Artículos
Effect of edible coatings of polysaccharide-protein-lipid structure on andean blackberry
Efecto de recubrimientos comestibles de estructura polisacárido-proteína-lípido sobre mora de castilla
Effect of edible coatings of polysaccharide-protein-lipid structure on andean blackberry
DYNA, vol. 86, no. 211, pp. 199-207, 2019
Universidad Nacional de Colombia
Received: 18 June 2018
Revised document received: 12 April 2019
Accepted: 10 May 2019
Abstract: Edible coatings (EC) have shown advantages in fruit preservation. The influence of an EC based on a polysaccharide-protein-lipid structure (Cassava starch: CS, whey protein: WP, and beeswax: BW), glycerol (G), stearic acid (SA) and chitosan (CH), on texture and weight loos of blackberry stored at 4 and 25 °C was evaluated. A composite central design was used considering the independent variables: CS (3.0-3.5%), WP (0.5-1.5%), BW (0.0-0.5%). The experimental optimization defined the formulation: CS (3.50%), WP (1.16%), BW (0.47%); and CH (0.5-1.0%) was added again evaluating the fruit during storage until visual infection was observed. Results indicated that the best concentration of CH (0.75%) did not present visual infection until day 10 of storage at 4 °C and reduce weight loss with respect to other treatments.
Keywords: Rubus glaucus Benth, antioxidant activity, edible coatings, visual infection.
Resumen: Los recubrimientos comestibles (RC) han mostrado ventajas en la conservación de frutas. Se evaluó la influencia de un RC a base de una estructura polisacárido-proteína-lípido (Almidón de yuca: AY; proteína de suero lácteo: PSL y cera de abejas: CA), glicerol (G), ácido esteárico (AE) y quitosano (Q), sobre la textura y pérdida de peso de la mora de Castilla almacenada a 4 y 25 °C. Se utilizó un diseño central compuesto considerando las variables independientes: AY (3,0-3,5%), PSL (0,5-1,5%) y CA (0,0-0,5%). La optimización experimental definió la formulación: AY (3,50%), PSL (1,16%), CA (0,47%); y se le adicionó Q (0,5-1,0%) evaluando nuevamente la fruta durante el almacenamiento hasta cuando se observó infección visual. Los resultados indicaron que la mejor concentración de Q (0,75%) al no presentar infección visual hasta el día 10 de almacenamiento a 4 °C y reducir la pérdida de peso con respecto a los otros tratamientos.
Palabras clave: Rubus glaucus Benth, actividad antioxidante, recubrimientos comestibles, infección visual.
1. Introduction
In recent years, consumers have been changing eating habits, looking for natural, fresh and healthy foods that provide the basic nutrients required; in addition to components with physiological activity that contribute to preventing some diseases or improving both physical and mental health [1]. The modern consumer demands more and more food with less chemical additives [2] and has increased the consumption of fruits and vegetables, natural sources of active compounds articulated within the range of functional foods.
Andean blackberry (Rubus glaucus Benth) is a fruit native to the Andes and tropical areas, mainly in countries such as Colombia and Ecuador, and is one of the main sources of income and rural employment [1,3-5]. It is a fruit of great relevance at present, very desirable in international markets such as North America and the European Union [6] due to its high nutritional value for being a natural source of bioactive and dietary components; with antioxidant activity contributed by its content in polyphenols, benzoic acid, hydroxycinnamic acid, flavonoids, ellagic acid, tannins, ellagitannins, quercitin, gallic acid, anthocyanins and cyanidins [1,3,4,7,8], which contribute to the prevention of degenerative diseases [6,9]. In addition, anthocyanins provide attractive colors that, together with juiciness, aroma and flavor, make it an appealing fruit in agro-industrial sector [3,4,6].
Andean blackberry is a non-climacteric fruit with a high water content (90-91%), fragile skin or low mechanical resistance; in addition, it presents continuous physicochemical and firmness changes that affect acceptability and quality of the fruit during storage [7]. This situation makes it a highly perishable fruit, susceptible to fungal contamination and with a shelf life between 3 to 5 days at T≤4 °C [10, 11]. In addition, improper handling during pre-harvest, harvest, packing, transport and sale operations are extrinsic factors that contribute to the generation of leachates, deformations, pigmentation loss, fermentation, and proliferation of fungi such as Botrytis cinerea [7]. In this context, the need to implement new alternatives or improved processing alternatives that allow protecting the fruit and providing added value to blackberry [9] is created, as is the case of edible coatings (EC) [12].
The ECs are characterized by being a friendly technology with the environment, since they are obtained from natural biodegradable materials such as polysaccharides, proteins, resins and waxes [2,13]. On the other hand, they are vehicles of bioactive compounds that increase functional properties of foods this technology has been applied to [2]. When ECs are applied to food, they act as a thin layer forming a barrier to gases such as CO2 and O2, and water vapor [12-15]. Polysaccharides and proteins generate EC with good permeability to breathing gases and improve food texture, facilitating its management [15,16]; however, due to its hydrophilic nature, it has high permeability to water vapor, allowing mass transfer with its environment [17]. Current approaches to improve functional and mechanical properties of EC include the incorporation of lipid bases that reduce water vapor permeability and increase shelf life of foods [18].
The objective of the present investigation was to evaluate the influence of an EC based on a polysaccharide-protein-lipid structure (cassava starch: CS, whey protein: WP and beeswax: BW), glycerol (G), stearic acid (SA) and chitosan (CH), on texture and weight loss (WL) of blackberry stored at 4 and 25 °C.
2. Materials and methods
2.1. Material
We used Andean blackberry (Rubus glaucus Benth) harvested in the municipality of Granada (Antioquia) with degree of maturity 5 [19], selected with a uniform size, without mechanical damage and visual fungal contamination, and then they underwent a washing process and disinfection with NaClO solution at 50 ppm [10]. The ingredients of the EC were CS, WP, BW, G, SA and CH (Sigma Aldrich) and acetic acid as solvent of CH (Merck KGaA).
2.2. Experimental design, preparation and application of EC
The development of EC formulation was carried out based on an experimental design of a face-centered response surface (α=1) with three factors: CS (3.00, 3.25 and 3.50% p/p), WP (0.5, 1.0 and 1.5% w/w) and BW (0.00, 0.25 and 0.50% w/w) (Table 1) and considering the dependent variables WL and firmness. Additionally, three controls based on CS (3.00, 3.25 and 3.50% w/w) plus G according to the G/CS ratio of 1/2 were made in order to consider not including WP, BW and SA components.

For the preparation of each complete EC, colloidal dispersions of CS and WP were initially prepared in distilled water, homogenized at 13000 rpm for 3 min (Ultraturrax, digital IKA T25), then, G was added according to the G/(CS+WP) of 1/2 and homogenization was continued for 3 more minutes. This dispersion was heated up to 85 °C with constant stirring in an IKA C-MAG HS 4 heating plate, when it reached 70 °C the BW and SA were added, corresponding to a BW/SA ratio of 5/1. The emulsion prepared was cooled to 35 °C, homogenized at 21000 rpm for 1 min and finally degassed in a vacuum chamber at 7,4 kPa for 45 min before its application on Andean blackberry fruits.
On the other hand, CH was incorporated to the EC formulation selected in the experimental optimization process as antifungal agent at 3 levels (0.50, 0.75, 1.00% w/v), dissolving it as follows: 1 g of CH was diluted in 100 mL of a 1% v/v glacial acetic acid solution in distilled water and heated for 2 h at 40 °C [20, 21]. The formulations of EC with CH were prepared in a similar way to the formulations of experimental design. Superficial impregnation of EC in classified, washed and disinfected berries was done by immersion for 90 s, then it was left to drain for 90 s more and dried in a tunnel dryer (Centricol, Series 0803) at 30 °C, 1500 rpm 1 hour. Berries with EC were packed in perforated polypropylene boxes and stored in Memmert ICH 256 climate chamber at 65% relative humidity and 25 ºC; and in a conventional refrigerator at 4 ºC.
2.3. Characterization of fruit properties
The WL was determined by gravimetric method [10,20] using an analytical balance (Ohaus PA 2014) and considering the difference of weights in time between Andean blackberries+EC of 15 formulations and their respective day 0. It was applied in a similar way for the three controls and for the samples evaluated with CH. WL was reported as a percentage (eq. 1), where Wi is day 0 weight and Wf is weight in the evaluation time.

The firmness of the fruit was made in the equatorial zone of fruits according to the methodology described by Ramírez et al, (2013) [11] modified, using a Stable Micro System TA.XT2i texture analyzer, accessory P/5, speed and penetration distance of 2 mm/s and 15 mm respectively.
Physicochemical properties of Andean blackberries such as acidity, °Bx, pH, moisture, aw, total phenolic and antioxidant activity was calculated to OP-CH2 and control treatments.
Acidity was determined by potentiometric titration with NaOH until reaching a pH of 8.2 by diluting 5 g in 50 mL of distilled water [10,21]. Results were expressed as % malic acid. The ºBrix were determined by refractometric reading at 20 ºC [19]. The pH was determined in a Hanna pH 211 pH-meter [10]. Moisture was determined by 930.15/90 method of AOAC, 1997 [7,22,23] modified: sample was weighed in a metal dish, dried in a vacuum oven (Memmert VO 200) at 60 °C and 1 kPa for 24 h. The aw was determined with a dew point hygrometer at 25 °C (Aqualab 3TE series, Decagon, Devices, Pullman, WA, USA) 938.18 of AOAC, 2012 [24].
Total phenols (Tp) and antioxidant activity (DPPH and ABTS) were determined from the extract obtained as follows: 0.3 g of pulp and 9 mL of a methanol: water mixture (70:30) were weighed, stirred during 20 min and centrifuged at 8000 rpm in a Hettich Universal 320 R equipment for 10 min and 20 °C, then the supernatant was removed and filtered, shaking for 20 min and centrifuging again under the same conditions. The Tp were determined using the Folin-Ciocalteu reagent and according to the methodology of Patras et al., (2009) [25] modified: 20 μL of methanolic extracts and 1250 μL of 20% Na2CO3 were added in 480 μL of distilled water under vortexing was allowed to stand for 5 min; 250 μL of Folin-Ciocalteu reagent diluted in distilled water (ratio 1/1) was added, vortexed and stored in dark for 2 h. Absorbance was measured in a (Thermo Fisher Evo 60) spectrophotometer at a wavelength of 760 nm and Tp were expressed in mg of gallic acid per g of sample (mg GA/g). The ABTS and DPPH methods were determined according to the methodology described by Khandpur and Gogate, (2015) and Da-Silva et al., (2014) [26,27] modified. For ABTS method, 20 μL of methanolic extract and 2 mL of ABTS solution were taken, stirred for 1 min, left in dark for 7 min and read at 734 nm; for DPPH, 20 μL of extract and 1980 μL of DPPH solution were taken, left to stand for 30 min and measured at 517 nm. Results of ABTS and DPPH were expressed in mg of Trolox per 100 g.
Additionally, for samples with EC+CH an observation of the superficial fungal infection in fruit was made during its storage [28]. Fruits were considered infected when any signal of micellar growth was observed, evaluating in triplicate 15 fruits for each treatment. Data were expressed as percentage of infected fruit.
Data obtained for a response surface design were analyzed by analysis of variance with a confidence level of 95% in Statgraphics Centurion XVI statistical package. Properties of the product were determined in triplicate for each treatment.
3. Results and discussion
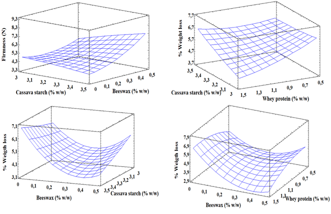
Table 1 summarizes the results obtained in the experimental design of blackberry with EC based on CS/WP/BW/SA/G and Table 2 presents results of the ANOVA of each dependent variable as a function of p-value, identifying their significant differences. Fig. 1 presents the response surface graphs of dependent variables evaluated according to CS, WP and BW independent variables. The superficial firmness of Andean blackberry with EC based on CS/WP/BW/SA/G showed fluctuations of average values between 3.74 and 7.36 N. Fig. 1 presents the graph of response surface of firmness as a function of independent variables CS and BW, where an increase in superficial firmness of Andean blackberry with EC is observed as BW content increases.
It can also be observed that there is a synergy between BW (0.5%) and CS (3.5%) factors, which enhances mechanical surface resistance of the fruit reaching maximum values of the order of 7.3 N [29]. This situation could be attributed to the formation of a structural complex between components of EC; where SA and WP are located in oily drops interface of BW, both of amphiphilic character with capacity to reduce high free energy and superficial tension of the colloidal system, facilitating the interaction with macromolecules of CS and G which are in the aqueous phase of the emulsion before drying, and after drying favors superficial mechanical properties of the fruit. Some research has reported a similar effect on mechanical properties of the film based on carnauba wax, CS, G and SA [30]. Other research has reported an increase in firmness in different foods with different EC: papaya with EC based on alginate and gelatin [31] and plums with EC based on WP and BW [29].
The WL (25 ºC and 4 days) did not present differences with respect to the evaluated factors, fluctuating their values between average values between 4.52 and 6.76%; however, the tendency to a lower WL with negative interaction CS-WP is highlighted, which favors the product at low values of CS (3%) and high WP (1.5%). The WL (4 ºC, 6 days) fluctuated between 3.48 and 6.84%, evidencing a very significant effect of BW. Two dissimilar behaviors were observed; on the one hand, a tendency of WL to decrease with the increase in BW content (0→0.3%); and on the other hand, a tendency of WL to increase with the increase in BW from 0.3 to 0.5%.
This behavior is attributed to the fact that, a higher content of BW implies a greater quantity of oil phase in the colloidal system during its preparation under the conditions established for all formulations, producing a larger size of drops and a smaller number of them, which make a lower barrier to diffusion of water vapor or mass transfer from the inside of the fruit to the surface. Lowest WL is mainly powered at BW levels (0.4%), WP (1.5%) and CS (3.5%).
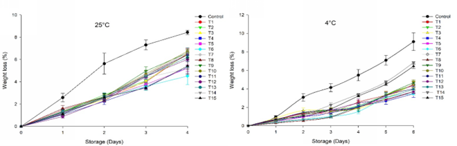
Fig. 2 presents the daily evolution of WL of Andean blackberry with EC based on CS, WP, BW, G, SA corresponding to 15 design experiments, stored at (25 °C, 4 days) and (4 ºC, 6 days); additionally, evolution of Andean blackberries in fresh state (control sample→blue line) at the same evaluation times is shown

| Parameter | Main effects | Quadratic effects | Effects by interactions | |||||||
|---|---|---|---|---|---|---|---|---|---|---|
| Factor A | Factor B | Factor C | AA | BB | CC | AB | AC | BC | ||
| Firmness (N) | 0.3162 | 0.7929 | 0.0101* | 0.8097 | 0.9703 | 0,0625 | 0.9427 | 0,1222 | 0.6461 | |
| WL (25 ºC and 4 days) (%) | 0.1048 | 0,0579 | 0,0505 | 0.6967 | 0,2677 | 0.1091 | 0,0893 | 0.1103 | 0,2003 | |
| WL (4 ºC and 6 days) (%) | 0,1571 | 0.415 | 0.0000* | 0.6564 | 0.0004* | 0.0000* | 0.129 | 0.0004* | 0.0001* | |

ANOVA showed significant differences (p <0.05) in WL with respect to time and treatment factors, increasing WL with time and evidencing an important effect of EC in fruit transpiration. WL values in the control at (25 °C, 4 days) and (4 ºC, 6 days) were 8.4(0.2% and 9.1(1.0% respectively, much higher than those reached in samples with EC. Mean values of WL in formulations of EC fluctuated between 4.5-6.8% and between 3.4-6.8% at (25 °C, 4 days) and (4 °C, 6 days) respectively. On the other hand, the presence of 3 homogeneous groups is observed in samples stored at (4 ºC, 6 days): a first group corresponding to control sample (9.1(1.0%), a second group made up of samples with EC without BW (6.3-7.8%) and a third group made up of samples with EC with BW (2.8-3.8%).
In general, WL in fruits is due to physiological processes that occur during storage, which accelerate with storage temperature, stimulating greater respiration and transpiration of the fruit [10,11,21]; additionally, with storage time, the fragile skin of Andean blackberry loses its mechanical resistance causing WL by native liquids of the fruit leaching [10,11,32,33]. The application of ECs reduced WL in both storage conditions, due to the presence of BW that improved water vapor barrier due to its hydrophobic character [28,34]. In addition, the presence of CS and WP increase the barrier against breathing gases (CO2, O2), decreasing physiological processes of the fruit [13,16]. However, temperature exerts a negative effect on physiological processes increasing WL and conferring a lower stability in the product in less than 4 days. Several researches have reported similar behaviors in the reduction of delayed WL of blackberry with EC based on Aloe vera and carnauba wax [11], EC based on hydroxypropyl methylcellulose and beeswax [10], and EC based on alginate of sodium and calcium [33].
3.1. EC optimization based on CS, WP, BW.
The experimental optimization of the EC formulation applied in Andean blackberry was determined from the following criteria: maximize the surface firmness of the fruit and minimize WL during storage; additionally, weights and impacts were fixed as described in Table 3. Statgraphics Centurión XV II software application generated the following optimal formulation: CS (3.50%), WP (1.16%) and BW (0.47%). A residual error is observed between 15.0 and 20.0% of experimental samples and those obtained by the mathematical model, which is supported by the desirability found (0.69) in the optimization of multiple responses.

3.2. Evaluation of Andean blackberry with EC+Chitosan
Fig. 3 shows the evolution over time of WL and visual infection of blackberry with EC, without and with the addition of Q→0% (OP), 0.5% (OP-Q1); 0.75% (OP-Q2) and 1.0% (OP-Q3), and control Andean blackberry (blackberry in fresh state), stored at 25 and 4 ºC. For both storage conditions, WL and visual infection of Andean blackberries showed significant differences (p <0.05) with respect to time and treatment.

An increase of WL in Andean blackberries was observed with the increase of storage time, being higher the WL in Andean blackberries in fresh state (11.4-13.6% and 10.2-12.4% at 25 and 4 ºC respectively), this due to the physiology of the fruit itself that does not contain EC and in addition, it is enhanced with the increase of temperature; additionally, there is a significant effect of the presence of CH in EC, conferring a lower WL than blackberry with EC-OP (without CH) (7.4-8.4% and 5.9-6.5% at 25 and 4 °C respectively) and a decrease in superficial visual infection (7.5-19.1% and 20.0-40.0% at 25 and 4 °C respectively).
In general, a positive impact of CH is highlighted, especially in samples stored at 4 ºC where WL were less than 2% at times ( 8 days and at 10 days no visual infection was observed in samples OP-CH2 and OP-CH3 (yellow and blue lines respectively). However, in day 12 and 14 control times this is not maintained. This phenomenon is attributed to the fact that CH improves water vapor permeability properties of ECs, preventing their migration during storage of the fruit [35]. Similar behaviors of WL have been reported in strawberry with EC based on hydroxypropyl methylcellulose and carboxymethyl cellulose enriched with CH [36], and in strawberries with EC based on BW and CH [28]. On the other hand, the reduction of visual infection is attributed to the antimicrobial capacity of CH, which causes damage at cellular level in fungi [14,18,28,36].
In this context and due to cost effects, it was considered that the most adequate storage conditions were 4 ºC and 10 days, with EC formulated at CH2 concentration (0.75%). Table 4 presents physico-chemical characterization of Andean blackberries with EC+CH2 and Andean blackberries without EC (control).

ANOVA showed significant differences (p <0.05) in the parameters aw, pH, TA, ABTS, and firmness. However, it is observed that changes in pH and TA are not very relevant despite the addition of acetic acid for solubilization of CH in EC. On the other hand, a similar situation occurs with aw, whose changes are very low but their values are very high (aw ( 0.950), corresponding to high moisture values, where microbiological stability of products during storage makes them perishable and also, favorable to other deterioration reactions [8]. In all cases, products are within the ranges established in Colombian Technical Standard 4106 [19].
Antioxidant activity by ABTS showed higher levels in fresh state, being higher by 28.4% with respect to Andean blackberry with EC+CH2, which could be attributed to thermal degradation of non-polar compounds with antioxidant activity present and they could be affected during drying applied at 30 ºC. Although Tp and DPPPH did not present significant differences, a similar situation arose as ABTS, where the reduction in Andean blackberry with EC corresponded to 12.1%, 3.5% respectively. This behavior of Tp, DPPH and ABTS is similar to that reported by some researchers in blueberry Duke and Elliot variety [35].
One of the greater importance parameters in the investigation was superficial firmness, which showed an important influence in Andean blackberries with EC+CH2, where the mechanical resistance increased approximately 250% with respect to Andean blackberry in fresh state and of 28% with respect to Andean blackberries with EC without CH (OP). This result reflects an important contribution of the research to post-harvest management of the fruit (harvest, packing, transport, sale and processing for transformation), and to the improvement in useful life that the product could have.
4. Conclusions
The application of EC based on CS, WP, BW, SA and CH did not present an important influence on the physicochemical properties of Andean blackberry (Xw, aw, pH, TA, ºBrix); however, it contributes to the reduction of Tp and antioxidant activity (ABTS and DPPH). The presence of CH in EC at different storage conditions, contributed significantly to the improvement of superficial firmness of the fruit reaching an increase in the mechanical resistance up to 250% with respect to Andean blackberry in fresh state; in addition, a reduction of WL and visual infection, mainly characterized by the presence of fungi on the surface. Andean blackberry with RC+CH preserved its physiological quality and the absence of visual infection until 10 days of storage at 4 ºC.
Acknowledgements
The authors thank Foundation CEIBA and the Government of Nariño for financing Master's studies and Colciencias for financing the project.
References
[1] Parada-Moreno, J., Romero-Jiménez, C. y Yépez-Villarreal, B., Aplicación de ultrasonido en el procesamiento de mora de Castilla (Rubus glaucus Benth): efecto sobre la calidad funcional y evaluación como pretratamiento al secado convectivo. Revista Aliment Hoy, 21(27), pp. 15-38, 2012.
[2] Costa-García, L., Mendes-Mendes, L., deLuca-Sarantópoulos, C.I.G. and Dupas-Hubinger, M., Effect of antimicrobial starch edible coating on shelf-life of fresh strawberries. Packaging Technology and Science. 25(7), pp. 413-425, 2012. DOI: 10.1002/pts.987
[3] Kumar, B., Smita, K., Cumbal, L., Debut, A. and Angulo, Y. Biofabrication of copper oxide nanoparticles using Andean blackberry (Rubus glaucus Benth.) fruit and leaf. Journal of Saudi Chemical Society. 21(1), pp. 1-6, 2015. DOI: 10.1016/j.jscs.2015.01.009
[4] Arozarena, I., Ortiz, J., Hermosín-Gutiérrez, I., Urretavizcaya, I., Salvatierra, S., Córdova, I., Marín-Arroyo, M.R., Noriega, M.J. and Navarro, M., Color, ellagitannins, anthocyanins, and antioxidant activity of Andean blackberry (Rubus glaucus Benth.) wines. Journal of Agricultural and Food Chemistry. 60, pp. 7463-7743, 2012. DOI: 10.1021/jf300924z.
[5] Rojas-Llanes, P.J., Martínez, J.R. and Stashenko, E.E., Content of phenolic compounds and antioxidant capacity of blackberry (Rubus glaucus Benth) extracts obtained under different conditions. Vitae. 21(3), pp. 218-227, 2014.
[6] Carvalho, C.P. and Betancour, J.A., Quality characterization of Andean blackberry fruits (Rubus glaucus Benth.) in different maturity stages in Antioquia. Agronomía Colombiana. 33(1), pp. 74-83, 2015.
[7] Ayala, L.C., Valenzuela, C.P. and Bohórquez, Y., Physicochemical characterization of Castilla blackberry (Rubus glaucus Benth) in six maturity states. Biotecnología en el Sector Agropecuario y Agroindustrial. 11(2), pp. 10-18, 2013.
[8] Romero, C.A. and Yépez, B.D., Ultrasound as pretreatment to convective drying of Andean blackberry (Rubus glaucus Benth). Ultrasonics Sonochemistry. 22, pp. 205-210, 2015. DOI: 10.1016/j.ultsonch.2014.06.011
[9] Rodríguez-Barona, S., Zuluaga-Pava, Y. and Cruz-Ríos, D., Potentially synbiotic product based on Andean blackberry (Rubus glaucus) by applying vacuum impregnation. Scientia Agropecuaria. 3(4), pp. 273-278, 2012.
[10] Villegas, C. and Albarracín, W., Edible coating application and effect on blackberry (Rubus glaucus Benth) shelf life. Vitae. 23(3), pp. 202-209, 2016. DOI: 10.17533/udea.vitae.v23n3a06.
[11] Ramírez, J.D., Aristizábal, I.D. and Restrepo, J.I., Blackberry conservation through the application of edible coating of Aloe vera mucilaginous gel. Vitae. 20(3), pp. 172-183, 2013.
[12] Boesso-Oriani, V., Molina, G., Chiumarelli, M., Pastore, C. and Dupas-Hubinger, M., Properties of cassava starch-based edible coating containing essential oils. Journal of Food Science. 79(2), pp. E189-194, 2014. DOI: 10.1111/1750-3841.12332
[13] Thomas, A.B., Resende-Nassur, R., Vilas-Boas, A.C. and deOlivera-Lima, L., Cassava starch edible coating incorporated with propolis on bioactive compounds in strawberries. Ciencia e Agrotecnologia. 40(1), pp. 87-96, 2016. DOI: 10.1590/S1413-70542016000100008
[14] Bezerra-deAquino, A., Fitzgerald-Blank, A. and deAquino-Santana, L., Impact of edible chitosan-cassava starch coatings enriched with Lippia gracilis Schauer genotype mixtures on the shelf life of guavas (Psidium guajava L.) during storage at room temperature. Food Chemistry. 171, pp. 108-116, 2015. DOI: 10.1016/j.foodchem.2014.08.077
[15] Mehyar, G.F., Al-Ismail, K., Han, J.H. and Chee, G.W., Characterization of edible coatings consisting of pea starch, whey protein isolate, and Carnauba wax and their effects on oil rancidity and sensory properties of walnuts and pine nuts. Journal of Food Science. 77(2), pp. E52-59, 2012. DOI: 10.1111/j.1750-3841.2011.02559.x
[16] Silva, K.S., Garcia, C.C., Amado, L.R. and Mauro, M.A., Effects of edible coatings on convective drying and characteristics of the dried pineapple. Food Bioprocess Technology. 8(7), pp. 1465-1475, 2015. DOI: 10.1007/s11947-015-1495-y
[17] Vu, K.D., Hollingsworth, R.G., Leroux, E., Salmieri, S. and Lacroix, M., Development of edible bioactive coating based on modified chitosan for increasing the shelf life of strawberries. Food Research International. 44(1), pp. 198-203, 2011. DOI: 10.1016/j.foodres.2010.10.037
[18] Vargas, M., Albors, A., Chiralt, A. and González-Martínez, C., Quality of cold-stored strawberries as affected by chitosan-oleic acid edible coatings. Postharvest Biology and Technology. 41(2), pp. 164-171, 2006. DOI: 10.1016/j.postharvbio.2006.03.016
[19] Instituto Colombiano de Normas Técnicas y Certificación. Norma Técnica Colombiana. NTC 4106. Frutas Frescas. Mora de Castilla. Especificaciones. ICONTEC, Bogotá, Colombia, 2006, 15 P.
[20] Mantilla, N., Castell-Perez, M.E., Gomes, C. and Moreira, R.G., Multilayered antimicrobial edible coating and its effect on quality and shelf-life of fresh-cut pineapple (Ananas comosus). LWT-Food Science and Technology. 51(1), pp. 37-43, 2013. DOI: 10.1016/j.lwt.2012.10.010
[21] Joo, M., Lewandowski, N., Auras, R., Harte, J. and Almenar, E., Comparative shelf life study of blackberry fruit in bio-based and petroleum-based containers under retail storage conditions. Food Chemistry. 126(4), pp. 1734-1740, 2011. DOI: 10.1016/j.foodchem.2010.12.071
[22] Ríos, E., Duque, A. and León, D., Spectroscopy and chromatography characterization of curcumin extracted from the rhizome of turmeric crops in the department of Quindio. Revista Investigativa de la Universidad del Quindio. 19(18), pp. 18-22, 2009.
[23] A.O.A.C. Official Methods of Analysis. Association of Official Analytical Cehmist. EUA. 2003, pp. 57-58.
[24] A.O.A.C. Official Methods of Analysis. Association of Official Analytical Chemist. Virginia, EUA, 2012, 684 P.
[25] Patras, A., Brunton, N., Da Pieve, S. and Butler, F., Impact of high pressure processing on total antioxidant activity, phenolic, ascorbic acid, anthocyanin content and colour of strawberry and blackberry purées. Innovative Food Science and Emerging Technologies. 10(3), pp. 308-313, 2009. DOI: 10.1016/j.ifset.2008.12.004
[26] Khandpur, P. and Gogate, P.R., Effect of novel ultrasound based processing on the nutrition quality of different fruit and vegetable juices. Ultrasonics Sonochemistry. 27, pp. 125-136, 2015. DOI: 10.1016/j.ultsonch.2015.05.008
[27] Da-Silva, M. and Dos-Santos, F., Evaluation of Gamma radiation process on the quality of blackberry (Rubus spp. L.) pulp. Revista Brasileira de Fruticultura. 36(3), pp. 620-627, 2014. DOI: 10.1590/0100-2945-218/13
[28] Velickova, E., Winkelhausen, E., Kuzmanova, S., Alves, V.D. and Moldão-Martins, M., Impact of chitosan-beeswax edible coatings on the quality of fresh strawberries (Fragaria ananassa cv Camarosa) under commercial storage conditions. LWT-Food Science and Technology. 52(2), pp. 80-92, 2013. DOI: 10.1016/j.lwt.2013.02.004
[29] Reinoso, E., Mittal, G.S. and Loong-Tak, L., Influence of whey protein composite coatings on plum (Prunus Domestica L.) fruit quality. Food Bioprocess Technology. 1(4), pp. 314-325, 2008. DOI: 10.1007/s11947-007-0014-1
[30] Chiumarelli, M. and Hubinger, M.D., Evaluation of edible films and coatings formulated with cassava starch, glycerol, carnauba wax and stearic acid. Food Hydrocolloids. 38, pp. 20-27, 2014. DOI: 10.1016/j.foodhyd.2013.11.013
[31] Tapia, M.S., Rojas-Graü, M.A., Carmona, A., Rodríguez, F.J., Soliva-Fortuny, R. and Martin-Belloso, O., Use of alginate- and gellan-based coatings for improving barrier, texture and nutritional properties of fresh-cut papaya. Food Hydrocolloids. 22(8), pp. 1493-1503, 2008. DOI: 10.1016/j.foodhyd.2007.10.004
[32] Ayala, L.C., Valenzuela, C.P. and Bohorquez, Y., Effect of an edible crosslinked coating and two types of packaging on antioxidant capacity of castilla blackberries. Food Sci Technol. 34(2), pp. 281-286, 2014. DOI: 10.1590/fst.2014.0047
[33] Ayala, L.C., Valenzuela, C.P., Bohorquez, Y., Effect of alginate-based edible coating and calcium ions on the quality of Castilla blackberries (Rubus glaucus Benth). Vitae. 9, pp. S129-131, 2012.
[34] Navarro-Tarazaga, M., Massa, A. and Pérez-Gago, M., Effect of beeswax content on hydroxypropyl methylcellulose-based edible film properties and postharvest quality of coated plums (Cv. Angeleno). LWT-Food Science and Technology. 44(10), pp. 2328-2334, 2011. DOI: 10.1016/j.lwt.2011.03.011
[35] Duan, J., Wu, R., Strik, B.C. and Zhao, Y., Effect of edible coatings on the quality of fresh blueberries (Duke and Elliott) under commercial storage conditions. Postharvest Biology and Technology. 59(1), pp. 71-79, 2011. DOI: 10.1016/j.postharvbio.2010.08.006
[36] Gol, N.B., Patel, P.R. and Ramana-Rao, T.V., Improvement of quality and shelf-life of strawberries with edible coatings enriched with chitosan. Postharvest Biology and Technology. 85, pp. 185-95, 2013. DOI: 10.1016/j.postharvbio.2013.06.008
Notes