Artículos
Recepción: 26 Diciembre 2017
Recibido del documento revisado: 11 Marzo 2018
Aprobación: 13 Abril 2018
DOI: https://doi.org/10.15446/dyna.v85n205.69573
Resumen: El Magnesio es un material que presenta propiedades favorables para su selección como biomaterial; sin embargo, su aplicación se ve restringida por la rápida corrosión. En esta investigación se evaluó la modificación superficial de magnesio AZ31 mediante PEO y su efecto sobre las propiedades protectoras y bioactivas. La microestructura, composición de la fase y la distribución de los elementos en el recubrimiento fue caracterizada mediante MEB, DRX y EDX. La estabilidad química, la resistencia a la corrosión, la bioactividad y las propiedades electrónicas se evaluaron usando EIE y Mott-Schottky en solución de fluido corporal simulado. El análisis de DRX y EDX índico la presencia de MgO, MgSiO4 en los recubrimientos. Un análisis de la sección transversal presento un recubrimiento compacto cerca al sustrato seguido por un estrato poroso en la superficie. Del análisis de EIE se mostró que el tratamiento incrementa la protección del sustrato en un medio fisiológico simulado.
Palabras clave: anodizado, recubrimiento, corrosión, biocompatibilidad, biomaterial.
Abstract: Magnesium is a material that presents favorable properties for its selection as biomaterial; however, its application is restricted by the rapid corrosion. In this research was evaluated the surface modification of magnesium AZ31 by PEO and its effect on the protective and bioactive properties. The microstructure, phase composition and distribution of elements in the coating were characterized by SEM, XRD and EDX. Chemical stability, corrosion resistance, the bioactivity and electronic properties were evaluated using EIS and Mott-Schottky in simulated body fluid. The analysis of XRD and EDX indicated the presence of MgO, MgSiO4 in the coatings. The cross section analysis present a compact layer close to the substrate followed by an outer porous layer. EIS analysis showed that treatment increased the substrate protection in a simulated physiological medium.
Keywords: anodized, coating, corrosion, biocompatibility, biomaterial.
1. Introducción
Actualmente para la sustitución y reparación de tejido óseo dañado existe una amplia gama de materiales que cumplen con las características suficientes para remplazar las funciones mecánicas del hueso [1]. Sin embargo, según sea el estado y el tipo de tejido puede requerirse diferentes velocidades de degradación [2]. En algunos casos se requieren materiales bio-inertes y en algunos otros materiales biodegradables [3].
Los materiales bio-inertes han tenido mayor desarrollo histórico en las aplicaciones biomédicas, por lo que han sido más utilizados. Aunque los implantes bio-inertes han demostrado un éxito indudable en aplicaciones como fijaciones internas de los huesos, también han presentado algunos problemas inevitables [4]. Por ejemplo, los implantes inertes permanecen en el cuerpo humano por periodos de tiempo largos inclusive después de haber cumplido su función de reparación [5], por lo que eventualmente requieren una cirugía de revisión o extracción del implante [6]. Debido al uso de intervenciones quirúrgicas adicionales, se han presentado efectos adversos sobre pacientes, debido al aumento en las probabilidades de infección [7,8]. Por otro lado, se encuentran los implantes biodegradables, que brindan la posibilidad de interactuar con el tejido dañado mediante la estimulación celular, con respuestas favorables de cicatrización [9]. Esto no solo favorece el proceso de mineralización del tejido óseo, también favorece el proceso de degradación del material hasta su total desaparición en el organismo, por lo que no se requiere, su remoción posterior [10-12]. Así los implantes biodegradables se presentan como una alternativa de solución a las intervenciones quirúrgicas necesarias para los implante bio-inertes. Logrando así, que los implantes permanezcan en el cuerpo humano por un periodo de tiempo controlado, en el cual el implante soporte el proceso de sanación del tejido afectado y a su vez, sea absorbido, consumido y excretado sin causar ningún efecto desfavorable al cuerpo humano [13].
Los metales y las aleaciones han sido ampliamente utilizados en la fabricación de dispositivos biomédicos debido su resistencia mecánica, la cual es necesaria para dar soporte estructural al tejido óseo afectado [14]. Sin embargo, características como la resistencia a la tracción, módulo de Young y la resistencia a la fractura, no han sido tenidas en cuenta al momento de sustituir un tejido o parte de él por una prótesis de naturaleza metálica, porque puede ocasionar problemas con el tejido huésped, como fractura, desgaste o mineralización excesiva [15,16]. Para evitar tales inconvenientes, es necesario que estos materiales tengan propiedades mecánicas similares a las del hueso humano, garantizando un buen acople con el tejido huésped y el establecimiento de sus funciones [17]. Entre Los metales más empleados están, cobalto (Co), Titanio (Ti) y sus aleaciones, Magnesio (Mg) y sus aleaciones [18].
Por el lado de los biomateriales degradables, surgen requerimientos adicionales, tales como su cinética de degradación en el entorno fisiológico del cuerpo humano durante el periodo de cicatrización y que los productos generados no ocasionen efectos adversos a la salud del paciente [19]. Para tal fin, los materiales deben presentar resistencia a la corrosión en el fluido corporal en la etapa inicial de la implantación; pero que con el paso del tiempo, el implante se degrade a una velocidad específica, de tal manera que el cuerpo humano sea capaz de absorber dentro del desarrollo de sus funciones biológicas ordinarias, los productos formados [20]. Hasta el momento, la dificultad de lograr un control sobre la tasa de degradación sigue siendo un problema en el desarrollo de implantes. En este sentido, se hace necesario profundizar en el estudio de la descomposición de los implantes biodegradables y su absorción por parte del cuerpo humano [21].
El grupo de aleaciones de magnesio dentro de las aleaciones metálicas, han sido ampliamente estudiadas en la selección de materiales para implantes biodegradables [22], debido a que sus propiedades mecánicas son muy similares a las del hueso, combinadas con su capacidad de degradación y su excelente biocompatibilidad, haciendo de este material, un candidato apropiado para este tipo de aplicaciones [23]. Las aleaciones de magnesio comerciales tienen un contenido de aluminio (3%-12%), manganeso (0.1%-0.4%), zinc (0.5%-3%) [24]. la aleación AZ31 tiene un contenido alto de magnesio el cual es considerado un metal ligero por su densidad (1.74- 2g/cm3 ) [24], en comparación con otras aleaciones como las de titanio que tienen una densidad mayor (4.4-4.5g/cm3). También es importante resaltar la similitud que hay entre la densidad del magnesio y la densidad del hueso (1.8-2.1g/cm3) [25]. La tenacidad a la fractura del magnesio es mayor en comparación con los biomateriales cerámicos, tales como hidroxiapatita (Ca10 (PO4)6(OH)2), mientras que el módulo de elasticidad y resistencia a la deformación son más próximas a las del hueso natural que otros implantes metálicos utilizados [26]. Sin embargo, la aplicación de las aleaciones de magnesio se ve restringida por su baja resistencia a la corrosión [27-29]. La rápida corrosión del magnesio favorece la evolución de hidrogeno sobre la superficie del implante [8,30], siendo esto un inconveniente porque puede modificar su pH superficial hacia valores de mayor acidez, disminuyendo así la interacción del implante con el tejido circundante, lo cual lleva a retrasar el proceso de curación, que a su vez ponen en riesgo la vida del paciente, ya que entre otros efectos, la absorción de hidrogeno se da de manera lenta [30,31]. En este orden de ideas, se han desarrollado técnicas químicas y físicas de modificación superficial con el objetivo de mejorar la resistencia a la corrosión de este material [32].
La Oxidación Electrolítica por Plasma (PEO), es una técnica de modificación superficial que mejora la resistencia a la corrosión del magnesio y sus aleaciones [33]. En este proceso, el campo eléctrico se mantiene a través de la creciente película anódica, superando un voltaje crítico llamado tensión de ruptura dieléctrica, que normalmente es notado por la descarga de chispas, el desprendimiento de gas y los cambios en la pendiente de la curva de voltaje-tiempo [34]. El rol de los electrolitos es tan importante como el tipo de la fuente de alimentación para controlar el proceso de PEO [35]. El origen de las fases cristalinas y amorfas de naturaleza cerámica formada sobre la superficie del metal, procede tanto del sustrato como del electrolito utilizado. Dentro los compuestos más utilizados en la técnica PEO se destacan: hidróxido de sodio y de potasio (NaOH, KOH) [36], silicato de sodio (Na2SiO3) [37], fosfato de sodio (Na3PO4) y los electrolitos de aluminato de sodio (Na2Al2O4) [38]. Siendo entonces la composición y concentración del electrolito variables fundamentales para la obtención de recubrimientos bioactivos que controlen los procesos de degradación del implante [6].
En este trabajo se evaluó la estabilidad química, la resistencia a la corrosión, la composición química, estructura, propiedades semiconductoras y la bioactividad de recubrimientos obtenidos por PEO sobre la aleación de magnesio AZ31, con el fin de identificar si el material sintetizado cumple con los requisitos suficientes para ser biodegradable. Con esto, se busca controlar la rápida degradación de la aleación de magnesio AZ31 mediante el crecimiento de un recubrimiento de Mg2SiO4, tipo barrera, de naturaleza cerámica, con propiedades de estabilidad química superficial, interacción con iones de la solución corporal que promuevan la bioactividad, regulación de la actividad del hidrógeno por la facilidad de este compuesto de formar grupos hidroxilos en la superficie [39], propiedades que definirán la capacidad de ser usado en implantes de sustitución y reparación ósea biodegradables.
2. Materiales y métodos
2.1. Materiales
Magnesio AZ31 fue utilizado como sustrato en este estudio, la composición química en porcentaje en peso fue de 2.65 % Al, 1.03 % Zn, 0.31 % Mn, 0.15 % Si, 0.003 % Fe, 0.002 % Sn, 0.0002 % Ni y completa el balance el Mg. Antes del proceso de anodizado la muestras fueron cortadas en dimensiones de 10 mm x 10mm x 0.1mm. Las superficies de estas muestras fueron pulidas utilizando papel de lija de carburo de silicio (SiC) gradualmente desde 400 hasta 1200 de tamaño de grano, de acuerdo a la norma ASTM E3-01. Finalmente, los sustratos fueron limpiados en baño con ultrasonido en solución de acetona por 5 minutos, enjuagados con agua destilada y etanol y posteriormente, secados antes de ser sometidos al proceso electroquímico de plasma.
2.2. Obtención de la película anódica
El anodizado fue llevado a cabo con una fuente de alimentación de corriente directa Kikusui (PAS-500-1.8) de una potencia de 1.5kW. La muestra de Mg AZ31 es conectada al terminal positivo de la fuente como ánodo y a una placa de acero inoxidable por el terminal negativo como cátodo. Tanto el sustrato como la placa de acero inoxidable fueron sumergidas en diferentes soluciones electrolíticas de KOH (1.5 g/L) y Na2SiO3 (0, 2, 4 y 6 g/L). La distancia entre placas, la densidad de corriente aplicada y el tiempo de tratamiento se mantuvieron constantes en 1cm, 125mA/cm2 y 5 minutos respectivamente, como condiciones de operación.
2.3. Caracterización química e identificación de estructuras cristalinas por difracción de rayos X
La identificación química y las fases cristalinas de los compuestos formados sobre la aleación AZ31 durante el tratamiento con PEO, fueron obtenidas mediante Difracción de Rayos X en un equipo PANalytical X´PERT PRO MPD con una radiación Kα de cobre, usando un voltaje de aceleración de 45 kV y una corriente sobre el filamento de 40 mA. La adquisición de los espectros se realizó por escaneo en 2θ entre 20° y 80° con un paso de 0.001° y una velocidad de barrido 1°/min. El análisis de las bandas de difracción para determinar las fases presentes en el espectro se realizó con ayuda del software H’XPert HighScore versión 2.1b.
2.4. Caracterización química y morfológica por Espectroscopia de Energía Dispersa (EDS) y Microscopia Electrónica de Barrido (MEB)
Un análisis químico y morfológico de los recubrimientos obtenidos por PEO sobre la aleación de Mg AZ31 fue realizado sobre una sección trasversal de cada recubrimiento correspondiente a cada concentración de Na2SiO3 propuesta. Para esto se empleó una cortadora de precisión ISOMET 1000, a una velocidad de 100RPM, con un refrigerante soluble en agua. Posteriormente, los cortes transversales fueron montados sobre resina acrílica autopolimerizable utilizando una prensa de montaje automático simplimet 1000 y subsecuentemente pulidas hasta suspensión de diamante de 3 micras. La caracterización morfológica fue realizada en un microscopio electrónico de barrido de emisión termoiónica Carl Zeiss EVO MA10, por medio de la imagen obtenida por electrones secundarios. Adicionalmente, se obtuvieron imágenes por la técnica de electrones retro proyectados para reconocer variaciones en la composición del sustrato y del recubrimiento de la muestra, ya que el número de electrones retro proyectados varía según la densidad electrónica de cada átomo [40]. La identificación de los elementos y su distribución en la imagen, fue realizada por espectroscopia de energía dispersa EDS con un detector Oxford X-act acoplado al MEB. Una distancia de trabajo de 8.5mm y un voltaje de aceleración de 20kV fueron empleados como condiciones de operación para este análisis.
2.5. Espectroscopia de impedancia electroquímica (EIE) y mott-schottky (M-S)
Los ensayos de espectroscopia de impedancia electroquímica y Mott Schottky se llevaron a cabo en un Potenciostato/Galvanostato del tipo Gamry instruments interface 1000 empleando una celda plana electroquímica vertical de tres electrodos en medio fisiológico simulado como electrolito, para simular condiciones fisiológicas corporales a una temperatura de 37 °C, la cual fue mantenida constante por medio de una baño termostático LAUDA E 100 conectado a la celda [41]. Durante los ensayos se empleó como electrodo de referencia, un electrodo de Ag/AgCl, como contra electrodo una barra de grafito y como electrodo de trabajo la aleación de Mg AZ31 recubierta por PEO. En la Tabla 1 se presentan los parámetros utilizados para estos ensayos.

Los espectros obtenidos de impedancia fueron ajustados a modelos propuestos de circuitos equivalentes mediante un software de análisis espectral hasta un ajuste de chi-cuadrado de 10-4.
3. Resultados y discusión
3.1. Difracción de rayos X (DRX)
El análisis por difracción de rayos X para la aleación AZ31 tratada por PEO se muestra en la Fig. 1. Este difractograma fue similar para todas las condiciones evaluadas. En este análisis, se identificaron las bandas correspondientes al sustrato, principalmente el magnesio y adicionalmente, las bandas de los compuestos que se formaron durante el proceso PEO, que corresponden a las fases cristalinas de la forsterita (Mg2SiO4), la periclasa (MgO) y aluminosilicatos (Al2SiO5), que son productos de la oxidación del magnesio y aluminio como elementos de la aleación AZ31.

La identificación de compuestos de Mg2SiO4 confirma la difusión de iones desde la solución electrolítica hacia la superficie del recubrimiento, el cual por la energía disponible que se genera durante el proceso de plasma, permite la formación de óxidos cerámicos con naturaleza química diferente a la generada espontáneamente por el material y según lo reportado por otros investigadores, la presencia de este tipo de compuesto en el recubrimiento le confiere propiedades protectoras al sustrato [42].
3.2. Espectroscopia de energía dispersa (EDS) y microscopia electrónica de barrido (MEB)
En la Fig. 2.a, b, y c, se muestra la distribución de los elementos en un mapa obtenido sobre una sección transversal de las muestras recubiertas por PEO para la condiciones de 2, 4 y 6g/L de Na2SiO3 respectivamente. Tanto en las imágenes de electrones retrodispersos como secundarios, el elemento magnesio se presenta con un mayor contraste (blanco) en la parte inferior de la imagen, lo cual corresponde al elemento del sustrato. Igualmente, el contraste (blanco) de la imagen en la Fig. 2a, 2b y 2c, corresponde a los elementos de oxígeno y silicio asociados a la presencia de estos elementos en el recubrimiento. Adicionalmente en el mapa del aluminio, la variación del contraste no fue tan significativa como para los otros elementos mencionados. Es importante notar que en la interface sustrato/recubrimiento se presentó una difusión de iones de magnesio desde la aleación hacia el recubrimiento evidenciándose en la Fig. 3 como un cambio en el contraste de dicha localidad.


Las imágenes del corte transversal de los recubrimientos obtenidas por MEB se muestran en la Fig. 3. En estas imágenes se observa un recubrimiento con un estrato interno compacto adyacente al sustrato de Mg AZ31 y un estrato externo con micro fisuras y micro canales interconectados, los cuales son formados generalmente por las descargas o chispas características del PEO [43]. Estos dos estratos, coinciden con la estructura típica reportada para los recubrimientos de óxido de magnesio obtenidos por PEO [44]. Los espesores obtenidos se dieron entre 10.05-20.91 μm, 7.351 -11.54 μm, 1.87-2.95 μm para la muestras de 2g/L, 4g/L, 6g/L de Na2SiO3, respectivamente. Los elementos presentes en los recubrimientos y sus porcentajes en peso se muestran en la Tabla 2.

De acuerdo a estos resultados se puede identificar la formación de un recubrimiento homogéneo constituida principalmente de los elementos Si, Al, O y Mg, concordando con los resultados obtenidos por DRX asociados a los óxidos de magnesio, oxido de aluminio y a la presencia de cerámicos como la forsterita (Mg2SiO4) y los aluminosilicatos (Al2SiO5) [45].
De los resultados presentados en la Tabla 2, se observa un alto contenido de oxígeno en cada una de las muestras, seguido por el contenido de magnesio y silicio respectivamente, que corresponde a la formación preferencial de óxidos de magnesio y silicatos de magnesio en los recubrimientos. La presencia de un 32.5% de carbono en la muestra de 2 g/L, se puede atribuir a que dado el tamaño pequeño de la muestra, la medición por rayos X (diámetro de interacción con la muestra de 3 a 5 μm) pudo ser afectada por los componentes de la resina, la cual está constituida principalmente de carbono, a pesar de haber tomado varias mediciones.
Los porcentajes de Si fueron mayores en el recubrimiento que en la aleación de magnesio AZ31, cuya presencia se puede atribuir a la co-deposición elemental, desde el electrolito hacia el recubrimiento en el proceso de plasma electrolítico. El porcentaje de silicio en el recubrimiento aumentó con el incremento en la concentración de Na2SiO3 disuelto en el electrolito.
La morfología superficial de las muestras tratadas con PEO obtenida por las imágenes de electrones secundarios, se muestra en la Fig. 4. De allí se distingue la formación de estructuras porosas, común de los recubrimientos obtenidos por PEO, como consecuencia de la cavitación generada por las burbujas de gas cuando se alcanza el potencial de ruptura [39,40]. También se observa que al aumentar la concentración del compuesto que contiene Silicio (Si) en el electrolito, se incrementa las fisuras micrométricas sobre la superficie y a su vez, estas se hacen más grandes. Estas características son posibles relacionarlas con las depresiones de los arcos obtenidos en los espectros de Nyquist a partir del análisis por espectroscopia de impedancia electroquímica mostrado más adelante, específicamente, en el valor de la fase de la capacitancia, asumiendo elementos de fase constante, para representar la capacitancia no ideal entre dos interfaces paralelas, compuestas por irregularidades morfológicas que generan inhomogeneidades a la transferencia de carga.

3.3. Comportamiento electroquímico de los recubrimientos
Los resultados de espectroscopia de impedancia electroquímica EIE, proveen información detallada de los procesos electroquímicos que ocurren en la interface electrolito/recubrimiento y recubrimiento/electrodo [48]. La cual está relacionada con la rugosidad de la superficie, espesor del recubrimiento y composición química. Los espectros de Nyquist y de Bode obtenidos, son mostrados en la Fig. 5 para las cuatro condiciones evaluadas. De la gráfica del Módulo de impedancia en función de la frecuencia (Fig. 5a), se observa, para las muestras recubiertas con Na2SiO3, un incremento entre 1.5 y 2 órdenes de magnitud en los valores de impedancia comparados con la muestra recubierta solo con KOH. Los valores más altos de impedancia en todo el rango de frecuencia evaluado, fueron obtenidos en las muestras recubiertas con los electrolitos de 4g/L y 6g/L de Na2SiO3.

De acuerdo al espectro de bode, se identifican 3 relajaciones a la transferencia de carga, en tres regiones bien definidas en intervalo de frecuencias, altas, medias y bajas. De estas tres, la primera se presenta a altas frecuencias 1.000-10.000 Hz, correspondiendo al comportamiento resistivo del electrodo, presentando una baja variación del logaritmo de la impedancia con respecto al logaritmo de la frecuencia. Este comportamiento se corrobora en la Fig. 5b, donde se presenta un ángulo de fase menor a 40° a excepción de la muestra recubierta con 6g/L Na2SiO3, la cual llega a valores cercanos de 50° en ángulo de fase. A medias frecuencias, entre 100-1.000 Hz corresponde a cambios capacitivos del electrodo y el recubrimiento, siendo este comportamiento propio de un recubrimiento semiprotector, el cual muestra un ángulo de fase cercano a 60°. La muestra de Mg AZ1 recubierta con solo 1.5g/L de KOH, presento un comportamiento capacitivo a altas frecuencias y un semi-bucle inductivo a bajas frecuencias, lo cual es similar a lo hallado por otros investigadores [49]. El comportamiento inductivo está relacionado con la reacción de reducción de magnesio que produce hidrogeno [50]. A más bajas frecuencias, se presentan las relajaciones relacionadas por los procesos de transferencia de masa del electrodo.
En los diagramas de Nyquist de la Fig. 5c, se presentaron dos semicírculos superpuestos y deprimidos, en la región de altas y medianas frecuencias. Este comportamiento visto en los espectros de Bode en la gráfica de módulo de impedancia contra frecuencia, se muestra como un cambio de alta a baja pendiente en el rango de mayor a menor frecuencia y se relaciona con los cambios capacitivos desde el electrodo de AZ31 al recubrimiento obtenido por PEO a medias-altas frecuencias. La superposición de estas relajaciones se fundamenta en la naturaleza del ion metálico de magnesio común entre el sustrato y el recubrimiento.
Basado en las gráficas de EIE se propuso dos circuitos eléctricos equivalentes para el ajuste de los datos obtenidos de los espectros de impedancia, es así como para la muestra tratada solo con KOH y la muestra de 2g/L, el circuito que los representa se muestra en la Fig. 6a. Para el caso de las muestras tratadas con 4 y 6g/L se ajustan a otro tipo de circuito equivalente, el cual se muestra en la Fig. 6b. Todas las capacitancias puras del circuito fueron reemplazadas por elementos de fase constante para compensar las inhomogeneidades dadas por las rugosidades, grietas o porosidades del recubrimiento.

En estos circuitos equivalentes, la resistencia del fluido fisiológico simulado, Rs, están en serie con los elementos de fase constante y resistencia, correspondientes al recubrimiento de óxido en contacto con el electrolito. Re, representa la resistencia del recubrimiento poroso exterior que está en paralelo con CPEe como elemento de fase constante. Los elementos CPEi y Ri, representan las propiedades de la interfase metal/recubrimiento, los cuales se muestran en paralelo con los anteriores elementos del circuito descritos, por la superposición de los semicírculos capacitivo-resistivo en los espectros de impedancia. Basado en el ajuste a estos circuitos equivalentes, las curvas se muestran en la Fig. 5, representadas por una línea oscura continua, junto con las curvas obtenidas de los espectros experimentales. Los parámetros obtenidos se muestran en la Tabla 3.

La diferencia entre los dos modelos propuestos, se basa específicamente en la presencia de una impedancia de Warburg para las muestras de 4g/L y 6 g/L de Na2SiO3, que representa la difusión de oxígeno cuya contribución se puede reflejar en la formación de hidróxidos sobre el recubrimiento, donde los defectos de la película se convierten en espacios de posible formación de silanoles (Si (OH)2).
Los valores de capacitancia CPEe-T disminuyeron con el incremento de la concentración de Si en el electrolito, lo cual indica que a mayor adición de Silicio (Si) en los recubrimientos obtenidos por PEO, aumenta la estabilidad de los recubrimientos, aumentando la protección y disminuyendo la tendencia a la corrosión de la aleación de magnesio [46].
A partir de la relación que existe entre la capacitancia, carga superficial y el potencial en la superficie que se muestra en la ec. (1), se puede encontrar una relación con la energía libre de Gibbs de la ec. (2) por medio del potencial en la superficie. Por ende, al disminuir la capacitancia, la energía libre de Gibbs disminuye, indicando una menor actividad química de los óxidos formados que componen el recubrimiento. Luego, la muestra con menor actividad química se presentó para la condición con 6g/L de Na2SiO3. En el mismo orden le siguen la muestra con 4 g/L de Na2SiO3, seguido por la recubierta solo con KOH y por último la de 2g/L de Na2SiO3. Es posible interpretar estos resultados basados en incrementos de bioactividad sin sacrificar propiedades protectoras. De acuerdo a los resultados obtenidos, electrolitos con baja concentración de silicio son suficientes para aumentar la bioactividad y proteger la integridad del sustrato y del recubrimiento [51,52].


Donde n es el número de electrones transferidos y F es la constante de Faraday.
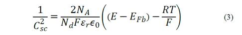
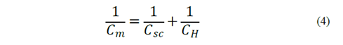
Para determinar las propiedades semiconductoras: densidad de donadores Nd y potencial de banda plana Efb de los recubrimientos se utilizó la técnica Mott-Schottky [44,45]. Esta técnica tiene como modelo, el mostrado en las ec. (3) y (4).


Donde CSC es la capacitancia en la región de espacios de carga, NA el número de Avogadro 6,023×1023 1/mol, Nd es la densidad de donadores, F es la constante de Faraday 9.65×104C/mol, εr es la constante dieléctrica relativa que para el caso del óxido de magnesio es de 9.86 [46,47], ϵ0= 8.8542×10-12F/m es la permitividad en el vacío, E es el potencial aplicado en la prueba , EFb es el potencial de banda plana , R es la constante de los gases 8.314J/mol*K y T la temperatura absoluta (301K). Cm es la capacitancia obtenida de las gráficas de Mott Schottky, la cual es la suma de la capacitancia del espacio de carga CSC y la capacitancia de la doble capa electroquímica CH asumida como un valor constante de 20µF/cm2 [57].
Para calcular el potencial de banda plana se hace un ajuste a una línea recta de la curva obtenida mediante M-S (capacitancia vs voltaje) mostrada en la Fig. 7. De la pendiente de la línea recta obtenida se calcula la densidad de donadores como se observa en la ec. (5) y a partir del intercepto se calcula el potencial de banda plana como se muestra en la ec. (6).



El término RT 𝐹 de la ec. (3) se considera insignificante a temperaturas próximas a la corporal, debido a que la magnitud de la constante de Faraday en el denominador es un valor alto, los resultados se presentan en la Tabla 4.

Debido a que a los donantes de un electrodo semiconductor de tipo n son principalmente vacancias de oxigeno ( 𝑉 𝑂 2+ ) y algunos intersticiales de metal (𝑀 𝑖 𝑛+ ) con cargas positivas en la interface electrodo/electrolito [58], estas vacancias hacen que el electrodo tienda a reaccionar con los aniones de la solución durante la inmersión en el fluido fisiológico simulado que contienen iones 𝐶𝑙 − , 𝐻 𝐶𝑂 3 − , 𝐻 𝑃𝑂 4 2− , 𝑆𝑂 4 2− y por ende las películas de óxido pueden ser destruidas por la penetración de estos iones que migran o difunden a través de la películas de óxido y finalmente pueden llegar a desestabilizar el recubrimiento. En investigaciones anteriores [56-58], fue reportado que un menor potencial de banda plana y una menor densidad de donadores hacen que la reactividad de la superficie con los aniones provenientes de la solución sea menor, por tal motivo las muestras con mayor densidad de donadores y adsorción de aniones muestra mayor reactividad, especialmente las especies de 𝐶𝑙 − por tener mayor movilidad. Por otro lado, la muestra con menor valor de densidad de donadores y menor adsorción de aniones durante la inmersión en solución fisiológica simulada mostró menor reactividad con los aniones [56]. De la Tabla 4 se observa que la adsorción de aniones sobre el electrodo fue disminuida para las tres condiciones de obtención del recubrimiento por PEO debido a que la densidad de donadores disminuyó con respecto a la muestra de aleación de magnesio recubierta solo con KOH. El valor más bajo de densidad de donadores lo presentó la muestra de 4g/L, lo que indica una mayor resistencia a la corrosión, coincidiendo con los resultados obtenidos por EIE. La muestra de 2g/L presento el valor más grande de densidad de donadores, lo que está en relación con los valores más pequeños de impedancia en todo el rango de frecuencia evaluado para esta muestra. Un caso aislado se dio para la muestra de 6g/L, que a pesar de tener los valores más altos de impedancia se encontró que el valor de densidad de donadores fue el más alto, lo cual puede estar relacionado con una mayor interacción del recubrimiento con los aniones de la solución, pudiéndose deber esto al exceso de oxigeno que se difunde del electrolito hasta la interface sustrato/recubrimiento. También es claro notar que el valor de impedancia warburg Wo1-R fue menor para la muestra obtenida con 6g/L, comparado con la muestra de 4g/L, indicando esto, que el paso de oxígeno a la interface no tuvo grandes restricciones. El mayor valor de potencial de banda plana fue para la muestra de 4g/L, siendo esto, relacionado con la alta resistencia del recubrimiento al paso de electrones, al contrario que para la muestra de 2g/L, la cual presento un menor valor de resistencia, de acuerdo a los resultados obtenidos en los ensayos de EIE.
4. Conclusiones
De acuerdo al conjunto de resultados obtenidos en esta investigación es posible reconocer que la modificación superficial de la aleación de magnesio AZ31 mediante PEO es un tratamiento que potencializa el uso de este material en aplicaciones biomédicas, ya que con el recubrimiento cerámico formado se disminuye la rápida degradación propia del magnesio y se favorece la interacción con los iones del fluido fisiológico simulado empleado. La correlación de los resultados de DRX y EDS con las pruebas electroquímicas, permitió establecer claramente el rol del Mg2SiO4 sobre las propiedades protectoras y bioactivas del recubrimiento, ya que a medida que aumenta la presencia de este compuesto en la muestra, la actividad química superficial disminuye. Sin embargo la disminución en la actividad química superficial puede afectar la reacción de intercambio iónico entre el implante bioactivo y el fluido corporal circundante, desfavoreciendo a su vez, la formación de precursores biológicamente activos de la fase mineral, es decir, para los resultados obtenidos, a una baja concentración de Si en el recubrimiento, se pueden generar propiedades tanto de bioactividad como de protección y en los recubrimientos con mayor cantidad de Si podría generarse una mayor protección pero una disminución en la bioactividad. Este comportamiento es explicado por la difusión de oxigeno encontrada en los ensayos de EIE para las muestras de 4 y 6g/L de Na2SiO3, lo cual está relacionado con la posible formación de silanoles (Si (OH)2) sobre la superficie, actuando como regulador buffer del pH en la interface solución fisiológica /Recubrimiento [59], concordando con lo obtenido en los ensayos Mott-Schottky.
Las imágenes MEB obtenidas de la superficie y del corte transversal, permitieron reconocer la cantidad de poros, grietas y micro-canales que se forman durante el proceso de PEO, que corresponde a lo reportado comúnmente para tratamientos superficiales de este tipo. Igualmente se observa que para las muestras preparadas con mayor contenido de Na2SiO3, las microfisuras presentes, pueden ser una consecuencia de la naturaleza cerámica que adquiere este recubrimiento a medida que aumenta la formación de Mg2SiO4 e incrementa el voltaje hasta el límite dieléctrico.
Estos resultados brindan bases importantes para el diseño de implantes con materiales biodegradables como el magnesio y sus aleaciones, ya que debe encontrarse un equilibrio adecuado entre la protección del material y la actividad química superficial, que le permitan interactuar con los iones del fluido corporal y a su vez favorezcan el crecimiento de la fase mineral del hueso.
Agradecimientos
Los autores agradecen al Sistema General de Regalías SGR, por la financiación de esta investigación. Con código BPIN: 2012000100172 Macroproyecto de salud.
Referencias
[1] Godavitarne, C., Robertson, A., Peters, J. and Rogers, B., Biodegradable materials, Orthop. Trauma, 31, pp. 316-320, 2017. DOI: 10.1016/J.MPORTH.2017.07.011.
[2] Sol, P., Martins, A., Reis, R.L. and Neves, N.M., Advanced polymer composites and structures for bone and cartilage tissue engineering, en: Nanocomposites Musculoskelet. Tissue Regen., Elsevier, 2016: pp. 123-142. DOI: 10.1016/B978-1-78242-452-9.00005-4.
[3] Gohil, S.V., Suhail, S., Rose, J., Vella, T. and Nair, L.S., Polymers and composites for orthopedic applications, en: Mater. Bone Disord., Elsevier, 2017, pp. 349-403. DOI: 10.1016/B978-0-12-802792-9.00008-2.
[4] Wan, P., Tan, L. and Yang, K., Surface modification on biodegradable magnesium alloys as orthopedic implant materials to improve the bio-adaptability: a review, J. Mater. Sci. Technol., 32, pp. 827-834, 2016. DOI: 10.1016/J.JMST.2016.05.003.
[5] Radha, R. and Sreekanth, D., Insight of magnesium alloys and composites for orthopedic implant applications - a review, J. Magnes. Alloys, 5(3), pp. 286-312, 2017. DOI: 10.1016/J.JMA.2017.08.003.
[6] Wan, P., Tan, L. and Yang, K., Surface modification on biodegradable magnesium alloys as orthopedic implant materials to improve the bio-adaptability: a review, J. Mater. Sci. Technol. 32, pp. 827-834, 2016. DOI: 10.1016/j.jmst.2016.05.003.
[7] Dehghanian, C., Aboudzadeh, N. and Shokrgozar, M.A., Characterization of silicon- substituted nano hydroxyapatite coating on magnesium alloy for biomaterial application, Mater. Chem. Phys. 203, pp. 27-33, 2018. DOI: 10.1016/J.MATCHEMPHYS.2017.08.020.
[8] Zeng, R., Dietzel, W., Witte, F., Hort, N. and Blawert, C., Progress and challenge for magnesium alloys as biomaterials, Adv. Eng. Mater., 10(8), pp. 3-14, 2008. DOI: 10.1002/adem.200800035.
[9] M.Y. Salud, materiales metálicos biodegradables en el campo biomédico, 2011, pp. 30-34.
[10] An, J., Leeuwenburgh, S., Wolke, J. and Jansen, J., Mineralization processes in hard tissue: bone, in: Biomineralization and Biomaterials. 2015, pp. 129-146. DOI: 10.1016/B978-1-78242-338-6.00005-3.
[11] Vieira, A.C., Marques, A.T., Guedes, R.M. and Tita, V., Material model proposal for biodegradable materials, Procedia Eng. 10, pp. 1597-1602, 2011. DOI: 10.1016/j.proeng.2011.04.267.
[12] Wu, G., Ibrahim, J.M. and Chu, P.K., Surface design of biodegradable magnesium alloys - A review, Surf. Coatings Technol. 233(1), pp. 2-12, 2013, DOI: 10.1016/j.surfcoat.2012.10.009.
[13] Guo, L., Wu, W., Zhou, Y., Zhang, F., Zeng, R. and Zeng, J., Layered double hydroxide coatings on magnesium alloys: a review, J. Mater. Sci. Technol. (2018). DOI: 10.1016/J.JMST.2018.03.003.
[14] Meischel, M., Hörmann, D., Draxler, J., Tschegg, E.K., Eichler, J., Prohaska, T. and Stanzl-Tschegg, S.E., Bone-implant degradation and mechanical response of bone surrounding Mg-alloy implants, J. Mech. Behav. Biomed. Mater. 71, pp. 307-313, 2017. DOI: 10.1016/J.JMBBM.2017.03.025.
[15] Miura, K., Yamada, N., Hanada, S., Jung, T.-K. and Itoi, E., The bone tissue compatibility of a new Ti-Nb-Sn alloy with a low Young’s modulus., Acta Biomater. 7, pp. 2320-2326, 2011. DOI: 10.1016/j.actbio.2011.02.008.
[16] Guangsheng, X., Hongchao, K., Xianghong, L., Fuping, L., Jinshan, L. and Lian, Z., Microstructure and mechanical properties of porous titanium based on controlling young’s modulus, Rare Met. Mater. Eng., 46(8), pp. 2041-2048, 2017. DOI: 10.1016/S1875-5372(17)30176-5.
[17] Mohammed, M.T., Development of a new metastable beta titanium alloy for biomedical applications, Karbala Int. J. Mod. Sci. 3(4), pp. 224-230, 2017. DOI: 10.1016/J.KIJOMS.2017.08.005.
[18] Elahi, N., Kamali, M. and Baghersad, M.H., Recent biomedical applications of gold nanoparticles: a review, Talanta. 184, pp. 537-556, 2018. DOI: 10.1016/J.TALANTA.2018.02.088.
[19] Md-Saad, A.P., Abdul-Rahim, R.A., Harun, M.N., Basri, H., Abdullah, J., Abdul-Kadir, M.R. and Syahrom, A., The influence of flow rates on the dynamic degradation behaviour of porous magnesium under a simulated environment of human cancellous bone, Mater. Des. 122 () pp. 268-279, 2017. DOI: 10.1016/j.matdes.2017.03.029.
[20] Wang, Y., Newman, M.R. and Benoit, D.S.W., Development of controlled drug delivery systems for bone fracture-targeted therapeutic delivery: a review, Eur. J. Pharm. Biopharm. 127, pp. 223-236, 2018. DOI: 10.1016/J.EJPB.2018.02.023.
[21] Li, Y., Liu, L., Wan, P., Zhai, Z., Mao, Z., Ouyang, Z., Yu, D., Sun, Q., Tan, L., Ren, L., Zhu, Z., Hao, Y., Qu, X., Yang, K. and Dai, K., Biodegradable Mg-Cu alloy implants with antibacterial activity for the treatment of osteomyelitis: in vitro and in vivo evaluations, Biomaterials. 106, pp. 250-263, 2016. DOI: 10.1016/j.biomaterials.2016.08.031.
[22] Goharian, A., Kadir, M.R.A., Abdullah, M.R. and Abdullah, M.R., Biodegradable metals (biodegradable magnesium alloys), in: Trauma Plat. Syst., Elsevier, 2017, pp. 143-158. DOI: 10.1016/B978-0-12-804634-0.00008-2.
[23] Niu, W., Wang, Y., Liu, Y., Zhang, B., Liu, M., Luo, Y., Zhao, P., Zhang, Y., Wu, H., Ma, L. and Li, Z., Starch-derived absorbable polysaccharide hemostat enhances bone healing via BMP-2 protein, Acta Histochem. 119(3), pp. 257-263, 2017. DOI: 10.1016/J.ACTHIS.2017.01.011.
[24] Zhang, L., Zhang, J., Chen, C.F. and Gu, Y., Advances in microarc oxidation coated AZ31 Mg alloys for biomedical applications, Corros. Sci. 91, pp. 7-28, 2014. DOI: 10.1016/j.corsci.2014.11.001.
[25] Sankara-Narayanan, T.S.N., Park, I.S. and Lee, M.H., Strategies to improve the corrosion resistance of microarc oxidation (MAO) coated magnesium alloys for degradable implants: Prospects and challenges, Prog. Mater. Sci. 60, pp. 1-71, 2014. DOI: 10.1016/j.pmatsci.2013.08.002.
[26] Wu, Y.F., Wang, Y.M., Jing, Y.B., Zhuang, J.P., Yan, J.L., Shao, Z.K., Jin, M.S., Wu, C.J. and Zhou, Y., In vivo study of microarc oxidation coated biodegradable magnesium plate to heal bone fracture defect of 3 mm width, Colloids Surfaces B Biointerfaces. 158, pp. 147-156, 2017. DOI: 10.1016/J.COLSURFB.2017.06.031.
[27] Liao, J., Hotta, M., Motoda, S. and Shinohara, T., Atmospheric corrosion of two field-exposed AZ31B magnesium alloys with different grain size, Corros. Sci. 71, pp. 53-61, 2013. DOI: 10.1016/j.corsci.2013.02.003.
[28] Hou, X., Qin, H., Gao, H., Mankoci, S., Zhang, R., Zhou, X., Ren, Z., Doll, G.L., Martini, A., Sahai, N., Dong, Y. and Ye, C., A systematic study of mechanical properties, corrosion behavior and biocompatibility of AZ31B Mg alloy after ultrasonic nanocrystal surface modification, Mater. Sci. Eng. C. 78, pp. 1061-1071, 2017. DOI: 10.1016/J.MSEC.2017.04.128.
[29] Esmaily, M., Svensson, J.E., Fajardo, S., Birbilis, N., Frankel, G.S., Virtanen, S., Arrabal, R., Thomas, S. and Johansson, L.G., Fundamentals and advances in magnesium alloy corrosion, Prog. Mater. Sci. 89, pp. 92-193, 2017. DOI: 10.1016/J.PMATSCI.2017.04.011.
[30] Xianhua, C., Yuxiao, G. and Fusheng, P., Research progress in magnesium alloys as functional materials, Rare Met. Mater. Eng. , 45, pp. 2269-2274, 2016. DOI: 10.1016/S1875-5372(17)30015-2.
[31] Hornberger, H., Virtanen, S. and Boccaccini, A.R., Biomedical coatings on magnesium alloys - a review, Acta Biomater . 8, pp. 2442-55, 2012. DOI: 10.1016/j.actbio.2012.04.012.
[32] Abatti, G.P., Nunes-Pires, A.T., Spinelli, A., Scharnagl, N. and da Conceição, T.F., Conversion coating on magnesium alloy sheet (AZ31) by vanillic acid treatment: preparation, characterization and corrosion behavior, J. Alloys Compd. 738, pp. 224-232, 2018. DOI: 10.1016/J.JALLCOM.2017.12.115.
[33] Apelfeld, A., Krit, B., Ludin, V., Morozova, N., Vladimirov, B. and Wu, R.Z., The characterization of plasma electrolytic oxidation coatings on AZ41 magnesium alloy, Surf. Coatings Technol. 322, pp. 127-133, 2017. DOI: 10.1016/J.SURFCOAT.2017.05.048.
[34] Schneider, M., Liebmann, T., Langklotz, U. and Michaelis, A., Microelectrochemical investigation of anodic oxide formation on the aluminum alloy AA2024, Electrochim. Acta. 249, pp. 198-205, 2017. DOI: 10.1016/J.ELECTACTA.2017.07.160.
[35] Martin, J., Nominé, A., Brochard, F., Briançon, J.-L., Noël, C., Belmonte, T., Czerwiec, T. and Henrion, G., Delay in micro-discharges appearance during PEO of Al: Evidence of a mechanism of charge accumulation at the electrolyte/oxide interface, Appl. Surf. Sci. 410, pp. 29-41, 2017. DOI: 10.1016/J.APSUSC.2017.03.088.
[36] Stojadinović, S., Vasilić, R., Radić-Perić, J. and Perić, M., Characterization of plasma electrolytic oxidation of magnesium alloy AZ31 in alkaline solution containing fluoride, Surf. Coatings Technol. 273(273), pp. 1-11, 2015. DOI: 10.1016/j.surfcoat.2015.03.032.
[37] Chen, H., Lv, G., Zhang, G., Pang, H., Wang, X., Lee, H. and Yang, S., Corrosion performance of plasma electrolytic oxidized AZ31 magnesium alloy in silicate solutions with different additives, Surf. Coatings Technol. 205, pp. S32-S35, 2010. DOI: 10.1016/j.surfcoat.2010.03.032.
[38] Li, X., Liu, X. and Luan, B.L., Corrosion and wear properties of PEO coatings formed on AM60B alloy in NaAlO2 electrolytes, Appl. Surf. Sci. 257, pp. 9135-9141, 2011. DOI: 10.1016/j.apsusc.2011.05.115.
[39] Henke, M., Tessmar, J. and Göpferich, A., Biomimetic polymers (for biomedical applications), Polymer Science: A Comprehensive Reference, pp. 339-361, 2012. DOI: 10.1016/B978-0-444-53349-4.00222-3.
[40] Chisholm, M.F., Scanning microscopy for nanotechnology, 2006. DOI: 10.1007/978-0-387-39620-0.
[41] Kokubo, T. and Takadama, H., How useful is SBF in predicting in vivo bone bioactivity?, Biomaterials. 278159, pp. 2907-2915, 2006. DOI: 10.1016/j.biomaterials.2006.01.017.
[42] Veys-Renaux, D., Rocca, E., Martin, J. and Henrion, G., Initial stages of AZ91 Mg alloy micro-arc anodizing: growth mechanisms and effect on the corrosion resistance, Electrochim. Acta. 124, pp. 36-45, 2014. DOI: 10.1016/j.electacta.2013.08.023.
[43] Mori, Y., Koshi, A., Liao, J., Asoh, H. and Ono, S., Characteristics and corrosion resistance of plasma electrolytic oxidation coatings on AZ31B Mg alloy formed in phosphate - Silicate mixture electrolytes, Corros. Sci. 88, pp. 254-262, 2014. DOI: 10.1016/j.corsci.2014.07.038.
[44] Hwang, D.Y., Kim, Y.M. and Shin, D.H., Corrosion resistance of plasma-anodized AZ91 Mg alloy in the electrolyte with/without potassium fluoride, Mater. Trans. 50(3), pp. 671-678, 2009. DOI: 10.2320/matertrans.MER2008345.
[45] Cakmak, E., Tekin, K.C., Malayoglu, U. and Shrestha, S., The effect of substrate composition on the electrochemical and mechanical properties of PEO coatings on Mg alloys, Surf. Coatings Technol. 204(8), pp. 1305-1313, 2010. DOI: 10.1016/j.surfcoat.2009.10.012.
[46] Zhuang, J.J., Guo, Y.Q., Xiang, N., Xiong, Y., Hu, Q. and Song, R.G., A study on microstructure and corrosion resistance of ZrO2-containing PEO coatings formed on AZ31 Mg alloy in phosphate-based electrolyte, Appl. Surf. Sci. 357, pp. 1468-1471, 2015. DOI: 10.1016/j.apsusc.2015.10.025.
[47] Gupta, P., Tenhundfeld, G., Daigle, E.O. and Ryabkov, D., Electrolytic plasma technology: science and engineering - an overview, Surf. Coatings Technol. 201(21), pp. 8746-8760, 2007. DOI: 10.1016/j.surfcoat.2006.11.023.
[48] Yao, Z.P., Jiang, Z.H., Xin, S.G., Sun, X.T. and Wu, X.H., Electrochemical impedance spectroscopy of ceramic coatings on Ti-6Al-4V by micro-plasma oxidation, Electrochim. Acta. 50(16), pp. 3273-3279, 2005. DOI: 10.1016/j.electacta.2004.12.001.
[49] Lim, T.S., Ryu, H.S. and Hong, S.-H., Electrochemical corrosion properties of CeO2-containing coatings on AZ31 magnesium alloys prepared by plasma electrolytic oxidation, Corros. Sci. 62, pp. 104-111, 2012. DOI: 10.1016/j.corsci.2012.04.043.
[50] Song, G., John, D.S.T. and Nairn, J., The anodic dissolution of magnesium and sulphate solutions in chloride, Corros. Sci. 39(10-11), pp. 1981-2004, 1997. DOI: 10.1016/S0010-938X(97)00090-5.
[51] Huang, K., Cai, S., Xu, G., Ye, X., Dou, Y., Ren, M. and Wang, X., Preparation and characterization of mesoporous 45S5 bioactive glass - ceramic coatings on magnesium alloy for corrosion protection, J. Alloys Compd. 580, pp. 290-297, 2013. DOI: 10.1016/j.jallcom.2013.05.103.
[52] Liu, X., Chu, P.K. and Ding, C., Surface modification of titanium, titanium alloys, and related materials for biomedical applications, Mater. Sci. Eng. R Reports. 47(3), pp. 49-121, 2004. DOI: 10.1016/j.mser.2004.11.001.
[53] De Gryse, R., On the interpretation of mott-schottky plots determined at semiconductor/electrolyte systems, J. Electrochem. Soc. 122(5), pp. 711-712, 1975. DOI: 10.1149/1.2134298.
[54] Metikoš-Huković, M., Omanović, S. and Jukić, A., Impedance spectroscopy of semiconducting films on tin electrodes, Electrochim. Acta. 45(6), pp. 977-986, 1999. DOI: 10.1016/S0013-4686(99)00298-4.
[55] Xia, S.J., Yue, R., Rateick, R.G. and Birss, V.I., Electrochemical studies of AC/DC anodized Mg alloy in NaCl solution, J. Electrochem. Soc. 151(3), pp. B179-B187, 2004. DOI: 10.1149/1.1646139.
[56] Duan, H., Yan, C. and Wang, F., Effect of electrolyte additives on performance of plasma electrolytic oxidation films formed on magnesium alloy AZ91D, Electrochim. Acta. 52(11), pp. 3785-3793, 2007. DOI: 10.1016/j.electacta.2006.10.066.
[57] Scully, J. and Silverman, D., Electrochemical impedance: analysis and interpretation, 2013.
[58] Li, Y., Zhang, T. and Wang, F., Effect of microcrystallization on corrosion resistance of AZ91D alloy, Electrochim. Acta. 51(14), pp. 2845-2850, 2006. DOI: 10.1016/j.electacta.2005.08.023.
[59] Cipriano, A.F., Sallee, A., Tayoba, M., Cortez-Alcaraz, M.C., Lin, A., Guan, R.G., Zhao, Z.Y. and Liu, H., Cytocompatibility and early inflammatory response of human endothelial cells in direct culture with Mg-Zn-Sr alloys, Acta Biomater . 48, pp. 499-520, 2016. DOI: 10.1016/j.actbio.2016.10.020.
Notas