Artículos
An approximation of behind-casing hydraulic conductivity between layers from transient pressure analysis
Aproximación a la conductividad hidráulica de flujo detrás del revestimiento entre capas de pruebas de presión
An approximation of behind-casing hydraulic conductivity between layers from transient pressure analysis
DYNA, vol. 86, no. 210, pp. 108-114, 2019
Universidad Nacional de Colombia
Received: 10 December 2018
Revised document received: 04 June 2019
Accepted: 10 June 2019
Abstract: Flow behind the casing has normally been identified and quantified using production logging tools. Very few applications of pressure transient analysis, which is much cheaper, have been devoted to determining compromised cemented zones. In this work, a methodology for a well test interpretation for determining conductivity behind the casing is developed. It provided good results with synthetic examples.
Keywords: radial flow, linear flow, TDS technique, pressure derivative.
Resumen: El flujo detrás del revestimiento se ha identificado y cuantificado normalmente utilizando herramientas de registro de producción. Se han efectuado muy pocos desarrollos de análisis de presión transitoria, que son mucho más baratas, para la determinación de zonas cementadas comprometidas. En este trabajo, se desarrolla una metodología para la interpretación de las pruebas de pozo para la determinación de la conductividad detrás del revestimiento y se prueba con buenos resultados con ejemplos sintéticos.
Palabras clave: flujo radial, flujo lineal, técnica TDS, derivada de presión.
1. Introduction
Determining cement integrity has long been a challenge in the oil industry. Production logging tools have been the most useful tools for finding compromised cement zones where cross-flow behind the casing takes place. Among these methods, [10] presented a thermal neutron log decay tool for gamma ray detection so water saturation in cased holes could be evaluated. [1] measured the acoustic behavior of flow behind pipes in commingled reservoirs with different pressures. [2] provided a radial differential temperature (RDT) logging tool to measure variations in temperature inside the casing wall affected by thermal properties and fluid movement. [6] used oxygen activation to determine water-flow velocity behind the casing.
Very few works are found for determining fluid flow behind the casing using transient pressure analysis. [5] presented some numerical simulation results to monitor flow behind the casing using the pressure derivative versus the time log-log plot. They did not quantify the amount of flow between the layers. [7] presented an excellent analytical model to quantify flow behind the casing and measure well-flowing pressure in each layer. Later, [8] used the model introduced by [7] to present some pressure derivative behavior and establish the effect of flow capacity contrast on the pressure derivative behavior in both layers. He also provided two field examples in which interpretation was performed by non-linear regression analysis.
However, an easy-to-use methodology for interpretation of pressure tests when flow behind the casing takes place does not yet exist. In this work, the model presented by [7] is used, so pressure derivative behaviors were studied under the three scenarios considered by [8], so unique features found on the pressure derivative plot were used and expressions for the estimation of the conductivity behind the casing were developed and successfully tested with synthetic examples. It has been demonstrated that the TDS technique, [9], is very practical and efficient for well-test interpretation. A summary of its use has been recently introduced by [3]. They reported many cases where the TDS technique, [9], provided accurate and practical results. The latest application of TDS Technique was devoted to horizontal wells in sensitive-stress reservoirs [4], respectively.
2. Mathematical Model
The mathematical model presented by [8] is given in the Laplacian domain as:
(1)
(2)
(3)
(4)
(5)
(6)
(7)
(8)
(9)
(10)
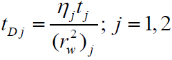
(11)The dimensionless parameters are defined by:
(12)
(13)
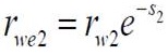
(14)As observed from the model, the interpretation requires simultaneously recording well pressure from the two adjacent layers that are isolated along the wellbore, as depicted in Fig. 1.

3. Transient pressure behavior
Eqs. (6) and (9) provide the well-flowing pressure at layers 1 and 2 as sketched in the solution system of Fig. 1. When cement is compromised so fluid can flow behind the casing from the underlying layer (layer 2) to the producing layer (layer 1), a simultaneous effect of a radial flow regime on the horizontal plane and a linear flow regime along the vertical axes (behind the casing) is expected to develop during the middle-time flow period, as depicted in Fig. 2.

This combination of the radial and linear flow regime, called here radi-linear (RL) flow regime, has a non-zero slope on the late-time of the pressure-derivative curve. The inclination of the slope is positive when flow leaves the layer and negative when the flow enters or feeds the layer.
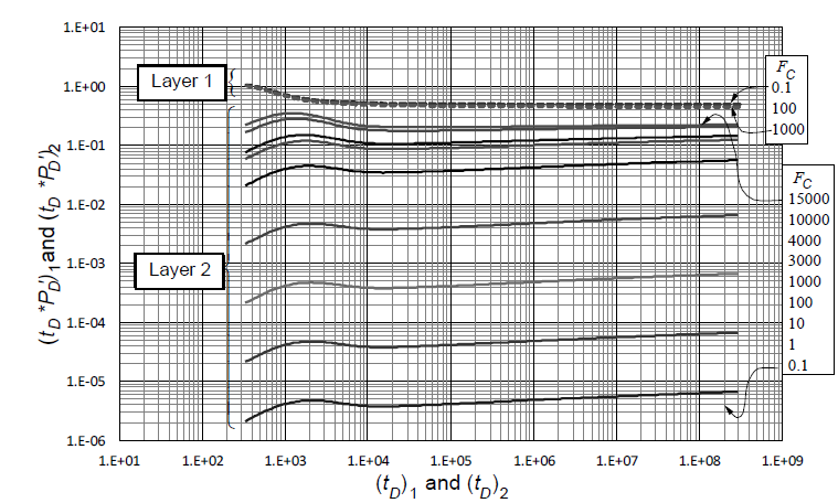
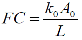
It is also important to point out that as flow capacity or conductivity along the cement shaft change so does the slope of the pressure derivative. In other words, several values of pressure-derivative slopes can be observed leading to several mathematical flow behaviors. If a single slope was developed, the interpretation would be much easier. The pressure behavior is also a function of the flow-capacity, kh, contrast between the two layers. Therefore, there are three possible scenarios of pressure behavior depending upon the flow-capacity contrast. For instance, when k2h2 > k1h1 (refer to Fig. 3), the radi-linear flow regime sees conductivity values up to 200 md-ft (although shown 100 md-ft in the plot) in layer 2, and the slope of the pressure derivative is positive. For values higher than 200 md-ft, not shown in the plot, the pressure derivative becomes flat. Then, for values between 200 and 4000 md-ft, changes in the slope of the pressure derivative are observed on the producing layer (layer 1). However, the slope is negative because the layer is being fed by fluid.

Fig. 4 shows no contrast in flow capacity, k2h2 = k1h1. Layer 1 always displays a flat pressure derivative, indicating that the pressure derivative measurements of layer 1 cannot be interpreted. A positive pressure-derivative slope is observed during the middle time period. As conductivity increases, the slope of the pressure derivative slowly decreases after about 15000 md-ft. Values of conductivity greater than that provide a flat pressure derivative, so conductivity can no longer be predicted.


The last scenario considers k2h2 < k1h1, as reported in Fig. 5. Notice that there are no changes in the slope of the pressure derivative in layer 1 for any value of conductivity, and small changes are only observed in layer 2 for conductivity values less than 200 md-ft.
4. Pressure derivative analysis interpretation
The interpretation methodology presented here follows the philosophy of the TDS Technique, Tiab (1995), to develop expressions from characteristic points. In this case, the slope of the pressure derivative curve becomes the characteristic feature. As mentioned before, the slope of the pressure derivative is a function of the layers’ flow capacity and the behind-casing conductivity. Then, the equations were grouped according to an approximated-pressure derivative slope. Once flow behind the casing is suspected, the pressure derivatives from the two recorders are plotted and, depending on each scenario, the slope will determine the equation to be used.
4.1. Case 1 - k2h2 > k1h1
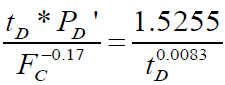
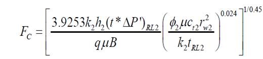
When FC ≤ 20 at layer 2, the average slope value for this group of conductivities is 0.0411. The following empirical expression, with a correlation coefficient 0f 0.999927, was obtained:
(15)After plugging in the dimensionless quantities given by Equations (11) and (14), solving for the behind-casing conductivity yields:
(16)All the developed expressions in this work have a correlation coefficient of 0.999927. When 20 < FC ≤ 200 at layer 2, the following fit equation was obtained:
(17)By the same token, Equation (16), it yields:
(18)It is difficult to distinguish between the slopes of Equations (16) and (18). However, it is recommended
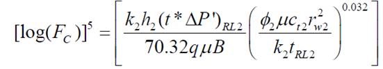
A fit equation, with a correlation coefficient of -1, for 200 < FC ≤ 3000 at layer 1 was obtained:
(19)Replacing the dimensionless quantities and solving for the conductivity yielded,
(20)A fit equation, with a correlation coefficient of 0.9999, for 3000 < FC ≤ 5000 at layer 1 also gave:
(21)After replacing the dimensionless quantities for layer 1 given by Equations (12) and (14), the following expression was obtained:
(22)4.2. Case 2 - k2h2 = k1h1
Since the pressure derivative at layer 1 does not register any change, all the expressions were developed following the same procedure used in case 1 only for layer 2 in order to obtain conductivity expressions:
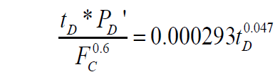
when FC ≤ 200, the correlation coefficient is 0.99994, and the obtained fitted expression is:
(23)
(24)The correlation coefficient is 0.999929 for 200 < FC ≤ 1000, and the fitted expression is:
(25)
(26)For 1000 < FC ≤ 4000, the correlation coefficient is 0.99988 and the fit is:
(27)
(28)A correlation coefficient of 0.99984 was found for 4000 < FC ≤ 7000, the fit is given by;
(29)
(30)For 7000 < FC ≤ 15000, the correlation coefficient is 0.99975
(31)
(32)4.3. Case 3 - k2h2< k1h1
Because only pressure-derivative changes were presented at layer 2, only expressions for this layer were developed:
For FC ≤ 1, R2 = 0 0.999908,
(33)
(34)For 1< FC ≤ 10, R2 = 0 0.99998,
(35)
(36)For 10 < FC ≤ 20,
(37)
(38)When the pressure-derivative data present noise, it is recommended to draw a line throughout the points of interest (along the radi-linear flow regime) and to read the value of the pressure derivative at the time of 1 hr. An average value is then obtained, and the expression is easier to use. For instance, Equation (38) will become:
(39)5. Examples
[8] provided two field examples. However, most reservoir and fluid information is incomplete, making it impossible to provide actual field data. Therefore, only synthetic examples are provided.
5.1. Synthetic example 1
Using the information, a simulated test was performed by [7] for a case where the flow capacity of the layer 2 was greater than that of layer 1. Data used for the simulation is given in the second column of Table 1. Pressure and pressure derivative versus time are provided in Fig. 6. Find the conductivity behind the casing.

Solution. The below information was obtained from Fig. 6.
tRL2 = 9.12 hr (t*(P’)RL2 = 0.00631 psim = 0.041
Because the closest slope corresponds to Equation (16), this expression is used to estimate the conductivity:

5.2. Synthetic example 2
Another synthetic example for equal flow-capacity layers was run with data from the third column of Table 1. Pressure and pressure derivative data versus time data are plotted in Fig. 7.
Solution. The below information was obtained from Fig. 7. Equation (24) is used since the closest slope is 0.047.
tRL = 110 hr (t*(P’)RL2 = 0.0000195 psi m = 0.052



5.3. Synthetic example 3
This simulated example was run with data from the fourth column of Table 1 for a case when the flow capacity of layer 1 is greater than the flow capacity of layer 2. Pressure and pressure derivative data versus time data are reported in Fig. 8.
Solution. The following information was read from Fig. 8.
(t*(P’)RL2 = 2.27 psim = 0.038
Notice that the found slope leads to using Equation (36) but at a time of 1 hr, so that:


6. Comments on the results
As observed, a classification of three cases was performed depending upon the contrast in flow capacity: a) layer 1 has higher flow capacity than layer 2, b) layer 1 has lower flow capacity than layer 1, and c) both layers have same flow capacity. Therefore, one example is presented for each case. Although, [8] presents several examples of actual field data concerning flow behind the casing, they do not supply additional information of fluid, well and reservoir parameters, then, it was not possible to test the formulated methodology with a real field example. In all the synthetic examples the value of estimated hydraulic conductivity of the cement behind the casing provided very well results compared to the initially assumed values for the simulations: 20, 0.1 and 10 md-ft for examples 1, 2 and 3, respectively. In the worked examples, the obtained conductivity values match well with those used as input data. The absolute deviation errors were 1.76, 0.4 and 3.6%, as reported in Table 1, which are very well acceptable values in well test analysis.
7. Conclusions



References
Bakulin, A. and Korneev, V., Acoustic signatures of cross-flow behind casing: downhole monitoring experiment at teapot dome. Society of Exploration Geophysicists. Jan. 2001 DOI: 10.1190/1.2792430..
Cooke, C.E., Radial Differential Temperature (RDT) logging - A new tool for detecting and treating flow behind casing. Society of Petroleum Engineers. Jun. 1979. DOI: 10.2118/7558-PA..
Escobar, F.H., Jongkittnarukorn, K. and Hernandez, C.M., The power of TDS technique for well test interpretation: a short review. Journal of Petroleum Exploration and Production Technology, 9(1), pp. 731-752, 2019.ISSN 2190-0566. DOI: 10.1007/s13202-018-0517-5.
Escobar, F.H., Zhao, Y.L., Urazan, C. and Trujillo, C.M., Pressure and pressure derivative interpretation for horizontal wells in compressible formations. Journal of Geophysics and Engineering. 15. pp. 1551-1560, 2018. ISBN 1742-2140. DOI: 10.1088/1742-2140/aaadc9.
Kremenetskiy, M.I., Ipatov, A.I. and Kokurina, V., Well-test interpretation in case of behind-the-casing crossflow. Society of Petroleum Engineers. In: SPE Russian Oil and Gas Technical Conference and Exhibition, 28-30 October, Moscow, Russia, 2008. DOI: 10.2118/115323-MS. Jan. 2008.
McKeon, D.C., Scott, H.D., Olesen, J.-R., Patton, G.L. and Mitchell, R.J., Improved oxygen-activation method for determining water flow behind casing. Society of Petroleum Engineers, 6(03), 1991. DOI: 10.2118/20586-PA
Rahman, N.M.A., Measuring behind casing hydraulic conductivity between reservoir layers. US patent and Trademark Office. Patent Application Number 14/182.430. 2014.
Rahman, N.M.A, Bin-Akresh, S.A. and Al-Thawad, F.M., Diagnosis and characterization of cross flow behind casing from transient-pressure tests. Society of Petroleum Engineers. In: SPE Annual Technical Conference and Exhibition, 28-30 September, Houston, Texas, USA, 2015. DOI: 10.2118/174999-MS
Tiab, D., Analysis of pressure and pressure derivative without type-curve matching: 1- skin and wellbore storage. Journal of Petroleum Science and Engineering, 12, pp. 171-181, 1995. DOI: 10.1016/0920-4105(95)00064-X
Wahl, J.S., Nelligan, W.B., Frentrop, A.H., Johnstone, C.W. and Schwartz, R.J., The thermal neutron decay time log. Society of Petroleum Engineers Journal, 10(04), 1970. DOI: 10.2118/2252-PA
Notes