Resumen: Se determinaron los límites operativos de intercambiabilidad con gas natural proveniente de distintas fuentes, de tal manera que no se afecte las propiedades físicas de los equipos de combustión ya instalados y se garantice un flujo de combustible eficiente y seguro. Se estudiaron las mezclas de gas natural recibidas en Antioquia (Colombia) en el período 2011-2015, obteniendo mezclas representativas de acuerdo a la clasificación de poder calorífico superior (PCS) alto, medio y bajo. Se calcularon las propiedades relacionadas con la intercambiabilidad utilizando el mecanismo GRIMECH 3.0. La velocidad de combustión laminar se calculó mediante simulación numérica y se midió utilizando la técnica Schlieren. Los índices de intercambiabilidad se validaron experimentalmente y se encontró que la intercambiabilidad no excede el 5,5% en comparación con el gas base. Por lo tanto, se puede concluir que no es necesario ajustar los diseños de los equipos de combustión cuando se utilizan estas mezclas.
Keywords: InterchangeabilityInterchangeability,natural gasnatural gas,Wobbe indexWobbe index,SchlierenSchlieren,combustion efficiencycombustion efficiency.
Abstract: The operating limits of interchangeability with natural gas coming from different sources were determined without affecting the combustion efficiency in equipments already installed. Mixtures of natural gas received in Antioquia (Colombia) between 2011-2015 were studied. High heating value of the mixtures were obtained by descriptive statistic. Interchangeability-related properties were calculated using the GRIMECH 3.0 mechanism. Laminar burning velocity was calculated by numerical simulation and measured using the Schlieren technique. Indexes of interchangeability were validated experimentally and it was found that the interchangeability does not exceed 5.5% compared to the base gas. Therefore, it can be concluded that it is not necessary to adjust the designs of the thermal devices when the mixtures are used.
Keywords: Interchangeability, natural gas, Wobbe index, Schlieren, combustion efficiency.
Palabras clave: intercambiabilidad, gas natural, índice de Wobbe, Schlieren, eficiencia de combustión
Artículos
Estudio teórico, numérico y experimental de la intercambiabilidad del gas natural en Antioquia
Theoretical, numerical and experimental study of interchangeability of natural gas in Antioquia
Received: 24 September 2018
Revised document received: 18 December 2018
Accepted: 11 February 2019
De acuerdo a un informe de la Unidad de Planeación Minero Energética (UPME), en el contexto internacional el gas natural presenta una alta demanda debido a sus bajos costos en comparación a otras fuentes energéticas. La producción mundial no convencional de gas pasó del 15% al 20%, entre los años 2010 y 2014, de la producción total de gas, y se estima que llegue a representar el 29% de la producción mundial de gas en 2030 [1]. El mercado de consumo de gas natural en el mundo se concentra en Europa, Norteamérica y Asia Pacífico, representando cerca del 83.8% de la producción global. Si bien la demanda ha crecido en todas las regiones, el incremento ha sido más notorio en regiones como Europa y Asia Pacífico, cuyo crecimiento en millones de pies cúbicos diarios (MMPCD) entre 1995 y 2005 fue de 18,625 y 18,315 respectivamente [1]. En Colombia los principales yacimientos de gas natural son Cusiana y Guajira. El gas natural de Guajira inició su explotación comercial en la década de los 70; y en la década de los 90 se construyó el gasoducto Ballena - Barranca que hizo posible la utilización de este gas en el interior del país. En el yacimiento de Cusiana el gas ha sido reinyectado al pozo para facilitar la salida del crudo pesado, lo que ocasiona un alto contenido de CO2. Para cumplir con la reglamentación de calidad del gas de Cusiana fue necesaria la instalación de una planta de procesamiento para reducir el contenido del CO2 y entregarlo al interior del país bajo condiciones aceptables de operatividad; sin embargo, entre los gases provenientes de Cusiana y Guajira existen diferencias representativas en su composición química, las cuales pueden impactar negativamente el funcionamiento de un artefacto operado con gas, al disminuir la eficiencia de la combustión [2].
La oferta de gas natural colombiano se encuentra plenamente identificada, con aportes muy importantes en las cuencas de los Llanos Orientales y la Guajira, seguidos por el valle inferior del Magdalena, Catatumbo y el valle superior del Magdalena. La cuenca de los Llanos orientales tuvo una producción de 1300 GBTUD durante el año 2014, con una proyección de 1000 GBTUD para el año 2023, mientras que la cuenca de la Guajira tuvo una producción de 600 GBTUD durante el año 2014 con una proyección de 250 GBTUD para el año 2023, lo que significa un descenso en la disponibilidad de gas natural para la cuenca de la Guajira de un 58% [3].
Igualmente, la Asociación Colombiana de Gas Natural indica que la producción de los pozos de Cusiana y Cupiagua de la cuenca de los Llanos Orientales tuvo un descenso en la producción desde 532 Mpcd en el año 2014 hasta 429 Mpcd en el 2015. Se estima que entre los años 2015 y 2023 se mantendrá una producción anual promedio de 448 Mpcd para los pozos de Ballena, Chuchupa y Riohacha, en la cuenca de la Guajira [4]. El pronóstico de producción entre los años 2014 a 2023 pasará de 501 Mpcd a 154 Mpcd respectivamente, lo que indica un descenso en la producción del 69%.
La intercambiabilidad de gases ha sido una preocupación en el contexto mundial desde los años 30, cuando el gas natural reemplazó el uso de gases manufacturados a partir de carbón y petróleo. Hoy, los quemadores modernos presentan una alta sensibilidad a la composición del gas y son menos tolerantes a las fluctuaciones de la composición, ya que los equipos son calibrados para funcionar con una calidad de gas especifica [5]. Para que dos gases sean intercambiables, se debe garantizar que la potencia de entrada al equipo de combustión no sufra variaciones significativas y que no se requiera de la realización de ajustes en el equipo [6].
El índice de Wobbe (IW) relaciona el poder calorífico superior (PCS) con la raíz cuadrada de la densidad relativa del combustible [7] y es un parámetro que se utiliza muy a menudo para caracterizar la intercambiabilidad de un combustible. Con esta relación se puede comparar el contenido de energía de un grupo combustibles para una configuración geométrica del inyector del quemador y presión de suministro determinadas. De esta manera, se asume que un combustible puede substituirse por otro sin necesidad de realizar cambios en los equipos de combustión, si ambos combustibles tienen índices de Wobbe muy similares.
Sin embargo, para garantizar que la intercambiabilidad de los combustibles no afectará el desempeño de los equipos de combustión, se hace necesario el análisis comparativo de varias propiedades de combustión, entre ellas la velocidad de deflagración laminar, que permitan determinar y caracterizar la ocurrencia de un conjunto de efectos fenomenológicos que inciden sobre condiciones operacionales de un equipo y la calidad de la combustión tales como retrocesos de llama y puntas amarillas [8].
Por tal motivo, se decidió realizar la presente investigación, cuyo propósito principal fue determinar la intercambiabilidad de los 2 tipos de gases naturales que son suministrados para Antioquia provenientes de las regiones de Guajira y Cusiana en equipos de combustión convencionales con quemadores de premezcla, en función de la variación de la composición química, utilizando como parámetro el IW.
Se seleccionó la estación de transferencia de custodia entre los transportadores de combustible del sistema central de Colombia, administrado por la Transportadora de gas Natural internacional T.G.I y el gasoducto regional administrado por Transmetano S.A. donde se realizaron mediciones minuto a minuto de la composición química del gas natural suministrado para Antioquia. En la estación se miden volúmenes diarios de hasta 32 Mpcd.
De la estación de transferencia de custodia se obtuvieron datos por cromatografía del periodo de muestreo desde el 01 de agosto de 2011 al 31 de julio de 2015. Los datos especifican la composición química del gas: % molar de nitrógeno (N2), dióxido de carbono (CO2), metano (CH4), etano (C2H6), propano (C3H8), iso-butano (C4H10), normal-butano (C4H10) y hexano (C6H14), así como valores de densidad absoluta y PCS consolidados diariamente. Con este procedimiento de muestreo se obtuvieron 23376 datos.
Del total de datos recopilados se clasificó la muestra cuya composición química presentó el porcentaje más alto de metano y se identificó como Gas Natural 1 “GN1”. Igualmente se identificó la muestra con porcentaje más bajo de metano y se identificó como Gas Natural 2 “GN2”.
Luego se definieron 21 mezclas, en las cuales se varió la proporción de GN1 y GN2 de 0% a 100%, calculando en cada una de ellas la composición resultante de cada especie química, con el fin de distribuir de manera porcentual la participación de cada componente químico con respecto a la capacidad calorífica de cada componente.
En la Tabla 1 se muestra las composiciones químicas de los GN1 y GN2.

Con la composición resultante de cada mezcla de los gases naturales 1 y 2 se calculó la densidad de cada mezcla y su PCS, lo cual permitió realizar una discretización de dicha propiedad en función de la densidad, obteniendo así unos intervalos que permitieron clasificar el gas natural en función de su densidad como lo muestra la Tabla 2.

La muestra para el periodo evaluado (01 de agosto del 2011 al 31 de julio de 2015) está formada por una matriz de 1461 filas (una fila por día) y 16 columnas (cada columna representa un componente de la composición química).
Esta información, debe reducirse a 3 filas y 16 columnas (cada fila corresponde a la composición del GN1, GN-Promedio y GN2 y cada columna a cada componente).
Se aplicó estadística descriptiva debido a la cantidad de datos y la definición de variables respecto al tiempo bajo la metodología de distribución espectral y series de tiempo. Los datos se caracterizaron según el promedio, desviación estándar, mediana, moda acotada al 20%, máximos y mínimos.
Se partió de las siguientes suposiciones: reacción estequiométrica, estabilidad (Flujo constante), difusividad térmica, reacción de oxidación y calor específico igual para todas las especies químicas.
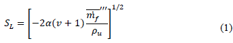
La ecuación (1) determina la velocidad de deflagración laminar (SL) en función de la tasa de consumo másico del combustible
, la cinética química (α), la difusividad térmica y las propiedades de transporte (ν), el coeficiente estequiométrico del oxidante, la composición de la mezcla reactiva y la densidad de la mezcla sin quemar (ρu), que involucra la presión y temperatura a la que se realiza el proceso:

Para poder determinar la velocidad de deflagración laminar es necesario calcular primero la temperatura de llama adiabática con la subrutina EQUIL debido a que se debe realizar un análisis de equilibrio químico, lo que servirá para corroborar los resultados finales en el cálculo de la deflagración laminar en el software CHEMKIN Pro ®; el cual es un software que permite resolver problemas complejos de cinética química; se utilizó el mecanismo de combustión Grimech 3.0 dado que permite reproducir la cinética del metano en 53 especies químicas y 325 reacciones elementales, permitiendo así la simulación completa de los elementos químicos pesados [9].
Como parámetros de entrada para el presente cálculo, se utilizaron las condiciones de T y P medias de Medellín - Colombia; con temperatura de 298K y presión estándar de 849 mbar y las composiciones químicas de cada mezcla de combustible.
Los parámetros de ingreso en la subrutina EQUIL fueron: temperatura de llama inicial estimada en 2000K debido a que las temperaturas de llama adiabática son altas [10], condiciones del problema a presión y entalpia constante, aire seco como agente oxidante y los productos de una combustión estequiométrica completa definidos como CO2, H2O y N2.
Las simulaciones numéricas se realizaron de forma paramétrica e incremental con respecto al dosado (ϕ), con el fin de obtener la curva de temperatura desde una condición de mezcla pobre de ϕ=0.8, hasta una condición de mezcla rica de dosado mayor que uno (ϕ=1.2) [11].
La velocidad de deflagración laminar se obtuvo a partir de la subrutina PREMIX del software CHEMKIN Pro ®, con los datos de entrada de la Tabla 3, el cual permite simular la velocidad de deflagración laminar mediante un modelo de llama plana estacionaria, unidimensional y adiabática, que resuelve todas las ecuaciónes de transporte [10], generando información de la composición química y la evolución de las especies intermedias. Igualmente, permite predecir los perfiles de temperatura de llama libremente propagada y realizar análisis de sensibilidad.

El montaje experimental para la aplicación de la técnica Schlieren [12] comprende un sistema óptico de varios lentes ubicados a distancias específicas donde se utiliza el índice de refracción. Los rayos de luz son obligados a pasar por un filo cortante, donde finalmente es capturado por una cámara que permite obtener una grabación del perfil de llama en imágenes a blanco y negro que permiten observar los puntos de gradientes de densidad.
Se ubicó una fuente de luz con un bombillo tipo HID (lampara de descarga de alta densidad) de 8000K conectado a un balastro y batería para el suministro de energía. Una vez se ubicó la fuente de luz, se instaló una placa con orifico para concentrar la luz en un punto del área del juego de lentes, después se instalaron 2 lentes plano-convexos de 2 pulgadas de diámetro y un foco de 250 milímetros. Como fue necesario darle un giro de 45° al haz de luz, se instaló un porta lente donde se colocó una lente biconvexa de 2 pulgadas de diámetro y un foco de 33,8 milímetros el cual permitió ajustar la dirección y el ángulo del haz de luz a los puntos deseados. Posteriormente se ajustó el quemador a la altura y distancia requerida, de tal forma que se pudiera observar el frente de llama seguido por otra lente convexa de 2 pulgadas de diámetro y un foco de 250 milímetros para enfocar el haz de luz a un filo cortante ajustable que permitió centrar los rayos de luz hacia la lente de la cámara. Este montaje se ilustra en la Figura 1. La cámara utilizada fue una ICCD (Intensifier Charge-Coupled Device) de referencia PI-MAX IK RB FG 4, provista de un captador CCD de 1024x1024, con capacidad de capturar 0,9 cuadros por segundo a máxima resolución.

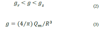
La observación de retrollama, desprendimientos y emisiones se realizó en un quemador de premezcla tipo bunsen. Se partió de los flujos medidos y calibrados previamente en el banco de rotámetros para cada tipo de gas natural y a diferentes velocidades de deflagración se observó el comportamiento de la llama hasta que esta presentara un fenómeno crítico de retrollama o desprendimiento [13]. Dicho gradiente crítico se registró y se repitió al menos 3 veces para garantizar el punto de medición y posición del gradiente. Las condiciones de laboratorio utilizadas en esta prueba fueron realizadas en Medellín - Colombia a una temperatura ambiente de 295K, presion atmosférica de 849mbar, diámetro del puerto para desprendimiento de 8.1 mm y diámetro del puerto para retrollama de 17.2 mm.
Se aplicó la teoría de Lewis-Von Elbe [11] definida por los límites gradientes en las ecuaciónes 2 y 3, siendo Qm el caudal de la premezcla, gr el gradiente crítico de retrollama, gs el gradiente crítico de desprendimiento y R el radio de la tubería:

Para la observacion de emisiones se utilizó un analizador comercial SICK MAIHAK S710 para medir las concentraciones de CO2, CO y O2 en los productos de combustión. Este dispositivo utiliza el método de infrarrojo no dispersivo para el CO y CO2 con un rango de medición de 0-40000 ppm y 0-40 %vol, respectivamente. Para el O2 se utilizó el método paramagnético.
Se aplicó la ecuación 4 para el índice de Wobbe que define la relación del poder calorífico respecto a la raiz cuadrada de la densidad, la ecuación 5 para el índice de Weaver (JH) y la ecuación 6 para la tasa de aireación de la combustión (JA), donde H representa la tasa de calor, D es la densidad, A es el suministro de aire y el subíndice (a) representa el estado inicial de la composición.

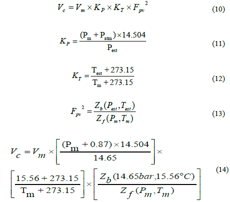
Se calculó el factor de compresibilidad AGA 8 en función de la temperatura, la presión y la composición química del combustible [14] partiendo de la formula general de la Ecuación 7 donde Z es el factor de compresibilidad, P es la presión absoluta del gas, V el volumen del gas, n el número de moles, R la constante universal de los gases y T la temperatura del gas. Se determinó la masa molar con la Ecuación 8 donde Mr es la masa molar y Xi son las cantidades de cada componente de la composición química; para así poder expresar la densidad de la mezcla de gas natural en términos del factor de compresibilidad con la Ecuación 9, descritas en el reporte AGA 8. [15].

Se aplicó el factor de supercompresibilidad para cada uno de los gases; lo que implicó hallar los factores de presión, temperatura y correcciones de volumen mediante las Ecuaciónes 10 - 14 para así calcular el factor de compresibilidad detallado para cada tipo de gas y cada componente de la composición química.

Se obtuvo inicialmente la caracterización del tipo de gas de acuerdo a la clasificación en función del PCS, con el fin de observar el comportamiento en el tiempo del tipo de gas recibido en Antioquia durante el periodo evaluado desde el 01 de agosto de 2011 al 31 de Julio de 2015.
Como se observa en la Fig. 2, en 2011 el PCS y la composición química del gas natural eran mucho más estables y definidos, permitiendo así el diseño, calibración y funcionamiento de gasodomésticos de forma más eficiente respecto al proceso de combustión. La alta variabilidad del PCS del gas natural presentada entre 2013 y 2015 evidencia la extracción de dicho energético de diferentes fuentes, presentando alteraciones en la composición química del mismo.

La tendencia encontrada en el periodo muestral, refleja que cada vez es más predominante el gas natural de PCS alto y medio respecto al bajo, es decir, gases con densidades y concentraciones de metano (CH4) menores y concentraciones de etano (C2H6) y propano (C3H8) mayores.
Una vez establecida la correlación entre el PCS y el índice de Wobbe, y definidas las series de tiempo del total de la muestra, se aplicó la formulación descrita en la sección 2.3 para el análisis estadístico y se encontró como parámetro más acertado los resultados obtenidos utilizando la mediana, en comparación con el promedio, media acotada, varianza y moda.
De acuerdo con lo anterior, se obtuvieron las mezclas representativas para cada tipo de gas natural. En la Tabla 4 se detalla la composición química para cada una de ellas; la obtención de las mezclas de gas natural experimental, se realizó en una de las estaciones de la ciudad con análisis de cromatografía en línea; garantizando la mayor precisión para los principales elementos como son el metano (CH4), etano (C2H6) y propano (C3H8) como se observa en la Tabla 4.

Con respecto a la temperatura de llama adiabática no se obtuvieron diferencias muy apreciables para las mezclas evaluadas. Las mezclas pertenecen a la segunda familia de los hidrocarburos y la variación del metano es menor al 10% entre las mezclas extremas evaluadas, por lo que la composición no alcanza a afectar dicha propiedad en este estudio.


En la Fig. 3 se observa como el comportamiento de las 3 mezclas representativas y la mezcla base, son idénticas para todos los dosados con una desviación máxima del 0.5%.
En cuanto a la velocidad de deflagración laminar para los dosados definidos, se encontró que la tendencia es similar entre los resultados numéricos y experimentales como se observa en la Figura 4, obteniendo una mayor velocidad en la fase experimental a partir de factores de equivalencia mayores a ɸ= 1,0. Los resultados experimentales para un gas natural con (PCS) bajo confirman los resultados numéricos para dosados cercanos al punto estequiométrico. Aunque la tendencia de la curva es la misma en los resultados numéricos y experimentales, los extremos del resultado experimental presentan una velocidad de deflagración baja para mezclas pobres (ɸ < 1.0) y velocidades mayores para mezclas ligeramante ricas (ɸ > 1.0). Para el gas natural con (PCS) medio se logró evidenciar que los resultados experimentales confirman de una manera muy aproximada los resultados obtenidos con la simulación numérica, describiendo un comportamiento simétrico en todo el factor de equivalencia.

Para mezclas estequiométricas (ɸ = 1), se encontró que las reacciones más sensibles y que presentan mayor influencia en la composición de los productos son las identificadas como CH2O+CH3=HCO+CH4 (R38) y H202+H=H2O+OH (R52) del GRIMECH 3.0, denominados como los formaldehídos, perturbando en mayor grado las condiciones de los reactivsos en todas las composiciones de gas natural. En la Figura 5 se observa que la reacción CH2O+CH3=HCO+CH4 (R38) tiene en su cadena de productos presencia de CH4, descomponiendo el CH2O y generando HCO; lo que permite una mayor tasa de liberación de calor en el frente de llama dando como resultado un aumento en la velocidad de llama [16]. El efecto negativo de la reacción H202+H=H2O+OH (R52), está dado por la presencia de H2O en los productos de la reacción, los cuales afectan la propagación de la velocidad de deflagración laminar dado que su efecto es inverso en mezclas con alto contenido de metano [17]. La presencia de H2O en los reactivos, puede ser utilizada para varios fines, tanto positivos como negativos, ya que reduce la emission de contaminantes, pero disminuye la concentración de oxígeno disponible, disminuyendo notablemente la temperatura de llama [18].
El comportamiento de la retrollama en el gradiente crítico de cada dosado presentó un movimiento circular e inestable en toda la pared interna del quemador, el cual de manera repetitiva intentó introducirse al interior del quemador, pero sin apagarse. Esto es debido a que al reducir el caudal de la premezcla la velocidad de deflagración se hace mayor que la velocidad de flujo [13]. En la figura 6 se ilustran los gradientes críticos de retrollama para el gas natural con poder calorífico bajo y gas natural con poder calorífico medio. Se encontró un comportamiento similar al del metano [19], en donde los gradientes críticos en función de la tasa de aireación definen una llama estable por debajo de los 200 seg-1 y un fenómeno de retrollama por encima de gradientes de 200 seg-1.

En la Fig. 7 se ilustran los gradientes críticos para el desprendimiento de llama para el gas natural con poder calorífico bajo y metano al 98,07%, y gas natural con poder calorífico medio y metano al 88,89%, encontrando como los gases evaluados se ubican dentro de la región del desprendimiento de llama para un hidrocarburo 100% metano [19], en donde los gradientes críticos están en función de la tasa de aireación con gradientes por encima de los 1200 seg-1.

Con respecto a la producción de CO2, CO y O2 en la combustión del gas natural con PCS bajo y el gas natural con PCS medio, a diferentes dosados, se encontró que para el gas natural con PCS medio existió más producción de dióxido de carbono (CO2) que lo encontrado para el gas natural con PCS bajo. Las emisiones de oxigeno (O2), fueron mayores para el gas natural con PCS bajo comparadas con el gas natural con (PCS) medio, posiblemente debido a los efectos que produce la concentración de propano y etano en la mezcla de gas natural con poder calorífico medio, aumentando la producción de CO2 y consumiendo mayor oxígeno durante el desarrollo de la combustión, maximizando así la generación energética. En la Fig. 8 se observa que la variación entre ellos está comprendida entre el 18% y el 24% y ninguno excede el 3% de producción de CO2, siendo menor para el punto estequiométrico y mayor para el dosado igual a 0,9; condición extrema para el gas natural con PCS bajo en cuanto a relación aire - combustible se refiere.

En la Fig. 9 se muestran los resultados obtenidos en cuanto a la producción de monóxido de carbono producto de la combustión del gas natural con PCS bajo y el gas natural con PCS medio; se encuentra una diferencia en el punto estequiométrico entre los dos gases, evidenciándose una mayor producción de monóxido de carbono en el gas con PCS medio. Esto último es dado principalmente por la mayor temperatura de llama, lo que representa un mayor contenido energético favoreciendo la producción de monóxido de carbono por disociación de CO2. Lo anterior constituye una desventaja desde el punto de vista de emisiones, pero una oportunidad de obtener un mayor contenido energético controlando la emisión de monóxido de carbono y manteniéndolo dentro de los límites permitidos según normatividad vigente.

Se obtuvo el índice de Wobbe para cada mezcla, según se muestra en la Fig. 10. La variación del índice de Wobbe no excedió el 5,5% entre cada una de las mezclas, representando un resultado muy favorable para el gas natural en Antioquia, lo que permite concluir que existe un alto grado de intercambiabilidad en cuanto a la composición química se refiere.

Se calcularon los índices de Weaver utilizando las ecuaciones descritas en la sección 2 obteniendo la intercambiabilidad con respecto a la generación de calor y con respecto a suministro de aire para combustion, dando como resultado para las mezclas con PCS bajo y PCS alto resultados satisfactorios en cuanto a la generación de calor de 1,04 y en cuanto al suministro de aire de 1,09. Lo anterior representa que dichas mezclas cumplen criterios de intercambiabilidad, ya que según la condición del índice de Weaver dicho resultado debe ser igual a 1,0 [20], para considerar que dichas mezclas sean intercambiables entre sí.
En cuanto al factor de compresibilidad definido en el AGA 8, se determinó la relación de la presión y la temperatura en cuanto a los efectos producidos sobre una partícula de gas natural en función de su composición química a condiciones estándar y condiciones reales [15]. Se calculó dicho factor para PCS bajo y PCS medio mediante el programa MATLAB, usando las ecuaciónes descritas en la sección 2, variando la temperatura y presión de ambos gases. Se obtuvo un factor de compresibilidad para el gas natural con PCS bajo de 0,998 y para el gas natural con PCS medio de 0.997, lo que representa una variación despreciable en cuanto a intercambiabilidad se refiere. Los resultados se ilustran en la Fig. 11.

Con respecto a los gases naturales de PCS medio y alto, se evidenció un cambio sustancial en el comportamiento de la velocidad de deflagración laminar para los dosados definidos, debido a que el máximo de la velocidad de deflagración laminar del gas natural base se presenta cerca al dosado estequiométrico (dosado relativo de 0.95 aproximadamente) y para los gases naturales con PCS medio y alto la máxima velocidad de deflagración se alcanza para dosados ligeramente ricos, cercanos a 1.1.
En términos de intercambiabilidad, se puede afirmar que las composiciones evaluadas en la simulación numérica respecto a la velocidad de deflagración laminar cumplen con los rangos esperados (27 a 41 cm/seg), con una diferencia en su límite mayor del 16% de las composiciones respecto al gas natural base en dosados de 0,8; Sin embargo, se debe aclarar que la determinación de la misma depende no solo de dicha propiedad, sino de la incidencia que esta pueda tener en los componentes químicos y la variación del poder calorífico de cada mezcla en particular.
Con los resultados obtenidos numéricamente mediante la simulación, se puede asumir que el comportamiento descrito por el gas natural con PCS medio será igual para el gas natural con PCS alto en cuanto a velocidad de deflagración laminar se refiere, puesto que los datos de uno con respecto al otro tienen una desviación estándar de 0,55 como máximo valor de manera simétrica en los dosados simulados.
Podemos afirmar que de acuerdo a los resultados obtenidos numéricamente y validados con el procedimiento experimental, los gases naturales con PCS alto, medio y bajo seleccionados en el presente estudio, son intercambiables entre sí en cuanto a temperatura de llama adiabática y velocidad de deflagración laminar se refiere, puesto que los resultados para dichas propiedades, para todos los gases, se encuentran contenidos en una sección muy estrecha y relacionada entre sí para los dosados evaluados; adicionalmente todos los resultados para los gases evaluados coinciden de una manera casi exacta en el punto estequiométrico.
Sin embargo, se debe hacer claridad que si bien existe intercambiabilidad entre los tres gases de acuerdo a los resultados ya expuestos, esto no garantiza la combustión eficiente de la misma o la no aparición de efectos fenomenológicos indeseables, por lo que se hace necesario validar los demás criterios en cuanto a intercambiabilidad de gases se refiere como son los índices de Wobbe, Weaver y AGA.
La emisión de monóxido de carbono en el gas con PCS medio es controlable y se puede disminuir variando el factor de aireación en la premezcla; sin embargo, se debe tener en cuenta que al reducir dicho factor igualmente afecta de forma negativa el contenido energético del mismo.
Respecto al gas natural con PCS bajo, la producción de monóxido de carbono se puede considerar estable en los diferentes dosados evaluados, dado que dicha producción está comprendida entre las 47 ppm y 51 ppm. Lo que significa según la normatividad colombiana vigente, estándares normales y aceptables.
En cuanto a las emisiones medidas en el laboratorio, se encontró que las variaciones en el dióxido de carbono (CO2) y monóxido de carbono (CO) no son significativos entre el gas natural con PCS bajo y el gas natural con PCS medio, debido a que las variaciones en los valores evaluados tienen un promedio del 13% y se explican claramente con la variación del contenido energético de cada mezcla. Dado lo anterior se concluye que la operatividad de los equipos de combustión, no se ve comprometido con el suministro de dichos combustibles.
Al aplicar los índices de intercambiabilidad se encontró que la variación del índice de Wobbe no excede el 5,5% entre cada una de las mezclas representativas; logrando así un alto grado de intercambiabilidad dado que, según la literatura para el índice de Wobbe en mezclas de gas natural, es aceptable porcentajes mucho más altos de intercambiabilidad como lo registra México en 9.5%, Australia en 11,54%, Alemania en 18,48% Unión Europea y Reino Unido en 13,35% [21].
Los autores agradecen a la Universidad de Antioquia el apoyo brindado a esta investigación a través del “Programa de Sostenibilidad de Grupos de Investigación 2018-2019”














