin embargo, parecen ser enfoques separados. Este artículo propone pautas metodológicas para la planeación coordinada de la cadena de suministro en el contexto de la prestación de servicios de salud considerando beneficios globales para sus integrantes a través de información primaria recolectada en varias instituciones prestadoras de servicios de salud, proponiendo también un modelo de programación lineal para mostrar los efectos de la coordinación en la disminución de los costos globales de la cadena.
Palabras clave: Coordinación, logística, cadena de abastecimiento, medicamentos, gestión de operaciones, programación lineal.
1. Introduction
In line with the progress made in economic and productive systems, operations management has turned into a set of increasingly complex tasks, which imply the articulation of organizational processes according to the goals and expectations of the supply chain directors and stakeholders.
Industries went from focusing on mass production to focusing on customization. Operations strategies were developed such as just-in-time systems, total-quality management, flexible manufacturing, lean Systems, process outsourcing, and supply-chain management systems, among others [1]. Each of these strategies has been addressed from a planning and practice perspective, yielding operations management models and control schemes that make use of mathematical techniques.
Operations management has evolved from a set of separate activities into a single integrated application within the management of supply chains (SC). SC can be defined as the set of suppliers, producers, and distributors that interact in order to deliver a product or to provide customer service, including the customer as a part of the chain, and also contemplating the stakeholders that are affected or involved in the operations of the members of the chain [2]. SC has been addressed using various approaches, such as risk management, agile SC, lean SC, Flexible SC, global SC and regional SC, among others [3]. Different models have been proposed considering isolated activities or different functions of the SC; however, such models appear to be fragmented efforts [4].
Researchers have mainly focused on generating models and solutions aimed at providing strategies and models for the goods industry. More recently, their attention has shifted towards the service sector; however, there is a lack of research results in activities derived from the healthcare service in countries like Colombia.
In Latin America and the Caribbean, the service sector accounts for about 60% of both GDP (gross domestic product) and the total employment pool in the region. Although the service sector's share has increased, its growth remains low when compared to other sectors of the economy [5]. In Colombia, the service sector presented the largest reported increase in revenue in 2013, with a growth of 38.4% over the previous year [6]. With the development of the sector, new opportunities arise to improve the perception of the services provided and therefore improve productivity.
The service sector and its importance in the economy lies in its potential for regional development and job-vacancy creation. This sector generates around 50% of GDP in low-income countries and, usually, its growth is linked to the country's development [7]. Within the service sector, health, as one of its main components, exhibits "special features from the normative and practical context that directly affect the quality of the service provided to patients, namely it is not enough to guarantee the procedures for the detection and diagnosis of particular disease but it is also necessary to ensure the timely availability and good condition of drug stocks, which may represent a critical factor for the proper treatment of patients" [8].
In today's competitive environment, several medical organizations have taken the necessary actions to ensure they are providing the best care at the lowest possible cost [9]. Traditionally, the pharmaceutical industry has focused on the development of new medicines, on promoting alternative sales strategies, and on modern marketing activities. More recently, the industry's attention has turned to SC optimization as a means of delivering added value [10]. SC management within the health-care sector has become ever more complex due to the integration of several regulation entities (i.e. governmental agencies) as well as the monopolization of markets and the requirements of patients.
This article shows the results of a study conducted by the "Society, Economy and Productivity" (SEPRO) research group at Universidad Nacional de Colombia. The study was funded by Colciencias within the scope of a project entitled "A methodological proposal for the definition of policies, negotiation rules, and coordination activities applied to oncological medicine supply management in Colombia". The present paper provides a set of guidelines to achieve the coordination of agents in the SC as well as a mathematical model that serves as a mechanism to verify the impact of agents' coordination. The project's primary information, obtained from various institutions providing healthcare services in Bogotá, was collected and analyzed to identify potential structures or strategic guidelines for SC coordination. Subsequently, a mixed-integer programing model is proposed to illustrate the potential benefits of coordination using SC global cost as a metric to quantify improvements.
Section 2 contains a review of relevant research literature. Section 3 gathers a set of guidelines for the coordination of agents in SC. The proposed model to verify the potential effects of coordination is presented in section 5. The results that measure the impact of coordination and its associated effects appear in Section 6. Finally, Section 7 presents various points for further discussion.
2. Literature review
Commonly, two types of structures for SC management are suggested depending on the degree of control that every SC agent has over the others, namely a centralized structure and a non-centralized structure. When each member of the chain carries out its planning individually, regardless of other actors, local optima do not always contribute to achieving the overall objectives of the SC. Instead, coordinated SC planning has shown to have a positive impact on some performance metrics [11] such as delivery times, production costs, customer service perception [12]. Additionally, coordinated SC planning reduces the overall SC costs [13]. Such coordination involves not only the implementation of enterprise resource planning systems (ERP) and its associated links [14], but also the joint planning processes and the development of synchronized forecasts [15]. Coordination requires breaking down communication barriers and overcoming the reluctance to share information, it also requires aligning the different interests and management styles. All these requirements allow coordination to move towards an integrated management of chains that ultimately replaces any other functional process management approach [16]. Coordination is reflected when the members of a SC jointly minimize operating costs and share profits after production planning policies and programming operations have been deployed [17].
Typically, the literature distinguishes several strategies to achieve coordination of operations in an SC (e.g., purchasing policies, bulk discounts, inventory management, and lot sizes). However, few of these approaches have been applied to the sector of pharmaceutical SC (Medicines and medical supplies) in Latin American countries.
The structure of pharmaceutical SC includes one or more of the following actors: primary manufacturing industries, secondary manufacturing industries, warehouses and distribution centers, wholesalers and retailers (i.e., hospitals) [10]. Pharmaceutical SC management is highly complex and sensitive since any change in the level of customer service is unacceptable and so demands great responsibility to ensure that the right drug reaches the right patient at the right time in the right condition [18]. Pharmaceutical SC management has to deal not only with the upstream information flow, such as market demand, but also with the downstream flow of technical information that supports demand creation [19]. Additionally, there is the challenge of reconciling the freedom of health professionals in writing their prescriptions and favoring the preferences of the hospital's purchase department when offered bulk discounts [20]. Another challenge lies in the high levels of uncertainty associated to pharmaceutical demand along with the short life cycle of products due to their physical-chemical characteristics [21].
From the perspective of logistics activities, it is common to find proposals in the literature dealing with 1) overall planning of the SC in the pharmaceutical/medical industry focused on facility location; 2) chains of two or more levels presenting the case of inventory management between wholesalers, distributors and healthcare service provider institutions (IPS); and 3) optimal order quantity focused on the application of volume discounts, determination of the number of orders, and reorder point policies.
In terms of the number of studies in the current literature concerning SC in the health sector, researchers have focused on the purchasing process and supply management, distribution and production of pharmaceutical products, health logistics, and research and development of new products [22]. Most of the work conducted in science, within pharmaceutical and medical SC management, refers to the overall planning and focuses on developing better solutions for large-scale challenges; however, it is necessary to develop practical models that can quickly solve the problems associated to the pharmaceutical SC. Such models should be easy to implement and should not omit the real aspects of the problem [23]. From the perspective of SC operations and management, research in the health sector focuses on generating strategies and objectives of operations, planning, scheduling, and control of services [24].
Regarding recent studies about SC in health care, Narayana, Kumar Pati & Vrat [22] conducted an extensive review of the recent literature that addresses the issue of managing pharmaceutical supply chains (PSC), showing the growing interest of researchers in using information technology, analysis and process optimization. Susarla & Karimipresent presented a model of mixed integer linear programming for global planning multi-period, multi-level supply chains within the pharmaceutical industry, also contemplating purchasing, production and distribution processes [23]. Uthayakumar & Priyan developed a model that includes the integrated planning of two levels of the SC to optimize inventory, also considering the customer service level and showing the possibility to reduce inventory costs while maintaining service levels near 100% [18]. Sousa, Shah & Papageorgiou proposed a model for the Global Optimization of SC in the pharmaceutical industry, considering production factors and investment capacity for facility location [25]. Kelle et al. proposed policies for reorder points and security levels with space restrictions in the pharmaceutical industry SC from the perspective of a hospital [20]. Masoumi, Yu & Nagurney developed a multiproduct model for optimal allocation of resources for the production of vaccines and medicines in the design of the SC [26].
In Colombia, it is only recently that have researchers become interested in the SC of the healthcare sector. By consulting specialized databases, it is possible to corroborate that there are only a few research and scientific publications dealing with the mechanisms that allow a visualization of the effects of supply chain coordination in the context of healthcare service provision. Castrellón, Torres & Adarme proposed a model for reducing the costs of logistics operations in the distribution of medicines in Colombia [27]. Zamora presented a model for risk management in the procurement process of oncologic drugs [28], Balcázar presented a methodology for the coordination of agents in oncology medicines SC [8].
Based on the content of the studies above, it is possible to identify a couple of gaps in the development of the research on SC coordination in healthcare, namely a lack of guidelines intended to improve coordination, and the corresponding mathematical models to measure the impact of such coordination. The following section presents various guidelines that can be used to coordinate processes within an SC.
3. Guidelines for coordination
SC coordination implies the articulated and harmonized actions of the organizations involved in the particular SC. These actions should promote value creation and the reduction of losses. To achieve coordination of logistic processes, high levels of standardization and communication are necessary to facilitate trust between the chain members (Fig.1).

It is possible to identify several strategic guidelines that can be used to achieve coordination in SC planning. Some of the main strategic guidelines, identified through our fieldwork with multiple healthcare institutions, are included in the following paragraphs.
The coordination process depends on the implementation and the proper use of information technology as well as the use of suitable systems for warehouse management (WMS). Real-time information on inventory levels and availability of resources (for the handling and transporting medicines) facilitates tactical and operational planning.
The deployment strategy for coordination begins with a diagnostic phase. This initial phase is intended to identify the information needs of the processes that must be integrated, the characteristics of the tangible and intangible elements of the participants and also to determine the team members that generate joint operation plans. These members are responsible for conducting the necessary logistical coordination during the planning horizon (Fig.2). Thus, it is necessary to determine various additional aspects, such as the structure of the communication channels, the main generators of information, the power levels for decision-making, the command channels, the response times, and the responsible members in charge of each process together with their substituting members (when required). Once the instructions and manuals have been settled, this information should mitigate the effects of plausible contingencies as well as of any deviation from the plans. These actions contribute to having minor adverse effects and delays in operations.

The equipment for SC planning must be composed of delegates from all the organizations (that participate in the process of harmonization and coordination) and professionals of all organizational levels, who know the details of each process in the logistic cycle (Fig. 3).

Planning for the coordination of activities in the SC must help identify redundant and concordant issues both in the operation and in the planning horizons of all organizations. Such planning should also match every activity according to the business strategy of each business unit. The redundant activities must be eliminated by considering which particular activity has the lesser impact on value creation, i.e., duplicate efforts can cause delays and become non-value adding activities. Therefore, in each process of the logistic cycle, activities should be checked in detail, e.g., inspections, checks, temporary storage, use of packaging and secondary packaging, signage and marking of products, among others.
In an ideal scenario, a high degree of coordination planning (for the supply, storage and distribution of all organizations of the chain) allows us to identify the impact of coordination on the logistics network and to determine the best location of inventories based on aspects such as demand, availability of resources and capacity of production and storage. It is possible to obtain advantages in the overall SC planning by using a midpoint in the chain as a reference (either manufacturing or distribution) for the exchange of information. Such a midpoint can then be used as a centralized decision-making spot or as an inventory centralized management spot, allowing better decision making and achieving global cost reduction [12, 28].
It is necessary to establish control mechanisms and improvement measures for the activities and integrated processes in order to evaluate the degree of coordination achieved so far, as well as the advantages or benefits in terms of organizational goals. These performance indicators may include:
Number of processed orders/number of received orders.
Delays in execution of orders or average waiting times.
Joint use of means of labor/Means of labor available.
Savings on the use of primary or secondary packaging and wrapping.
Overbooking savings (over-execution of budget to meet unplanned orders).
Achieving economies of scale, incentives for volume and quantity discounts may represent motivating factors to initiate processes of inter-organizational coordination. In logistics, coordination strategies regarding the size of lots, common or joint replenishment times, purchasing pools, joint negotiations for contracting support services (e.g., security services, locative maintenance, transportation, marketing, etc.) or logistics operators, are procedures available to all organizations without requiring major structural or background changes in their operations.
To achieve inter-organizational coordination, it is first necessary to have a high degree of internal coordination within each of the organizations in the SC. This is to say that the areas within each organization (namely distribution, supply and warehouse) must be aligned with its own particular business strategy and also simultaneously with the whole-chain strategy [2]. Both the joint goals that motivate the articulation and coordination of operations and the organizational goals must be aligned with the overall goals of the chain. This, in turn, generating a management cycle that requires constant updating and revision by the joint planning management team.
4. Context of the medicines supply chain
In the pharmaceutical industry, it is common to find supply chains of multiple levels depending on the degree of intermediation required for the acquisition and adequacy of medicines. This is particularly true in the case of oncology drugs, which must be conditioned prior to application to the patients. In Colombia, not all institutions providing health services (IPS) have the facilities and the necessary certifications for the proper conditioning of drugs. Therefore, IPS must rely on outsourced services provided by specialized mixing centers, which are responsible for collecting, reconditioning and redistributing medicines to their customers (Fig. 4).

The SC of medicines and medical supplies has special characteristics that regulate its management and operation. First, given the high cost of some medicines and their physical-chemical characteristics that determine specific storage conditions, it is necessary to ensure the existence of a cold chain for many of these medicines. In addition, at every IPS, the people responsible for logistics processes may not have the required experience in areas such as inventory management, procurement of stock, or the use of demand prediction techniques. Most importantly, the majority of IPS lack WMS systems to facilitate their work. The risk of shortages, or medicine stock-outs, leads to having specialists prescribing medicines subject to availability and cost criteria. Such restrictions promote the use of substituting, less-effective medicines that match the procurement plans of particular institutions (e.g. IPS).
In the case of oncological medicines in Bogotá, and based on fieldwork carried out through surveys and interviews in 45 IPS that provide oncological services, it was possible to determine the following relevant aspects regarding the management and logistic activities in the health-care SC: 1) the schedule for the application and in-hospital drug distribution is made mostly with daily frequency at specific times, 2) not all IPS have information systems that show the real-time status of medicines inventories , 3) very few IPS have indicators to allow monitoring of logistics management, 4) Only 22% of respondents perform audits to the process of distribution and administration of oncology drugs, and 18% have improvement plans for the distribution process and management of their inventories.
Additionally, it was determined that there are multiple ways to purchase: according to historical demand, according to budget, and according to epidemiological profiles or care plans. Regarding the integration of logistics activities, it was possible to identify that some IPS have begun to work in conjunction with wholesaler distributors by implementing pharmacies that operate inside the corresponding IPS.
5. Mathematical model for measuring the effects of coordination
We developed a mixed integer linear programing model to show the potential benefits of coordination in the health-care SC. The model considers global cost of inventory and physical flows in the chain. The main idea is to choose the position of inventory levels as a function of three factors, namely demand, capacity and cost. The model assumes known cost structures as well as known demands and capacities. In order to choose the best mix of providers to deliver medication to the patients while minimizing the overall costs of the chain, the model provides a structure in which i (i=1,.., m.) suppliers provide type-p drugs (p=1,.., q.) to k (k=1,.., K.) IPS over t (t=1,.., T.) periods to be applied to j (j=1,.., n.) patients (Fig. 5).

The model parameters are:
CFi,k Fixed transport cost from the supplier i to IPS k.
cvpi,k Variable cost of transporting one unit of single type drug reference p from supplier i to IPS k.
chpi Inventory cost associated to holding one unit of drug p at supplier i at period t.
COpi,t Supply capacity of supplier i to deliver drug p at period t.
NVi,k,t Maximal trips available at period t from supplier i to IPS k.
EDi,t Warehouse space of Supplier i at period t.
chpk Inventory cost associate to holding one unit of drug p at IPS k.
EDk,t Warehouse space of IPS k at period t.
Dpj,t Demand of drug p necessary for patient j at period t.
pcp Purchase price of drug p.
PDk,t Budget of IPS k at period t to buy drugs.
hp Space required to store one unit of product p.
ap Space required to transport one unit of product p.
CC Cargo capacity of the transport medium.
The model's variables are:
xpi,j,t Units of drug p sent from supplier i to IPS k at period t.
ypk,j,t Units of drug p delivered to the patient j at IPS k at period t.
Ipi,t Inventory level of drug p held by supplier I at period t.
Ipk,t Inventory level of drug p held by IPS k at period t.
Ui,k,t Number of trips from supplier i to IPS k at period t.
The objective function is:
[Ecuation 0]The constraints are:
[Ecuation 1]
[Ecuation 2]
[Ecuation 3]
[Ecuation 4]
[Ecuation 5]
[Ecuation 6]
[Ecuation 7]
[Ecuation 8]
[Ecuation 9]
[Ecuation 10]The Objective function (0) includes the fixed cost of transport according to various factors, namely the number of trips made, the variable cost of transportation and the cost of inventory from suppliers and IPS.
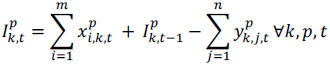
Constraint (1) represents the balance between the flows of medicines of supplier i. This constraint also establishes that the amount of inventory of medication p in supplier i at period t equals the amount of type-p drug available plus the inventory of type-p drug at period t-1, minus the amount of drug p sent to IPS k.
Constraint (2) represents the balance between the flows of drugs at IPS k. This constraint states that the amount of p-type drug inventory at IPS k, in time period t, is equal to the amount of p-type medication received from suppliers in the same period, plus the type-p drug inventory from period t-1, minus the amount of drug p given to patient j during the t period.
Constraint (3) shows the balance of type-p drugs required for patient j and the amount delivered from IPS k at period t.
Constraint (4) guarantees that the amount of type-p drug to be sent to IPS k cannot exceed the quantities of type-p drug available at supplier i at period t.
Constraint (5) guarantees that the amount of all drugs stored in IPS k at period t cannot exceeded the available space.
Constraint (6) guarantees that the amount of all drugs stored at supplier i at period t cannot exceeded the available space.
Constraint (7) ensures that the total volume occupied by the drugs to be transported from supplier i to IPS k at period t is less than or equal to the number of trips that can be handled by the volume capacity of the transport medium.
Constraint (8) ensures that the number of scheduled trips from supplier i to IPS k at period t is less than the amount of allowable trips between these two locations for the same period.
Constraint (9) ensures that the total purchase cost assumed by IPS k is less than or equal to the total budget in period t.
Constraint (10) ensures that all decision variables are non-negative and integer.
Likewise, the initial conditions are established:


Where A1, A2 represent the initial inventory levels.
And final conditions:

A3 represents the desired level of inventory at the end of the planning horizon T.
6. Results
To show that coordinated planning can improve the performance of the supply chain, the mathematical model of mixed integer linear programming, presented in section 5, was used to compare two scenarios with varying demand distributions in the same planning horizon. Patient care is performed under the assumption of coordination involving a free flow of information and cooperation to satisfy demand in the first scenario; and the assumption of non-cooperation in the second scenario, where demand exceeds the capacity and should be deferred.
Emulated data resembling real data was used in order not to compromise the organization's private data. The main objective of the proposed model is to show the potential benefits in terms of global SC cost reduction resulting from information sharing in the attention planning process.
To run the proposed model, a sample instance with 3 suppliers, 2 IPS, and 7 patients (requiring 3 types of drugs), in a planning horizon of 5 periods of time was solved. To this end, the mathematical modeling package GAMS was used; specifically, the CPLEX solver was run on a machine with a Core i5 processor of 2.67 GHz and 4 GB RAM. The demand distribution data is presented in Table 1.

To run the model, the following assumptions hold: 1). The fixed and variable costs of supplier 1 are higher than those of provider 2 and, in turn, the costs of supplier 3 are higher than those of provider 2. 2) The costs of keeping type-. drugs in inventory are 4, 2 and 1 percent the price of the corresponding drug for suppliers 1, 2 and 3, respectively. 3) The cost of maintaining a type-p drug in the IPS inventory is 80% of the product's price, since a drug suitable for one patient is rarely appropriate for another. 4) The space to store drugs in the oncology department at the IPS is limited. 5) The means of transportation from the supplier to the IPS has limited capacity. 6) A one-to-one linear relationship is assumed between drugs and patients.
Two scenarios were proposed to show the effects of coordination in terms of global SC cost. The baseline scenario assumes uncoordinated patient attention ignoring capacity restrictions of IPS. The modified scenario assumes coordination for patient attention. The results of the two scenarios show a reduction in the overall costs of the chain of 16.33% due to a variation in the behavior of inventories.

Demand leveling across various planning periods as a result of the joint planning process contributes to avoiding bottlenecks and shortages of capacity in order to better cope with patient attention in the proposed scenarios. The model shows how, by varying only the demand in the different time periods of the planning horizon (i.e. rescheduling patient appointments), it is possible to achieve lower costs as a result of the changes in inventory levels (see Table 3 and Table 4). In real life, members of the SC would be able to achieve savings only by sharing information at different levels of the chain.


7. Discussion and recommendations
By comparing the proposed scenarios, it is possible to show that coordination in the SC can have significant effects in reducing overall chain costs. However, it is not enough to implement strategies and mechanisms that contemplate only an isolated logistic chain process. It is, therefore, necessary to conduct an integrated planning that allows the articulation of multiple processes based on global achievements for the chain, such as economies of scale, eliminating duplicate efforts and waste minimization. Our example shows how, by simply sharing information, it is possible to achieve cost reduction. Future research is necessary to find out how to share the benefits,fairly among all the SC members.
To achieve coordination through the SC, standardization of processes and procedures as well as the use of similar information systems that are easily bondable may be a contribute to facilitating the exchange of information for the joint planning of the logistics activities and also to controlling the inventory levels across the chain.
In this paper, we have presented a set of methodological guidelines that can be applied to achieve coordination of activities in the SC. Furthermore, to show that such coordination can have a positive effect on reducing the overall costs of the chain, we used a model of mixed integer linear programming that applies to similar contexts and serves to illustrate the potential effects of coordinated operations.
To achieve a practical approach to implementating the guidelines presented, there must be a high degree of commitment and trust between members of the SC to share information about their processes and engage in joint planning processes. For Future research, we suggest simulation scenarios that consider agreements and revenue-sharing contracts, showing the benefits that can be accomplished when sharing the savings that result from the coordination of activities in the logistics context.
In Colombia, the extension and appropriation of recent developments in the theory of SC management can have a great impact on the planning of logistics activities within medical institutions, leading to their improvement and thus contributing to improving the services delivered to the patient. The development of programs or partnerships that enable and facilitate the interaction of professionals and researchers in logistics areas, within health institutions and control agencies, is needed to generate logistics management methodologies, mechanisms and policies that suit the needs of the healthcare sector, thus facilitating coordination for the whole supply chain.
References
1. Gunasekaran, A. and Ngai, E.W.T., The future of operations management: An outlook and analysis, Int. J. Prod. Econ., 135(2), pp. 687-701, 2011. DOI: 10.1016/j.ijpe.2011.11.002
2. Chopra, S. and Meindl, P., Supply chain management: Strategy, planning and operation. Pearson Prentice Hall, 2007, pp. 22-25.
3. Gattorna, J., Gower Handbook of Supply Chain Management. Gower, 2003, 297 P.
4. Kanda, A. and Deshmukh, S.G., Supply chain coordination: Perspectives, empirical studies and research directions, Int. J. Prod. Econ., 115(2), pp. 316-335, 2008. DOI: 10.1016/j.ijpe.2008.05.011
5. Arias-Ortiz, E., Crespi, G., Rasteletti, A. and Vargas, F., Productivity in Services in Latin America and the Caribbean, 2014.
6. Superintendencia de Sociedades, Comportamiento de las 1000 empresas más grandes del sector real, Informe, [En línea]. 2014. Disponible en: http://www.supersociedades.gov.co/noticias/Documents/INFORME SECTOR REAL 1000 empresas SSyotras Mayo 7 2014.pdf. [Accessed: 08-Oct-2014].
7. Cali,M., Ellis, K. and te Velde, D.W., The contribution of services to development and the role of trade liberalisation and regulation, 2008.
8. Balcazar, D.A., Metodología para la coordinación de actores en la cadena de abastecimiento de medicamentos de las instituciones prestadoras de servicios de salud del sector oncológico, Tesis, Universidad Distrital Francisco José de Caldas, Bogotá, Colombia, 2014.
9. Bandyopadhyay, J.K., Six sigma approach to healthcare quality and productivity management, Int. J. Qual. Product. Manag., 5(1), 2005.
10. Shah, N., Pharmaceutical supply chains: Key issues and strategies for optimisation, Comput. Chem. Eng., 28(6-7), pp. 929-941, 2004. DOI: 10.1016/j.compchemeng.2003.09.022
11. Adarme, W., Desarrollo metodológico para la optimización de la cadena de suministro esbelta con m proveedores y n demandantes bajo condiciones de incertidumbre: Caso aplicado a empresas navieras colombianas, Universidad Nacional de Colombia, 2011.
12. Vickery, S.K., Jayaram, J., Droge,C. and Calantone, R., The effects of an integrative supply chain strategy on customer service and financial performance: An analysis of direct versus indirect relationships, J. Oper. Manag., 21(5), pp. 523-539, 2003. DOI: 10.1016/j.jom.2003.02.002
13. Jaimes,W.A., Serna, M.D.A. y Balcázar, D.A., Modelo para la coordinación de agentes en un sistema logístico de la industria astillera colombiana, Ing. e Investig., 31(2), pp. 102-111, 2011.
14. Awad, H.A. and Nassar, M.O., Supply chain integration: Definition and challenges, Proc. Int. MultiConference Eng. Comput. Sci., 2010.
15. Skjoett-Larsen, T., Thernøe, C. and Andresen, C., Supply chain collaboration : Theoretical perspectives and empirical evidence, Int. J. Phys. Distrib. Logist. Manag., 33(6), pp. 531-549, 2003. DOI: 10.1108/09600030310492788
16. Power, D., Supply chain management integration and implementation: A literature review, Supply Chain Manag. An Int. J., 10(4), pp. 252-263, 2005. DOI: 10.1108/13598540510612721
17. Hill, R.M. and Omar, M., Another look at the single-vendor single-buyer integrated production-inventory problem, Int. J. Prod. Res., 44(4), pp. 791-800, 2006. DOI: 10.1080/00207540500334285
18. Uthayakumar, R. and Priyan, S., Pharmaceutical supply chain and inventory management strategies: Optimization for a pharmaceutical company and a hospital, Oper. Res. Heal. Care, 2(3), pp. 52-64, 2013. DOI: 10.1016/j.orhc.2013.08.001
19. Pedroso, M.C. and Nakano, D., Knowledge and information flows in supply chains: A study on pharmaceutical companies, Int. J. Prod. Econ., 122(1), pp. 376-384, 2009. DOI: 10.1016/j.ijpe.2009.06.012
20. Kelle, P., Woosley, J. and Schneider,H., Pharmaceutical supply chain specifics and inventory solutions for a hospital case, Oper. Res. Heal. Care, 1(2-3), pp. 54-63,. 2012. DOI: 10.1016/j.orhc.2012.07.001
21. Laínez, J.M., Schaefer, E. and Reklaitis, G.V., Challenges and opportunities in enterprise-wide optimization in the pharmaceutical industry, Comput. Chem. Eng., 47, pp. 19-28, 2012. DOI: 10.1016/j.compchemeng.2012.07.002
22. Narayana, S.A., Kumar-Pati, R. and Vrat, P., Managerial research on the pharmaceutical supply chain - A critical review and some insights for future directions, J. Purch. Supply Manag., 20(1), pp. 18-40, 2014. DOI: 10.1016/j.pursup.2013.09.001
23. Susarla, N. and Karimi, I.A., Integrated supply chain planning for multinational pharmaceutical enterprises, Comput. Chem. Eng., 42, pp. 168-177, 2012. DOI: 10.1016/j.compchemeng.2012.03.002
24. D.D. Dobrzykowski, Saboori, V., Hong, P.C. and Kim, S.-C., A structured analysis of operations and supply chain management research in healthcare (1982-2011), Int. J. Prod. Econ., 147(2/Part B), pp. 514-530, 2014. DOI: 10.1016/j.ijpe.2013.04.055
25. Sousa, R.T., Shah, N. and Papageorgiou, L.G., Global supply chain network optimisation for pharmaceuticals, pp. 1189-1194, 2005.
26. Masoumi, A.H., Yu, M. and Nagurney, A., A supply chain generalized network oligopoly model for pharmaceuticals under brand differentiation and perishability, Transp. Res. Part E Logist. Transp. Rev., 48(4), pp. 762-780, 2012. DOI: 10.1016/j.tre.2012.01.001
27. Castrellón-Torres, J.P., Torres-Acosta, J.H. and Adarme-Jaimes, W., Model for the logistics distribution of medicines in the Colombian public health program, DYNA, 81(187), pp. 257-266, 2014.
28. Zamora-Aguas, J.P., Diseño metodológico para la gestión del riesgo en el proceso de aprovisionamiento de la cadena de suministro, caso de estudio IPS de oncología de Bogotá, D.C., Tesis. Universidad Nacional de Colombia, 2013.
29. Liu, Q. and Chen, J., A coordination mechanism of supply chain under asymmetric information based on supply hub, in 2010 International Conference on E-Product E-Service and E-Entertainment, 2010, pp. 1-4. DOI: 10.1109/ICEEE.2010.5661096
Author notes