Resumen: En este se investiga el modelado de un sistema del tipo correa transportadora con la finalidad de uso en el monitoreo y en el diagnóstico de faltas. Primeramente es discutido un modelo fenomenológico del proceso, el cual es basado en la aplicación de las leyes de la mecánica y considerando los diversos tipos de fuerza de oposición al movimiento que actúan sobre la correa. Los principales parámetros del transportador fueron estimados utilizando técnicas de identificación basadas en Mínimos Cuadrados No Recursivos. Los resultados obtenidos en estudios computacionales muestran el buen desempeño de la estrategia propuesta, cuando aplicada a datos reales colectados en el sistema de transporte de minerales de una mina de cobre al sur de Pará, Brasil.
Palabras clave:Identificación ParamétricaIdentificación Paramétrica,Modelado FenomenológicoModelado Fenomenológico,Correa TransportadoraCorrea Transportadora,Mínimos Cuadrados No RecursivoMínimos Cuadrados No Recursivo,Monitoreo y DiagnósticoMonitoreo y Diagnóstico.
Abstract: This paper investigates the modeling of a belt conveyor system for use in an automated monitoring system aiming at obtain improved energetic performance and fault diagnosis capability of the system. Firstly, a phenomenological model of the process is discussed, which is based on the laws of mechanics considering various movement opposing forces. The main parameters of the belt conveyor system model were estimated by using a non-recursive least mean square identification techniques. The results of computational studies show a good efficiency of the proposed strategies when applied to a set of data collected in a real world belt conveyor system, located at copper mine in south of Pará state, Brazil.
Keywords: Parametric identification, phenomenological model, Belt Conveyor, non-recursive least mean square, Monitoring and Diagnostics.
Modelado fenomenológico e identificación paramétrica aplicada al monitoreo de una correa transportadora en una mina de cobre
Phenomenological modeling and parametric identification applied to the monitoring of a belt conveyor system in a copper mine

Recepción: 05 Mayo 2015
Aprobación: 05 Mayo 2016
Las máquinas y equipos de transporte son utilizados para mover los más diversos tipos de cargas en el interior de fábricas. Los procesos de transporte no se limitan apenas en mover materiales de un lugar para otro, pero incluyen también, operaciones de carga y descarga, de modo que su mal funcionamiento puede ocasionar pérdidas de producción, de calidad y de rentabilidad [6,8].
Los sistemas del tipo correa transportadora, poseen una posición dominante cuanto al transporte de cargas al grano. Esto se debe a su versatilidad de uso y algunas ventajas, como: Integrar innúmeros procesos garantizando el flujo continuo del material entre dos operaciones sucesivas, transportarlos más diversos tipos de materiales, adaptación a los más variados tipos de terreno, tienen también algunas ventajas ambientales, tales como: poder operar dentro de pequeños túneles, evitando la formación de polvo, y operar silenciosamente [2,4,8].
La necesidad de mejorarla eficiencia de procesos de transformación de minerales ha abierto un importante campo de investigaciones. En Cores et. al, (2015) [13], los autores investigan estrategias de automación y control aplicados a un proceso de sinterización de minerales de hierro. La calidad del proceso de sinterización de minerales de hierro fue investigada en Mochón et. al., (2014) [12].
Los sistemas del tipo correa transportadora de minerales están entre los más eficientes medios de transporte en cortas y medias distancias. Sin embargo, este sistema tiene un costo elevado, en lo que dice respecto al consumo energético [5]. Según [1], se estima que cerca de 40% del costo operacional es debido al gasto energético. Debido a tal hecho, trabajos visando la mejoría de la eficiencia energética de los equipos constituyentes de este tipo de sistema son de extrema importancia para la operación económica de los procesos productivos, contribuyendo de modo a reducción de los costos operacionales y preservación de los equipos [5,8]. En este trabajo se investiga el modelado de un sistema del tipo correa transportadora, así como una metodología de estimación de los parámetros constituyentes del sistema. El objetivo es detectar un punto óptimo de operación, bien como desarrollar un sistema de monitoreo y de detección de faltas. Inicialmente es discutido un modelo fenomenológico del proceso, basándose en las leyes de la mecánica, focalizando en los diversos tipos de fuerzas de oposición al movimiento. En seguida, es propuesta una metodología de estimación paramétrica, basada en el método de Mínimos Cuadrados No Recursivo (MCNR). Para realizar la validación del algoritmo desarrollado, técnicas basadas en análisis de correlación fueron utilizadas, de modo que estudios iníciales fueron realizados utilizándose un modelo propuesto en [1,2]. Por fin, teniendo el modelo fenomenológico y el algoritmo de estimación calibrado y validado, fue investigado un sistema real del tipo correa transportadora, utilizado en una mina de cobre al sur del estado del Pará- Brasil.
En este trabajo, son presentados los resultados obtenidos de los modelos aproximados, através de pruebas experimentales, los modelos obtenidos serán usados en un algoritmo de detección de faltas para ser investigado en estudios posteriores a ser desarrollado por los autores.
Este artículo está organizado de la siguiente forma: en la sección 2 se presenta el modelado fenomenológico del sistema del tipo correa transportadora, en la sección 3 se presenta el desarrollo del algoritmo de estimación paramétrica del modelo fenomenológico utilizando MCNR, en la sección 4 son presentados los resultados obtenidos para la realización de la calibración del algoritmo de estimación paramétrica, en la sección 5 son presentados los resultados obtenidos de la estimación paramétrica de un sistema real del tipo correa transportadora, en la sección 6 se tiene la conclusión del trabajo.
El modelado fenomenológico del Sistema del tipo correa transportadora es de importancia fundamental para diversas situaciones, tales como: obtención del punto óptimo de operación del sistema buscándose mayor eficiencia energética, constitución de herramientas que operen como supervisores del sistema así como elaboración de algoritmos para detectar y/o diagnosticar faltas ocurridas en el sistema. En la literatura [1, 2, 3] son difundidos dos métodos distintos para la obtención de un modelo fenomenológico. El primer método es basado en el cálculo de las fuerzas de resistencia que se oponen al movimiento de la correa el otro método se basa en la conservación de la energía através de una longitud de compensación. Este trabajo fue elaborado utilizando el modelo propuesto por [1], donde se propone una inter-ligación entre los dos enfoques. La Fig. 1 muestra el diagrama esquemático simplificado de una correa transportadora típica de minerales, con sus partes que la constituyen.
En la Fig. 1, L(m) es la longitud de transporte de la correa, la cual es medida en relación a los centros de los rodillos de las extremidades, las cuales promueven la tracción y el movimiento del sistema; Lh(m) es la distancia horizontal y H(m) es la altura de elevación.

Según [1, 2, 3, 4], en el régimen permanente, el consumo de potencia eléctrica activa es predominante debido a diversas fuerzas de resistencia al movimiento de la sección cargada y de la sección de retorno de la correa transportadora. Equipos tales como "beltcleaners" y "skirtboards" también contribuyen considerablemente para el consumo de la potencia total de la energía. Las normas ISO 5048 y DIN 22101 clasifican a las fuerzas de resistencia al movimiento de acuerdo con las siguientes clases:
2.1. Fuerza de resistencia primaria - (FH)
La fuerza de resistencia primaria es una composición de las fuerzas de fricción a lo largo de todo el trayecto de la correa. Esta fuerza puede ser calculada através de la siguiente formula:

Donde:
f - Factor de fricción artificial.
L - Longitud de la correa transportadora.
g - Aceleración de la gravedad
Q. - Masa por unidad de longitud de la carga debida al material siendo transportado en la estera (kg/m).
2Q. - Masa por unidad de longitud de la estera vacía (kg/m).
-Ángulo de inclinación de la correa (º).
QRO - Masa por unidad de longitud de las partes rotativas de los rodillos en los trayectos de ida (kg/m).
QRU - Masa por unidad de longitud de las partes rotativas de los rodillos en los trayectos de retorno (kg/m).
2.2. Fuerza de resistencia secundaria - (FN)
La fuerza de resistencia secundaria es compuesta por fuerzas de naturaleza inercial y también de fricción. Son fuerzas de fricción del material con la correa, en las estaciones de alimentación, así como en las skirt boards. La norma ISO 5048 propone el cálculo de la fuerza secundaria, através de una relación con la fuerza primaria, como presentada en (2)-(3). Conforme puede ser observado F. varia con la longitud de la correa transportadora.

2.3. Fuerza de resistencia de slop - (Fst)
La fuerza de resistencia de slop se debe a la variación relativa del punto de alimentación para el punto de flujo, de tal manera que esta fuerza puede ser agregada o reducida dependiendo de la variación de la altura, esta fuerza puede ser expresada como se indica en (4). Esta depende de la carga y de la altura de elevación de la correa.

2.4. Fuerza de resistencia especial - (Fs)
La fuerza de resistencia especial es una composición de las demás fuerzas de resistencia al movimiento, pudiendo ser expresada conforme la Ec. (5).

Donde los parámetros k.,k.e k.dependen de la estructura y de la geometría de la correa transportadora [1,2].Las variables T y V son respectivamente la tasa de alimentación y la velocidad tangencial de la correa transportadora.
2.5. Fuerza de resistencia total - ( F. )
La fuerza de resistencia total es compuesta por la sumatoria de todas las fuerzas de resistencia que actúan sobre la correa transportadora. Esta es definida según la Ec. (6).

De acuerdo con las leyes de la mecánica, la potencia mecánica total necesaria para equilibrar las fuerzas de resistencia al movimiento, puede ser expresada conforme la Ec. (7).

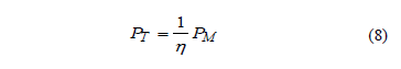
Donde V es la velocidad tangencial de la correa transportadora. La potencia eléctrica activa total que los motores eléctricos y sus respectivos drives de accionamiento necesitan consumir de la red eléctrica, para suministrarla potencia mecánica total da correa. Puede ser calculada através de la Ec. (8).

Donde es el rendimiento del conjunto motor-driver.
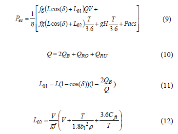
Substituyendo las Ec. (1)-(5) en la Ec. (6) y en seguida en la Ec. (7)-(8),la potencia eléctrica consumida por el sistema correa transportadora y carga, puede ser expresada conforme se indica en (9)-(12).

La identificación paramétrica de sistemas, puede ser vista como un problema de optimización que envuelve algunas restricciones para la adecuación de modelos candidatos para representar un determinado proceso real. La selección de modelos y el ajuste de sus parámetros son influenciados por diversos factores, tales como: Conocimiento a priori del sistema, propiedades del modelo a ser identificado, selección de la medida del error a ser minimizado y la presencia de ruidos [4,11]. Como el problema de optimización en muchos casos se torna un problema interesante, dado que se enfoca la minimización de un determinado criterio de desempeño. Si todas las restricciones impuestas al sistema fueron satisfechas, el modelo encontrado pode ser considerado satisfactorio. Caso contrario, si por lo menos una de las restricciones fue violada, todos los procedimientos de identificación y estimación paramétrica y diagnóstico del modelo deberán ser reevaluados hasta que un modelo apropiado sea encontrado [4, 9, 10, 11].
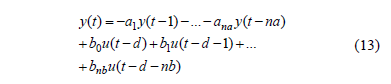
Considerando un determinado proceso físico, operando en un punto de operación, un modelo de tiempo discreto puede ser expresado bajo la forma:

Donde:
y(t) - Salida del sistema
u(t) - Entrada del sistema
a. e b. - Parámetros del sistema.
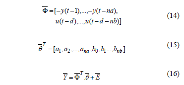
Puede reescribirse la Ec. (13), en un formato matricial, conforme se indica en (14)-(16).

Dondey, son respectivamente, el vector de parámetros y el vector de regresores.
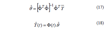
La estimativa del vector de parámetros puede ser obtenida através del procedimiento de mínimos cuadrados. Utilizando la estimativa, la mejor previsión de la salida del sistema, es calculada como se muestra en las Ec. (17)-(18) [4, 9, 10, 11].

De modo que el error de previsión puede ser determinado conforme se indica en (19).

3.1. Estimación y calibración de los parámetros del modelo fenomenológico de la correa transportadora
El modelo matemático que describe el comportamiento estático del sistema, basado en el cálculo del equilibrio energético de la correa transportadora, es obtenido através de la relación entre las Ec. (9)-(12).
Actualmente, muchas empresas aún utilizan métodos convencionales de operación, en los cuales los puntos de operación de las correas transportadoras no son optimizados desde el punto de vista del gasto energético. Ese hecho, se debe principalmente la complejidad del sistema y la ausencia de modelos confiables de la planta, visto que diversos parámetros de éste modelo son de difícil obtención vía medición. De esta forma, se plantea un modelo de cálculo energético modificado, el cual viabiliza la parametrización y calibración del modelo planteado, de forma fácil y objetiva [1,4].
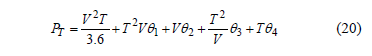
De acuerdo con la norma ISO 5048, la fuerza de resistencia total, puede ser obtenida através de la relación entre la tasa de alimentación de la correa transportadora (T) y la velocidad de la correa transportadora (V), para representar esta fuerza, se puede despejar los coeficientes de los parámetros a ser estimados y reescribiendo la Ec.(9) obteniendo la Ec.(20).

Donde
,
,
e
son parámetros empíricos a determinar vía pruebas. Tales parámetros, están relacionados con los parámetros físicos del sistema de la correa transportadora, definidos por las expresiones:

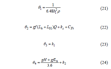
Con el intuito de aplicar la técnica de identificación MCNR, se reescribió la Ec.(20) conforme se indica en (25)-(30).

Reescribiendo, entonces, la Ec. (25) en el formato matricial se obtiene:

La Fig. 2 presenta el flujograma detallado del procedimiento utilizado para la realización de la estimación paramétrica de los parámetros físicos y mecánicos de la correa transportadora. Primeramente los datos de potencia eléctrica consumida, tasa de alimentación y velocidad tangencial de la correa son colectados en el campo (A). En seguida, es efectuada la estimación de los parámetros del modelo (B). La Ec. (20) es entonces utilizada para estimar la potencia consumida por el sistema (C). El valor de potencia estimada es comparada al valor real medido, P. (D). Caso el valor del error calculado, esté abajo de una tolerancia previamente determinada, el modelo es considerado ajustado (E), de modo que los parámetros encontrados pueden ser utilizados en simulaciones de laboratorio.

3.1. Validación del algoritmo de estimación paramétrica
Con el objetivo de realizar la validación y calibración del algoritmo de estimación paramétrica desarrollada, se utilizó un conjunto de datos obtenido en [1], donde se presentan datos constructivos a cerca de los parámetros físicos y mecánicos del sistema, de modo que este posibilite realizar el cálculo de los parámetros. La Tabla 1 presenta los valores de los parámetros obtenidos en [1], referente a una correa transportadora.

Con el intuito de realizar la validación del algoritmo desarrollado, se utilizó los datos de la Tabla 1, y se varió la tasa de alimentación de la correa transportadora de 1000 t/h a 2000 t/h, y se verificó el consumo da potencia eléctrica y el valor estimado de potencia por el algoritmo MCNR
La Fig. 3 presenta el gráfico de la potencia consumida y estimada cuando el sistema es sometido a una variación de la tasa de alimentación de la correa transportadora.

Se puede observar, en la Fig. 3, que los valores estimados de potencia eléctrica, se igualaron al valor real generado por el simulador, tal cual como deseado.
La Fig. 4 presenta el error absoluto de estimación de la potencia eléctrica de la correa transportadora. Se puede observar que este error es bastante pequeño, mostrando la adecuación del modelo estimado.

Para averiguar la robustez de la estimación off-line desarrollada, fue fijada la velocidad y la tasa de alimentación como muestra la Tabla 1 y fue adicionada a la tasa de alimentación un componente aleatorio de 1% de su valor nominal y en seguida fueron estimados los valores de potencia eléctrica consumida y de los parámetros
's relacionados. La Fig. 5 presenta la potencia eléctrica consumida cuando adicionado un componente aleatorio de 1% a la tasa de alimentación.

Se puede verificar, en la Fig. 5, que mismo con una variación aleatoria de 1% de la tasa de alimentación, el algoritmo consigue estimar con gran precisión los valores de potencia consumidos del sistema. La Fig. 6 muestra el error absoluto de estimación cuando el sistema es sometido a una variación de 1% de su tasa de alimentación.

En la Fig. 6, se verifica que el error de estimación, está muy pequeño, indicando cierta robustez del algoritmo desarrollado. En la Fig. 7 se presenta el resultado del análisis de correlación del vector de residuos del modelo.

Puede ser observado en la Fig. 7, que la auto-correlación presenta un impulso en (k = 0) y aproxima el valor cero para los valores donde k es diferente de cero, dentro de una faja de tolerancia estadística de orden de 5%.En la Fig. 8 se presentan los valores estimados de los parámetros teta, con el intuito de validar el algoritmo desarrollado, fueron trazados los valores calculados de los parámetros utilizando los valores obtenidos en la Tabla 1 y fueron también trazados, los valores de los parámetros estimados, en ella referida prueba.

En la Fig. 9 se muestra el error absoluto referente a los valores de los parámetros estimados. Se verifica que el mayor error de
estimación obtenido fue en la variable
, con el fin de rectificar la validación del algoritmo de estimación y denotar su eficacia.

Inicialmente fue desarrollada una metodología de estimación paramétrica off-line, con el intuito de estimar un modelo que represente de forma satisfactoria y fidedigna a un sistema del tipo correa transportadora de una mina de cobre localizada al sur del estado de Pará, en Brasil. Este sistema tiene las siguientes características: El transportador tiene una longitud de 4,1 km, operando de forma continua a una velocidad fija de 4,17 m/s, no existe un control rígido en la tasa de alimentación de la correa transportadora, debido a esto el valor estimado de tasa varía en una faja de error estimada, el sistema de accionamiento de la correa es compuesta por 4 motores trifásicos de 200 kW, de modo que todos operen sincronizados, resultando en una potencia consumida para el accionamiento de aproximadamente 800 kW, todos los motores son accionados vía inversor de frecuencia visando mantener fija a la velocidad de la correa. Este sistema también dispone de diversos equipos que se toman como accesorios, tales como: raspadores, viradores de correa, skirt-boards de modo que consumen una parcela de potencia adicional que es prevista en el modelo fenomenológico através del término Pacs, como indica la Ec. (9). Con el intuito de obtener un modelo que represente adecuadamente al sistema de la correa transportadora investigada, fue constituido un banco de datos con medidas de las principales variables del sistema, como: Potencia eléctrica consumida por los motores, velocidad tangencial de la correa transportadora y la variación de la tasa de alimentación de minerales de cobre del sistema. La Tabla 2 muestra las características operacionales del sistema investigado.

La Fig. 10 muestra la correa transportadora investigada en este estudio.

La Fig. 11 muestra a los sistemas de accionamiento de la correa transportadora.

La Fig. 12 presenta los datos colectados en campo referentes a la potencia eléctrica consumida por el sistema, mostrando también la estimativa de potencia eléctrica consumida utilizando el algoritmo desarrollado. Se verifica que la potencia eléctrica consumida es representada através de la sumatoria de todas las potencias de los motores responsables por el movimiento de la correa transportadora, proporcionando una potencia consumida máxima de 800 kW.

La Fig. 13 muestra el error absoluto que relaciona la estimativa de la potencia eléctrica consumida por el sistema, se verifica que el error obtenido de la estimativa de potencia es muyo pequeño denotando un modelo estimado preciso y que representa adecuadamente al sistema investigado.

En la Fig. 14 se presenta el resultado del análisis de correlación del vector de residuos del modelo basado en datos colectados en campo.

En la Fig. 14 se verifica, que la auto-correlación presenta un impulso en (k = 0) y aproxima el valor cero para los valores donde k es diferente de cero, dentro de una faja de tolerancia estadística de orden de 5%.La Fig. 15 muestra las estimativas de los parámetros tetas referentes al modelo estimado de los valores reales adquiridos, se verifica que los valores referentes a e son valores bajos como ya esperados debido a sus formulaciones matemáticas.

En este trabajo fueron presentados los resultados referentes a pruebas computacional es referentes al modelado fenomenológico de un sistema del tipo correa transportadora, seguido del desarrollo de una estrategia, basada en mínimos cuadrados con el objetivo de realizar la estimación paramétrica del modelo propuesto, permitiendo la realización de estimación de los parámetros físicos y mecánicos del sistema que son de difícil obtención vía medición, de datos de campo en el sistema real, así como realizar la calibración del simulador para representar adecuadamente al comportamiento del sistema. Los datos utilizados en esta investigación fueron de dos tipos y en dos etapas. Inicialmente fueron utilizados datos obtenidos de la literatura, teniendo como objetivo validar al algoritmo de estimación y validar el simulador desarrollado para representar al sistema en análisis. En seguida con el simulador y el algoritmo de estimación validados, fueron utilizados datos reales colectados en campo, de una correa transportadora de minerales de cobre de una mina al sur del estado de Pará - Brasil. Los resultados obtenidos mostraron un buen desempeño de los modelos estimados, tales modelos están siendo incorporados a un sistema industrial de monitoreo y supervisión, así como auxiliar en la detección y en el diagnóstico de faltas en el sistema.
Agradecemos a la UFPA y al Proyecto PredFalt ICAAF 059/2011 por el financiamiento de este estudio.
















