Articulos
Empleo de ecuaciones constitutivas mediante Hardenig Soil Model para la caracterización de las Margas Azules del Guadalquivir a partir de ensayos presiométricos
Use of constitutive equations by Hardening Soil Model for the characterization of the Blue Guadalquivir Marls from pressuremeter tests
Empleo de ecuaciones constitutivas mediante Hardenig Soil Model para la caracterización de las Margas Azules del Guadalquivir a partir de ensayos presiométricos
DYNA, vol. 84, núm. 201, pp. 109-116, 2017
Universidad Nacional de Colombia
Recepción: 22 Marzo 2016
Recibido del documento revisado: 01 Noviembre 2016
Aprobación: 25 Febrero 2017
Resumen: Los ensayos presiométricos ejecutados en sondeos han demostrado ser una herramienta eficaz en los estudios geotécnicos destinados a obras de infraestructura civil. Un aprovechamiento intenso del mismo, consiste en la comparación de sus resultados con los obtenidos de un modelo matemático gobernado por una ecuación constitutiva representativa del terreno. En ese artículo se presenta un modelo numérico, de anillos concéntricos, regidos por la ecuación constitutiva del Hardening Soil Model que pretende ser un marco de referencia para la interpretación del ensayo. El modelo analiza variables como son: los modos de respuesta, el estado inicial, el régimen de drenaje, y las ecuaciones constitutivas, pudiendo ser aplicado a cualquier formación geológica de la que se disponga de un número representativo de ensayos.
Palabras clave: Parámetros geotécnicos, Hardening soil Model, ensayo presiométrico, ecuación constitutiva.
Abstract: The pressuremeter test performed in boreholes has proven itself to be as a useful tool in geotechnical studies. A use of it is the comparison of its results with those obtained from a mathematical model ruled by a soil representative constitutive equation constitutes one of its main applications. In this paper a numerical model of concentric rings, governed by the constitutive equation of the Hardening Soil Model, is has been shown. This model could be a framework for the interpretation of this test. The model analyzes some variables such as: the type of response, the initial state, the drainage regime and the constitutive equations, so it can be applied to any geological formation that has a representative number of tests.
Keywords: Geotechnical parameters, Hardening soil Model, pressuremeter tests, constitutive equations.
1. Introducción
Las campañas geotécnicas que se han llevado a cabo para el desarrollo de las nuevas infraestructuras civiles, fundamentalmente en relación con obras subterráneas en la ciudad de Sevilla [1,2], así como el análisis de la rotura de la balsa minera de Aznalcollar [3], situada sobre las Margas azules del Guadalquivir, ponen a disposición un volumen significativo de ensayos de campo y laboratorio ejecutados sobre estos depósitos.
Más allá del fin concreto para el que se realizaron, son una oportunidad para profundizar en el conocimiento del comportamiento mecánico de estos depósitos potencialmente problemáticos.
Para lograr este propósito, se ha recopilado una extensa campaña geotécnica sobre la unidad denominada Margas Azules del Guadalquivir. Su comportamiento drenado o no drenado, el efecto del estado inicial de tensiones y la dependencia de los parámetros geotécnicos de la presión de confinamiento son los tres aspectos sobre los que se va a centrar este análisis.
La campaña de investigación de laboratorio se ha basado en ensayos de identificación, de estado y triaxial. La campaña de ensayos de campo se ha basado en el ensayo presiométrico de tipo Menard.
La interpretación conjunta de ensayos de laboratorio y presiométricos precisa del uso de ecuaciones constitutivas que representen el comportamiento del material a lo largo de todo el ensayo, tanto en la fase previa a la rotura, como una vez que ésta ha tenido lugar, reproduciendo con fidelidad los caminos de tensión y deformación observados [4-5]. Estos modelos deben ser implementados con unos parámetros iniciales que, en demasiadas ocasiones se alejan de los habitualmente recogidos en los estudios geotécnicos. En este sentido, la elaboración de un modelo constitutivo será una herramienta útil, que permite aportar unos parámetros geotécnicos de la Margas azules del Guadalquivir correspondientes a la ecuación constitutiva del “Hardening Soil Model”.
1.1. Tipo de presiómetro empleado. Características generales
La campaña de ensayos de campo se ha basado en el ensayo presiométrico de tipo Menard, que es una herramienta útil para determinar las características geotécnicas de los suelos en su estado natural, reduciendo en gran medida la alteración de las características mecánicas que tiene lugar en la toma de muestras. Permite además ensayar el terreno en una situación próxima a su estado natural de tensiones efectivas e intersticiales.
El presiómetro Menard, es el equipo más adecuado para ensayos en suelos. Dispone de tubulares coaxiales de alta presión, con deformaciones nulas hasta los 25 bares. La presión máxima de trabajo de este equipo es de 90 bares. La sonda consta de una célula central de medida, alimentada por agua a presión, y dos células de guardia, mantenidas en presión con gas, que mantienen un campo cilíndrico de esfuerzos alrededor de la sección central.
Las tensiones se aplican escalonadamente mediante la inyección de un fluido (agua a presión mediante nitrógeno), registrándose los incrementos de volumen de la célula central de medida. Las lecturas de los cambios de volumen, que responden a la deformación del suelo, son los de la célula central. El presiómetro cuenta con un conjunto de dispositivos para el control de volúmenes de agua inyectados y de las presiones registradas. Los diámetros usuales de este tipo de presiómetro son: 44, 58 y 70 mm.
La realización e interpretación del ensayo presiométrico tipo Menard se ajusta a la Norma Française NF 94-100.
2. Encuadre geográfico y geológico de la Cuenca del Guadalquivir
La Cuenca del Guadalquivir ocupa un área extensa del sur de la España peninsular. Su morfología es en forma de cuña alargada en la dirección ENE-OSO, y por ella discurre el río Guadalquivir. Geográficamente, está limitada al norte por los relieves de Sierra Morena, al sur por los relieves de la Cordillera Bética, y al oeste por el Golfo de Cádiz. A pesar que su suave orografía, se observa un descenso progresivo de cota desde el sector oriental (800 m.s.n.m.) hasta el occidental a nivel del mar Fig. 1.

Desde el punto de vista geológico se corresponde con una cuenca terciaria, de origen exorreico, que se formó durante el Neógeno. El borde noroccidental de la cuenca estaba representado por el Sierra Morena, con un contacto muy neto de dirección también SO-NE y constituido por materiales de la era Paleozoica (desde 600 Ma hasta 250 Ma). El borde sur de la depresión, cuyos límites no están tan bien definidos, está representado por materiales de la era Mesozoica (aproximadamente entre 250 y 90 Ma) pertenecientes a la Cordillera Bética (Fig. 1.)
Los mayores aportes sedimentarios fueron los provenientes de la erosión borde noroccidental, siendo los depósitos más importantes por su representatividad, unas margas arcillosas o carbonatadas, en algunos casos ligeramente limosas. La microfauna es muy abundante, lo que ha permitido datarlas como Mioceno Superior, en concreto Messiniense (6´3-5´2 MA). Presentan una tonalidad gris azulado (cuando se presentan sanas) y son reconocidas en la literatura geológica y geotécnica como: Margas azules del Guadalquivir.
3. Caracterización geotécnica delas Margas Azules del Guadalquivir
Se trata de depósitos finos, con porcentajes en peso del material que pasan por el tamiz 200 (0,080 UNE) superiores al 80%. El límite líquido se encuentra en valores comprendidos entre 40 y 70. El índice de plasticidad varía entre 15 y 40. Son por tanto mate-riales englobados dentro de la categoría CH a CL, según la clasificación ASTM.
El peso específico seco varía entre 14 a 17 KN/m3. Mientras que el peso específico de las partículas varía de 25 a 27 KN/m3. La humedad natural se ve afectada por las variaciones climáticas exteriores. A partir de una cierta profundidad (capa activa del terreno) se alcanza una humedad de equilibrio próxima a la humedad del límite plástico. Por encima de esta profundidad el perfil sufre oscilaciones notables. En la Fig. 2, se representa el índice de fluidez del material representado frente a la profundidad.


En el gráfico siguiente, Fig. 3, se recoge el estado de humedad y densidad inicial de las muestras posteriormente ensayadas en el aparato triaxial. En una primera aproximación se puede considerar que todas las muestras parten de unas condiciones de humedad y densidad similares.
4. El Hardening Soil Model
La ecuación constitutiva denominada “hardening soil model (HS-model)” ha sido desarrollada por Vermeer [6]. Se trata de un modelo formulado dentro del marco de la teoría elastoplástica, que recoge el comportamiento del suelo simulado por los modelos pseudo-elásticos, entre los que destaca como más conocido el modelo hiperbólico [7,8]. El desarrollo detallado del método está recogido en las referencias bibliográficas que se incluyen al final del artículo. En este apartado se citan simplemente las características más relevantes que permiten la interpretación del ensayo presiométrico. Como todo modelo elastoplastico, el HS-model cuenta con:
Un criterio de rotura definido para presiones efectivas.
Un comportamiento tipo elástico para estados de tensión situados por debajo de la rotura.
Una función de potencial que permite determinar la dirección de las deformaciones plásticas.
Una ley de endurecimiento que modifica el criterio de rotura en función de los estados de tensión y deformación previamente alcanzados.
Una característica propia de HS-model es que la ley de endurecimiento está definida por la deformación plástica por cortante previa. El criterio de rotura del HS-model viene definido por la ec. (1):
(1)Donde
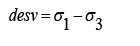
desv: desviador de tensiones (desv=σ1-σ3)
qa: asíndota del desviador en rotura, obtenido mediante la ec. (2):
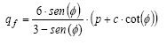
(2)qf: desviador de rotura para una presión media efectiva p, obtenido de (ec. 3):
(3)Donde c y φ son los parámetros de rotura de Morh Coulomb.
E50 y Eur módulo de carga y módulo de descarga, obtenidos mediante las expresiones (ecuaciones 4 y 5):
(4)
(5)Donde
E50ref y Eurref son dos módulos de referencia para la presión de confinamiento σref.
m es el exponente de influencia de la presión de confinamiento en el módulo de deformación.
γp: valor de la deformación plástica por cortante, que se obtiene mediante la expresión (ec. 6).
(6)Respecto al comportamiento elástico por debajo de la línea de rotura este responde a la ecuación de la elasticidad de un medio isótropo con un módulo de deformación Eur y un coeficiente de Poisson “ν” Finalmente, las deformaciones plásticas están definidas por la función de potencial plástico “g” de valor (ecs. 7 y 8):
(7)
(8)Donde ψ es el ángulo de dilatancia.
La segunda superficie permite simular la dirección de la deformación plástica cuando dos tensiones principales coinciden (estados biaxiales de compresión o tracción). En resumen los parámetros geotécnicos necesarios para definir la ecuación constitutiva son siete:
c: cohesión efectiva.
φ: ángulo de rozamiento efectivo.
E50ref: módulo de carga para una presión de referencia.
Eurref: módulo de recarga para una presión de referencia.
Rf: relación de rotura.
m. exponente de influencia de la presión de confinamiento en el módulo de deformación.
ν: módulo de Poisson.
ψ: ángulo de dilatancia.
5. Interpretación del ensayo presiométrico
Una de las mejores oportunidades para conocer el comportamiento mecánico del suelo sin la alteración producida por la toma de muestras consiste en ensayarlo en la propia perforación del sondeo. En este sentido el ensayo presiométrico es una herramienta valiosa. Sin embargo, el comportamiento del suelo alrededor de una célula que cambia de volumen depende de un gran número de factores, no todos ellos directamente relacionados con los parámetros geotécnicos. Debido a este condicionante y con el propósito de entender de forma más precisa el comportamiento del suelo alrededor de una célula que cambia de volumen, se ha desarrollado un modelo matemático que permite ajustar el recorrido tensión-deformación de las curvas obtenidas en el ensayo de campo.
Se trata de un modelo de axilsimétrico formado por cuarenta (40) anillos cilíndricos concéntricos de diferente espesor con un único grado de libertad, cuya variable es el desplazamiento de los bordes de los distintos anillos (Fig. 4). El espesor de los anillos crece con su radio, de forma que el anillo más estrecho está junto a la perforación.

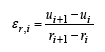
La presión total radial del primer anillo corresponde con la presión aplicada en el interior de la perforación, que viene a ser de unos 5 cm. En el borde exterior del último anillo, es aproximadamente 10 m y se establece la condición de movimiento nulo. Inicialmente el radio interior de cada anillo se determina mediante la expresión (ec. 9):
(9)Siendo ri el radio interior del anillo i en metros.
En el borde exterior del anillo 40º del modelo se establece la condición de contorno de deformación radial nula. En el borde interior del primer anillo se aplica un desplazamiento “u”. Con el fin de utilizar la hipótesis de pequeñas deformaciones, la magnitud del desplazamiento “u” está limitada de manera que la deformación radial resultante en cualquier anillo debe ser inferior a 0,5%.
Para pequeñas deformaciones, cada anillo responde al desplazamiento según un comportamiento elástico y lineal. Los parámetros utilizados son el módulo de deformación de descarga Eur y módulo de Posison ν existente en el elemento en el momento de aplicar el desplazamiento. Como resultado se obtiene para cada anillo un desplazamiento “ui ” en su contorno interior. A partir de los desplazamientos en cada anillo se determina la deformación media del anillo, mediante las expresiones (ecuaciones 10 y 11):
(10)
(11)Donde εr y εθ son la deformación radial y circular respectivamente.
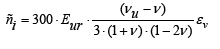
La deformación vertical se obtiene considerando que la presión vertical total es constante. Partiendo de estas deformaciones y utilizando un procedimiento de integración numérica se determinan las tensiones efectivas compatibles con la ecuación constitutiva. Después de cada incremento de deformación, el modelo de anillos se actualiza con las nuevas dimensiones de los radios. En el caso del ensayo no drenado, el módulo de deformación utilizado es una transformación del anterior, obtenido con la condición de que el módulo de corte G se mantenga constant (Gu=G) (ecs. 12 y 13).
(12)
(13)A partir de las presiones efectivas y la presión intersticial se determinan las presiones totales.
La presión total radial del primer anillo corresponde con la presión aplicada en el interior del sondeo. Adicionalmente, se limitan los estados de tracción, de manera que ninguna tensión efectiva puede ser negativa. Tampoco se permiten valores negativos para la presión intersticial.
El modelo precisa la definición de un estado inicial de presiones. Este estado debe coincidir sensiblemente con el correspondiente al geostático. La presión intersticial inicial será función de la posición del nivel freático medida en el sondeo.
6. Efectos característicos del modelo
La aplicación de sucesivos desplazamientos en el interior del primer anillo del modelo da lugar a una relación entre la presión interior y la deformación de la pared del sondeo con forma sensiblemente hiperbólica [9]. En la Fig. 5., se representa la evolución de las presiones totales en la pared del sondeo. La presión total radial presenta dos etapas. Una primera en la que predomina la deformación elástica caracterizada por grandes incrementos de presión para pequeñas deformaciones. Una segunda etapa en la que la deformación plástica va tomando mayor relevancia y para incrementos de presión similares a los de la primera etapa la deformación aumenta rápidamente. La presión radial crece en todo momento en el rango de deformaciones en el que se ha realizado el ensayo, tendiendo hacia una asíntota inclinada.


En la presión circular, el comportamiento anteriormente descrito es aún más acusado. Por su parte la presión vertical total se mantiene sensiblemente constante e igual al valor inicial. En la Fig. 6. se recoge la misma representación anterior con las tres presiones efectivas junto a la presión intersticial. De nuevo se observa una etapa inicial elástica seguida de otra plástica para las presiones radial y circular. Sin embargo, en este caso la presión circular alcanza un valor asintótico horizontal. Este valor refleja la total plastificación de los anillos interiores.
La presión intersticial crece sin embargo de manera constante y uniforme reflejando de esta manera el estado de confinamiento al que está sometido el modelo. Este crecimiento de la presión intersticial permite el aumento de la presión total y por tanto de la carga aplicada en el interior del sondeo, aún con un incremento nulo de la presión efectiva. El HS-model es una ecuación constitutiva cuya función de rotura o criterio de plastificación puede representarse en el plano p-desv, siendo (ecs. 14 y 15):
(14)
(15)Sin embargo, puesto que la función que define el criterio de rotura dependiente de la deformación plástica de corte, su representación es una familia de curvas que tienen como límite superior el valor de qa. En la Fig. 7. se recoge la evolución de p y desv en el ensayo junto con el límite qa. En el gráfico se observa como el desviador de tensiones crece hasta hacerse asindótico con la línea definida por qa.
El modelo permite el estudio de la evolución de las presiones en el interior del terreno. En la Fig. 8. se representa esta evolución.
Se observa que el volumen de terreno afectado por el ensayo no se extiende a más de un radio de unos 2,0 m alrededor del sondeo. Las variaciones de tensión entre 2,0 y 10,0 m del modelo son prácticamente nulas. La presión radial desciende bruscamente junto a la pared del sondeo. A medida que se aleja de la pared la variación de presión radial va disminuyendo hasta que esta alcanza un valor asintótico, correspondiente con su valor inicial.


Un comportamiento similar se observa en la presión circular. Del mismo modo, la presión intersticial es máxima junto a la pared del sondeo y disminuye progresivamente a medida que se aleja, hacia su valor inicial.
7. Análisis de los resultados del ensayo con el modelo matemático
El método de deducción de los parámetros geotécnicos se aplica a los ensayos disponibles de las Margas azules del Guadalquivir. De los veinte ensayos presiométricos realizados se ha diferenciado dos grupos.
El primer grupo corresponde a los ensayos ejecutados sobre las margas azules del Guadalquivir no alteradas, caracterizadas por un estado de consistencia dura.
El segundo grupo de ensayos corresponde a las margas azules del Guadalquivir alteradas y caracterizadas por un estado de consistencia catalogable como blanda a firme
7.1. Análisis de los resultados sobre la formación de margas azules del Guadalquivir no alteradas
Se trata de unos depósitos margosos caracterizados por un estado de consistencia catalogable como dura a muy dura. En el gráfico de la Fig. 9. se representa el ajuste realizado con el modelo de anillos.
Los parámetros utilizados para la ecuación constitutiva se recogen en la Tabla 1. Los resultados de los ensayos se ajustan con bastante precisión a los del modelo planteado.
Por otro lado se dispone de quince (15) probetas rotas en el aparto triaxial, según el procedimiento CU, con diferentes presiones de confinamiento.
La línea de rotura definida se recoge en el gráfico de la Fig, 10. Los parámetros que definen la línea de rotura son:
Cohesión (c ) 80 KPa
Angulo de Rozamiento interno (φ) 34º



7.2. Análisis de los resultados sobre la formación de margas azules del Guadalquivir alteradas
Finalmente en la Fig. 11. se representan los ensayos presiométricos realizados en las margas azules del Guadalquivir cuando se encuentran alteradas y en consecuencia presentan un estado de consistencia bajo, catalogable como blanda a firme.


De nuevo se comparan sus resultados con el ajuste realizado por el modelo. Los parámetros utilizados en este caso son los siguientes (Tabla 2).
La línea de rotura definida se recoge en el gráfico de la Fig. 12. donde se puede establecer un acuerdo entre los dos tipos de ensayo. Los parámetros que definen la línea de rotura son:
Cohesión (c ) 10 KPa
Angulo de Rozamiento interno (φ) 22º

8. Discusión
La utilización de la ecuación constitutiva tipo “Hardening Soil Model” en las Margas Azules del Guadalquivir permite la interpretación conjunta de los ensayos de campo y laboratorio más completos disponibles en los estudios de caracterización geológico-geotécnica del terreno [10-12]. En particular, en el presente artículo se puede comprobar cómo la ecuación ajusta con objetividad los resultados de los ensayos triaxiales y los presiométricos.
Una primera labor de caracterización geotécnica consiste en identificar adecuadamente unidades con comportamiento mecánico similar y significación respecto al tipo de carga o acción que va a soportar. Aún después de esta clasificación, el terreno natural tiene un grado de heterogeneidad suficiente como para que los ensayos realizados sobre materiales de características similares no sean idénticos, sino que se muevan en una franja de valores.
Por otro lado, los ensayos “in situ” muestran que la respuesta del terreno natural se encuentra entre un comportamiento drenado sin generación de presiones intersticiales y no drenado [13]. Por este motivo el modelo que interpreta el presiómetro realiza un ajuste con presiones radiales efectivas y totales. Las primeras representarían un comportamiento del terreno drenado, mientras que las segundas simularían el extremo sin drenaje.
La determinación de la deformación vertical se ha realizado con la hipótesis de presión vertical constante, que parece más acertada para el caso de ensayos realizados próximos a la superficie. Cabrían, no obstante, otras hipótesis como la de deformación vertical nula. Más aún, para ensayos situados a gran profundidad se podrían interpretar con un modelo de esferas en vez de anillos cilíndricos concéntricos.
Todas estas consideraciones justifican que la relación de parámetros finalmente obtenidos no puede ser única. Más bien se habla de un rango de valores para cada parámetro. En este sentido, la utilización de varios tipos de ensayo, con caminos de carga y condiciones diferentes, así como un cierto juicio del orden de magnitud esperable para los mismos, permite reducir y hacer más objetiva la selección de estos rangos.
Este resultado, lejos de ser una indeterminación, supone una ventaja a efectos de diseño; ya que, pone a disposición del proyectista una información más completa. Durante el diseño, según el tipo de modelo utilizado y el estado de rotura o de servicio, se puede seleccionar con mejor criterio un determinado conjunto de parámetros.
Los ensayos realizados sobre lasa Margas Azules de Guadalquivir han permitido ensayar un rango de materiales arcillosos con una consistencia variable entre firme y dura. Este rango de materiales permite tener un orden de magnitud del valor de los parámetros geotécnicos de esta ecuación constitutiva denominada “Hardening Soil Model”. Los parámetros más influyentes en el ajuste son la cohesión, ángulo de rozamiento y los módulos de deformación en carga y descarga. Los otros tres parámetros: exponente m, el ángulo de dilatancia y valor Rf, permiten un pequeño ajuste sobre la forma de la curva definida por los parámetros anteriores.
9. Conclusiones
En el presente artículo se propone, como método para la obtención de unos parámetros representativos del comportamiento mecánico del terreno, la interpretación conjunta de los ensayos de campo y laboratorio de una unidad geotécnica a la luz de una ecuación constitutiva adecuada [14].
Este trabajo ajusta los resultados de los ensayos presiométricos y los resultados de los ensayos triaxiales en las Margas azules del Guadalquivir; tanto en estado alterado, como se encuentran en esto sano. La ecuación constitutiva utilizada es la conocida como “Hardening Soil Model”.
Como conclusión cabe citar la fidelidad con la que el modelo se ajusta a los resultados de los diferentes ensayos, de manera que es posible presentar unos parámetros geotécnicos de diseño. Los parámetros así obtenidos son de aplicación en programas informáticos comerciales que desarrollen este tipo de ecuaciones constitutivas. De manera que se dispone así de un modelo avanzado de comportamiento del terreno, preparado para el diseño de cimentaciones y estructuras desarrolladas en este tipo de depósitos.
Bibliografía
[1] Uriel, S. and Oteo, C., Measurements in an experimental tunnel bored in the Sevilla Blue Marls and recommendations for the Subway design, Proceedings of 4th Int. Congress on Rock Mechanics. Montreux, 1979. pp. 215-220.
[2] Oteo, C. and Sola, P., Stability problems in slopes constructed on Spanish Blue Marls, Proceedings of Symposium on Indurated soils and soft rocks. Atenas, 1993. pp. 341-362.
[3] Escolano, F., Bueno, M. and Sánchez, J.R., Interpretation of the pressuremeter test using numerical models based on deformation tensor equations. Bulletin of ENGINEERING GEOLOGY and the Environment. 73(1), pp. 141-146, 2014. DOI: 10.1007/s10064-013-0528-x
[4] Escolano, F. and Bueno, M., Analysis of the dilatometer test in over-consolidated sediments, basin of the Duero river, Spain, Acta Geotechnica Slovenica, 12, pp. 36-47, 2015.
[5] Mayoral, E. and Abad-de los Santos, M., Geología de la cuenca del Guadalquivir, Universidad de Huelva, España, 2008.
[6] Vermeer, P.A., The Hardening soil model: Formulación and verification, Computer Methods and Advances in Geomechanics, 4, pp 2469-2478, 2000.
[7] Duncan, C., Parameters for hyperbolic stress strain behaviour of soft Bangkok clay, Proceedings of the 18th International Conference on Soil Mechanics and Geotechnical Engineering. Paris, 2013, pp 381-384.
[8] Escolano, F. and Bueno, M., Stress-strain behaviour of the sediments in the tertiary basins associated with the Alentejo-Plasencia fault in the province of Caceres (Spain). Bulletin of Engineering Geology and the Environment. 74(3), pp. 733-743, 2015. DOI: 10.1007/s10064-014-0676-7
[9] Aubeny, C.P., Whittle, A.J. and Ladd, C.C., Effects of disturbance on undrained strengths interpreted from pressuremeter tests, Journal of Geotechnical and Geoenvironmental Engineering, 126, pp. 1133-1144, 2000. DOI: 10.1061/(ASCE)1090-0241(2000)126:12(1133)
[10] Adachi, T. and Oka, F., Constitutive equation for normally consolidated clays based on elasto-viscoplasticity, Soils and Foundations, 22, pp. 57-70, 1982. DOI: 10.3208/sandf1972.22.4_57
[11] Borja, R.I. and Lee, S.R., Cam-clay plasticity, part1: Implicit integration of elasto-plastic constitutive relations, Computer Methods in Applied Mechanics and Engineering. 78, pp 48-72, 1990. DOI: 10.1016/0045-7825(90)90152-C
[12] Yagiz, S., Akyol, E. and Sen, G., Relationship between the standard penetration test and the pressuremeter test on sandy silty clays: A case of study from Denizli, Bull. Eng. Geol Environ. 67, pp 405-410, 2008. DOI: 10.1007/s10064-008-0153-2
[13] Clough, G.W., The development of pressuremeter testing. Proceedings of the Third International Symposium on Pressuremeters. Organised by British Geotechnical Society and Held Oxford University, American Society of Civil Engineers, 1990.
[14] Liu, E.L. and Xing, H.L., Adouble hardening thermp-mechanical constitutive model for overconsolidated clays, Acta Geotechnica. 4, pp. 1-6, 2009. DOI: 10.1139/T08-094, DOI: 10.1007/s11440-008-0053-4
Notas