Artículos
Received: 30 May 2018
Revised document received: 17 September 2018
Accepted: 28 September 2018
DOI: https://doi.org/10.15446/dyna.v85n207.72543
Abstract: Nitrate contamination of surface and groundwater is a global problem which is related to the intense agricultural activity. The high concentrations affect the waters quality and it turns out to be an important indicator of the human influence. In the phreatic aquifer in a plain basin in southeastern Buenos Aires province of Argentina, nitrate has values between 4 and 235 mg/L measured in October 2013 and 5.7-250 mg/L in July 2014. Respect to the values in surface water, were measured concentrations of 7-79, 6 mg/L during October 2013-July 2014 and 1-120 mg/L from July 2014 to April 2015. The present day background values found in the aquifer were calculated through a statistical analysis and compared to monitor their variations. Also, were calculated in the two periods the present day background superficial water to compare them with the aquifer. Based on the results, a new methodology is proposed to analyze the surface-groundwater linkage.
Keywords: gaining creek, phreatic aquifer, contamination, fertilizer, nitrate leaching, nitrate monitoring.
Resumen: La contaminación con nitrato en agua superficial y subterránea es un problema mundial vinculado especialmente con la intensa actividad agrícola. Las concentraciones elevadas afectan la calidad de las aguas y resulta ser un indicador importante de la influencia del hombre. En un acuífero libre de una cuenca de llanura en el sudeste bonaerense en Argentina se midieron 4-235 mg/L en octubre 2013 y 5,7-250 mg/L en julio 2014. Respecto a los tenores en el agua superficial se midieron concentraciones de 7-79,6 mg/L durante octubre 2013-julio 2014 y 1-120 mg/L de julio 2014 a abril 2015. Se calcularon los valores de Fondo Actual del acuífero mediante un análisis estadístico y se los comparó para monitorear sus variaciones. En cuanto al agua superficial, se calcularon sus variaciones de Fondo Actual en los dos periodos para cotejarlos con el acuífero. A partir de los resultados se propone una nueva metodología para analizar la vinculación agua superficial-subterránea.
Palabras clave: arroyo ganador, acuífero freático, contaminación, fertilizantes, lixiviación de nitratos, monitoreo de nitratos.
1. Introducción
Las concentraciones elevadas de nitrato en aguas superficiales y subterráneas se han convertido en un importante indicador ambiental del impacto humano [1-4]. La contaminación por nitrato de las aguas causa riesgos para la salud humana y el ambiente [5,6]. La Organización Mundial de la Salud [7] ha establecido el umbral de 50 mg/L NO3- para uso de consumo humano. El exceso de nitrato produce metahemoglobinemia (síndrome del bebé azul) en bebés menores de 6 meses. Además, puede plantear problemas de salud a las mujeres embarazadas y problemas gástricos en adultos mayores, entre otras enfermedades. Diversas investigaciones han indicado una relación entre la agricultura y la alta concentración de nitrato en las aguas superficiales y subterráneas [2,8-13].
La evaluación de la calidad del agua está relacionada con el concepto de Nivel de Fondo Natural o Regional (Background), que se define como el rango de concentración con mínima influencia de las actividades humanas [14-16] En zonas agrícolas las concentraciones de nitrato de origen natural se pueden ver incrementadas por actividades humanas debido al uso de fertilizantes nitrogenados sintéticos y orgánicos. Panno et al [17] propusieron el término ¨Fondo Actual¨ (‘‘present-day background’’) para incluir las concentraciones de contaminantes cuyo impacto es significativo en el caso de acuíferos libres. Alrededor del mundo, datos históricos mostraron concentraciones de Fondo Natural de nitrato en aguas subterráneas de alrededor de 0,08 a 2 mg/L y valores de Fondo Actual entre 2 y 4,5 mg/L [18-21, entre otros]. En Argentina, en algunos estudios se calcularon valores de Fondo Actual de 22 mg /L, 12,6 mg/L y 2,5 - 5 mg/L [22-25].
La contaminación del agua subterránea con nitratos es un problema en todo el mundo, pero especialmente afecta a regiones en Latinoamérica en las cuales la agricultura es la principal actividad económica y va acompañada de asentamientos humanos o pequeñas localidades en las cuales el abastecimiento de agua subterránea se realiza a través de perforaciones domésticas sin ningún tratamiento. Ejemplos de esta problemática se pueden encontrar en Argentina en diferentes regiones [25-27] que corresponden a diferentes condiciones climáticas y tipos de cultivo, pero que en todos los casos ameritan un seguimiento de la evolución de la calidad del agua subterránea. En ese sentido establecer el Fondo Actual constituye un aporte importante como punto de partida para un correcto seguimiento y evaluación de la contaminación por nitratos.
En este contexto, para realizar el cálculo del Fondo Actual fueron seleccionadas las aguas superficiales y subterráneas de una zona de llanura del sudeste de la provincia de Buenos Aires (Argentina) con una intensa actividad agrícola y considerando sus características de acuífero libre.
El área de estudio se encuentra en la región geográfica llamada Llanura Interserrana, que es una zona plana que se extiende entre las cordilleras de Tandilia y Ventania en la provincia de Buenos Aires (Argentina), forma parte de la pampa húmeda y corresponde a la cuenca del arroyo La Ballenera. Es una cuenca pequeña con una superficie total de 160,13 Km2 con orientación N-S y perpendicular a la línea costera. Este arroyo fluye desde el sistema Tandilia hasta el Océano Atlántico, pero antes alimenta a la laguna La Ballenera cerca de la desembocadura (Fig. 1).

Las principales ciudades en la cuenca son Miramar y Comandante Nicanor Otamendi con 30.000 y 7.000 habitantes, respectivamente.
El área tiene un clima "moderado-húmedo" (clasificación de Köppen) o "subhúmedo-húmedo, mesotérmico, sin deficiencia de agua" [28]. En los últimos 44 años (1971-2015) el promedio anual de lluvia en la cuenca es de 900 mm y el mensual de 74,9 mm [29]. La temperatura media anual es de 13,5 ºC [30]. Durante el otoño-invierno, existen excesos de agua debido a que la precipitación supera a la cantidad de agua que se evapotranspira. Por las características de la cuenca dichos excesos se vinculan a la infiltración del sistema [31].
La vegetación nativa dominante era la estepa de pasto [32], pero la actividad humana y la ganadería se adaptaron a la región. Actualmente la agricultura intensiva es la principal actividad económica, principalmente cultivos de trigo, cebada, maíz, girasol, soja y papa [33]. Durante la primavera se aplican fertilizantes minerales, de síntesis química, para cubrir las necesidades de macronutrientes de los cultivos que no logran ser aportados por el suelo: principalmente nitrógeno y fósforo. Las fuentes más difundidas de estos nutrientes son la urea y el fosfato diamónico. Las aplicaciones suelen variar entre 46 y 115 kg de N/ha (100 y 250 kg de urea) para los cultivos de maíz, trigo y papa [34]. Otro fertilizante con cierta difusión es el UAN, pero al ser líquido, es mucho menos utilizado que la urea.
Características geológicas e hidrogeológicas
Las características geológicas e hidrogeológicas regionales en el área de estudio han sido descritas por Sala [35], Sala et al. [36], Kruse [37] y González [38]. Las formaciones "Complejo Buenos Aires" y "Balcarce" forman parte del basamento hidrogeológico (Fig. 2). El acuífero libre de tipo multicapa conformado por los "sedimentos pampeanos" está compuesto por limo, arena fina y arena limosa, que incluye frecuentemente niveles de CaCO3 (Fig. 2), conformando un sedimento de tipo loess. La composición mineralógica de estos sedimentos está formada principalmente por cuarzo, plagioclasas y ortoclasa con cantidades variables de fragmentos de vidrio volcánico [39,40], por la presencia de minerales accesorios resulta determinante para la composición química de las aguas [41]. Estos depósitos cuaternarios tienen un espesor entre 30 m y 100 m (Fig. 3), conductividad hidráulica 10 m/d [35], porosidad del 15% y transmisividad alrededor de 800-1000 m2/d. El agua subterránea es bicarbonatada sódica con un pH cercano a 7,3 [42].


2. Metodología
La red de muestreo para el análisis de nitratos consistió en 75 pozos y 112 muestras que corresponden a dos puntos superficiales del arroyo La Ballenera denominados estaciones SLBA y SLBB (Fig. 3). La primera campaña de muestreo de agua subterránea se llevó a cabo durante octubre-noviembre de 2013 y la segunda durante julio de 2014. En cuanto al censo superficial se consideró el periodo octubre 2013 a abril 2015, con una frecuencia semanal para SLBA y quincenal para SLBB.
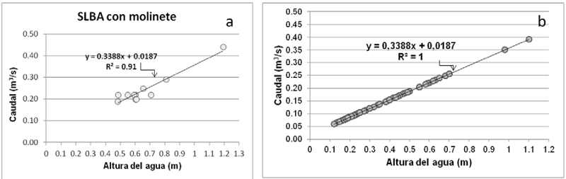
Los análisis de la concentración de nitrato se realizaron mediante espectrometría UV en el Laboratorio de Hidroquímica e Isótopos Estables del Grupo de Hidrogeología de la Universidad de Mar del Plata. El límite de detección fue de 0,1 mg/L y el error promedio del 1%. Se obtuvieron los caudales del arroyo La Ballenera en la estación SLBA. Para llevar a cabo su determinación se emplazó una estación de aforo que se calibró mediante el cálculo de una función que ajusta la curva obtenida con las 12 mediciones de caudal con un hidrómetro Rickly Hydrologic con molinete y se estableció la relación entre el caudal medido y la altura del agua en el arroyo (Fig. 4a).

Las estimaciones posteriores del caudal se obtuvieron midiendo el nivel en el punto de medición permanente SLBA (Fig. 3) con una frecuencia semanal y efectuando lecturas del caudal a partir de la función obtenida (Fig. 4b). De esta manera fue posible conocer el comportamiento del arroyo en cuanto a su caudal para posteriormente vincularlo con las variaciones de nitrato.
Por otra parte, se recopilaron datos de precipitación para el mismo periodo de muestreo. Estos fueron suministrados por la Chacra Experimental Miramar (CHEM), perteneciente al Ministerio de la Producción de la Provincia de Buenos Aires, ubicada en la zona de estudio y situada a 17 Km al oeste de la localidad de Miramar (Fig. 3) [30]. Dicha estación fue georreferenciada utilizando un GPS Garmin Etrex Vista (38º10’S, 58º0’W) (Fig. 3).
Además, se calculó el balance hidrometeorológico para los años 2013 y 2014 según la metodología de Thornthwaite y Matter [43]. La diferencia entre los valores de precipitación (P) y evapotranspiración potencial (ETP) determinan los periodos de déficit o exceso hídricos. Un valor negativo de P-ETP indica la cantidad de precipitación que falta para satisfacer las necesidades potenciales de agua del suelo y su vegetación. Un valor positivo de P-ETP indica la cantidad de agua que excede y que por tanto sirve para la recarga y el escurrimiento del sistema.
2.1.Determinación de fondo actual
La metodología utilizada en este trabajo para la determinación del Fondo Actual fue desarrollada por Lepeltier [44] y Panno et al. [17]. Esta técnica se basa en un proceso estadístico iterativo de exclusión de datos anómalos con valores superiores a un percentil determinado (por lo general el de 90%). Para ello se parte de la gráfica de probabilidades, considerando para su realización el supuesto distribucional estadístico escogido para la variable analizada. Es necesario considerar que si lo que se desea determinar es el valor “de Fondo” para elementos químicos cuyo origen es natural (por ejemplo, As o F- en ambientes loéssicos), Blarasin et al. [45]. indican que el estudio estadístico debe necesariamente considerar todos los datos obtenidos aún los valores anómalos o extremos (“outliers”) como parte del cálculo de Fondo Natural.
Contrariamente, cuando se estudian aquellos elementos que pueden tener origen natural y también antrópico, como en el caso del NO3 es necesario excluir aquellos valores más elevados (anómalos) que distorsionan el ajuste y que se pueden asociar a contaminación derivada de acciones antrópicas [15,17,25,45,46]. Así, en este trabajo, los valores atípicos se descartan de forma iterativa suponiendo que en el final restante del proceso los valores que quedan forman parte de la población "regular". Finalmente, se considera la mediana (percentil 50) de la población regular como valor representativo y a comparar en el análisis.
3. Resultados
Las concentraciones de nitrato medidas en octubre 2013 y julio 2014 en el agua subterránea tienen un rango de 4 - 235 mg/L y 5,7 - 250 mg/L, respectivamente. Considerando que el máximo nivel admisible por la OMS es de 50 mg/L, el 38,7% excede dicho valor en octubre mientras que el 48,7% lo supera en julio 2015.
En relación con las aguas superficiales en SLBA y SLBB tienen un rango de 1,7 - 79,6 mg/L desde octubre 2013 a julio 2014 y de 1 - 120 mg/L de julio 2014 a abril 2015. En ambos casos superan el límite máximo establecido por la OMS 11,3% para el primer periodo y 8,5% para el segundo periodo.
Siguiendo la metodología descripta anteriormente, se calcula la mediana (percentil 50) para el acuífero y el agua superficial. En el muestreo del agua subterránea de octubre, se comenzó con 34 datos y luego de 7 cortes se obtuvo una mediana de 12 mg/L (Fig. 5):

Posteriormente con la finalidad de monitorear las concentraciones de nitrato en el acuífero, en julio 2015 se realizó otro muestreo. En este caso con 39 datos iniciales y luego de 8 cortes se obtuvo una mediana de 21 mg/L (Fig. 6). Es decir que en el transcurso de 9 meses el valor mediano se vio incrementado un 42,9 %:

Empleando la misma metodología se analizan las concentraciones en las aguas superficiales de las dos estaciones SLBA y SLBB, la primera ubicada en la parte alta de la cuenca y la segunda está localizada próxima a la desembocadura. En el primer periodo considerado de 9 meses desde octubre 2013 a julio 2014, ambos extremos coinciden con el muestreo subterráneo. Comenzado con 53 datos y luego de 4 cortes con 43 datos finales se obtiene una mediana de 14 mg/L (Fig. 7 a-b).

Respecto al segundo periodo de 9 meses, desde julio 2014 a abril 2015 y con 59 datos iniciales se calcula una mediana de 20 mg/L con 3 cortes y 53 datos finales (Fig. 7 c y d). Al comparar ambos periodos también se observa una incremente de nitratos al igual que lo observado más arriba para el agua subterránea, en este caso un 30 %.
En la Fig. 8 se representan los resultados de todos los muestreos de agua superficial y subterránea considerados. Se observan que el valor de la mediana del acuífero en octubre es prácticamente el mismo que tiene el arroyo en octubre 2013-julio 2014. En el mismo sentido, el valor de la mediana en el agua subterránea de julio es prácticamente igual que en el agua superficial julio 2014-abril 2015.

Para analizar el comportamiento del arroyo se calcularon los caudales y se los relacionó con los datos de la precipitación acumulada semanal. El menor caudal de la serie observada corresponde a 0,03 m3/s registrado en el mes de noviembre del 2013 y 0,04 m3/s en varias oportunidades en los años siguientes.
Por lo tanto, el valor del caudal base se aproxima a 0,03 m3/s -0,04 m3/s y que responde a las menores precipitaciones registradas (Fig. 9 a, b y c). Por otra parte, los valores promedios de los caudales calculados son de 0,05 m3/s en 2013 y 2015 y 0,07 m3/s en 2014. La rápida respuesta del arroyo frente a las precipitaciones explica que los valores medios de caudal estén próximos al valor base.



El mayor caudal registrado corresponde al año 2014 (Fig. 9 b). El 5 de noviembre tiene un valor máximo de 0,25 m3/s que se corresponde con 63 mm precipitados el día anterior y 80 mm acumulados la semana previa. El 9 de abril tiene un valor de 0,22 m3/s en respuesta a la precipitación de 40,5 mm entre el día anterior y el mismo día de la toma de la muestra y de 29,5 mm acumulados en la semana previa (Fig. 9 b). En el 2015 los valores máximos se identifican el 25 de febrero y el 12 de agosto correspondientes a 0,15 m3/s y 0,14 m3/s, respectivamente (Fig. 9 c). En el primer caso como consecuencia de 58,5 mm precipitados ese mismo día, mientras que el 12 de agosto se corresponde con 112 mm en los tres días previos al muestreo y 141,5 mm de precipitación acumulada en la semana previa (Fig. 9 c). Es decir que en general, al cotejar los valores de caudales frente a la precipitación, se observa nuevamente una rápida respuesta del arroyo ante las precipitaciones.
Se grafica el balance hídrico en función de las curvas de precipitación, evapotranspiración real y potencial (Fig. 10). Se observan déficits durante el censo del 2013 e importantes excesos hídricos durante el muestreo del 2014 y en prácticamente todo ese año


Finalmente, se calculó el balance hidrometeorológico de los años 2013 y 2014 (Fig. 10) para determinar períodos de déficit o exceso de humedad que pueden condicionar la lixiviación de nitratos del suelo y su posterior incorporación en el acuífero.
4. Discusión
Las altas concentraciones de nitrato medidas en el agua superficial y subterránea de la cuenca tienen como única fuente contaminante el vertido de fertilizantes producto de la intensa actividad agrícola de la zona, con una aplicación de entre 100 y 250 kg/ha∙año de urea [34]. El nitrato es el más estable de los compuestos de nitrógeno inorgánico en ambientes aeróbicos y es altamente lixiviable a través del perfil del suelo en acuíferos [47-50]. Esto está relacionado con un bajo coeficiente de retraso en relación con el flujo de agua subterránea, baja degradación química y carácter difuso en el tiempo de las principales fuentes de contaminación [50,52,53]. Por su parte, el carácter libre del acuífero Pampeano lo hace muy vulnerable a la llegada de los nitratos cuya autodepuración es lenta una vez que se ha contaminado.
Costa et al [54] calcularon en un sector vecino a la cuenca, que aproximadamente 5 mg/L de nitrato corresponde a un origen natural producto de la mineralización de la materia orgánica. Una concentración superior a ese valor es consecuencia de una creciente contaminación de nitratos derivada de la lixiviación del nitrógeno no utilizado por el cultivo. Las concentraciones máximas medidas en el agua subterránea de la cuenca La Ballenera de 235 mg/L en octubre 2013 y de 250 mg/L en julio 2014 reflejan una intensa lixiviación de nitrato al acuífero aportado por fertilizantes.
El cálculo del Fondo Actual de los dos muestreos realizados en el acuífero permite un seguimiento de la población regular del acuífero y conocer si hay una evolución creciente o decreciente en la contaminación de nitrato y por tanto en la incidencia antrópica. Según el análisis de los resultados obtenidos, de octubre 2013 a julio 2014 se calculó un importante incremento en el valor de su mediana de 12 mg/L a 20 mg/L en el agua subterránea. Este incremento está influenciado por los excesos hídricos calculados durante el 2014 que genera una mayor lixiviación del nitrato retenido en el sistema hacia el acuífero como consecuencia de una mayor recarga potencial del acuífero. Esto se corresponde con un desplazamiento de flujo pistón y con lo que Kirchner [55] llamó "la movilización rápida del agua vieja". Por otra parte, hay considerables variaciones en las concentraciones del arroyo en las estaciones SLBA y SLBB de 1,7-79,6 mg/L en octubre 2013-julio 2014 y de 1-120 mg/L en julio 2014-abril 2015. Calvi et al. [34] explicaron mediante la aplicación de herramientas químicas e isotópicas que dichas variaciones son atribuidas a un aporte de nitrato superficial y principalmente subterráneo. Respecto del primero es originado por el arrastre de nitrato por escorrentía. La escorrentía del agua en los suelos agrícolas es el flujo del agua sobre la superficie del suelo, de modo que no se infiltra en el campo, sino que fluye normalmente hacia terrenos más bajos o cursos de superficiales de agua. Se produce como consecuencia de lluvias o riegos excesivos y puede arrastrar cantidades variables de nitrógeno.
En general, estas pérdidas de nitrógeno del suelo son pequeñas, excepto cuando la escorrentía se produce poco después de un abonado nitrogenado. Sin embargo la rápida repuesta del arroyo frente a las precipitaciones observadas al analizar las variaciones de los caudales (Fig. 9) debería diluir dichas concentraciones resultando en valores de Fondo Actual más bajos que el calculado.
El aporte permanente de nitrato desde el acuífero al arroyo fue determinado para el área de estudio por Calvi et al [34] y es analizado en este trabajo mediante la aplicación de una nueva metodología. Esta consiste en calcular y comparar el Fondo Actual del nitrato en el arroyo y en el acuífero. Para el periodo de muestreo superficial de octubre 2013-julio2014 el valor de Fondo fue de 14 mg/L que se corresponde con los 12 mg/L del acuífero de octubre 2013. Mientras que durante julio 2014 - abril 2015 fue de 21 mg/L para el arroyo que nuevamente se corresponde con el valor de 20 mg/L en julio 2014 para el acuífero. Se observa que hay una coincidencia en el valor de Fondo para las aguas del arroyo y del acuífero en el tiempo, que además tiende a incrementarse en ambos casos.
Esta evolución similar en los valores de la mediana refuerza las conclusiones de Calvi et al [34] referidas al comportamiento efluente del arroyo con referencia a las aguas subterráneas. Sin embargo considerando los tiempos de tránsito de las mismas resulta difícil explicar una respuesta tan rápida en el curso superficial y se considera que la mayor parte del aporte podría corresponder a flujo desde la zona hiporreica.
5. Conclusiones
La dinámica de las aguas superficiales y subterráneas es diferente en lo que hace a sus tiempos de residencia y a su vez la existencia de una relación entre ambas y por ello el seguimiento de las concentraciones de nitrato puede ofrecer una alta variabilidad, con cierta dificultad para establecer parámetros en comparación, según las fechas y condiciones hidrológicas consideradas. Entonces la utilización del Fondo Actual se convierte en una herramienta de utilidad para comparar evoluciones en la concentración de nitrato y por lo tanto como base para la consideración de efectos antrópicos.
Las altas concentraciones de nitrato en las aguas superficiales y subterráneas de la cuenca La Ballenera se vinculan con la fertilización y la agricultura que es la principal actividad económica de la cuenca. Así, el nitrato en el agua subterránea tiene un rango de concentración de 4-235 mg/L en octubre 2013 y de 5,7-250 mg/L en julio 2014. Las altas concentraciones se vinculan a la facilidad la lixiviación del nitrato y la vulnerabilidad del acuífero libre.
Respecto a los tenores de nitrato en el arroyo La Ballenera, se midió un rango de 7-79,6 mg/L durante octubre 2013-julio 2014 y de 1-120 mg/L de julio 2014 a abril 2015. La contaminación de este arroyo ganador se debe principalmente al aporte de agua subterránea con altas concentraciones de nitrato, pero con una importante incidencia de aportes de la zona hiporreica, atento a la rápida respuesta del caudal a los cambios en el medio subterráneo. Dicha relación fue confirmada por comparación del Fondo Actual del nitrato en el agua superficial y subterránea en el tiempo. Los valores para los dos periodos considerados fueron prácticamente iguales para el arroyo y el acuífero. De esta manera se propone esta metodología sencilla para ser aplicada y establecer la relación entre el agua superficial y subterránea. Finalmente, el monitoreo del cálculo del Fondo Actual para las aguas superficiales y subterránea permitió determinar la creciente contaminación y degradación del sistema debido al incremento de sus valores en el tiempo.
Referencias
[1] Edmunds, W.M. and Shand, P., Natural groundwater quality. Wiley-Blackwell, London, 2008.
[2] Sutton, M., Howard, C., Erisman, J., Bleeker, G., Grennfelt, P., Van Grinsven, H. and Grizzetti, B., The european nitrogen assessment sources, effects and policy perspectives. Cambridge University Press, 2011.
[3] Liu, F., Song, X., Yang, L., Han, D., Zhang, Y., Ma, Y. and Bu, H., The role of anthropogenic and natural factors in shaping the geochemical evolution of groundwater in the Subei Lake basin, Ordos energy base, Northwestern China. Science of the Total Environmental, 538, pp. 327-340, 2015. DOI: 10.1016/j.scitotenv.2015.08.057
[4] Kim, K.H., Yun, S.T., Kim, H.K. and Kim, J.W., Determination of natural backgrounds and thresholds of nitrate in South Korean groundwater using model-based statistical approaches. Journal of Geochemical Exploration, 148, pp. 196-205, 2015. DOI: 10.1016/j.gexplo.2014.10.001
[5] L’hirondel, J. and L’hirondel, JL., Nitrate and man. Toxic, harmless or beneficial?. CAB Publishing, Wallingford, United Kingdom, 2001.
[6] Powlson, D.S., Addiscott, T.M., Benjamin, N., Cassman, K.G., de Kok, T.M., van Grinsven, H., L´hirondel, J.L., Avery, A.A. and van Kessel, C., When does nitrate become a risk for humans?. Journal of Environmental Quality, 37, pp. 291-295, 2008. DOI: 10.2134/jeq2007.0177
[7] OMS - Organización Mundial de la Salud. Guidelines for drinking water quality, 1, 3rd ed., Geneva, Switzerland, 2011. ISBN: 92 4 154638 7.
[8] Jordan, C. and Smith, R.V., Methods to predict the agricultural contribution to catchment nitrate loads: designation of nitrate vulnerable zones in Northern Ireland. Journal of Hydrology, 304, pp. 316-329, 2005. DOI:10.1016/j.jhydrol.2004.07.037
[9] Liu, A., Ming, J. and Ankumah, R.O., Nitrate pollution in private wells in rural Alabama, United States. Science of the Total Environmental, 346, pp. 112-120, 2005. DOI: 10.1016/j.scitotenv.2004.11.019
[10] Burkart, M. and Stoner, J., Chapter 7: Nitrogen in groundwater associated with agricultural system. In: Hatfield, J.L. and Follet, R.F., (Eds), Nitrogen in the environment: Sources, problems, and management [Online]. Elsevier Inc., 2008. Available at: http://digitalcommons.unl.edu/usdaarsfacpub/259
[11] Wheeler, D.C., Nolan, B.T., Flory, A.R., Della-Valle, C.T. and Ward, M.H., Modeling groundwater nitrate concentrations in private wells in Iowa. Science of the Total Environmental, 536, pp. 481-488, 2015. DOI: 10.1016/j.scitotenv.2015.07.080
[12] Amano, H., Nakagawa, K. and Berndtsson, R., Groundwater geochemistry of a nitrate-contaminated agricultural site. Environmental Earth Sciences, 75(15), 2016. DOI 10.1007/s12665-016-5968-8.
[13] Valujeva, K., O´Sullivan, L., Gutzler, C., Fealy, R. and Schulte, R.P., The challenge of managing soil functions at multiple scales: An optimisation study of the synergistic and antagonistic trade-offs between soil functions in Ireland. Land Use Policy, 58, pp. 335-347, 2016. DOI: 10.1016/j.landusepol.2016.07.028
[14] Mastchullat, J., Ottenstein, R. and Reimann, C., Geochemical background-can we calculate it? Environmental Geology 39(9), pp. 990-1000, 2000. DOI:10.1007/s002549900084
[15] Manzano, M., Custodio, E. and Nieto, P., El fondo natural de la calidad del agua subterránea. In Basile et al. (Eds.), Primer seminario Hispano Latinoamericano sobre tema
[16] Actuales de la hidrología subterránea, 2, Rosario, Argentina, pp. 607-620, 2003. ISBN: 950-673-395-3.
[17] Reimann, C. and Garrett, R., Geochemical background-concept and reality. Science of the Total Environmental, 350, pp. 12-27, 2005. DOI: 10.1016/j.scitotenv.2005.01.047
[18] Panno, S., Kelly, W., Martinsek, A. and Hackley, K., Estimating background and threshold nitrate concentrations using probability graphs. Ground Water, 44, pp. 697-709, 2006. DOI: 10.1111/j.1745-6584.2006.00240.x
[19] George, W.O. and Hastings, W.W., Nitrate in the ground water of Texas. Transactions American Geophysical Union, 32(3), pp. 450-456, 1951. DOI:10.1111/j.1745-6584.2006.00240.x
[20] Chen, H.H. and Druliner, A.D., Nonpoint-source ground-water pollution - Agricultural chemical pollution of ground water in six areas of the High Plains aquifer, Nebraska. In: Moody, D.W., Carr, J., Chase, E.B. and Paulson, R.W., (Eds.), Hydrologic Events and Ground-Water Quality. United States Geological Survey Water-Supply Paper 2325, Washington D.C., U.S. Government Printing Office, 1998.
[21] Tesoriero, A.J. and Voss, F.D., Predicting the probability of elevated nitrate concentrations in the Puget Sound Basin: Implications for aquifer susceptibility and vulnerability. Ground Water, 35, pp. 1029-1039, 1997. DOI: 10.1111/j.1745-6584.1997.tb00175.x.
[22] Nolan, B.T., Hitt, K.J. and Ruddy, B.C., Probability of nitrate pollution of recently recharged groundwaters in the conterminous United States. Environmental Science and Technology, 36(10), pp. 2138-2145, 2002. DOI: 10.1021/es0113854.
[23] Rossi, P., Lexow, C. and Bonorino, G., Los nitratos en el agua subterránea de la cuenca superior del arroyo Chasicó. Proceedings of 3ras. Jornadas Geológicas Bonaerenses, pp. 201-206, 1992.
[24] Martínez, D.E., Contaminación del agua subterránea por actividades agrícolas en el sudeste bonaerense. Informe diagnóstico, Centro de Geología de Costas y Cuaternario, UNMdP, Mar del Plata, Argentina, 1995.
[25] Bonorino, G., Albouy, R., Lexow, C. and Carrica, J., Nitratos en acuífero zona periserrana de las Sierras Australes. Proceedings of the 2º Congreso Argentino de Hidrogeología. Serie Correlación Geológica, 13, pp. 231-240, 1999. ISSN: 1514-4186
[26] Giuliano-Albo, J., and Blarasin, M., Hidrogeoquímica y estimación del fondo natural de nitratos del agua subterránea en un agroecosistema del piedemonte de la sierra de Comechingones. Revista de la Asociacion Geologica Argentina, (71)3, pp. 378-392, 2014. ISSN: 1851-8249
[27] Martinez, D.E., Moschione, E., Bocanegra, E., Glok-Galli, M. and Aravena, R., Distribution and origin of nitrate in groundwater in an urban and suburban aquifer in Mar del Plata, Argentina. Environmental Earth Sciences, 72(6), pp. 1877-1886, 2014. DOI: 10.1007/s12665-014-3096-x
[28] Meglioli, P., Aranibar, J., Villagra, P.E. and Jobbagy, E.G., Livestock stations as foci of groundwater recharge and nitrate leaching in a sandy desert of the Central Monte, Argentina. Ecohydrology, 7(2), pp. 600-611, 2013. DOI: 10.1002/eco.1381
[29] Thornthwaite, C.W., An approach toward a rational classification of climate. Geographical Review, 38(1), pp. 55-94, 1948. DOI: 10.2307/210739
[30] Calvi, C., Dapeña, C., Martinez, D.E. and Gutheim, F., Caracterización química e isotópica de la cuenca del arroyo La Ballenera, partido General Alvarado, Provincia de Buenos Aires Datos preliminares. Proceedings of thel II Congreso de Hidrología de Llanuras, Venturini et al (Eds.), Santa Fe, Universidad Nacional del Litoral, 10 P. ISBN: 978-987-692-039-1.
[31] CHEM (Chacra Experimental Miramar), Ministerio de Asuntos Agrarios de la Provincia de Buenos Aires, Argentina [En línea], 2013. [fecha de referencia: 8 de Agosto de 2016] Disponible en: Disponible en: http://www.chacramiramar.com.ar/
[32] Calvi, C., Identificación de la descarga de aguas subterráneas en arroyos del sudeste de la Provincia de Buenos Aires con trazadores químicos e isotópicos. Tesis Doctoral, Facultad de Ciencias Exactas y Naturales, Universidad de Buenos Aires, 2018.
[33] Mosciaro, M. and Dimuro, V., Zonas Agroeconómicas homogéneas Buenos Aires Sur [En línea]. Buenos Aires, INTA, 2009, 297 P. Disponible en: Disponible en: http://inta.gob.ar/documentos/zonas-agroeconomicas-homogeneas-buenos-aires-sur (accessed 05.2016)
[34] Huarte, M.A. and Capezio, S.B., Cultivo de papa. Asignatura cultivo de papa [En línea], Unidad Integrada Balcarce INTA FCA, UNMdP, 2013. Disponible en: http://inta.gob.ar/documentos/cultivodepapa/at_multi_download/file/NTA-%20huarte_capezio_papa2013.pdf
[35] Calvi, C., Dapeña, C., Martinez, D. and Londoño, M., Relationship between electrical conductivity of water and NO3 content in different streamflow stage. Environmental Earth Sciences, 77, pp. 248, 2018. DOI: 10.1007/s12665-018-7427-1.
[36] Sala, J.M., Recursos Hídricos. Proceedings of the VI Congreso Geológico Argentino, Bahía Blanca, Argentina, pp 169-194, 1975.
[37] Sala, J.M., González, N. and Kruse, E.E., Generalización hidrológica de la provincia de Buenos Aires. In: Coloquio sobre hidrología de grandes llanuras, PHI - UNESCO. Olavarría, pp. 973-1009, 1983.
[38] Kruse, E.E., Aspectos geohidrológicos de la región sudoriental de Tandilla. Cuencas de los Aos, Vivoratá, Las Brusquitas y El Durazno. Asociación Geológica Argentina, Revista XLI, (3-4), pp. 367-374, 1986.
[39] González, M., Los ambientes hidrogeológicos de la provincia de Buenos Aires. Proceedings of the XVI Congreso Geológico Argentino, La Plata, Cap XXII, pp. 348-359, 2005.
[40] Teruggi, M., El mineral volcánico-piroclástico en la sedimentación cuaternaria Argentina Revista de la Asociación Geológica Argentina, 9(3), pp. 184-191, 1964.
[41] Camilión, M.C., Clay mineral composition of Pampean Loess (Argentina). Quaternary International, 17, pp 27-31, 1993. DOI: 10.1016/1040-6182(93)90077-S
[42] Vital, M., Daval, D., Clément, A., Quiroga, S., Fritz, B. and Martinez, D.E., Importance of accessory minerals for the control of water chemistry of the Pampean aquifer, province of Buenos Aires, Argentina. CATENA, 160, pp 112-123, 2018. ISSN: 0341-8162
[43] Calvi, C., Martinez, D., Dapeña, C. and Gutheim, F., Abundance and distribution of fluoride concentrations in groundwater: La Ballenera catchment, southeast of Buenos Aires Province, Argentina. Environmental Earth Sciences, 75(6), pp. 534, 2016. DOI: 10.1007/s12665-015-4972-8.
[44] Thornthwaite, C.W. and Matter, J.R., The water balance. Centerton: Drexel Institute of Technology. Publications in Climatology, Laboratory of Climatology, 8(1), pp. 104, 1955.
[45] Lepeltier, C., A simplified statistical treatment of geochemical data by graphical. Economic Geology, 64, pp 538-550, 1969. DOI: 10.2113/gsecongeo.64.5.538
[46] Blarasin, M., Damilano, G., Cabrera, A. and Matteoda, E., Hidrogeoquímica del acuífero freático en un agroecosistema y consideraciones sobre el cálculo de la línea de base de la calidad del agua. Proceedings of the VIII Congreso Latinoamericano de Hidrología subterránea, Paraguay, 2006, 25 P.
[47] Blarasin, M., Bécher-Quinodóz, F., Felizzia, J., Giuliano, J. and Cabrera, A., Hidrogeoquímica del acuífero freático, anomalías en nitratos y relación con valores de fondo natural, Justo Daract, San Luis. Proceedings of the 2° RAGSU, pp. 23-29, Bahía Blanca, Bs. As, 2012.
[48] Picone, L.I., Andreoli, E., Costa, J.L., Aparicio, V., Crespo, L., Nannini, J. and Tambascio, W., Evaluación de nitratos y bacterias coliformes en pozos de la Cuenca alta del Arroyo Pantanoso (Buenos Aires). Revista de Investigaciones Agropecuarias, 32(1), pp. 99-110, 2003. ISSN: 0325 - 8718
[49] Almasri, M.N., Nitrate contamination of groundwater: A conceptual management framework. Environmental Impact Assessment Review, 27, pp. 220-242, 2007. DOI: 10.1016/j.eiar.2006.11.002
[50] Buczko, U., Kuchenbuch, R.O. and Lennartz, B., Assessment of the predictive quality of simple indicator approaches for nitrate leaching from agricultural fields. Journal of Environmental Management, 91, pp. 1305-1315, 2010. DOI: 10.1016/j.jenvman.2010.02.007
[51] Baram, S., Kurtzman, D., Ronen, Z., Peeters, A. and Dahan, O., Assessing the impact of dairy waste lagoons on groundwater quality using a spatial analysis of vadose zone and groundwater information in a coastal phreatic aquifer. Journal of Environmental Management, 132, pp. 135-144, 2014. DOI: 10.1016/j.jenvman.2013.11.008
[52] Foster, S., Hirata, R., Gomes, D., D´Elia, M. and Paris, M., Protección de la calidad del agua subterránea. Guía para empresas de agua, autoridades municipalidades y agencias ambientales. Washington D.C., World Bank, 2002. ISBN: 84-8476-146-0.
[53] Chowdary, V.M., Rao, N.H. and Sarma, P.B.S., Decision support framework for assessment of non-point-source pollution of groundwater in large irrigation projects. Agricultural Water Management, 75, pp. 194-225, 2005. DOI: 10.1016/J.agwat.2004.12.013
[54] Rivett, M., Drewes, J., Barret, M., Chilton, J., Appleyard, S., Dieter, H.H., Wauchope, D. and Fastner, J., Chemicals: Health relevance, transport and attenuation. In: Schmoll, O., Howard, G., Chilton, J. and Chorus, I., (Eds.), Protecting groundwater for health: Managing the quality of drinking water sources. 1ª ed., Londres Seattle: World Health Organization-IWA, 2006.
[55] Costa, J.L., Massone, H., Martinez, D., Suero, E.E., Vidal, C.M. and Bedmar, F., Nitrate pollution of a rural aquifer and accumulation in the vadose zone. Agricultural Water Management, 57, pp. 33-47, 2002. DOI: 10.1016/S0378-3774(02)00036-7
[56] Kirchner, J.W., A double paradox in catchment hydrology and Geochemistry. Hydrological Processes, 17, pp. 871-874, 2003. DOI: 10.1002/hyp.5108.
Notes