Articles
Forecasts on the seismic behavior of buildings constructed with the Great Soviet Panel
Pronósticos sobre el comportamiento sísmico de edificaciones construidas con el Gran Panel Soviético
Forecasts on the seismic behavior of buildings constructed with the Great Soviet Panel
DYNA, vol. 88, no. 216, pp. 145-151, 2021
Universidad Nacional de Colombia
Received: 01 June 2020
Revised document received: 12 December 2020
Accepted: 01 January 2021
Abstract: After a visual inspection of a representative sample of 200 buildings, pathological deterioration in structural elements and joints, with severe levels of damage, was detected in the buildings built with the Great Soviet Panel prefabricated system in Santiago de Cuba. Likewise, increases in weight and changes in rigidity were found, due to the contraventions of the inhabitants. In this research, with the aim of forecasting the seismic behavior of some buildings built with the Great Soviet Panel precast system, the values of the fundamental periods are determined through the environmental vibrations of 7 buildings that make up the sample studied. It is concluded that changes are expected in the seismic behavior of these instrumented buildings.
Keywords: fundamental period, environmental vibrations, seismic behavior, precast system, Great Soviet Panel.
Resumen: En las edificaciones construidas con el sistema prefabricado Gran Panel Soviético en Santiago de Cuba, se detectó tras una inspección visual a una muestra representativa de 200 edificios, deterioro patológico en elementos estructurales y juntas, con niveles severos de afectación. Igualmente se hallaron incrementos en el peso y transformaciones en la rigidez, a causa de las contravenciones de los moradores. En esta investigación con el objetivo de pronosticar el comportamiento sísmico de algunas edificaciones construidas con el sistema prefabricado Gran Panel Soviético, se determinan los valores de los períodos fundamentales a través de las vibraciones ambientales de 7 edificaciones que conforman la muestra estudiada. Se concluye que se avizoran cambios en el comportamiento sísmico de estas edificaciones instrumentadas.
Palabras clave: período fundamental, período empírico, vibraciones ambientales, Gran Panel Soviético.
1. Introduction
In the city of Santiago de Cuba, the area of greatest seismic danger in Cuba, there are buildings built with the prefabricated system I-464, popularly known as the Great Soviet Panel. This system became the main resource to solve housing problems in this city and despite having been a concentrated production in it, it came to occupy 13.9% of the total production of the prefabricated housing plants at the national level until 1988. Buildings were built according to two types (with balcony and without balcony) and they have fundamentally 4 or 5 levels. See Fig. 1.

The system is based on structures of large reinforced concrete panels joined by steel bars, where the joints are filled with concrete poured in situ (wet joints) to produce a unitary, rigid and homogeneous element. The vertical panels are located both transversely and longitudinally (crossed system). The horizontal joints between the slabs and the panels are also wet joints, which allow the adequate work of the mezzanines and roof as a rigid disk. This has made it possible to show good seismic behavior in countries where it has been implemented, such as Chile and Armenia. However, there is concern about the seismic behavior of these buildings built in Santiago de Cuba.
Socarrás and Álvarez [1] recently carried out a visual inspection of a representative sample of 200 buildings. They detected pathological deterioration in the structural elements and joints between them. At the same time, weight increases were found due to the addition of water tanks in the service patios and masonry walls in the multipurpose areas; and also transformations in rigidity due to the opening of panels, elimination of panels, opening of slabs and the filling of lattices of the panels of the longitudinal facades. Although the latter also cause weight increases. In later studies [2-3], the quality and resistance of concrete to compression is defined in elements with pathological deterioration, concluding its poor quality and a resistance that decreases 25.78% in relation to that prescribed in the original project. For this reason, it is urgent to undertake structural seismic rehabilitation actions based on evaluations of seismic behavior.
The determination of the fundamental periods of a building in each of its main directions is the essential dynamic property that determines its seismic behavior. There are different empirical expressions to obtain these fundamental periods, which essentially relate the type of material, the structural system, the type of soil, frequently being a function of the total number of floors. The fundamental periods are also obtained experimentally, through different instrumentation methods, which are based on measurements caused by vibrations (explosions, environmental vibrations, forced vibrations, earthquakes, among others). Specifically, the method of environmental vibrations (EV), generated mainly by human activity, the operation of industrial machinery, vehicular traffic and vibrations produced by the wind, is very simple and inexpensive, therefore its use has increased in recent years.
Researchers such as Muñoz et al. [4], Peña [5], Ortiz [6], Peralta et al [7], Chango [8], Esquivel [9], Díaz [10] among others, have used the values of the periods obtained through the environmental vibrations (TEV), to control and verify the quality of a rehabilitated work, control the damage caused by an earthquake, calibrate structural models, evaluate seismic vulnerability, among others. Specifically, Peralta et al [7] compare the vibration periods of two typical masonry buildings, obtained by numerical models and environmental vibrations. A building with cracks in the walls, damp tiles and collapse of an area; the other building without structural problems. The periods obtained by environmental vibrations in the damaged building exceed between 12.4-33% the period values of the building without damage. At the same time, approximate values of the periods obtained are achieved through numerical models and environmental vibrations, calibrating the numerical models through the variation of the deformation modulus of the masonry.
In this research, with the aim of forecasting the seismic behavior of some buildings built with the prefabricated Great Soviet Panel (GSP) system, the TEV values of 7 buildings that make up the representative sample of 200 buildings are determined. These 7 buildings are chosen, taking into account the state of conservation, the changes in rigidity and the weight increases. 6 of these buildings have 5-level and one has 4-level. Therefore, it is concluded that changes are seen in the seismic behavior of these instrumented buildings. Including the significant increases in the fundamental periods before an earthquake, in relation to the empirical fundamental periods, as well as the possibility of coupling the oscillations.
When the TEV values are compared with the values of the empirical fundamental period offered by Polyakov [11] and Oliva [12], it is observed in 5-level buildings increases up to 45.45% higher in relation to the empirical fundamental periods and in the 4-level building, 6%. Since during an earthquake the fundamental period of a structure can be much greater than that obtained through a vibration generator, to estimate the fundamental periods of the instrumented buildings before the design earthquake, the TEV values were increased.
The ranges of increases in TEV are assumed to be between 2-15%, considering the contributions of Polyakov [11] and Chopra [13]. For structures with shear walls (prefabricated in one direction), Chopra [13] obtained increases between 2-48% of the periods achieved by forced vibrations in earthquakes of magnitudes of 5.4 and 6.4. Polyakov [11], in the case of the I-464 AC large-panel prefabricated structures, achieved fundamental period increases of around 15% with explosions equivalent to an earthquake of intensity of 8 degrees or higher.
Thus, in 5-story buildings, maximum increases are expected in the fundamental periods of buildings in the event of an earthquake, in relation to the empirical period (T empirical), from 48.00% to 67.27%; and in the 4-story building up to 22%. Also the values of the longitudinal periods are only slightly higher than the transversal ones. Then, it is concluded that changes are foreseen in the seismic behavior of these instrumented buildings. Influencing this, the significant increases in the fundamental periods before an earthquake, in relation to the empirical periods, as well as the possibility of the coupling of the oscillations.
2. Materials and methods
For the determination of the fundamental period of vibration of the buildings built with the Great Soviet Panel, the environmental vibrations are taken as a source of excitation. 7 buildings are chosen that make up a representative sample of 200 buildings, which were inspected. The criteria to be taken into account in this selection were the state of conservation, as well as the weight and / or rigidity modifications.
Then the measurement points in those buildings are selected, which were located in the center of each structural level and at the opposite ends, to measure the longitudinal and transverse periods and assess the torsion. Considering the easy access and that they coincide with the axes of symmetry in plan and elevation. See Fig. 2.

The measurements were made on the roofs of the buildings in a time period of 5 minutes each. Fig. 3 shows the equipment used, a medium period seismometer (Marslite) and a digitizer (EDAS-3M).

The record obtained is processed with the GEOPSY program, which is software for processing signals recorded by seismological stations and geophysical sensors. This allows the spectral analysis to be carried out through the "Discrete Fourier Transform" (DFT) using the "Fast Fourier Transform" (FFT) algorithm.
For each of the selected points of the 7 buildings, the time series and their frequency spectra are processed, which allow obtaining the period values. Obtaining the values of the fundamental periods as reciprocal of the frequency.
3. Results
Figs. 4 and 5 show the time series corresponding to point 4 of building B, as well as the frequency spectra of that same point, respectively. Table 1 shows the values of the fundamental longitudinal and transverse periods at each measurement point.



4. Discussion
The criteria for the selection of the 7 buildings are described below:
Building G, has decreased rigidity due to the presence of pathological deterioration in the structural elements and joints between them.
Building D, has a good technical-constructive state, but with a transverse panel opening on the first floor that causes a decrease in rigidity.
AC and EF buildings have a decrease in rigidity due to pathological deterioration, increased loads due to water tanks and masonry walls, as well as increased rigidity due to the filling of the latticework of longitudinal façade panels, which in turn loads also increase.
From the dimensions of the buildings that appear in Table 2, the regularity in plan and elevation is analyzed, which is summarized in Table 3. Likewise, the area of panels by variants is determined, which is collected in Table 4.



From this first analysis it is concluded that all the instrumented buildings, according to the conditions of the original project, have mechanical symmetry; as obtained by Socarrás et al. [14]. The length / width ratio is exceeded only 11% as shown in Table 3 and complies with the height / width ratio. Table 4 shows that, for both directions, 10% of the total panel area is greater than 3% of the plan area. Therefore, the buildings built with the Great Soviet Panel prefabricated system have a conceptual design suitable for seismic danger zones. Although taking into account the relationship of the length (16 m) and width (9.6m) of the buildings, these should have greater rigidity in the longitudinal direction and, therefore, lower values of the longitudinal fundamental periods. However, they have greater stiffness in the transverse direction because the area of longitudinal panels at all levels is less than the area of transverse panels. Therefore, in Fig. 5 it is observed that the frequency values are higher in the transverse direction (4.5928 Hz) in relation to the longitudinal direction (4.2812 Hz), which implies that the fundamental periods in the longitudinal direction as shown in Table 1.
When comparing the fundamental periods obtained according to the environmental vibrations, of the corner points in relation to the central point in each of the buildings and in each of the directions (longitudinal and transverse), which appear in Table 1, they are delimited two cases:
Case I: In the three points equal values are reached. Example: Building G
Case II: At the corner points, values differing from the center are reached. Examples: Buildings A-F
In case I there is no rotation and therefore there will be no coupling of the oscillations. However, in case II buildings, there is rotation with the coupling of the oscillations, consequently there is the possibility of negative effects that increase the shear in the structural elements. At the same time, in buildings A-E, there are differences between the longitudinal and transverse periods of 0.10-1.80%, in building F of 1.00-4.00% and in building G of 5.00-6.00%. Small differences between the longitudinal and transverse periods indicate that the decrease in stiffness in the transverse direction is greater than in the longitudinal direction. As a result, it can be concluded that the possibility of the coupling of the oscillations and the increase in the periods (especially the transverse one) is due to the decrease in stiffness due to the opening of the transverse panels and the increase in the loads.
Table 5 shows the empirical period values of the Great Soviet Panel precast system, according to different sources. This research considers that the expressions of Polyakov [11] and Oliva [12] are more suited to these buildings, because they were obtained specifically for I-464 large-panel prefabricated buildings. In particular, that of Oliva [12] for a sample of buildings built in Santiago de Cuba.

Note: hn is the total height of the building (m) from the base, CT = 0.047, x = 0.85 for E2 reinforced concrete structural systems with a rigid facade, N is the number of floors.
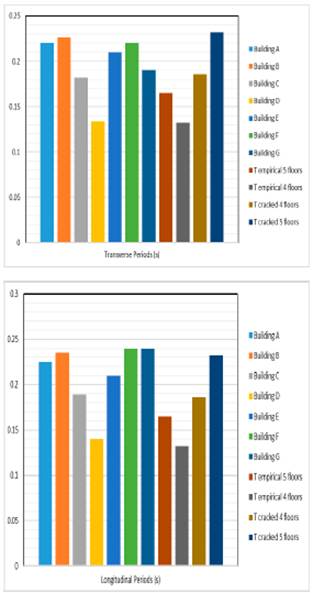
It can be seen that the periods obtained by the environmental vibrations, for all the buildings, are greater than the empirical periods of Table 2 offered by Oliva [12], as shown in Fig. 6. In building D, with 4 levels, the maximum increase is 6%. In the remaining buildings, with 5 levels, the increases are between 14.00-45.45%.

Building G, with increases up to 45.45%, only shows a decrease in stiffness due to pathological deterioration as explained above. From this analysis it is concluded that the pathological deterioration in the structural elements and the joints between them, significantly affects the increase of the fundamental periods, and therefore in the increase of the deformations. In the same way, when analyzing the increases in the fundamental periods of oscillation in the remaining buildings, it is shown that they are due, in equal proportion, to the decrease in stiffness due to the panel opening and to the increase in seismic weight. The increase in seismic weight is given by the addition of loads from the water tanks, masonry walls and the filling of the lattices. This filling of lattices can provide an increase in “instantaneous” stiffness; but it is evident that it contributes more to the increase in loads.
During an earthquake, the fundamental period of a structure can be much greater than that obtained through a vibration generator; therefore, the fundamental periods of the buildings can be greater than the TEV. This is because, with greater amplitudes of movement, the fundamental period of oscillation of a structure increases. Therefore, Chopra [13] argues that only under small oscillations the fundamental period of a linear system (Ti) is equal to the elastoplastic (Te).
Then, the Ministry of Housing and Urbanism of Chile in its decrees [16] and [17]; establishes for the determination of the period of greatest translational mass, the calculation of the cracked or elastoplastic period (Te), due to the loss of rigidity due to cracking of the concrete, considering eq. (1):

In this sense:

Rodríguez [19] proposes eq. (3):

If the cracked period of the instrumented buildings is valued, between 1.5 to √2 the empirical period offered by Oliva [12], we have:
For 4 levels: Te = 0.186 ~ 0.198 s
For 5 levels: Te = 0.232 ~ 0.247 s
The only building with 4 levels is D, and it can be seen that the highest TEV values are not in the range of the cracked period. However, for 5-story buildings, the fundamental periods according to environmental vibrations (TEV) of buildings B, F and G, are included in the range of the cracked period. That is, the TEV values of these buildings already correspond to the period of the elastoplastic system without having occurred an earthquake. See Fig. 6. Being evident that there is currently a deterioration of the rigidity in these buildings before the occurrence of an earthquake.
Chopra [13] for a structure, made up of shear walls cast in situ and prefabricated, obtained increases before an earthquake, of the instrumented periods, between 2-48%. Polyakov [11] for buildings I-464 AC, obtained increases of 15%. If increases between 2-15% are assumed, in the 4-story building, periods of 0.143 s to 0.161s can be reached in the event of an earthquake, which represent increases in the order of 8.10-22.00% in relation to the empirical period. On the other hand, in buildings with 5 levels, periods from 0.245s to 0.276s can be reached, which represent increases between 48.00-67.27%. Therefore, it is concluded that changes in the seismic behavior of these instrumented buildings are foreseen due to the increase in the fundamental periods of oscillation in relation to the empirical period.
5. Conclusions
The buildings constructed with the Great Soviet Panel prefabricated system, according to the conditions of the original project, have mechanical symmetry. The length / width ratio is exceeded only 11%, it meets the height / width ratio for the two directions, 10% of the total panel area is greater than 3% of the plan area. Therefore, they have a conceptual design suitable for seismic hazard zones. Although, despite the relationship of the length (16 m) and width (9.6m) of the buildings, they have greater stiffness in the transverse direction because the area of longitudinal panels at all levels is less than the area of panels transversal.
Instrumented buildings have a decrease in rigidity due to pathological deterioration in the structural elements and joints between them, as well as due to an opening in a transverse panel. They also have increased charges for the water tanks and masonry walls; and increased rigidity due to the filling of the lattices of the longitudinal façade panels, which, in turn, also increase the loads. When the increases in the oscillation periods obtained through environmental vibrations and the decrease in the differences between them are valued, it is concluded that:
The decrease in rigidity due to the opening of the transverse panels and the increase in the loads have a greater impact on the possibility of coupling the oscillations.
They have a greater impact on the increases in the fundamental periods, and therefore on the increase in deformations, the pathological deterioration in the structural elements and joints between them.
Although in a general sense, the increases in the fundamental periods of oscillation are due both to the decrease in stiffness due to the panel opening and to the increase of the seismic weight. The increase in seismic weight is given by the increase in the loads for the water tanks, masonry walls and the filling of the lattices. This filling of lattices can provide an increase in “instantaneous” stiffness; but it is evident that it contributes more to the increase in loads.
Then, in the buildings built with the Great Soviet Panel prefabricated system in Santiago de Cuba, changes in seismic behavior are foreseen. Significant increases in the fundamental periods in the event of an earthquake, in relation to the empirical periods, are glimpsed, as well as the possibility of coupling the oscillations. In 5-story buildings, maximum increases are expected in the fundamental periods of buildings in the event of an earthquake, in relation to the empirical period, from 48.00 to 67.27%. and in the 4-story building from 8.10 to 22.00%. It is recommended in subsequent studies to calibrate the structural models of the instrumented buildings, based on the TEV values, and evaluate the changes in the seismic demand.
References
Socarrás, Y. y Álvarez, E., Factores causantes de daños potenciales en el Gran Panel Soviético, en VI Jornada Internacional de Ingeniería Civil, 2019, Holguín, Cuba. ISBN: 978-959-247-183-2.
Socarrás, Y.C., González, L., Alvarez, E., González, M.M., Roca, R. and Torres, R., Valuation of the durability of the concrete used in the precast Great Soviet Panel System. Revista Facultad de Ingeniería [Online]. 29(54), e10486, 2020. [Date of reference: January 5th of 2021]. Available at: DOI: 10.19053/01211129.v29.n54.2020.10486
Socarrás, Y.C., González, L., Álvarez, E., González, M.M. y Roca, R., Evaluación de la calidad del hormigón en edificaciones construidas con el sistema prefabricado gran panel soviético. Tecnología Química [Online]. 40(2), pp. 288-302, 2020. [Date of reference: January 5th of 2021]. Available at: Available at: http://scielo.sld.cu/scielo.php?script=sci_arttextandpid=S2224-61852020000200288andlng=esandtlng=es
Muñoz, E., Núñez, F., Rodríguez, J.A., Ramos, A. y Otálora, C., Vulnerabilidad sísmica y capacidad de carga de un puente en acero basado en confiabilidad estructural. Revista Ingeniería de Construcción, [Online]. 23(3), pp.125-144, 2008. [Date of reference: January 5th of 2021]. DOI: 10.4067/S0718-50732008000300001
Peña, F., Estrategias para el modelado y el análisis sísmico de estructuras históricas. Ingeniería Sísmica, [Online]. 83(2), 2010. [Date of reference: May 21th of 2020] Available at: Available at: http://www.scielo.org.mx/scielo.php?script=sci_arttextandpid=S0185-092X2010000200003
Ortiz, L.G., Identificación de cambios en el comportamiento estructural de un edificio experimental, mediante el análisis de vibración ambiental y vibración forzada, empleando técnicas de identificación de sistemas, Tesis de Maestría, Centro de Investigación Científica y de Educación Superior de Ensenada - CICESE, Ensenada, México, 2010.
Peralta, H., Sánchez, S. y Arroyo, R., Incertidumbre en la evaluación de periodos en edificios de mampostería tipo INFONAVIT ubicados en Chilpancingo, Guerrero. Investigación y Ciencia, [Online]. 3, pp. 32-39, 2014. [Date of reference: January 5th of 2021]. Available at: Available at: https://www.redalyc.org/articulo.oa?id=67435407005
Chango, D.N., Análisis teórico experimental de la variación del período fundamental durante el proceso de construcción de un edificio de acero, Tesis de grado, Escuela Politécnica Nacional de Ecuador, Quito, Ecuador, 2016.
Esquivel, L.C. y Schmidt, V., Mediciones de vibraciones ambientales en tres edificios de concreto reforzado de 28, 11 y 6 pisos. Ingeniería Sísmica, [Online]. 95, 2016. [Date of reference: May 21th of 2020] Available at: Available at: http://www.scielo.org.mx/scielo.php?script=sci_arttextandpid=S0185092X2016000200081andlng=esandtlng=es
Díaz, E., Incertidumbres en la estimación del periodo fundamental de terrenos inclinados. Obras y Proyectos [Online]. 21, 2017. [Date of reference: May 21th of 2020] Available at: DOI: 10.4067/S0718-28132017000100005
Polyakov, S., Design of earthquake resistant structures. MIR Publisher, Moscow, 1974.
Oliva, R., Determinación experimental del periodo fundamental de vibración de estructuras para la evaluación de la vulnerabilidad en Cuba, Cuba, Grupo de Ingeniería Sísmica, Centro Nacional de Investigaciones Sismológicas de Cuba, CENAIS, Cuba, 2001, 95 P.
Chopra, A., Dinámica de Estructuras. Pearson Educación, México, 2014.
Socarrás, Y.C., Alvarez, E. y Moreno, E., Repercusiones de las contravenciones estructurales e incremento de peso en el Sistema Gran Panel Soviético en Santiago de Cuba, Revista de Obras Públicas, 3623, pp.74-82, 2020. ISSN 0034-8619.
Comité Estatal de Normalización. Construcciones sismo resistentes. Requisitos básicos para el diseño y construcción (NC 46). La Habana, Cuba, 2017.
Ministerio de Vivienda y Urbanismo de Chile. Decreto 60. Diseño y cálculo de hormigón armado. Santiago de Chile, Chile, 2011.
Ministerio de Vivienda y Urbanismo de Chile. Decreto 61. Diseño sísmico de edificios. Santiago de Chile, Chile, 2011.
López, C. y Music, J., Análisis del período y desplazamiento de edificios de hormigón armado considerando distintos grados de rigidez en sus elementos resistentes. Obras y Proyectos, [Online]. 19, pp. 33-47, 2016. [Date of reference: January 5th of 2021]. Available at: DOI: /10.4067/S0718-28132016000100003
Rodríguez, M., Una revisión crítica de la práctica de diseño por sismo de estructuras en México. Revista de Ingeniería Sísmica, [Online]. 94, pp. 27-48, 2016. [Date of reference: January 5th 2021]. Available at: Available at: http://www.scielo.org.mx/scielo.php?script=sci_arttextandpid=S0185-092X2016000100027andlng=esandtlng=es.
Notes