Articles
Comparison of artificial intelligence and multivariate regression in modeling the flexural behavior of UHPFRC
Comparación de modelación por inteligencia artificial y regresión multivariable del comportamiento a flexión del UHPFRC
Comparison of artificial intelligence and multivariate regression in modeling the flexural behavior of UHPFRC
DYNA, vol. 87, no. 214, pp. 258-267, 2020
Universidad Nacional de Colombia
Received: 07 April 2020
Revised document received: 04 May 2020
Accepted: 14 July 2020
Abstract: The study presented aims to model the flexural behavior of ultra-high-performance fiber reinforced concrete (UHPFRC), i.e. limit of proportionality (LOP), modulus of rupture (MOR) and theirs associated deflections δMOR and δLOP , using multivariable regression analyses and artificial intelligence (AI) techniques. Four Artificial Neural Network (ANN), one for each response, with an input layer and one hidden layer and four least absolute shrinkage and selection operator (LASSO) regression model were built to yield the most accurate models. The results demonstrated the efficiency of the models, according to the statistical parameters used for their evaluation, i.e., mean absolute error (MAE), root of the mean square error (RMSE), normalized mean bias error (NMBE) and coefficient-coefficient of determination (R2). Neural network models showed the highest precision, with R2 values of 0.982, 0.969, 0.978 and 0.978, in predicting the parameters of flexural behavior of the UHPFRC (δLOP , LOP, δMOR and MOR).
Keywords: ultra-high-performance concrete, LASSO regression, ANN, modelling, flexural behavior.
Resumen: El estudio presentado tiene como objetivo modelar el comportamiento a flexión de los concretos de ultra alto desempeño reforzados con fibras (UHPFRC), incluyendo límite de proporcionalidad (LOP), módulo de rotura (MOR) y sus deflexiones asociadas δLOP y δMOR , utilizando análisis de regresión multivariable y algoritmos de inteligencia artificial (AI). Se construyeron cuatro modelos redes neuronales artificiales (ANN), uno para cada respuesta, con una capa de entrada y una capa oculta, y cuatro modelos de regresión tipo LASSO (least absolute shrinkage and selection operator). Los resultados demostraron la eficiencia de los modelos, evaluados mediante los estadísticos error absoluto medio (MAE), raíz del error cuadrático medio (RMSE), error de sesgo medio normalizado (NMBE) y coeficiente de determinación (R2). Los modelos de redes neuronales mostraron mayor precisión, con valores de R2 de 0.982, 0.969, 0.978 y 0.978, en la predicción de los parámetros (δLOP, LOP, δMOR y MOR) del comportamiento a flexión de los UHPFRC.
Palabras clave: concreto de ultra altas prestaciones, regresión tipo LASSO, ANN, modelación, comportamiento a flexión.
1. Introduction
En los últimos años la investigación sobre concretos especiales de alto desempeño ha sufrido un importante progreso [1-3]. Entre éstos cabrían destacar los concretos de ultra alto desempeño reforzados con fibras (UHPFRC por sus siglas en inglés). Estos materiales cuentan con unas propiedades sobresalientes en lo que se refiere a resistencia mecánica y durabilidad debido principalmente al empaquetamiento de partículas, a sus componentes y a los rigurosos procesos de amasado [4-12]. Una dosificación típica de UHPFRC contiene cemento tipo Portland, micro sílice, harina de cuarzo, arena fina silícea, superplastificante reductor de agua de alto rango (HRWR), y fibras metálicas [13-15]. Sin embargo, en los últimos tiempos se ha hecho especial hincapié en el desarrollo de mezclas que incorporen diferentes materiales cementantes suplementarios en sustitución parcial del cemento, humo de sílice y total de harina de cuarzo [1,2,5].
Entre otras aplicaciones de los UHPFRC en la industria de la construcción caben destacar la construcción de puentes peatonales, las dovelas para revestimiento de túneles, el sistema acelerado de construcción de puentes (ABC por sus siglas en inglés), así como mobiliario urbano y fachadas de elevado valor estético [10,16-19].
De acuerdo con lo especificado en el ACI239R-18 el UHPFRC es un concreto con resistencias a la compresión superiores a los 150 MPa y con unas condiciones específicas en cuanto a la ductilidad y tenacidad [20]. La exigencia de ductilidad conlleva la incorporación de fibras en la matriz [21]. Por otro lado, la combinación de fibras es un método prometedor para mejorar la tenacidad de los UHPFRC, aprovechando la sinergia que, por ejemplo, consiguen las macro y micro fibras desempeñando un papel en dos niveles diferentes [22]. Autores como Kim et al. [23] han obtenido mejoras en el módulo de rotura (MOR) así como en su deflexión asociada (δMOR ) y en la tenacidad del UHPFRC con mezcla híbrida de micro y macro fibras.
Sin embargo, la medición de las propiedades de los UHPFRC, como el comportamiento a flexión, requieren de experimentación para poder valorar los efectos que cada tipología y cantidad de fibra(s) aporta a dicho comportamiento. Además, estas campañas experimentales son complejas desde los puntos de vista técnico y financiero, con importantes tiempos de desarrollo y costes [24].
El objetivo de la presente investigación es, por un lado, desarrollar modelos predictivos del comportamiento a flexión de los UHPFRC y, por otro, comparar el desempeño de estos modelos de regresión en la predicción del comportamiento a flexión de los UHPFRC. Para cada respuesta del comportamiento a flexión considerada, es decir, el límite de proporcionalidad (LOP), el módulo de rotura (MOR) y sus respectivas deflexiones asociadas δMOR y δLOP , se desarrollaron modelos de regresión del tipo LASSO así como basados en redes neuronales.
Para el desarrollo de los modelos matemáticos se utilizaron datos de 590 casos recogidos de la literatura científica sobre el comportamiento a flexión de los UHPFRC.
2. Conceptos previos
Para poder seguir el proceso de la presente investigación, es necesario exponer previamente algunos conceptos relacionados con el comportamiento a flexión de los UHPFRC.
2.1. Fibras para refuerzo de UHPFRC
Los concretos de ultra alto desempeño tienen un comportamiento eminentemente frágil, por lo que para que para poder conseguir un adecuado comportamiento es necesaria la adición de fibras [12,20]. En general, las fibras incrementan la resistencia a tracción y a flexión del UHPFRC [12,20]. Sin embargo, y más importante que la resistencia alcanzada, las fibras mejoran el comportamiento de los UHPFRC, permitiendo que el material sea capaz de soportar incrementos de carga después de la aparición de la primera fisura, lo que se conoce como tenacidad [20].
Tal y como se puede observar en la Fig. 1, existe gran diversidad de fibras en función del material y forma.

En la caracterización de las fibras es importante considerar los siguientes factores [25-29]: contenido de fibra en volumen expresado en porcentaje (Vf%), longitud de la fibra en mm (lf ), diámetro equivalente de la fibra en mm (df ), relación de aspecto o esbeltez (lf/df ), factor fibra (χf) definido como el sumatorio de los productos Vf ×lf/fd por cada tipo de fibra en el concreto, forma de la fibra (lisa, acabada en ganchos, retorcida, corrugada, etc.), material de la fibra y su resistencia a tracción expresada en MPa.
2.2. Disposiciones de ensayo para determinar el comportamiento a flexión
Existen diferentes disposiciones de ensayos para medir el comportamiento a flexión de los UHPFRC en función de las dimensiones del prisma y la disposición de las cargas. A conocimiento del autor, el más utilizado es el ensayo a tres puntos sobre vigas de 40×40×160 mm de acuerdo con EN-196-1 [30-32]. Sin embargo, otras dimensiones de prisma y disposiciones se han reportado en la literatura científica consultada [33,34].
Los parámetros recogidos en la base de datos relacionados con la disposición del ensayo a flexión son: disposición de la carga a (tres o cuatro puntos); distancia entre apoyos en mm; espesor del prisma en mm; altura del prisma en mm; y longitud del prisma en mm.
2.3. Comportamiento a flexión de los concretos reforzados con fibras
El comportamiento a flexión de los concretos reforzados con fibras podría categorizarse en los niveles de rotura frágil, reblandecimiento por deflexión y endurecimiento por deflexión [23,26], tal como se observa en la Fig. 2.

La Fig. 2a representa el comportamiento típico de los concretos sin fibras o con escaso contenido de fibras, en los que no hay contribución de éstas al comportamiento a flexión. Por otro lado, las Figs. 2b y 2c representan el comportamiento de reblandecimiento por deformación, en el que tras la primera fisura existe cierta contribución de las fibras al comportamiento por flexión. Esta contribución puede no llevar a ningún incremento de la carga desde la caída de tensión tras la fisuración (como se muestra en la Fig. 2b) o llevar a un pequeño incremento de la carga manteniendo la relación MOR<LOP (Fig. 2c). En ambos casos se desarrolla una única fisura y el comportamiento posterior a la formación de ésta se debe a la adherencia de las fibras que cosen la fisura. Finalmente, en la Fig. 2d se puede observar el comportamiento de endurecimiento por deflexión. En este caso se cumple la relación MOR>LOP, lo que es posible gracias a la aparición de nuevas fisuras tras la que produce la tensión LOP [23,26]. A este fenómeno, fundamental para el comportamiento dúctil del material, se le conoce como multifisuración [23,26].
3. Base de datos
3.1. Recopilación de datos
Para el entrenamiento de los modelos se usaron 590 datos de dosificaciones de UHPFRC con información sobre el comportamiento a flexión. Es importante destacar que en esta base de datos se contemplan tanto dosificaciones con un solo tipo de fibra (denominada en la base de datos como fibra 1), como dosificaciones con mezclas binarias de fibra (fibra 1y fibra 2).
Otro aspecto para resaltar es la presencia de variables cualitativas en la base de datos, como sería el caso de la disposición del ensayo y el tipo de fibra. Para poder incorporar estas variables en los modelos matemáticos se han dispuesto variables tipo dummy o dicotómicas.
Las variables independientes recogidas en la base de datos, así como su codificación se pueden observar en la Tabla 1.
Las variables respuesta se explican en la Tabla 2.


3.2. Normalización de datos
Es necesario normalizar la base de datos para que la magnitud de las diferentes variables se equipare y no tengan más influencia unas que otras [35,36]. El preprocesamiento o la normalización de los datos elimina la posibilidad de sesgo de los modelos matemáticos hacia las diferentes identidades transformando todos los datos de entrada y salida [35,36]. En la presente investigación se ha utilizado la escala lineal en el rango [0, 1] para la normalización de datos, como se muestra en la Ecuación (1):
(1)donde xnorm es el valor normalizado de la variable x, mientras que xmax y xmin representan los valores máximos y mínimos de este valor en la base de datos.
3.3. División de datos: datos de entrenamiento y datos de testeo
Para el entrenamiento y el testeo de los modelos matemáticos de predicción, la base de datos fue dividida al azar en conjuntos de datos de entrenamiento (75% de los datos) y testeo (25%). Ambos subconjuntos contenían todos los componentes/propiedades posibles en el concreto.
Además, para evaluar la red neuronal mientras se ajustan sus parámetros (como el número de neuronas en las capas ocultas en los modelos de redes neuronales o el factor λ en la regresión tipo LASSO), los datos de entrenamiento se pueden dividir a su vez en un conjunto de entrenamiento y validación. Sin embargo, existe el riesgo de que los puntajes de validación puedan cambiar mucho dependiendo de qué puntos de datos se seleccionen para la validación y cuáles se seleccionan para el entrenamiento de los modelos. Es decir, los puntajes de validación pueden tener una gran variación con respecto a la división de validación. Esto llevaría a una evaluación poco confiable de los modelos [36].
La mejor práctica en tales situaciones es utilizar la validación cruzada tipo k-fold (ver Fig. 3), basada en la división de las observaciones disponibles en k particiones, entrenando cada modelo en k - 1 particiones mientras se verifica la partición restante. El puntaje de validación para el modelo empleado es entonces el promedio de los k puntajes de validación obtenidos [36]. En esta investigación se consideró k = 10 en la validación cruzada. Además, para el puntaje de validación se utilizó la raíz cuadrada del error cuadrático medio (RMSE por sus siglas en inglés) promedio de las k modelaciones, conforme se observa en la Fig. 3.

4. Investigación analítica
4.1. Introducción
Algunas de las aplicaciones de la inteligencia artificial en el campo de la ingeniería civil en los últimos años incluyen la detección de daños estructurales, la detección y cuantificación de recursos hídricos subterráneos y la ingeniería de tráfico, entre otros [38,39]. Siendo además, la predicción de las propiedades del concreto en función de sus componentes una de las áreas de mayor producción científica [7,40-43].
La presente investigación emplea técnicas de regresión basadas en la regularización tipo LASSO [44] y las redes neuronales del tipo feed-forward. Para el desarrollo de los citados modelos matemáticos se utilizó el lenguaje de programación estadístico R versión 3.6.0 [45]. Específicamente, se utilizaron las funciones glmnet [46] para el desarrollo de las regresiones tipo LASSO y neuralnet [47] para el desarrollo de los modelos de redes neuronales.
4.2. Regresión tipo LASSO
La inclusión en un modelo de un gran número de predictores puede suponer un desafío a la hora de su interpretación. La regresión tipo LASSO es un método de análisis de regresión que realiza selección de variables y regularización para mejorar la exactitud e interpretabilidad de modelos estadísticos [46,48]. Fue introducida por Robert Tibshirani en 1996 y sus aplicaciones abarcan desde las regresiones polinómicas hasta la inteligencia artificial y el aprendizaje automático [46,48]. Este procedimiento matemático se basa los métodos de regularización en los que se ajusta un modelo de regresión con todos los predictores, “contrayendo” los coeficientes estimados o disminuyendo sus valores hacia 0, lo cual puede reducir de manera significativa su varianza [46].
En una regresión polinómica se seleccionan los parámetros β0, β1, …, βp que minimizan la suma de cuadrados de los residuos (RSS) de acuerdo con la Ecuación (2):
(2)Por otro lado, los coeficientes estimados en la regresión tipo LASSO minimizan la expresión expuesta en la Ecuación (3):
(3)donde λ ≥ 0 es el parámetro de penalización. Si λ es lo suficiente elevado, algunos de los coeficientes pueden llegar a reducirse hasta exactamente 0, por lo que el método actúa como selector de variables, y la interpretación del modelo se facilita al crear modelos más simples [44]. Seleccionar un valor apropiado para λ es muy importante, ya que de él depende la eficiencia del modelo [476], por lo que es necesario un método para seleccionar el valor del parámetro de penalización λ. Una opción simple es utilizar validación cruzada tipo k-fold, expuesta con anterioridad. Durante el entramiento del modelo con validación cruzada k-fold se eligen un conjunto de valores para λ y se calcula el RMSE de validación para cada valor. Se selecciona el valor de λ para el que el error ha sido menor, y finalmente se reajusta el modelo con todas las observaciones disponibles con el valor de λ escogido [46].
4.3. Redes neuronales artificiales (ANN)
Las redes neuronales artificiales son paradigmas de procesamiento de datos que están compuestas de un gran número de elementos procesadores, llamados neuronas, interconectados y trabajando recibiendo y enviando información [49].
La arquitectura más simple de una ANN, llamada perceptrón, fue presentada por primera vez por Rosenblatt [50]. El perceptrón consiste en una neurona con dos entradas y una salida conforme se aprecia en la Fig. 4. Se distinguen cuatro componentes fundamentales en el perceptrón: sensores que reciben los valores de entrada, pesos que afectan la magnitud de los valores de entrada, una función que recolecta los datos afectados por sus pesos para producir una medida propia del impacto del fenómeno observado, y una función de activación que aporta la transformación no lineal final para producir la salida [49,50].
Para aplicaciones más complejas se usan las arquitecturas de perceptrón multicapa feed-forward [2,3].

Tal y como se observa en la Fig. 4, el conjunto xi= (x1, x2) contiene los valores de entrada que son aplicados a cada neurona. Un bias b es añadido a la neurona junto a las entradas. El conjunto wik = (w1k , w2k ) corresponde a los pesos que cada neurona le ha asignado a la neurona de la capa que le precede. La función de suma calcula la entrada neta que recibe la neurona mediante la expresión expuesta en la Ecuación (4):
(4)donde vk representa la regla de propagación, que es la suma que recibe la k-ésima neurona de la capa precedente; wik es el peso asignado por la k-ésima neurona al vínculo formado con la i-ésima neurona; xi es el valor de entrada que la i-ésima neurona transmite; y b es un valor ajustado [51].
La función de activación es una expresión que procesa el input neto obtenido de la función de suma anterior, y determina el valor de salida que la j-ésima neurona entregará a las de la capa siguiente con las cuales esté conectada. Para arquitecturas sencillas la función de activación más usada es la sigmoide binaria [52]. Otras usadas comúnmente son la función rectilínea uniforme (ReLu), lineal y tangente hiperbólica [36]. La presente investigación utilizó la función de activación sigmoide binaria [53], descrita en la Ecuación (5):
(5)donde C es una constante usada para controlar la pendiente de la región semi lineal.
Por otro lado, el proceso por el cual se ajustan los pesos de la red para producir una determinada salida es lo que se conoce como entrenar la red neuronal. Este entrenamiento realizado a través de los algoritmos de aprendizaje consiste en dos pasos principales: en el primero se asignan pesos aleatorios a todas las conexiones entre las neuronas y se genera un flujo hacia delante de la señal desde la capa de entrada hasta la de salida. El resultado de esta última capa es comparado con los valores reales de la variable respuesta. En el siguiente paso, los pesos y bias en las capas ocultas se modifican en un flujo hacia atrás con el objetivo de reducir el error. El algoritmo de aprendizaje más utilizado en redes perceptrón multicapa feed-forward es el conocido como algoritmo de propagación hacia atrás o retropropagación (BP por sus siglas en inglés) desarrollado por Rumelhart et al. [54]. En los últimos años se han desarrollado otros algoritmos de aprendizaje, como la retropropagación resiliente (Rprop). Rprop tiene dos ventajas principales sobre la propagación hacia atrás: primero, el entrenamiento con Rprop suele ser más rápido que el entrenamiento con propagación hacia atrás. En segundo lugar, Rprop elimina la influencia negativa del tamaño de la derivada de error parcial en el ajuste de los pesos, en oposición al algoritmo de BP que necesita valores para la tasa de aprendizaje. En consecuencia, solo se tiene en cuenta el signo de la derivada para indicar la dirección de la actualización del peso [55,56]. Para obtener más información sobre Rprop se recomienda consultar las referencias [56] y [56]. En este trabajo, los modelos de perceptrón multicapa se entrenaron utilizando la retropropagación resiliente como algoritmo de aprendizaje.
Para definir las variables de entrada de cada modelo, se aprovechó la selección previa realizada por el método LASSO.
Finalmente, la selección del número de neuronas en la capa oculta de la red se realizó mediante validación cruzada tipo k-fold [36].
4.4. Evaluación del desempeño de los modelos matemáticos
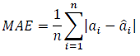
Los modelos matemáticos, ajustados con los datos de entrenamiento a través de la validación cruzada k-fold, fueron evaluados en el subconjunto de testeo. En el presente trabajo, se han utilizado cuatro parámetros estadísticos diferentes para medir la precisión predictiva del modelo, a saber, error absoluto medio (MAE), raíz del error cuadrático medio (RMSE), error de sesgo medio normalizado (NMBE) y coeficiente de determinación múltiple (R2), cuya formulación se expone en las Ecuaciones. (6) - (9) respectivamente.
(6)
(7)
(8)
(9)donde: a es el objetivo o valor experimental; ā representa la media del objetivo, â es la salida del modelo y n es el número total de observaciones.
El MAE se basa en las diferencias absolutas entre lo medido y lo estimado. Para un sistema predictivo perfecto, cero es el valor óptimo de MAE [39]; El RMSE es una de las estadísticas de índice de error más utilizadas [57]. El RMSE compara los valores observados con los valores objetivo y calcula la raíz cuadrada del error residual promedio, señalando el error en las unidades del componente de interés. El valor óptimo de RMSE es cero, lo que indica un ajuste perfecto. Sin embargo, RMSE proporciona más peso a los errores grandes [35]; El NMBE proporciona información sobre el sesgo medio en las estimaciones de un modelo. Un NMBE negativo indica una predicción excesiva y un NMBE positivo indica una predicción insuficiente del modelo [58]; El coeficiente de determinación (R2) compara la precisión del modelo con la precisión de un modelo de referencia superficial en el que la predicción es la media de todas las muestras [59]. Las estadísticas de R2 dependen de las relaciones lineales entre los valores observados y objetivo y, en ocasiones, pueden proporcionar resultados sesgados cuando esta relación no es lineal o cuando los valores contienen muchos valores atípicos. Para una asociación perfecta entre los valores observados y predichos, el valor de R2 es la unidad. Un uso combinado de las métricas de puntaje narradas anteriormente puede proporcionar una estimación imparcial de la capacidad de predicción de los modelos matemáticos [35].
5. Resultados y discusión
5.1. Regresión tipo LASSO
5.1.1. Modelos
Los modelos obtenidos mediante el entrenamiento con validación cruzada tipo k-fold se observan en la Tabla 3.

5.1.2. Evaluación de los modelos
Los valores btenidos de los parámetros estadísticos utilizados para la evaluación de los modelos tipo LASSO se presentan en la Tabla 4.

La Fig. 5 muestra la comparativa entra los valores reales y los predichos por los modelos tipo LASSO. Las líneas rojas punteadas señalan el intervalo del error estándar de la predicción para cada conjunto de datos a ambos lados de la recta principal a 45º.

5.2. Redes neuronales artificiales
5.2.1. Modelos
En la Fig. 6 se pueden observar los resultados de la validación cruzada para diferentes números de neuronas en la capa oculta de los diferentes modelos.

Tal y como se aprecia en la Fig. 7 el desempeño óptimo de todas las redes neuronales salvo la ANN
se alcanza en la séptima neurona en la capa oculta. En el caso de la red ANN
esto se produce con la duodécima neurona. Como consecuencia de esto último todos los modelos a excepción de ANN
cuentan con siete neuronas en la capa oculta de los modelos, mientras que el modelo ANN
cuenta con doce.

La Fig. 7 muestran la comparativa entre los valores reales y los predichos por los modelos de redes neuronales.
5.2.2. Evaluación de los modelos
Los valores obtenidos de los parámetros estadísticos utilizados para la evaluación de los modelos de redes neuronales se presentan en las Tabla 5.

5.3. Discusión
Los modelos matemáticos planteados constituyen una herramienta precisa para la predicción del comportamiento a flexión de lo UHPFRC. Esta situación es especialmente relevante en el caso de los modelos basados en redes neuronales, los cuales obtienen coeficientes de correlación muy próximos a la unidad en todos los casos (ver Tabla 5). Esto se debe a la naturaleza no lineal de los modelos de redes neuronales y a su gran capacidad de modelar interacciones entre las variables independientes. Asimismo, los gráficos presentados en la Fig. 7 muestran una mejora significativa frente a los presentados en la Fig. 5, no sólo por la mejor alineación de los puntos sobre la recta de 45º, sino también por el hecho del estrechamiento del intervalo correspondiente al error estándar de la predicción.
Los modelos planteados pueden ser de gran utilidad en el desarrollo de dosificaciones de UHPFRC sometidos a flexión, ya que, debido a su precisión, permiten preseleccionar las combinaciones de componentes (materiales cementantes, agregados y fibras) que obtengan los mejores resultados en el modelo al menor costo. De esta forma se puede reducir el tiempo y costo necesarios para la campaña experimental.
6. Conclusiones y futuras líneas de investigación
El presente trabajo analizó la viabilidad del empleo de modelos matemáticos tipo LASSO y modelos de redes neuronales en la predicción del comportamiento a flexión de los concretos de ultra altas prestaciones reforzados con fibras (UHPFRC). Los parámetros del comportamiento a flexión estudiados fueron la deflexión bajo la carga de fisuración, el límite de proporcionalidad o esfuerzo de fisuración, la deflexión bajo carga máxima, y el módulo de rotura. Las siguientes conclusiones arrojaron varias conclusiones:
Los modelos de regresión tipo LASSO demostraron su buena precisión en la predicción de todos los parámetros del comportamiento a flexión de los UHPFRC. Los valores de los coeficientes de correlación R2 obtenidos en el conjunto de datos de testeo fueron de 0.764, 0.738, 0.876 y 0.803 respectivamente.
Las arquitecturas de redes neuronales seleccionadas mediante validación cruzada tipo k-fold contaron con siete neuronas en la capa oculta en todos los casos salvo en la red que predijo el esfuerzo MOR. En este último caso el número de neuronas en la capa oculta fue de doce.
Los modelos de regresión basados en redes neuronales obtuvieron los mayores valores de correlación R2. Estos valores fueron muy próximos a la unidad en todos los casos, siendo los calculados para los datos de testeo de 0.982, 0.969, 0.978 y 0.978 respectivamente.
Comparado con los modelos tipo LASSO los modelos de redes neuronales obtuvieron un mayor desempeño debido a su naturaleza no lineal y a su gran capacidad de modelar interacciones entre las variables independientes
Futuras líneas de investigación a desarrollar incluyen la utilización de otras metodologías de inteligencia artificial, como por ejemplo random forest y boostrapping para la predicción de propiedades de concretos especiales. La finalidad de estas investigaciones es la de ofrecer modelos matemáticos que ayuden a la investigación y desarrollo de estos concretos especiales, permitiendo la preselección de componentes que ofrezcan los mejores resultados en los modelos al menor coste.
Agradecimientos
El autor agradece a la Dirección de Tecnología OSIRIS de la Escuela Colombiana de Ingeniería Julio Garavito por el apoyo y disposición de los servidores para corres los algoritmos de inteligencia artificial sobre los que se trata en el presente trabajo
Referencias
Abellán, J., Fernández, J., Torres, N. and Núñez, A., Statistical optimization of ultra-high-performance glass concrete. ACI Materials Journal, 117(1), pp. 243-254, 2020. DOI: 10.14359/51720292.
Abellán-García, J., Fernández-Gómez, J. and Torres-Castellanos, N., Properties prediction of environmentally friendly ultra-high-performance concrete using artificial neural networks. European Journal of Environmental and Civil Engineering, pp. 1-25, 2020. DOI: 10.1080/19648189.2020.1762749.
Abellán-García, J., Four-layer perceptron approach for strength prediction of UHPC. Construction and Building Materials, 256 ,2020. DOI: 10.1016/j.conbuildmat.2020.119465.
Abellan, J., Torres, N., Núñez, A. and Fernández, J., Influencia del exponente de Fuller, la relación agua conglomerante y el contenido en policarboxilato en concretos de muy altas prestaciones, en: IV Congr. Int. Ing. Civ., Havana, Cuba, 2018. pp. 215-220.
Abellán, J., Fernández, J., Torres, N. and Núñez, A., Development of cost-efficient UHPC with local materials in Colombia, Proceedings of Hipermat 2020 - 5th International Symposium on UHPC and Nanotechnology for Construction Materials, Kassel, Germany, 2020. pp. 97-98.
Soliman, N.A. and Tagnit-Hamou, A., Using particle packing and statistical approach to optimize eco-efficient ultra-high-performance concrete. ACI Materials Journal, 114(6), pp. 847-858, 2017. DOI: 10.14359/51701001.
Ghafari, E., Costa, H., Nuno, E. and Santos, B., RSM-based model to predict the performance of self-compacting UHPC reinforced with hybrid steel micro-fibers. Construction and Building Materials, 66, pp. 375-383, 2014. DOI: 10.1016/j.conbuildmat.2014.05.064.
Schmidt, C. and Schmidt, M., ‘Whitetopping’ of asphalt and concrete pavements with thin layers of ultra-high-performance concrete - construction and economic efficiency, in: M.S.E.F.C.G.S. Fröhlich, S. Piotrowski, Eds., 3rd Int. Symp. UHPC Nanotechnol. High Perform. Constr. Mater., Kassel University, Kassel, Germany, 2012, pp. 921-927. DOI: ISBN online: 978-3-86219-264-9.
Abbas, S., Nehdi, M.L. and Saleem, M.A., Ultra-high performance concrete: mechanical performance, durability, sustainability and implementation challenges. International Journal of Concrete Structures and Materials, 10(3), pp. 271-295, 2016. DOI: 10.1007/s40069-016-0157-4.
Nehdi, M., Abbas, S. and Soliman, A., Exploratory study of ultra-high performance fiber reinforced concrete tunnel lining segments with varying steel fiber lengths and dosages. Engineering Structures, 101, pp. 733-742, 2015. DOI: 10.1016/j.engstruct.2015.07.012.
Filho, R.D.T., Koenders, E.A.B., Formagini, S. and Fairbairn, E.M.R., Performance assessment of ultra high performance fiber reinforced cementitious composites in view of sustainability. Materials and Design, 36 , pp. 880-888, 2012. DOI: 10.1016/j.matdes.2011.09.022.
Abellán, J., Torres, N., Núñez, A. and Fernández, J., Ultra high preformance fiber reinforced concrete: state of the art, applications and possibilities into the latin american market, XXXVIII Jornadas Sudamericanas de Ingeniería Estructural, Lima, Peru, 2018.
Tagnit-Hamou, A., Soliman, N.A. and Omran, A., Green Ultra - High - Performance Glass Concrete, First International Interactive Symposium on UHPC - 2016. 3(1), 2016, pp. 1-10.
Richard, P. and Cheyrezy, M., Composition of reactive powder concretes. Cement and Concrete Research, 25(7), pp. 1501-1511, 1995. DOI: 10.1016/0008-8846(95)00144-2.
De Larrard, F. and Sedran, T., Mixture-proportioning of high-performance concrete, Cement and Concrete Research, 32(11), pp. 1699-1704, 2002. DOI: 10.1016/S0008-8846(02)00861-X.
Tayeh, B.A., Abu Bakar, B.H., Megat Johari, M.A. and Voo, Y.L., Utilization of ultra-high performance fibre concrete (UHPFC) for rehabilitation - A review, Procedia Engineering, 54, pp. 525-538, 2013. DOI: 10.1016/j.proeng.2013.03.048.
Soliman, N.A. and Tagnit-Hamou, A., Using glass sand as an alternative for quartz sand in UHPC. Construction and Building Materials, 145, pp. 243-252, 2017. DOI: 10.1016/j.conbuildmat.2017.03.187.
Kalny, M., Kvasnicka, V. and Komanec, J., First practical applications of UHPC in the Czech Republic, in: Fehling, E., Middendorf, B. and Thiemicke, J., Eds., Proc. Hipermat 2016 - 4th International Symposium on UHPC and Nanotechnology Construction Materials, Kassel, Germany, 2016, pp. 147-148.
Abellán, J., Núñez, A. and Arango, S., Pedestrian bridge of UNAL in Manizales : a new UPHFRC application in the Colombian building market, Proceedings of Hipermat 2020 - 5th International Symposium on UHPC and Nanotechnology for Construction Materials, Kassel, Germany, 2020, pp. 43-44.
ACI Committe 239, ACI - 239 Committee in Ultra-High Performance Concrete, 2018.
Serna-Ros, P., López-Martínez, J.Á. y Camacho-Torregosa, E., UHPFRC : De los componentes a la estructura, Simposio Latinoamericano Sobre Concreto Autocompactante, 2012: pp. 1-21.
Wu, Z., Shi, C., He, W. and Wu, L., Effects of steel fiber content and shape on mechanical properties of ultra high performance concrete. Construction and Building Materials, 103, pp. 8-14, 2016. DOI: 10.1016/j.conbuildmat.2015.11.028.
Kim, D.J., Park, S.H., Ryu, G.S. and Koh, K.T., Comparative flexural behavior of hybrid ultra high performance fiber reinforced concrete with different macro fibers. Construction and Building Materials, 25(11), pp. 4144-4155, 2014. DOI: 10.1016/j.conbuildmat.2011.04.051.
Zhang, J. and Zhao, Y., Experimental investigation and prediction of compressive strength of Ultra-High Performance Concrete (UHPC) containing supplementary cementitious materials, Hindawi Adv. Mater. Sci. Eng. 2017, pp. 522-525, 2017. DOI: 10.1155/2017/4563164.
Naaman, A. and Wille, K., The Path to Ultra-High Performance fiber reinforced concrete: five decades of progress, in: Proceedings International Symposium on Ultra High Performance Concrete, 2012, pp. 22-34.
Wille, K., El-tawil, S. and Naaman, A.E., Properties of strain hardening ultra high performance fiber reinforced concrete (UHP-FRC) under direct tensile loading. Cement and Concrete Composites, 48, pp. 53-66, 2014. DOI: 10.1016/j.cemconcomp.2013.12.015.
Yu, R., Spiesz, P. and Brouwers, H.J.H., Development of Ultra-High Performance Fibre Reinforced Concrete (UHPFRC): towards an efficient utilization of binders and fibres. Construction and Building Materials, 79, pp. 273-282, 2015. DOI: 10.1016/j.conbuildmat.2015.01.050.
Muthuswamy, K.R. and Thirugnanam, G.S., Structural behaviour of hybrid fibre reinforced concrete exterior Beam- Column joint subjected to cyclic loading, International Journal of Civil and Structural Engineering, 4(3), pp. 262-273, 2014. DOI: 10.6088/ijcser.201304010026.
Meng, W. and Khayat, K.H., Effect of hybrid fibers on fresh properties, mechanical properties, and autogenous shrinkage of cost-effective UHPC. Journal of Materials in Civil Engineering, 30, art. 04018030, 2018. DOI: 10.1061/(ASCE)MT.1943-5533.0002212.
Asociación Española de Normalización, Métodos de ensayo de cementos Parte 1: Determinación de resistencias, 2018.
Yu, R., Tang, P., Spiesz, P. and Brouwers, H.J.H., A study of multiple effects of nano-silica and hybrid fibres on the properties of Ultra-High Performance Fibre Reinforced Concrete (UHPFRC) incorporating waste bottom ash (WBA). Construction and Building Materials, 60, pp. 98-110, 2014. DOI: 10.1016/j.conbuildmat.2014.02.059.
Wu, Z., Shi, C. and He, W., Comparative study on flexural properties of ultra-high-performance concrete with supplementary cementitious materials under different curing regimes. Construction and Building Materials, 136, pp. 307-313, 2017. DOI: 10.1016/j.conbuildmat.2017.01.052.
Camacho-Torregrosa, E., Dosage optimization and bolted connections for UHPFRC ties, Polytechnic University of Valencia, Spain, 2013.
Yang, J., Al., Characteristics of mechanical properties of ultra-high-performance concrete incorporating coarse aggregate, in: Proceedings of Hipermat 2012, 3rd International Symposium on UHPC and Nanotechnology for Construction Materials, Kassel Uni, Kassel, Germany, 2012.
Chandwani, V., Agrawal, V. and Nagar, R., Modeling slump of ready-mix concrete using genetic algorithms assisted training of Artificial Neural Networks. Expert Systems with Applications, 42(2), pp. 885-893, 2015. DOI: 10.1016/j.eswa.2014.08.048.
Chollet, F. and Allaire, J.J., Deep learning with R, Manning Publications Co., New Jersey, USA, 2018.
Chandwani, V. and Nagar, R., Applications of artificial neural networks in modeling compressive strength of concrete: a state of the art review. Journal of Current Engineering and Technology, 4, pp. 2949-2956, 2014.
Adeli, H., Neural Networks in Civil Engineering: 1989 − 2000, Comput. Civ. Infrastruct. Eng. 16, pp. 126-142, 2001.
Aderaw, M., Muse, S. and Abiero, Z.C., Artificial neural network based modelling approach for strength prediction of concrete incorporating agricultural and construction wastes. Construction and Building Materials, 190, pp. 517-525, 2018. DOI: 10.1016/j.conbuildmat.2018.09.097.
Ghafari, E., Costa, H. and Júlio, E., Statistical mixture design approach for eco- efficient UHPC, Cement and Concrete Composites, 55, pp. 17-25, 2015. DOI: 10.1016/j.cemconcomp.2014.07.016.
Ghafari, E., Bandarabadi, M., Costa, H. and Júlio, E., Prediction of fresh and hardened state properties of UHPC: comparative study of statistical mixture design and an artificial neural network model, J. Mater. Civ. Eng. 27(11), pp. 411-4217, 2015. DOI: 10.1061/(ASCE)MT.1943-5533.0001270.
Bharathi, S.D., Manju, R. and Premalatha, J., Prediction of compressive strength for Self- Compacting-Concrete (SCC) using artificial intelligence and regression analysis. International Journal of ChemTech Research, 10(8), pp. 263-275, 2017.
Zhang, J., Zhao, Y., Prediction of compressive strength of ultra-high-performance concrete (UHPC) containing supplementary cementitious materials, in: Proc. - 2017 International Conference on Smart Grid and Electrical Automation. ICSGEA 2017., 2017, pp. 522-525. DOI: 10.1109/ICSGEA.2017.150.
Everitt, B. and Hothorn, T., An introduction to applied multivariate analysis with R, 2008. DOI: 10.1007/978-0-387-78171-6.
R Core Team, R: a language and environment for statistical computing, Vienna, Austria, [online]. 2018. Available at: https://www.r-project.org/.
Friedman, J., Hastie, T. and Tibshirani, R., regularization paths for generalized linear models via coordinate descent. Journal of Statistical Software, 33(1), pp. 1-22, 2010. DOI: 10.1016/j.expneurol.2008.01.011.
Friitsch, S., Guenther, F., Suling, M. and Mueller, S., Neuralnet: training of neural networks, 2016.
James, G., Witen, D., Hastie, T. and Tibshirani, R., An introduction to statistical learning with applications in R, 2007. DOI: 10.1016/j.peva.2007.06.006.
Adeli, H., Neural networks in civil engineering. Computer-Aided Civil and Infrastructure Engineering, 16, pp. 126-142, 2001.
Rosenblatt, F., The perceptron: a probabilistic model for information storage and organization in the brain. Cornell Aeronautical Laboratory, 65(6), pp. 386-408, 1958.
Liu, C., An introduction to artificial neural networks and computational mechanics, Comput Meth Appl Mech Eng. 28(191), pp. 31-45, 2002.
Hassoun, M.H., Fundamentals of artificial neural networks, 1st Ed., MIT Press, Cambridge MA, USA, 1995.
Hudson-Beale, M., Neural network toolbox user’s guide, MathWorks J., 2012.
Rumelhart, D., Hinton, G. and Williams, R., Learning internal representations by error propagation, in: Rumelhart, D. and McClelland, J., Eds., Parallel Distributed processing: explorations in the microstructures of cognition, 1986: pp. 318-362.
Mushgil, H.M., Alani, H.A. and George, L.E., Comparison between resilient and standard back propagation algorithms efficiency in pattern recognition. International Journal of Scientific & Engineering Research, 6(3), pp. 773-778, 2015.
Prasad, N., Singh, R. and Lal, S.P., Comparison of back propagation and resilient propagation algorithm for spam classification, Proceedings of International Conference on Computational Intelligence, Modelling and Simulation, 2013, pp. 29-34. DOI: 10.1109/CIMSim.2013.14.
Moriasi, D.N., Arnold, J.G., Liew, M.W. Van, Bingner, R.L., Harmel, R.D. and Veith, T.L., Model evaluation guidelines for systematic quantification of accuracy in watershed simulations. American Society of Agricultural and Biological Engineers, 50(3), pp. 885-900, 2007.
Srinivasulu, S. and Jain, A., A comparative analysis of training methods for artificial neural network rainfall - runoff models. Applied Soft Computing, 6, pp. 295-306, 2006. DOI: 10.1016/j.asoc.2005.02.002.
Gupta, S., Using artificial neural network to predict the compressive strength of concrete containing Nano-silica. Civil Engineering and Architecture, 1(3), pp. 96-102, 2013. DOI: 10.13189/cea.2013.010306.
Notes
Author notes