Artículos
Técnicas estadísticas en una alternativa de apoyo a la toma de decisiones con muestras pequeñas: Una contribución basada en Bootstrap
Statistical techniques in an alternative to support decision making with small samples: A contribution based on Bootstrap
Técnicas estadísticas en una alternativa de apoyo a la toma de decisiones con muestras pequeñas: Una contribución basada en Bootstrap
DYNA, vol. 84, núm. 203, pp. 316-321, 2017
Universidad Nacional de Colombia
Recepción: 07 Diciembre 2016
Recibido del documento revisado: 07 Septiembre 2017
Aprobación: 25 Octubre 2017
Resumen: Tomar decisiones es parte importante del trabajo de cualquier profesional dependiendo en buena medida de la calidad de los datos y de las técnicas utilizadas, las que presentan limitaciones cuando el tamaño de muestra es pequeño y hay mucha variabilidad en las observaciones. Una metodología basada en Bootstrap es empleada en la realización de análisis de correlación entre los parámetros hemodinámicos en el interior del saco aneurismático y los índices geométricos que caracterizan los Aneurismas de la Aorta Abdominal (AAA) mediante el estudio de una muestra de 13 pacientes aneurismáticos del Hospital Clínico Universitario de Valladolid. Los índices que mejor correlacionan con los parámetros hemodinámicos son longitud, la excentricidad y el diámetro de la ilíaca derecha. Los resultados obtenidos son muy similares a los obtenidos por los métodos clásicos, constituyendo una alternativa confiable en apoyo a la toma de decisiones.
Palabras clave: Aneurismas de la aorta abdominal, estadística, remuestreo, muestras pequeñas..
Abstract: Making decisions is an important part of the work of any professional depending largely on the quality of the data and techniques used, which have limitations when the sample size is small and there is much variability in the observations. A methodology based on Bootstrap is used in the analysis of correlation between hemodynamic parameters within the aneurysmal sac and geometric indices characterizing Aneurysms of the Abdominal Aorta (AAA) by studying a sample of 13-aneurysm patients of the University hospital of Valladolid. The indices that best correlate with hemodynamics parameters are length, the eccentricity and the diameter of the iliac right. The results are very similar to those obtained by conventional methods; provide a reliable alternative to support decision-making
Keywords: Aneurysms of the abdominal aorta, statistical techniques, bootstrap, small samples..
1. Introducción
Gran parte del trabajo de un profesional está relacionado con el proceso de toma de decisiones, bajo condiciones de incertidumbres y/o ignorancia parcial, que necesariamente existen en muchas de sus actividades. La toma de decisiones es definida por Koontz y Weihrich como la selección de un curso de acción entre distintas alternativas. La efectividad de las decisiones a tomar dependerá en gran medida de la calidad de los datos extraídos de cada proceso y del procesamiento de los mismos para convertirlos en información, de aquí que la abundancia de datos no necesariamente significa abundancia de información.
Usualmente, las decisiones que los profesionales necesitan tomar ante cada situación, están a merced de qué tan grande sea la brecha entre el estado real y el deseado, de los recursos que se dispongan para implementar soluciones, y del impacto que provoquen, todo ello en el menor tiempo posible, ya que este último recurso es el único que no para de consumirse y muchas veces el éxito de las decisiones depende de qué tan bien se optimice el mismo [1].
Millones de personas depositan a diario sus esperanzas de vivir en las decisiones de los facultativos clínicos, de aquí que el proceso de toma de decisiones en el que estos se ven inmersos presenta la característica de que debe ser rápido, efectivo y con mínima posibilidad de error, pues de ello va a depender la vida de esas personas.
En el ámbito clínico, el aneurisma de aorta abdominal (AAA) es considerado a día de hoy como uno de los principales problemas de salud debido al incremento de su incidencia y a las estadísticas adversas cuando ocurre la ruptura de un aneurisma. De aquí que uno de los grandes retos al que se enfrentan los cirujanos vasculares lo constituye la predicción de la ruptura de AAA, ya que esta patología se ha convertido en una de las principales causas de muerte en el mundo [2]. Un aneurisma surge cuando una sección debilitada de una arteria no puede resistir la presión del flujo sanguíneo y se deforma. Si bien el aneurisma puede formarse en cualquier arteria del cuerpo, es más común en la aorta abdominal, los denominados aneurismas de aorta abdominal, y en las arterias ilíacas [3].
Sin embargo, el proceso de toma de decisiones sobre el tratamiento adecuado para pacientes aneurismáticos resulta complejo debido a las características de esta patología en la que influyen factores biológicos y morfométricos. En la gran mayoría de los casos la aparición y desarrollo del AAA es asintomático por lo que se diagnostican de manera incidental, frecuentemente en estado avanzado de desarrollo, o sea, cuando el diámetro máximo es mayor que 45-50 mm. Según plantean estudios realizados, aproximadamente el 90% de los pacientes que sufren ruptura mueren antes de llegar al hospital y del 10% que lo consigue solo sobrevive del 35% al 70%. Por otra parte, los procesos quirúrgicos asociados a la reparación de los AAA, tienen un costo muy elevado y en ocasiones, debido a un mal criterio en la predicción del nivel de riesgo de ruptura, estas pueden ser innecesarias o, incluso, peligrosas por el elevado riesgo que los procesos quirúrgicos traen consigo. En algunos casos, los riesgos asociados a la cirugía son mayores que los riesgos asociados a las posibilidades de ruptura del aneurisma.
Recientemente, y con el objetivo de mejorar la predicción del riesgo de ruptura, han sido propuestos diferentes criterios para evaluar las posibilidades de ruptura de un aneurisma específico. Algunos de estos índices están basados en parámetros puramente geométricos, otros se basan en los procesos biológicos de degeneración de la pared aortica y otros comienzan a abordar este complejo fenómeno de una forma más global, considerando la necesaria interacción entre todos los factores asociados al aneurisma. Estos últimos son conocidos como factores biomecánicos [4-6]. Debido a esto, hoy existe una mayor comprensión del fenómeno asociado al surgimiento, desarrollo y ruptura, pero aún no existe un claro consenso sobre la efectividad de estos índices en la predicción precisa del riesgo de ruptura.
Actualmente, existe consenso que la morfometría de un aneurisma puede condicionar su ruptura. La variación temporal en la forma y tamaño del aneurisma determina alteraciones en las tensiones hemodinámicas sobre la pared arterial estableciéndose de esa forma un acoplamiento bidireccional, fluido-pared-fluido, que puede acelerar el crecimiento y, consecuentemente, aumentar el riesgo de ruptura.
De aquí, se hace evidente la necesidad cuantificar la morfometría, sobre bases personalizadas, en cada paciente en tratamiento de seguimiento, lo que puede representar un método válido para estimar el riesgo de ruptura.
La necesidad de analizar datos, marcados por la complejidad aportada por las características biológicas y personalizadas de cada paciente, otorga un papel importante a las técnicas estadísticas, las que permiten recolectar, presentar, analizar e interpretar datos para convertirlos en información y así ayudar a una toma de decisiones más objetivas. Pero la mayoría de ellas son restrictivas en cuanto al cumplimiento de determinados supuestos teóricos y presentan limitaciones cuando se abordan problemas complejos, con distribuciones desconocidas o cuando el tamaño de muestra es muy pequeño y hay mucha variabilidad en las observaciones, como es el caso que se presenta en esta investigación. Para tratar esta problemática sobre la predicción del riesgo de ruptura de los AAA, se propone una metodología basada en uno de los métodos de remuestreo, denominado Bootstrap, empleada fundamentalmente en la realización de análisis de correlación, en este caso, entre los índices que caracterizan la morfometría del aneurisma y las tensiones hemodinámicas que actúan sobre la pared aneurismática.
2. Materiales y métodos
2.1. Aneurismas de la aorta abdominal
La muestra de aneurismas seleccionados para la realización del presente trabajo, se corresponden a 13 pacientes que se encuentran en tratamiento de seguimiento en el Hospital Clínico Universitario de Valladolid, España.
Los pacientes incluidos en el estudio fueron seleccionados aleatoriamente, destacándose la existencia de AAA en diferentes etapas de desarrollo de la patología, aunque estratégicamente, en esta etapa de la investigación, fueron seleccionados aneurismas en la primera fase de desarrollo, o sea, aneurismas que pueden ser considerados como pequeños.
Las tomografías axial computadorizada (TAC), que son realizadas periódicamente a los pacientes en tratamiento de seguimiento, de los pacientes que participan del estudio, fueron segmentadas y los modelos geométricos 3D que representan el AAA real fueron reconstruidos. La segmentación del lumen del AAA ha sido realizada por medio de software de procesamiento de imágenes como MevisLab y Vmtk. La premisa básica utilizada en el trabajo es que los índices geométricos puedan ser definidos a partir de parámetros geométricos de fácil determinación en los TAC. En la Fig. 1, que muestra uno de los aneurismas segmentados en el presente estudio, se presentan algunos de los parámetros geométricos.

Fueron definidos 12 índices geométricos para cada uno de los 13 modelos utilizados en el trabajo.
Índices 1D: Diámetro máximo transversal (D), Diámetro del cuello proximal (Dcp), Diámetro del cuello distal (Dcd), Longitud del saco aneurismático (L), Diámetro de la ilíaca izquierda (Dii), Diámetro de la ilíaca derecha (Did), Ángulo de bifurcación las arterias iliacas (α) y Excentricidad (e).
Índices 3D: Tortuosidad (T), Curvatura (C), Volumen de saco aneurismático (VAAA).
Índices 0D: Tasa de deformación (() e Índice de dilatación (( ).
2.2. Metodología Bootstrap
La idea de fondo planteada por [7] es construir un modelo de probabilidad para determinados estadísticos a partir de la información proporcionada por la muestra, obviando los supuestos sobre la distribución teórica que son la base para hacer inferencias sobre la población. En este sentido, se supone que X es una variable aleatoria (v.a.) y se tiene una muestra aleatoria de tamaño
, con función de distribución de probabilidades dada por
. Lo cual se escribe
o simplemente
.
Cuando el valor del parámetro θ de una población es desconocido, y en consecuencia se desea utilizar el estimador
, la distribución de θ es aproximada generando un conjunto de resultados independientes θ *b para / (donde B constituye el número de remuestras realizadas) y construyendo la función de distribución empírica
, donde
si
y 0 en otro caso.
Como resultado de la aplicación del método Bootstrap, cada remuestra, será muy probablemente, algo diferente de la muestra original; con lo cual, un estadístico θ *, calculado a partir de una de esas remuestras tomará un valor diferente del que produce otra remuestra y del θ observado, y por tanto, según lo planteado [8], la distribución de frecuencias de esos θ *, calculadas a partir de las remuestras, es una estimación de la distribución muestral de θ.
La afirmación anterior, que se podría considerar como la idea fundamental del Bootstrap, supone utilizar la muestra considerando que en sí misma contiene la información básica sobre la población, por tanto, la adecuación de este método será tanto mayor cuanta más información aporte la muestra sobre la población. Una consecuencia directa es que a medida que aumenta el tamaño de la muestra mejor será la estimación que se puede hacer sobre la distribución muestral de un estadístico. No obstante, incluso con muestras pequeñas, entre 10 y 20 casos, el método Bootstrap puede ofrecer resultados correctos [9], juzgándose inadecuados para muestras de tamaño inferior a 5[10].
2.2.1. Análisis de correlación con Boostrap
A continuación se presenta el análisis de correlación realizado empleando este método. Por el papel que juegan en este análisis, previamente se presentan algunas ideas relacionadas con la obtención de intervalos de confianza.
Según lo planteado por [11, 12] existen tres métodos a través de los cuales se pueden construir intervalos de confianza Bootstrap.
El primero de ellos, método de aproximación normal, utiliza la misma estructura de los procedimientos paramétricos en la construcción de intervalos de confianza; si el estadístico se distribuye según la curva normal pero el cálculo del error típico resulta analíticamente difícil o no existe fórmula para su cálculo, entonces se puede emplear la distribución muestral bootstrap para estimar el error estándar e insertarlo en la correspondiente expresión del intervalo de confianza paramétrico, resultando de la siguiente forma:

Donde: Z = Valor de la variable normal estándar para el nivel de confianza determinado
= estimación Bootstrap del error estándar.
Por otra parte, el método del percentil, hace uso literal de la idea del bootstrap para formar intervalos de confianza no paramétricos. Si, como ya se definió anteriormente, θ ̂*b representa el orden de las estimaciones bootstrap realizadas del parámetro de interés y se supone además que se desea construir un (100 - α)% intervalo de confianza, entonces, si el número de replicaciones bootstrap (B) es grande, se pueden construir intervalos basados en los percentiles, donde los cuantiles α/2 y 1 - α/2 de θ *b, multiplicados por el número de replicaciones (B), son aproximadamente θ *(inferior) y θ *(superior) respectivamente; quedando de la siguiente manera:


Es importante destacar que si los limites inferior y superior no son números enteros, entonces se puede interpolar con los números adyacentes a este o redondeándolo al entero más cercano.
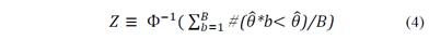
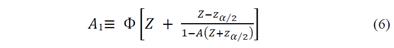
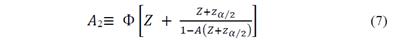
En [11], los autores plantean que el tercer método, el de los percentiles corregidos, es similar al procedimiento anterior; lo único que cambia es el modo de calcular los percentiles para obtener el intervalo; se requiere de 𝑍 𝛼 2 (valor unitario normal con probabilidad 𝛼 2 de ser cierta) y dos factores de corrección, 𝑍 y 𝐴, que se definen de la siguiente manera:

Donde: Ф −1 : Inversa de la función de distribución normal estándar.
(( θ*b< θ)/𝐵: Proporción de remuestras bootstrap cuyo valor se encuentra por debajo del valor estimado del estadístico de interés en la muestra original.
Si la función de distribución de las muestras bootstrap es simétrica o el estimador θ es insesgado, entonces dicha proporción será cercana a 0.5 y el factor de corrección 𝑍 estará cercano a cero.

Donde: 𝜃 (−𝑖) = Valor de 𝜃 producido cuando la 𝑖−é𝑠𝑖𝑚𝑎 observación es eliminada de la muestra.
Posteriormente, con los factores de corrección 𝑍 y 𝐴, se computan:

Destacar que cuando los factores de corrección 𝑍 y 𝐴 son cero,
y
. Los valores 𝐴1 y 𝐴2 son usados, multiplicados por el número de réplicas bootstrap realizadas, para construir los límites inferior y superior del intervalo de confianza, quedando de la siguiente manera:
Este método, según plantea [11], es el más adecuado, ya que corrige la asimetría que pudiera presentar la distribución muestral del estadístico.



Más que una utilización de manera aislada, este método se presta a la combinación con otras técnicas estadísticas para complementar otras aplicaciones dentro de las que se encuentran: problemas de estimación, ajuste de modelos de regresión, contraste de hipótesis, análisis de componentes principales, entre otras, presentadas en [11] y, por citar otros ejemplos, se han tratado aplicaciones a los coeficientes de correlación [12,13], al análisis factorial [14] o a los modelos de ecuaciones estructurales [15,16].
En este estudio se presenta la metodología Bootstrap aplicada en análisis de correlación, el cual se realizó para cada uno de los parámetros hemodinámicos y los índices geométricos definidos. Debido al elevado número de pares de variables a estudiar, y a que la metodología Bootstrap es análoga para todos los análisis, se decidió explicar el procedimiento y ejemplificarlo para el par de variables PWSS y D. Posteriormente se resumen los restantes resultados con la interpretación de los mismos.
1. A partir de la muestra original se extrae una nueva muestra de igual tamaño que la misma, por medio de muestreo aleatorio con reposición. De este modo, cada observación individual tiene una probabilidad 1/n de ser elegida cada vez, como si el muestreo se realizara sin reposición en un universo infinitamente grande construido a partir de la información que provee la muestra.
Es importante tener en cuenta que el remuestreo,al realizarse con reemplazamiento, implica que un mismo valor puede aparecer repetido más de una vez e incluso no aparecer en alguna de las submuestras, además se debe tratar cada observación como una unidad, o sea, cuando se remuestree no se pueden tratar las variables de forma independiente.
En la Tabla 1 se muestra la primera submuestra obtenida y se observa cómo se repiten valores de diámetro en la misma, y para cada valor de PWSS remuestreado se le hizo corresponder su original valor de D, manteniendo la integridad de cada observación.

2. Para la muestra obtenida se calcula el valor de un determinado estadístico que se utiliza como estimador del parámetro poblacional, en cuyo estudio se esté interesado.
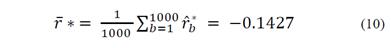
En este caso se está interesado en estudiar el grado de relación lineal que existe entre estas variables, por lo que el parámetro objeto de estudio es el coeficiente de correlación poblacional (() y el estadístico que se empleará para estimar el mismo es el coeficiente de correlación de Pearson (r). El mismo para la muestra original es de -0,17 y el de la primera submuestra es de -0,36.
3. Se repiten los dos pasos anteriores, hasta obtener un elevado número de estimaciones. En este punto, el empleo de herramientas informáticas que desarrollen las tareas de selección de muestras y determinación de las estimaciones resultará ineludible.
Teóricamente la magnitud de B en la práctica depende de las pruebas que se van a aplicar a los datos. En [8] los autores afirman que, B debería ser de entre 50 a 200 para estimar el error típico de 𝜃 , y de al menos 1000 para estimar intervalos de confianza alrededor de θ ̂ por el método del percentil. Sin embargo, esto tiene reducida importancia en la actualidad, pues las computadoras son tan rápidas que no tiene sentido tener un afán especial en trabajar con valores bajos de B y, por otra parte, nunca es pernicioso que B sea demasiado grande. Por lo general, con B=1000 se suelen conseguir buenos resultados y valores de B superiores a 5000 ya no agregan ninguna ventaja.
4. Se construye la función de distribución empírica del estadístico, asignando una probabilidad de 1/B a cada punto, que representa una buena aproximación a la verdadera distribución de probabilidad para ese estadístico.
Luego de obtener los 1000 valores del estimador se ordenan de forma ascendente para construir la tabla de frecuencias y el histograma correspondiente. Posteriormente se busca la media del estimador de interés y el intervalo de confianza para la misma.
La media de todos los valores de r se calculó como:

Para conformar el intervalo de confianza se empleó el método de los percentiles, pues el mismo se emplea como una variante no paramétrica cuando se desconocen los parámetros de la variable a nivel poblacional, como es el caso. Los límites del intervalo se calcularon de la siguiente manera, empleándose un nivel de confianza del 95%:




Estos valores correspondientes a los límites inferior y superior del intervalo se buscan en la tabla donde se encuentran los 1000 valores ordenados de r, y se toman los pertenecientes a las observaciones 25 y 975, quedando de la siguiente manera:

El intervalo de confianza formado también se puede verificar en la Fig. 2 donde se muestra el histograma correspondiente a este ejemplo.

3. Resultados y discusión
3.1. Análisis de correlación de la Tensión de cizallamiento máxima de pared (PWSS) vs. Índices 1D, 3D y 0D empleando el método Bootstrap
Los valores medios de r de las remuestras Bootstrap se presentan en la Tabla 2 para cada uno de los índices 1D, 3D y 0D. Pude observarse que los índices que mejor correlacionan con la PWSS son la longitud, la excentricidad y el índice de dilatación. A pesar de que existen algunos resultados por debajo de los de la muestra original, se encuentran bastantes cercanos a la misma, validando los resultados obtenidos en el análisis de correlación realizados en [17].

3.2. Análisis de correlación de la Presión intraluminal máxima (PIP) vs. Índices 1D, 3D y 0D empleando el método Bootstrap
En la Tabla 3 se presentan los valores medios de r de las remuestras Bootstrap para cada uno de los índices geométricos. Puede verse que los índices que mejor correlacionan con la PIP son longitud, la excentricidad y el diámetro de la ilíaca derecha. A pesar de que existen algunos resultados por debajo de los de la muestra original, se encuentran bastantes cercanos a la misma, validando los resultados obtenidos en [17].

4. Conclusiones
En este trabajo se demuestra la conveniencia del uso de una metodología basada en Boostrap para mejorar la calidad de las decisiones que se toman en situaciones donde el tamaño de muestra es pequeño, existe mucha variabilidad y se desconoce la distribución teórica de la población, aportando una nueva alternativa en estas situaciones. Al aplicar esta metodología se obtuvieron resultados similares a los obtenidos por los métodos tradicionales, pero con mayor confiabilidad, aportada por el uso de esta metodología.
Bibliografía
[1] Hampton, D.R., Administración, São Paulo, Atlas, 1976.
[2] Vilalta, G., Nieto, F., Vilalta, J.A., Vaquero, C., Rueda, M.A. and Lipsa, L.M., Patient-specific clinical assessment of abdominal aortic aneurysm rupture risk based on its geometric parameters, Proceedings of the IASTED International Conference, Biomedical Engineering (Biomed), 2011 pp. 459-466. DOI: 10.2316/P.2011.723-051.
[3] Vilalta, G., Nieto, F., Rodríguez, M., Laurentiu L., O´Connor J., and Dounié, O., Influence of abdominal aortic aneurysms geometry in the blood flow dynamics and in its rupture risk. Ingeniería Mecánica [Online] 12(2), 2006, Available at: http://www.ingenieriamecanica.cujae.edu.cu/index.php/revistaim/article/view/64
[4] Fillinger, M.F., Marra, S.P., Raghavan, M.L. and Kennedy, F.E., Prediction of rupture risk in abdominal aortic aneurysm during observation: Wall stress versus diameter, Journal of Vascular Surgery, 37(4), pp. 724-732, 2003. DOI: 10.1067/mva.2003.213
[5] Georgakarakos, E., Ioannou, C.V., Kamarianakis, Y., Papaharilaou, Y., Kostas, T., Manousaki, E. and Katsamouris, A.N., The role of geometric parameters in the prediction of abdominal aortic aneurysm wall stress, European Journal of Vascular and Endovascular Surgery, 39(1), pp. 42-48, 2010. DOI: 10.1016/j.ejvs.2009.09.026
[6] Vilalta, G., Nieto, F., Vilalta, J.A., Vaquero, C., Rueda, M.A. y Lipsa, L.M., Predicción del riesgo de ruptura de aneurismas de aorta abdominal. Método basado en los biodeterminantes geométricos, Dyna Ingeniería e Industria, 87(1), pp. 66-73, 2012. DOI: 10.6036/4145
[7] Efron, B., Bootstrap methods: Another look at the jackknife, The Annals of Statistics 7, pp. 1-26, 1979.
[8] Efron, B. and Tibshirani, R.J., Bootstrap methods for standard errors, confidence intervals, and other measures of statistical accuracy, Statistical Science, 1(1), pp. 54-75, 1986.
[9] Bickel, P.J. and Krieger, A.M., Confidence bands for a distribution function using bootstrap, Journal of the American Statistical Association, 84(405), pp. 95-100, 1989.
[10] Chernick, M.R., Bootstrap methods: A guide for practitioners and researchers, Nueva York, Wiley, John &Sons Incorporated, 1999.
[11] Efron, B. and Tibshirani, R.J., An introduction to the Bootstrap, London, Chapman and Hall, 1993.
[12] Moles, A.M., El método de remuestreo y su aplicación a la investigación biomédica. Tesis de Especialidad en Bioestadística, Escuela Nacional de Salud Pública Carlos J. Finlay, La Habana, Cuba, 2003.
[13] Harris, D.J. and Kolen, M.J., Bootstrap and traditional standard errors of the point biserial, Educational and Psychological Measurement, 48(1), pp. 43-51, 1988. DOI: 10.1177/001316448804800106
[14] Ichikawa, M. and Konishi, S., Application of the bootstrap methods in factor analysis. Psychometrika, 60(1), pp. 77-93, 1995.
[15] Nevitt, J., and Hancock, G.R., Performance of bootstrapping approaches to model test statistics and parameter standard error estimation in structural equation modeling, Structural Equation Modeling: A Multidisciplinary Journal, 8(3), pp. 353-377, 2001.
[16] Hancock, G.R. and Nevitt, J., Bootstrapping and the identification of exogenous latent variables with in structural equation models, Structural Equation Modeling: A Multidisciplinary Journal , 6(4), pp. 394-399, 1999. DOI: 10.1080/10705519909540142
[17] Vilalta, G., Vilalta, J.A., Soudah, E., Nieto, F., Lipsa, L.M., Pérez, M.Á., López, B.M. and Vaquero, C., Statistical analysis for rupture risk prediction of abdominal aortic aneurysm (AAA) based on its morphology, Journal of Mechanics in Medicine and Biology, 17(3), 2017. DOI: 10.1142/S0219519417500658
Notas