Artículos
Received: 01 April 2019
Revised document received: 07 October 2019
Accepted: 18 November 2019
DOI: https://doi.org/10.15446/dyna.v86n211.78812
Abstract: This paper evaluated dispersion of PM2.5 emitted from roasted chicken restaurants around Metropolitan Area of Huancayo city, Peru. It was used topographic data with 30 m of resolution, surface and vertical structure meteorological data. Main characteristics from emission sources also were used as input in the AERMOD model. Then for evaluating the model efficiency, as reference it was used data from particulate matter samplers at three urban sites of Metropolitan Huancayo (named HYO, UNCP and CHI). The results showed the association of the wind speed and direction with the predominant dispersion of PM2.5. Differences among the sites were registered but CHI showed highest values. The concentrations from AERMOD model were lower than sampled ones, mainly because model only was focused on restaurants meanwhile samplers collected particulate matter from all other emitters. AERMOD provided good options to model air pollution dispersion at mountains regions for air quality management.
Keywords: atmospheric dispersion, Metropolitan Huancayo: PM2.5, AERMOD.
Resumen: El presente estudio realizo la dispersión de PM2.5 emitidos por pollerías en Huancayo Metropolitano. Se utilizaron datos topográficos de 30 metros de resolución, datos meteorológicos superficiales y verticales de enero a diciembre del 2017 y características de la fuente como concentraciones de emisión de PM2.5 de pollerías. Para la determinar la eficiencia del modelo AERMOD en la dispersión de PM2.5 se instalaron estaciones de monitoreo de calidad de aire en tres áreas urbanas de Huancayo Metropolitano (UNCP, HYO y CHI), la campaña de muestreo se llevó a cabo de marzo a noviembre del 2017. Los resultados, identificaron la asociación de la dirección y velocidad del viento con la dispersión de PM2.5 y que las concentraciones obtenidas por el modelo AERMOD subestimaron con las obtenidas de las estaciones de monitoreo de calidad de aire, esto debido a que se modelo solo pollerías y no de otras aportaciones de fuentes de emisión. AERMOD provee buenas opciones para modelar dispersión de contaminantes del aire en regiones de montaña para gestión de la calidad del aire.
Palabras clave: dispersión atmosférica, Huancayo Metropolitano, PM2.5, AERMOD.
1. Introducción
El material particulado (PM) se define como un conjunto o mezcla compleja de partículas sólidas y/o líquidas, con características físicas y químicas, las cuales se encuentran suspendidas en la atmósfera. Este aerosol atmosférico como también se le conoce, es emitido por fuentes de origen natural o antropogénico [1]. Los aerosoles secundarios comprenden más del 50% de PM2.5 y son los principales responsables de alterar el balance de radiación de la tierra, la reducción de la visibilidad y la contaminación por neblina regional [2]. Debido a que la concentración y la composición de la masa de material particulado son variables y dependen en gran medida de muchos factores como la variación del clima, la ubicación geográfica y las fuentes de emisión [3].
El material particulado (PM) degrada la calidad del aire como resultado del aumento de la industrialización y crecimiento de la población humana. El PM ha sido fuertemente vinculado con graves efectos perjudiciales para la salud humana, incluida la diminución de la esperanza de vida, el aumento de la morbilidad, el cáncer de pulmón, las enfermedades respiratorias y cardiacas crónicas [4,5]. En cuanto a la presencia de PM 2.5 (< de 2.5 μm) se depositan en los alveolos, la parte más profunda del sistema respiratorio, y quedan atrapadas, lo que posiblemente tenga graves efectos en la salud [6-8]. Los estudios epidemiológicos han revelado asociaciones positivas entre la contaminación por material particulado y el daño grave a la salud Humana [9]. El daño causado por PM2.5 a la salud humana se manifiesta como mortalidad cardiaca y respiratoria, disminución de la capacidad pulmonar en niños y adultos con asma y una mayor frecuencia de enfermedades pulmonares obstructiva crónica [9].
En el Perú se han evaluado que uno de los principales contaminantes del aire es el PM2.5, en la ciudad de Lima, anualmente 2300 muertes prematuras son atribuibles a este contaminante [10]. Los promedios anuales de PM2.5 en casi todas las estaciones de monitoreo de calidad el aire de Lima Metropolitana periodo 2001 - 2014, superan significativamente el ECA y las guías de la OMS, la variación multianual muestra una tendencia descendente leve para PM2.5 [11]. El PM2.5 representa mayor abundancia en comparación a otras ciudades importante, también evidenciaron que hay una mayor concentración de PM 2.5 en el periodo seco en la ciudad de Huancayo [12]. Conocer la composición química de material particulado tiene relevancia no solo desde el punto de vista de la química de la atmosfera, sino también sobre la calidad del aire que se respira en las ciudades [13]. Las muestras recolectadas en las áreas urbanas (Huancayo y Chilca) mostraron concentraciones más altas de elementos traza e iones solubles en agua que, los resultados de HCA y PCA mostraron una segregación consistente de elementos traza e iones solubles en agua (Al, As, Cd, Ca, Mn, Rb, Cr, K, Fe, Ni y Cu) se relacionaron con el polvo del suelo, mientras que Ba, Zn, V, y Pb se relacionaron con las fuentes vehiculares. [14]. Por otro lado, el monitoreo de la estación de Huancayo y Chilca ha superado los estándares nacionales de calidad del aire peruanos y los umbrales de la OMS [14].
La dispersión de material particulado es generada por las emisiones de este, la cual está condicionada por múltiples factores, controlados y no controlados. La dispersión de este en la atmosfera es afectada por las condiciones locales del área y las características de la superficie, siendo este un factor que incide en el transporte y arrastre de los elementos contaminantes [15]. Las actividades humanas, por ejemplo, la industria y el movimiento vehicular, se consideran las principales fuentes de emisión de material particulado que, en conjunto con factores meteorológicos y topográficos, hacen que el comportamiento del PM10 y PM2.5 varíe temporalmente de manera irregular en la atmósfera [16]. AERMOD, es un modelo de dispersión de estado estable, incluye los efectos sobre la dispersión de las variaciones verticales en el PBL (Capa Limite Planetaria). En la SBL (Capa Limite Estable), la distribución de la concentración es gaussiana, tanto vertical como horizontalmente, al igual que la distribución horizontal en el CBL (Capa Limite Convectiva), como lo demuestran [17]. AERMOD rastrea la masa de penacho flotante que penetra en la capa estable elevada y se le permite reingresar a la capa mixta a cierta distancia a favor del viento. El modelo AERMOD es aplicable a áreas rurales y urbanas, terrenos planos y complejos, liberaciones de superficie y elevada, y múltiples fuentes [18].
La dispersión de PM10 realizado para zonas topográficas simples y complejas, dieron como resultado que la dirección y la velocidad del viento esta condicionadas por las mismas, permitiendo esta un flujo libre en la dirección predominante en la rosa de vientos para la zona de topografía simple y un flujo turbulento en la zona compleja, también observaron que lo modelado y lo observado tiene concordancia para periodos de 24 horas [19]. La dispersión de concentraciones de PM10 presenta un decaimiento exponencial, demostrando que aproximadamente el 50% de los contaminantes de aire se deteriora en las distancias entre los 800 a 1000 m de la fuente, observando que se tiene una relación entre concentraciones y distancias [20].
La problemática actual que Huancayo Metropolitano viene experimentando debido a su desarrollo económico, con ellos la contaminación del aire, provocado por el PM2.5. Diversas son las fuentes de emisión, principalmente las pollerías ya que de estas se encuentra mayor cantidad representando en conjunto un alto nivel de contaminación de PM2.5. Por ello, este trabajo tiene por propósito determinar la dispersión de PM2.5 emitido por pollerías en Huancayo metropolitano usando el modelo AERMOD jugando un papel importante en la ciencia, debido a su capacidad de investigar procesos relevantes. El modelamiento de la dispersión de contaminantes de aire es el único método que puede cuantificar la relación entre emisiones, concentraciones y deposición, incluyendo las consecuencias de escenarios futuros y las estrategias de disminución [21].
2. Metodología
2.1. Descripción del área de studio
El estudio se llevó a cabo en la Provincia de Huancayo el cual tiene como Distritos Metropolitanos a El Tambo, Huancayo, Chilca (Huancayo Metropolitano), la Fig. 1 indica la localización de Huancayo metropolitano y estaciones de monitoreo. Esta se encuentra a unos 3500 metros sobre el nivel del mar y tenía una población aproximada de 507,075 habitantes [22]. La Huancayo Metropolitano está ubicada en el valle del Mantaro, que cubre un área de 319.4 km2. Está bordeada por montañas que actúan como barreras naturales para la circulación del aire y áreas agrícolas que producen cantidades significativas de diferentes cultivos (es decir, vegetales, maíz, papas) [23]. El clima en Huancayo Metropolitano se basa regularmente en los datos recopilados en el Observatorio de Huancayo (IGP) de 1966 a 2002. Las temperaturas más frías se registran en junio y julio (invierno) y los valores más altos son alrededor de octubre y diciembre. La temperatura promedio anual es de 11.9 1.2 C. La precipitación tiene dos estaciones marcadas: seca y húmeda. De junio a julio se registran las menores cantidades de lluvia, mientras que de enero a marzo se registra la mayor precipitación. Febrero es el mes con el registro más alto alcanzando un valor acumulado de 129.1 mm. La precipitación acumulada media anual es de 752 44,3 mm [24].

2.2. Descripción de emisiones de pollerías
Se trabajó con la información del inventario de emisiones de Huancayo el cual contiene fuentes emisiones ubicadas dentro del área urbana de Huancayo. Esta fue realizada atreves de la encueta del Ministerio del Ambiente del Perú por Grupo de Estudio Técnico Ambiental (GEZTA) para la calidad de aire Huancayo. Para alimentar el modelo AERMOD se trabajó con las características de la fuente (altura de la chimenea, diámetro de la chimenea, temperatura, velocidad de salida de gases) y concentraciones de emisión de PM2.5 de pollerías, como Carga (tn/año) y Carga (tn/día) para después llevar por medio de una conversión a Carga (g/s).
2.3. Descripción de estaciones meteorológicas
Considerando que las variables meteorológicas tienen una fuerte influencia en la dispersión y concentración de los contaminantes. Se instalaron estaciones Meteorológicas en tres áreas urbanas de Huancayo Metropolitano, utilizando el Protocolo para la Instalación y Operación de Estaciones Meteorológicas, Agrometeorológicas e Hidrológicas [25]. La campaña de muestreo se llevó a cabo de enero a diciembre del 2017. Estas estuvieron ubicadas con las estaciones de monitoreo de calidad de aire. Para la colecta de las variables meteorológicas se realizado con el equipo Davis Instrument modelo Vantage Pro, las variables meteorológicas monitoreadas son: Humedad, Temperatura, Presión, Precipitación, Dirección y Velocidad del Viento. Para el registro de datos de forma continua se utilizó el software Weatherlink Home, permitiendo realizar mediciones automáticas de 5 minutos. El gran volumen de datos recogidos en este intervalo de tiempo permitió el estudio de fenómenos meteorológicos que pueden cambiar rápidamente (como el viento y dirección) y que no pueden ser controlados mediante mediciones realizadas con periodos de tiempo mayores.
2.4. Descripción del monitoreo de calidad del aire
Se instalaron estaciones de monitoreo de calidad de aire en tres áreas urbanas de Huancayo Metropolitano (UNCP, HYO y CHI), la tabla 1 presenta una pequeña descripción de las estaciones, la campaña de muestreo se llevó a cabo de marzo a noviembre del 2017. La colecta de PM2.5 se realizará con equipos colectores de partículas de bajo volumen (PARTISOL FRM 2000 de Thermo Scientific, EE.UU.) el cual fue instalado en los distritos de HYO, CHI Y UNCP. Se realizaron colectas PM2,5 en filtros de teflón con diámetro de 47 mm y tamaño de poro de 2,0 µm en un flujo de 16.7 L/min, utilizando el método de referencia RFPS-0498-117 para PM 2.5 [26]. El Pesado de los filtros de PM2.5 se determine por método gravimétrico establecido en el método de la EPA IO-3.1 mediante una microbalanza de ±0,010 mg de precisión, este pesado se realiza antes y después de la recolección de filtros utilizando en el muestreador Partisol FRM 2000, para determinar la masa de partículas recolectadas durante el tiempo de exposición de 24hr [26].
2.5. Descripción del modelo aermod
Se sabe que los modelos de dispersión simulan el transporte de los contaminantes en la atmosfera emitidos por un tipo de fuente de emisión y que, según las condiciones meteorológicas, lograría favorecer o disminuir los procesos de dilución o dispersión de los contaminantes. Los contaminantes emitidos a la atmosfera, al aportar un cierto nivel de concentraciones, genera un impacto ambiental sobre la calidad del aire que podría afectar la salud de las personas según el nivel de referencia estándar regulado por la ley ambiental [27].
El modelo AERMOD, además de usar datos meteorológicos de superficie, permite el ingreso de datos meteorológicos que miden el perfil de la atmosfera (en los siguientes formatos: FSL O TD-6201), no obstante, en caso no se tenga datos meteorológicos que midan el perfil vertical de la atmosfera, se puede modelar considerando información meteorológica superficial o con información generado de otros modelos mediante su preprocesador meteorológico AERMET, esta metodología es importante debido a la escasez de información de mediciones meteorológicas de altura de manera continua (radiosondeos de la atmosfera) en Huancayo Metropolitano, que mediante el uso de datos de salida del modelo WRF (Weather Research and Forecasting), es una opción como data input al modelos AERMOD.
Para el modelamiento de la dispersión de PM2.5, se ingresó la siguiente información: datos meteorológicos superficiales de la estación CHI correspondientes al año 2017, datos de perfil vertical que fueron simulados por el modelo WRF, información topográfica de 30 m de resolución, datos referentes a las características de las fuente y concentraciones de emisión PM2.5 y coordenadas de ubicación de las estaciones de monitoreo de calidad de aire para obtener concentraciones generadas por el modelo AERMOD. Para el modelamiento de la dispersión se utilizó la estación CHI mientras la de HYO y UNCP para comparación de la rosa de viento y la dispersión de PM 2.5 sobre Huancayo Metropolitano.
Referente a la orografía en el AERMAP, se definió el dominio y geomorfología, se escogió un dominio que tiene origen sur-oeste con coordenadas 470181.00m UTM Este y 8659853.00m UTM Norte, con una extensión de 13.04 km en dirección Oeste-Este y de 13.07km en dirección Sur-Norte, siendo el punto opuesto de esta área el punto con coordenadas 483181.00m UTM Este y 8672853.00m UTM Norte, también se define localización de las fuentes, su altitud y los receptores discretos (Ubicación de las estaciones monitoreo de calidad de aire) que contienen concentraciones de PM2.5 de los trecientos sesenta y cinco días por el modelo AERMOD.
Referente a la información meteorológica en el AERMET, al procesar la información meteorológica se generó información adicional tales como: flujo de calor sensible, velocidad de fricción, longitud de Monin-Obukhov, altura de mezclado y la escala de velocidad convectiva. De esta manera, se generó dos archivos: superficiales (*.sfc) y de altura (*.pfl). Debido a que no se ingresó información proveniente de mediciones de lanzamiento de globo de radiosondeo, se simulo información meteorológica de mesoescala del WRF adaptado al formato perfil vertical (*.fsl) y mientras información meteorológica superficial fue adaptado al formato superficial (*.sam) del AERMET.
Finalmente, dentro del sistema propiamente dicho del modelo AERMOD, se realizó las siguientes configuraciones: se eligió la opción regulatoria para un tiempo de exposición veinticuatro horas, tipo de contaminante, concerniente a la fuente se ingresó: concentración de PM2.5, altura de la fuente, Temperatura, diámetro de la chimenea y velocidad de salida de los gases. Los archivos de salida AERMET (*.sfc y *.pfl) y AERMAP (*.rec y *.src) fueron ingresados para con ellos ejecutar la corrida del modelo.
2.6. Descripción del análisis estadístico
Todo modelo tiene asociados dos errores e incertidumbre. Es muy importante evaluar estos errores, comparando los resultados del modelo con las observaciones en forma cualitativa y cuantitativa. La parte cualitativa se debe hacer en base a la comparación de los gráficos de las variables meteorológicas monitoreadas y modeladas, se debe caracterizar la capacidad modelada para reproducir lo monitoreado tanto en magnitud como en su variabilidad. La parte cuantitativa se debe hacer calculando como mínimo el coeficiente de correlación. [28].
Para la determinación de la eficiencia del modelo AERMOD en la dispersión de PM2.5, se compararon los resultados del modelo AERMOD con los resultados provenientes del muestro de las tres estaciones de monitoreo calidad de aire (UNCP, HYO y CHI), se realizó una regresión lineal múltiple con la finalidad de obtener el coeficiente de correlación que se tiene entre las concentraciones de PM2.5 modelado y monitoreado.
3. Resultados y discusiones
En la Tabla 2 se presenta los resultados obtenidos en el análisis de la magnitud de la velocidad y dirección del viento, se observa la rosa de los vientos para HYO, UNCP Y CHI. En estos gráficos se muestra el comportamiento de los vientos respecto a la velocidad y dirección de los mismos. Los valores medios mensuales de velocidad del viento fluctúan entre 0.5 y 8.8 m/s, solo en una ocasión se registró velocidades superiores a 11.11 m/s en la UNCP. Los vientos soplan en un rango promedio de 0.5 a 5.7 m/s en la UNCP, 0.5 a 3.6 m/s en HYO y 0.5 a 2.1 m/s en CHI. La rosa de viento no presenta uniformidad, debido a que se observa que la dirección de viento viene de diferentes lugares en HYO y CHI, mientras que se muestra una predominancia desde el Este hacia el oeste en la UNCP. Las rosas de vientos generada de las tres estaciones son diferentes para las distintas ubicaciones pero coincidentes con el mapa de dispersión generado por el modelo AERMOD, y esto explica (Silva y Arcos, 2011) que la dispersión de material particulado está afectada por las características de la superficie, siendo este un factor que incide en el transporte y arrastre, para el presente estudio las rosas de viento nos demuestra mayor estabilidad en la HYO y CHI mientras que para la UNCP no muestra una predominancia de viento que vienen del Este, y esta diferencia se debe a las características de la superficie de Huancayo Metropolitano. Tabla 3 se presenta un análisis estadístico de los datos de velocidad de viento.


La concentración de masa de PM2.5 en las estaciones de monitoreo de calidad de aire UNCP, HYO y CHI fue de 12.7 ± 4.47 µg/m3, 17.1 ± 5.15 µg/m3 y 25.8 ± 10.99 µg/m3, respectivamente en la Fig. 2. Los resultados de PM2.5 del monitoreo de calidad de aire, nos indican el estado de la calidad de aire sobre Huancayo Metropolitano. Las concentraciones anuales más altas de PM2.5 se encontraron en las estaciones de monitoreo de CHI (25.8 µg/m3) y HYO (17.1 µg/m3). En contraste, la concentración anual más baja para PM 2.5 se observó en las estaciones de monitoreo de la UNCP (12.7 µg/m3). Por otro lado, el monitoreo de la estación de CHI ha superado los estándares de calidad de aire peruano, mientras HYO solo un día.
En la Fig. 3 se identifica 35 pollerías en el distrito de Chilca, 100 en el distrito de Huancayo y 59 en el distrito del Tambo siendo el mayor de mayor emisión la pollería el mesón con 0.04121 g/s y la de menor emisión la pollería el combinado con 0.00515 g/s. Asimismo el promedio de emisiones de pollerías es de 0.01206 g/s y operación de hornos de 10 horas teniendo emisiones de PM2.5 en 7.236 kg por funcionamiento de pollería diario.


En la Fig. 4. La modelación de la dispersión en el AERMOD, dio como resultado que en la zona centro de los Distritos Huancayo y Chilca tiene la mayor concentración en un tiempo de exposición de 24 horas para el PM2.5, están entre 13.69 a 45.23 µg/m3. Para el distrito del Tambo las concentraciones de PM 2.5 va en descenso desde los límites con el Distrito de Huancayo (zona céntrica) hacia el Noroeste de este, desde 12.55 a 2.55 µg/m3, hacia el Norte desde 12.50 a 0.12 µg/m3. Asimismo, para el Oeste de la zona céntrica del distrito de Huancayo se tiene concentraciones que están entre 5.82 a 14.51 µg/m3 y hacia el Noreste de este las c0oncentraciones van en descenso desde 12.98 a 0.15 µg/m3. También, para el Oeste de la zona céntrica del Distrito de Chilca se tiene concentraciones que están entre 5.32 a 14.80 µg/m3 y hacia el Noreste de este las concentraciones van en descenso desde 12.75 a 0.14 µg/m3.

Las diez concentraciones más altas generada por el modelo AERMOD en Huancayo Metropolitano, está ubicada en el Distrito de Chilca entre 35.66 µg/m3 a 45.23 µg/m3, para una exposición de 24, superando así la normativa anual peruana para aire.
En la Fig. 5. El modelo AERMOD genero concentraciones de la dispersión de PM2.5 en los receptores discretos (CHI, HYO y UNCP), para HYO (Distrito de Huancayo) donde se tiene mayor nivel de concentración debido que predomina la presencia de 100 pollerías, seguido de la UNCP (Distrito de El Tambo) con 59 pollerías y registrando en CHI (Distrito de Chilca) 35 pollerías. La diferencia entre lo medido por las estaciones de monitoreo de calidad de aire en CHI con lo generado por el modelo AERMOD se debe a que se analizó los aportes de emisiones de PM2.5 de pollerías y no de las demás fuentes de emisión, y está confirmado que los principales aportes contaminantes están relacionados con el polvo del suelo y las fuentes vehiculares (Huamán et al., 2019)

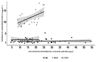
La Fig. 6. muestra la correlación de la distribución temporal de concentraciones PM 2.5 generadas por el modelo AERMOD y estaciones de monitoreo de calidad de aire, asimismo en la tabla 4. se muestra los coeficientes de correlación para la UNCP de 0.012, HYO con 0.524 y CHI con 0.050. El coeficiente de correlación de UNCP y CHI son bajos, mientras que para Huancayo se tiene una relación positiva media.


4. Conclusiones
El presente estudio es probablemente el primer informa sobre dispersión de PM2.5 realizado sobre Huancayo Metropolitano. Los resultados nos ofrecen una evaluación preliminar y una idea general del estado de la calidad de aire de Huancayo Metropolitano, también nos ayuda tener una idea sobre la delimitación de la cuenca atmosférica de Huancayo, identificar los puntos de vigilancia de calidad de aire para proponer estrategias de gestión de calidad de aire.
Se identificó la dirección y velocidad del viento como variables meteorológicas asociadas a la dispersión de PM2.5, también nos permitió afirmar que la dirección y velocidad meteorológica de los vientos están condicionados por la topografía de Huancayo Metropolitano.
El mapa generado por el modelo AERMOD muestra márgenes que presentan una característica concéntrica, donde estas son paralelas entre si y donde el punto máximo de concentraciones de PM2.5, no corresponde al centro mismo de la ubicación de la totalidad de las pollerías, sino que se encuentra ubicada en el Distrito de Chilca en áreas de vientos estables.
Las mayores concentraciones PM2.5 están en la zona centro de Huancayo y Chilca esto debido a que la mayor actividad económica de se desarrolla en esta área de estos distritos, como consecuencia de esto, se tiene mayor cantidad de pollerías.
Las concentraciones obtenidas por el modelo AERMOD subestimaron con las obtenidas de las estaciones de monitoreo de calidad de aire, esto debido a que se modelo solo pollerías y no de otras aportaciones de fuentes de emisión.
En general, se registra resultados coherentes con referencia al modelamiento de emisiones de pollerías para la calidad de aire, aunque es importante tener controles de emisión, como mejoramiento de los hornos o cambio de combustible (carbón vegetal) e inspecciones periódicas entre otras acciones que minimicen las emisiones de contaminantes, resaltando la eficiencia que AERMOD provee buenas opciones para modelar dispersión de contaminantes del aire en regiones de montaña para gestión de la calidad del aire.
Referencias
[1] Viana-Rodriguez, Maria del M., Niveles, composición y origen del material particulado atmosférico en los sectores Norte y Este de la Península Ibérica y Canarias, Dr.Tesis, Doctorado en Ciencias de la Tierra, Universidad de Barcelona, España, 2003.
[2] Sun, Z., Duan, F., He, K., Du, J. and Zhu, L., Sulfate-Nitrate-Ammonium as double salts in PM2.5: Direct observations and implications for haze events. Science of the Total Environment, 647, pp. 204-209 2019. DOI: 10.1016/j.scitotenv.2018.07.107
[3] Soleimani, M., Amini, N., Sadeghian, B., Wang, D. and Fang, L., Heavy metals and their source identification in particulate matter (PM2.5) in Isfahan City, Iran. Journal Environmental Sciences, 72, pp. 166-175, 2018. DOI: 10.1016/j.jes.2018.01.002
[4] Pope III, C.A. and Dockery, D.W., Health effects of fine particulate air pollution: lines that connect. J. Air Waste Manager Association, 56, pp. 709-742, 2006.
[5] Dockery, D.W. and Pope III, C.A., Acute respiratory effects of particulate air pollution. Annual Reviews Public Health, 15, pp. 107-132. 1994.
[6] Stanek, L.W., Brown, J.S., Stanek, J., Gift, J. and Costa, D.L., Air pollution toxicology-A brief review of the role of the science in shaping the current understanding of air pollution health risks. Toxicological Sciences, 120(S1), pp. S8-S27, 2011. DOI: 10.1093/toxsci/kfq367
[7] Tager, I., Health effects of aerosols. In: Aerosols Handbook. Taylor & Francis Group, 2012, pp. 565-636. DOI: 10.1201/b12668-24
[8] Valavanidis, A., Vlachogianni, T., Fiotakis, K. and Loridas, S., Pulmonary oxidative stress, inflammation and cancer: respirable particulate matter, fibrous dusts and ozone as major causes of lung carcinogenesis through reactive oxygen species mechanisms. International Journal of Environmental Research and Public Health, 10, pp. 3886-3907, 2013. DOI: 10.3390/ijerph10093886
[9] EPA-US., Integrated Science Assessment (ISA) for Particulate Matter (PM). U.S., EPA/600/R-08/139F., Environmental Protection Agency, Washington, DC, USA. [Online]. 2009. Available at: https://goo.gl/PCnvbj
[10] Gonzales, G., Zevallos, A., Gonzales-Castañeda, C., Nuñez, D., Gastañaga, C., Cabezas, C., Naeher, L., Levy, K. y Steenland, K., Contaminación ambiental, variabilidad climatica y cambio climático: una revisión del impacto en la salud de la población peruana. Revista Peruana de Medicina Experimental y Salud Pública, [en línea]. 31(3), pp. S47-S56, 2014. Disponible en: https://www.redalyc.org/articulo.oa?id=36333049021
[11] Pacsi, S., Análisis temporal y espacial de la calidad del aire determinado por material particulado PM10 y PM2.5 en Lima Metropolitana. Anales Cientificos, 77(2), pp. 273-283, 2016. DOI: 10.21704/ac.v77i2.699
[12] Suárez, L., Tolentino, D., Bendezú, Y. and Pomalaya, J., Características químicas del material particulado atmosférico del centro urbano de Huancayo, Perú. Revista de la Sociedad Química del Perú, [en línea]. 83(2), pp. 187-199, 2016. Disponible en: http://www.scielo.org.pe/scielo.php?pid=S1810-634X2017000200005&script=sci_abstract
[13] Quijano, A., Quijano, M. y Henao, J., Caracterización fisicoquímica del material particulado fracción respirable PM2.5 en Pamplona-Norte de Santander- Colombia. Bistua: Revista de la Facultad de Ciencias Básicas, [en línea]. 8(1), pp. 1-20, 2010. Disponible en: https://www.researchgate.net/publication/49613524
[14] Huamán, A., Bendezu, Y., Suarez, L., Pomalaya, J., Alvarez, D. and Gioda, A., Chemical characterization of PM2.5 at rural and urban sites around the metropolitan area of Huancayo (Central Andes of Peru). Atmosphere, 10(1), pp. 21-1-21-17, 2019. DOI: 10.3390/atmos10010021
[15] Silva, A. y Arcos, D., Aplicación del programa AERMOD para modelar dispersión de PM10 emitido por equipos de calefacción a leña en la ciudad de Constitución. Obras y Proyectos, 9, pp. 4-10, 2011. DOI: 10.4067/S0718-28132011000100001
[16] Harrison, R., An introduction to pollution science. The Royal Society Chemistry, London, United Kingdom, 2006. DOI: 10.1039/9781847555410
[17] Willis G.E. and Deardorff, J.W., A laboratory study of dispersion in the middle of the convectively mixed layer. Atmospheric Environment, 15, pp. 109-117,1981. DOI: 10.1016/0004-6981(81)90001-9
[18] Cimorelli, A.J., Perry, S.G., Venkatram, A., Weil, J.C., Paine, R.J., Wilson, R.B. and Paumier, J.O., AERMOD model formulation and evaluation. U.S. Environmental Protection Agency, [online]. 2004. Available at: https://www3.epa.gov/ttn/scram/models/aermod/aermod_mfed.pdf
[19] Arrieta, A.J., Dispersión de material particulado (PM10), con interrelación de factores meteorológicos y topográficos. Ingeniería Investigación Y Desarrollo [Online], 16(2), pp. 43-54, 2016. DOI: 10.19053/1900771X.v16.n2.2016.5445
[20] Nayeb, M., Makaremi, M. and Yavarinia, M., Modeling near factory air pollutants, in: 109th Annual Conference & Exhibition, 39(10), 2016.
[21] Builtjes, P.J.H., Major Twentieth Century milestones in air pollution modelling and its application. In: Gryning, S.E. and Schiermeier, F.A., Eds., Air Pollution Modeling and Its Application XIV. Springer, Boston, MA, 2004, pp. 3-16. DOI: 10.1007/0-306-47460-3_1
[22] INEI (Instituto Nacional de Estadística e Informática del Perú). Principales indicadores departamentales 2009-2016, Instituto Nacional de Estadística e Informática, Lima, Perú, [en línea]. 2017. Disponible en: https://www.inei.gob.pe/media/MenuRecursivo/publicaciones_digitales/Est/Lib1421/libro.pdf
[23] Serrano, F., Environmental contamination in the homes of La Oroya and Concepcion and its effects in the health of community residents. [online]. 2002. School of Public Health, Saint Louis University, USA. Available at: https://lib.ohchr.org/HRBodies/UPR/Documents/Session2/PE/EJ-AIDA_PER_UPR_S2_2008anx_StudyofcontaminationinLaOroya.pdf
[24] IGP (Instituto Geofísico del Perú). Atlas climático de precipitación y temperatura del aire en la Cuenca del Rio Mantaro, Perú, San Borja, [en línea]. 2005. Disponible en: https://sinia.minam.gob.pe/documentos/atlas-climatico-precipitacion-temperatura-aire-cuenca-rio-mantaro
[25] SENAMHI. Protocolo para la instalación y operación de estaciones meteorológicas, agrometeorológicas e hidrológicas. Servicio Nacional de Meteorología e Hidrología del Perú, [en línea]. 2013. Disponible en: https://senamhi.gob.pe/load/file/01405SENA-4.pdf
[26] EPA-US. Revised requirements for designation of reference and equivalent methods for PM2.5 and ambient air quality surveillance for particulate matter. Enviromental Protection Agency. [online]. 1997. Available at: https://www.govinfo.gov/content/pkg/FR-1997-07-18/pdf/97-18579.pdf
[27] Delgado, A. y García, J., Optimización del modelo AERMOD mediante el modelo meteorológico de mesoescala BRAMS para la dispersión de SO2 de una fuente puntual. Revista Ambiental del Capítulo de Ingeniería Sanitaria y Ambiental del CDL - CIP. 7, [en línea]. pp. 12-20, 2012. Disponible en: https://docplayer.es/57054553-Revista-capitulo-de-ingenieria-sanitaria-y-ambiental-del-cdl-cip.html
[28] MINAM-CHILE. Guía para el uso de modelos de calidad de aire en el servicio de evaluación de ambiental. Ministerio del Ambiente de Chile. [en línea]. 2012. Disponible en: http://www.sea.gob.cl/sites/default/files/migration_files/guias/Guia_uso_modelo_calidad_del_aire_seia.pdf
Notes