Article
Recepción: 23 Julio 2022
Recibido del documento revisado: 18 Noviembre 2022
Aprobación: 24 Noviembre 2022
DOI: https://doi.org/10.15446/dyna.v89n224.103879
Resumen: La relación entre la composición química y la temperatura de trabajo del acero no son lineales con la conductividad térmica por lo que se proponen modelos empíricos para la predicción de esta. Se realizaron mediciones a32 marcaciones de acero AISI laminados y recocidos. Se utilizó el algoritmo de machine learning K- Nearest Neighbor, además se entrenó una red neuronal empleando el software RStudio, específicamente la librería caret, para obtener un modelo empírico que permitió predecir con un adecuado nivel de incertidumbre la conductividad térmica en el rango de temperaturas de 0 - 800°C. El modelo se probó con un grupo de valores reservados para este fin, obteniendo bajos niveles de incertidumbre. Los mejores resultados se obtienen al entrenar una red neuronal con 25 neuronas en la capa oculta y un valor de regularización de 0,001, obteniendo un error de 5,4%y un RMSE de 0,0228.
Palabras clave: Acero, modelación empírica, conductividad térmica, machine learning.
Abstract: The relationship between chemical composition and working temperature of the steel are not linear with the thermal conductivity, so empirical models are proposed for its prediction. Measurements were made on 32 rolled and annealed AISI steel markings. The K-Nearest Neighbor machine learning algorithm was used; in addition, a neural network was trained using the RStudio software, specifically the caret library, to obtain an empirical model that allowed predicting, with an adequate level of uncertainty, the thermal conductivity in the temperature range from 0-800℃. The model was tested with a group of values reserved for this purpose, obtaining low levels of uncertainty. The best results are obtained by training a neural network with 25 neurons in the hidden layer and a regularization value of 0,001, obtaining an error of 5,4% and an RMSE of 0,0228.
Keywords: Steel, empirical modelling, thermal conductivity, machine learning.
1. Introducción
Es muy amplia la utilización del acero en la construcción de equipos en la industria energética [1], esto se debe a la beneficiosa combinación de propiedades que ostenta, dígase alta resistencia mecánica, dureza y plasticidad [1]. Se definen como propiedades termofísicas aquellas que implican la respuesta de un material a un determinado suministro de calor [2], en este grupo de propiedades la conductividad térmica es de necesario dominio en la ingeniería para realizar un diseño efectivo de sistemas térmicos y sus componentes sometidos a cambios de temperaturas [3]. Estas propiedades se pueden encontrar para algunos grados de acero en la literatura [4]
Entiéndase por conductividad térmica como la transmisión de energía de la zona caliente a la zona fría en un sólido al que se le suministra calor. El suministro de calor provoca la vibración de los átomos, a su vez esto genera un aumento de energía cinética, la cual es transferida a los átomos contiguos, la transmisión de energía ocurre por los electrones libres de la red [5]. Se define como se muestra en la eq. (1), en el sistema internacional de unidades se expresa en W/(m∙K).

Dónde: λ es la conductividad térmica, en W/(m∙K). q es el flujo de calor por unidad de superficie, en W/m. A es el área, en m2. |∇T| es el gradiente de temperatura en la dirección del flujo de calor, en K
Es ampliamente avalado en la bibliografía consultada y disponible que las propiedades de las aleaciones de aceros dependerán de la temperatura de servicio y de la microestructura del material, esta última condicionada por la composición química de la aleación [6-8]. Cada elemento de aleación en particular influye en la microestructura y propiedades del acero, modificando las características del diagrama Fe-C [9]. Además, no están relacionados linealmente la mayoría de los factores que determinan dichas propiedades [10].
Los metales son cuerpos cristalinos y la disposición espacial de sus átomos resulta en una geometría ordenada, de manera que al solidificar el material los átomos describen un patrón tridimensional repetitivo [11].
La red cúbica centrada en el cuerpo (BCC) presenta un átomo en el centro de dicho cubo y otros ocho distribuidos en los vértices, su densidad de compactación es 68%. En la red cúbica centrada en las caras (FCC) los átomos están compactados tan cerca cómo es posible, tiene cuatro planos octaédricos o compactos y presenta una densidad de compactación de 74%. La red hexagonal compacta (HCP) es similar a la FCC, presenta una densidad de compactación de 74%, tiene forma de prisma recto de base hexaédrica [12].
Esta investigación se enfoca en aceros con temperaturas de trabajo en el rango de 0°C - 800°C, en ellos ocurren determinadas reacciones invariantes de interés, para la comprensión del fenómeno de la variación de la conductividad térmica respecto a la temperatura y la microestructura se analizan y detallan bajo condiciones de equilibrio, en esta zona también se encuentra la temperatura a la que el hierro pierde sus propiedades magnéticas (768°C) [13].
Podemos localizar el punto eutectoide en las coordenadas 0,77% de C y 727°C del diagrama Fe-C, considerando xx´ una recta vertical que pasa por este punto se plantea que siguiendo la trayectoria de xx´, por encima de 727°C únicamente se presenta la fase austenítica (γ) [14], la estructura cristalina de la fase γ es del tipo FCC. Con temperaturas inferiores a 727°C la composición es perlítica, que consiste en ferrita (α) con estructura cristalina BCC, que podrá existir en todo el rango de temperatura estudiado en este trabajo, y cementita (Fe3C), que se encuentra a la derecha de ( xx´).
Ante cualquier recta vertical trazada entre 0,022% y 0,77% de C (yy´) estaremos en presencia de una reacción hipoeutectoide, entre 727 y 800°C coexisten las fases α y γ, cumpliendo que cuanto menor sea la temperatura mayor es el tamaño del grano de hierro α. Con temperaturas inferiores a 727°C se encuentran la ferrita proeutectoide y perlita.
Al trazar una recta vertical a la derecha de 0,77% de C ((zz´) ) se estará en presencia de una reacción hipereutectoide. Sobre 727°C coexisten dos fases, γ y Fe3C, al disminuir la temperatura aumenta el tamaño de grano de la cementita. Bajo 727°C coexisten la cementita proeutectoide y la perlita.
Los elementos que conforman una aleación hacen que la temperatura eutectoide del diagrama de fases Fe-Fe3C aumente o disminuya. Se considera un elemento estabilizador de austenita aquel que hacen que la temperatura eutectoide disminuya, agrandando la región austenítica del diagrama de fases Fe-Fe3C, tanto el Mn como el Ni realizan esta función [15]. Los elementos formadores de carburo, como el W, el Mo y el Ti, elevan la temperatura eutectoide del diagrama de fases Fe-Fe3C a valores superiores y reducen el campo de la fase austenítica [16]. Dichos elementos reciben el nombre de elementos estabilizadores de ferrita.
El hecho de que el método experimental para determinar propiedades de materiales resulte costoso y complejo ha sido motivación para que numerosos científicos dediquen esfuerzos a la obtención de modelos predictivos que permitan simplificar esta tarea [17]. En investigaciones precedentes fueron presentadas correlaciones para estimar la conductividad térmica de algunos aceros de forma puntual [18].
2. Materiales y métodos
2.1. Obtención de los datos
Con el fin de modelar la conductividad térmica de un grupo de aceros obtenidos por laminado y recocidos en función de la composición química y la temperatura de trabajo, se dispone de una base de datos obtenida por investigadores del Departamento de Ingeniería Mecánica de la Escuela de Ingeniería y Ciencias Aplicadas, Bakú, Azerbaiyán. Para realizar mediciones se emplea el método flash laser (MFL), que fue desarrollado por Parker, et al. [19]. Es un procedimiento experimental para la determinación de propiedades termo físicas de materiales. La difusividad térmica, propiedad inferida con este método se relaciona con la conductividad térmica según se muestra en la eq. (2) [20].

Donde: λ es la conductividad térmica, en W⁄((m∙K) ). Cp es el calor específico, en J⁄((kg∙K) ). ρ es la densidad, en kg⁄m3.
El MFL es la técnica más empleada para realizar mediciones de difusividad térmica en sólidos debido a que el tiempo que demora realizar el experimento es corto, el rango de temperaturas es amplio y solo se requiere de una pequeña muestra del material. Consiste en someter una muestra de sólido a un pulso de energía radiante a una de sus caras suministrando calor, registrando el aumento de temperatura en la cara opuesta [21]. La precisión de los experimentos para la conductividad térmica son de ±4% y la repetitividad del experimento de ±3%, son realizadas las mediciones con un equipo para análisis flash laser marca LINSEIS modelo LZT-Meter, fabricado en Alemania en el año 2020.
Para determinar la conductividad térmica de una muestra esta se coloca en la cámara del instrumento que se mantiene a una temperatura sostenida predeterminada, un pulso de energía programable irradia en la parte posterior de la muestra, resultando en un aumento homogéneo de la temperatura de la superficie de la muestra. El aumento de temperatura es registrado por un sensor. La difusividad térmica y el calor específico pueden ser determinados a partir de los datos de temperatura y tiempo como se describe a continuación. La difusividad térmica se determina como se muestra en la eq. (3)

Dónde: α es la difusividad térmica en m2/s. L es el espesor de la muestra en mm y t1/2 es la mitad del tiempo del experimento en s.
Para calcular el calor específico se compara el aumento de temperatura de la muestra con el aumento de temperatura de una muestra de referencia, ambas muestras son sometidas a medición al mismo tiempo para garantizar que se apliquen las mismas condiciones, entonces la energía del pulso del láser y la sensibilidad del detector infrarrojo son iguales. El aumento de temperatura en la muestra se determina a partir de la eq. (4):

Dónde: ∆T es el aumento de temperatura en K. E es la energía en J. es la masa de la muestra en g y cp es la capacidad calorífica en J/kg∙K
Como la energía es la misma para la muestra y la referencia se puede calcular el calor específico según se indica en la eq. (5):

Se garantiza que la capacidad de absorción y de emisión de la muestra y la referencia sean iguales al tener el mismo revestimiento y que el calor específico absoluto (cp • altura de la muestra) sea similar para garantizar una buena precisión en las mediciones.
Se determina la densidad de la muestra empleando un densímetro DIL L75 Quattro del fabricante LINSEIS, luego la conductividad térmica puede calcularse como se muestra en la eq. (6):

Dónde: ρ es la densidad de la muestra en g/cm3.
Las mediciones se realizan bajo la norma ASTM E1225-99 [22].
2.2. Distribución de las muestras
Las mediciones son realizadas a muestras de barras de acero comercial correspondientes a las siguientes marcaciones AISI relacionadas en la Tabla 1.

De estas marcaciones se conocen la composición química en masa porcentual de los elementos C, Mn, P, S, Si, Ni, Cr, Mo y V. Se realizan mediciones en el rango de 0-800°C, específicamente a 0, 100, 200, 300, 400, 600 y 800°C. Como se puede apreciar ocurren saltos en las mediciones en los intervalos 400-600°C y 600-800°C, esto es debido a las diferencias microestructurales que existen entre una marcación de acero y otra en esta zona del diagrama Fe-C, provocadas por la influencia de los elementos de aleación, sean potenciadores de ferrita o austenita, modificando considerablemente la temperatura eutectoide del material. Como se pretende obtener un modelo funcional para toda la gama de aceros disponible de la data el hecho de introducir las mediciones en estos rangos traería consigo una mayor dispersión de los valores. En la Fig. 1 se puede apreciar como los cambios en la composición química de la aleación provocan serios desplazamientos de la temperatura de transformación eutectoide.

Los datos están dispuestos de la siguiente forma: para cada una de las 32 marcaciones de aceros AISI, son procesadas 93 muestras, distribuidas en cuatro composiciones químicas que abarcan el rango permitido por cada marcación AISI estudiada en cada caso y en cada una se realizan mediciones en los valores de temperatura anteriormente mencionados. En la Tabla 2 son resumidos los principales parámetros estadísticos de los datos experimentales obtenidos.

2.3. Preprocesamiento de los datos
Para obtener el modelo empírico se emplea el software libre y de código abierto para la ciencia de datos RStudio, específicamente la librería caret, que es una interfaz que unifica bajo un único marco cientos de funciones de distintos paquetes, facilitando en gran medida todas las etapas de preprocesado, entrenamiento, optimización y validación de modelos predictivos [23].
Primeramente, se realiza una exploración descriptiva de la data. Se verifica que el almacenamiento de cada variable se corresponde con el tipo de valor correcto, siendo que las variables C, Mn, P, S, Si, Ni, Cr, Mo, V y CT son del tipo doble o números reales (<dbl>) y la variable T del tipo entero (<int>). Se comprueba si existen filas incompletas, detectando que no es el caso, la data está completa, no existen campos vacíos. En la Fig. 2es dada la distribución de la variable de respuesta (CT).

Para garantizar que no existe alta correlación entre ninguna de las variables predictoras, lo que podría añadir información redundante al modelo, se calcula el coeficiente de correlación de Pearson, para cada uno de los pares posibles de variables predictoras, comprobándose que no supera en ninguno de los casos el valor de 0,8, por lo que queda comprobado que no existe alta relación lineal entre predictores.
Se realiza un filtrado por varianza para eliminar predictores no informativos. Se analiza que predictores tienen varianza cero o muy próxima a cero, en este último caso incurre el predictor V (correspondiente a la composición másica de vanadio en la aleación), por lo que se elimina del modelo.
Con el objetivo de que todos los predictores tengan una media cero se sustrae a cada valor la media del predictor al que pertenece, esta técnica es conocida como centrado. Se realiza el normalizado de los datos, ya que la escala de los mismos originalmente es considerablemente diferente, para ello se transforman los datos de manera que estén en el rango de cero a uno, para ello se usa la eq. (7):

Dónde: X’ es el valor normalizado, X es el valor real, Xmin es el valor mínimo de la variable en cuestión y Xmax el valor máximo.
Se dividen los datos en un subconjunto con el 80% del total de datos disponibles seleccionados de forma aleatoria con el fin de entrenar el modelo, el restante 20% se conserva en otro subconjunto que será empleado para probar la capacidad predictora del modelo. Se emplea la función <Create Data Particion> que por defecto garantiza que la variable de respuesta en ambos conjuntos tenga una distribución similar.
2.4. K-Vecino más cercano
En este trabajo es usado el algoritmo de machine learning K - Nearest Neighbor (KNN), este se fundamenta en la idea de identificar observaciones en el conjunto de entrenamiento que se asemejen a la observación de prueba (observaciones vecinas) y asignarle como valor predicho la clase predominante entre dichas observaciones. A pesar de su baja complejidad, en muchas ocasiones consigue resultados aceptables [23].
Para incrementar el ajuste del modelo se detectan los datos extremos creando un gráfico de caja y considerando que todos los valores inferiores a la línea del primer cuartil y superiores a la línea del tercer cuartil serán eliminados, reduciendo el conjunto de entrenamiento a un 70% de su tamaño inicial.
Para KNN en caret el único hiperparámetro que se puede optimizar es el número de observaciones vecinas empleadas por el modelo k. Se optimiza este hiperparámetro entrenado el modelo para 11 diferentes valores, como se muestra en la Tabla 3, la métrica en que se basan las comparativas es la raíz del error cuadrático medio de los residuales (RMSE), siendo preferido el menor valor de esta, también se muestran en dicha tabla los valores de coeficientes de determinación (R2), siendo preferido el más cercano a la unidad y el valor de la media de los errores en valor absoluto (MAE), que favorece modelos que predicen muy bien la mayoría de las observaciones aunque en unas pocas se equivoque mucho. En la Fig. 3 se presenta una representación gráfica de la evolución del modelo con la variación de k.


El modelo óptimo para los datos en cuestión emplea k = 7 como se puede concluir a partir de la Fig. 4. Los valores de las métricas empleadas, aunque eficientes para comparar sub modelos, no resultan estimaciones realistas, ya que son resultado de estimaciones con valores empleados para obtener el modelo previamente. Para evitar este efecto negativo se ajusta y evalúa el modelo múltiples veces con distintos subconjuntos creados a partir de los datos de entrenamiento, obteniendo en cada repetición una estimación del error, en el caso específico de esta investigación se realizan 10 particiones de los datos y se hacen cinco estimaciones cada vez. El promedio de todas las estimaciones tiende a converger en el valor real del error de test.

2.5. Red neuronal
La librería caret mediante la función <nnet()> permite entrenar redes neuronales con una capa oculta. Las redes neuronales son sistemas de procesamiento de la información cuya estructura y funcionamiento están inspirados en las redes neuronales biológicas. Consisten en un conjunto de elementos simples de procesamiento llamados nodos o neuronas conectadas entre sí por conexiones que tienen un valor numérico modificable llamado peso [24]. La neurona constituye el elemento fundamental de una RNA. En ella, la suma de las n entradas de la neurona ponderadas con los pesos sinápticos, genera la entrada ponderada total o potencial postsináptico de la neurona i. Los pesos sinápticos miden la intensidad de la interacción entre las dos neuronas que están conectadas por el enlace. Posteriormente, se aplica una función de activación o transferencia (f) a la diferencia entre el potencial postsináptico y el umbral θi obteniéndose la salida de la neurona [25].
Para entrenar la red, de manera similar a cuando se emplea KNN, se utiliza el subconjunto de datos que representa el 80% del total de la muestra y se reserva el 20% para probar la capacidad para predecir del modelo.
Los hiperparámetros para optimizar son el número de neuronas en la capa oculta (size) y la regularización durante el entrenamiento de la red (decay). Luego de una primera aproximación heurística se reducen los valores de hiperparámetros y se realiza una búsqueda de cuadrícula, se emplea la métrica RMSE como principal para seleccionar el modelo óptimo, además se presentan R2 y MAE en la Tabla 4. En la Fig. 4 es representada la variación de RMSE al tomar diferentes valores los hiperparámetros.

Como se aprecia en la Fig. 5 el menor valor de RMSE (0,0228) se obtiene con 25 neuronas en la capa oculta de la red neuronal y un valor de regularización de 0,001.

Para garantizar la convergencia de error del test se particionan en 10 los datos y se hacen cinco repeticiones del entrenamineto para cada posible combinación de hiperparámetros. Se realiza un análisis de varianza (ANOVA) para comprobar que todas las variables independientes aporten significativamente al modelo (p - valor < 0,05). Los resultados se presentan en la Tabla 5 y podemos apreciar que en todos los casos se confirma la hipótesis nula.

2.6. Validación de los modelos
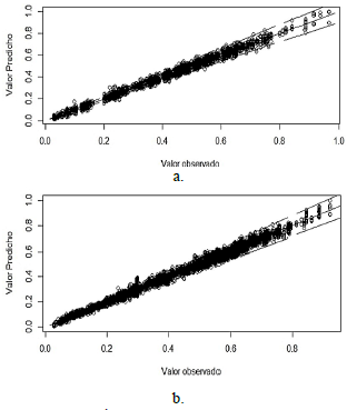
Es evaluado en los modelos el conjunto de datos reservado para determinar la capacidad de predicción. En la Fig. 5 se presentan los gráficos de predicciones contra observaciones, de ambos modelos, donde se aprecia la buena capacidad predictiva del modelo.
Se determinan los residuos de la predicción y son presentados en la Fig. 6, donde se aprecia que no existe autocorrelación entre los residuos y que la varianza de los errores es constante, además, como los residuales se pueden encerrar entre bandas horizontales podemos plantear que no se presentan defectos obvios en el modelo.

3. Discusión de los resultados
Se comparan los mejores modelos obtenidos al emplear KNN y redes neuronales, para este fin se presentan en la Tabla 6 y se emplean las métricas RMSE, R2, MAE y además se calcula el error absoluto experimental como se muestra en la eq.(8):

Donde: V E es el valor experimental y V M es el valor obtenido con el modelo. Se prefiere el menor valor.

Como se aprecia en la Tabla 6 según las métricas tomadas en cuenta el modelo que mejores resultados ofrece es el obtenido al entrenar una red neuronal. Para el modelo óptimo se establece el nivel de influencia de cada predictor en la variable objetivo. Como se muestra en la Fig. 7 los predictores que mayor influencia ejercen sobre la conductividad térmica según el modelo obtenido entrenando la red neuronal son el C, el Cr y el Si (mayor a 75). Con una influencia media se encuentran el Mn, la temperatura de trabajo del material y el Ni (entre 50 y 75). Con muy poca influencia están el P, el Mo y el S (menor de 25)

Para ilustrar la variación de la conductividad térmica respecto a las variaciones de cada predictor teniendo en cuenta el efecto promedio de todas las demás características del modelo obtenido al entrenar la red neuronal se construyen los diagramas de dependencia parcial, mostrados en la Fig. 8 empleando la función <partial> del paquete pdp. El procedimiento sigue la metodología propuesta por .

Una limitante importante del modelo, de manera similar a lo planteado en la investigación de Camaraza-Medina, et al. [27] y Peet, et al. [28 es que no incluye de manera explícita el fenómeno físico que provocan la microestructura del material ni el historial térmico del mismo, factores que realmente determinan la conductividad térmica. Aunque es ampliamente aceptado que la microestructura es determinada por la composición química y la temperatura de trabajo. Las variaciones de la conductividad térmica, como tantas otras propiedades de los aceros, no pueden en ningún caso deducirse basándose en la influencia de un elemento de su composición, pues la relación entre estos es compleja y puede inducir considerables variaciones en la microestructura del material.
4. Conclusiones
Fueron empleados algoritmos de machine learnig para la obtención de modelos empíricos que permiten predecir con un adecuado nivel de incertidumbre la conductividad térmica de 32 aceros AISI para una temperatura de operación de 0−800℃. Se emplean como predictores la composición química y la temperatura de trabajo. El modelo es validado, obteniéndose buenos resultados en la predicción con un error de 5,4% y un RMSE de 0,0228. Se comprobó que el mejor modelo de predicción es obtenido al entrenar una red neuronal con 25 neuronas en la capa oculta y un valor de regularización de 0,001. Es definido el nivel de influencia de los predictores, siendo los más significativos los correspondientes al C, el Cr y el Si, mayores del 75%. El modelo obtenido muestra un ajuste adecuado con los datos experimentales disponibles, por lo que se considera adecuado para su uso en la práctica ingenieril.
4.1. Para trabajos futuros
En este trabajo se crean modelos de predicción empleando métodos con un costo computacional bajo. Para futuros trabajos se pretende entrenar redes neuronales más complejas tomando en cuenta un mayor grupo de hiperparámetros a optimizar, lo que presumiblemente permitirá obtener modelos de predicción con un menor nivel de incertidumbre. Con el fin de que los resultados sean fácilmente aplicables en la industria se trabaja en el desarrollo de aplicaciones informáticas que permitan obtener un grupo de curvas características.
Referencias
Turichin, G., Kuznetsov, M., Klimova-Korsmik, O., Sklyar, M., Zhitenev, A. and Kurakin, A., Laser-Arc hybrid welding perspective ultra-high strength steels: influence of the chemical composition of weld metal on microstructure and mechanical properties, Procedia CIRP, 74, pp. 752-756, 2018. DOI: https://doi.org/10.1016/j.procir.2018.08.017
Callister, W.D., Ciencia e ingeniería de los materiales. Reverté Ed., Madrid, España, 2019.
Somasundharam, S. and Reddy, K.S., Inverse analysis for simultaneous estimation of temperature dependent thermal properties of isotropic materials, Thermal Science and Engineering Progress, 20, pp. 100-128, 2020. DOI: https://doi.org/10.1016/j.tsep.2020.100728
Xie, Q., Suvarna, M., Li, J., Zhu, X., Cai, J. and Wang, X., Online prediction of mechanical properties of hot rolled steel plate using machine learning, Materials & Design, 197, pp. 109-201, 2021. DOI: https://doi.org/10.1016/j.matdes.2020.109201
Medina, Y.C., Introducción a la termotransferencia, Editorial Universitaria, La Habana, Cuba, 2020.
Narayana, P.L., Lee, S.W., Park, C.H., Yeom, J-T., Hong, J-K. and Maurya, A.K., Modeling high-temperature mechanical properties of austenitic stainless steels by neural networks, Computational Materials Science, 179, art. 109617, 2020. DOI: https://doi.org/10.1016/j.commatsci.2020.109617
Ahadi-Akhlaghi, I., Salkhordeh-Haghighi, M., Kahrobaee, S. and Hojati, M., Prediction of chemical composition and mechanical properties in powder metallurgical steels using multi-electromagnetic nondestructive methods and a data fusion system, Journal of Magnetism and Magnetic Materials, 498, art. 166246, 2020. DOI: https://doi.org/10.1016/j.jmmm.2019.166246
Reddy, N.S., Krishnaiah, J., Hong, S-G. and Lee, J.S., Modeling medium carbon steels by using artificial neural networks, Materials Science and Engineering: A, 508, pp. 93-105, 2009. DOI: https://doi.org/10.1016/j.msea.2008.12.022
Xian, A., Zhang, D. and Wang, Y., Impurities in steel and their influence on steel properties. Iron and Steel (in chinese), 34(10), pp. 64-68, 2021.
Reed-Hill, R.E., Princípios de metalurgia física. Guanabara Dois, Rio de Janeiro, Brazil, 1982.
Askeland, D.R., Fulay, P.P. and Wright, W.J., Ciencia e ingeniería de materiales. Cengage Learning, Mexico, DF, Mexico, 2017.
Smith, W.F., Hashemi, J., Cázares, G.N. y González-Caver, P.A., Fundamentos de la ciencia e ingeniería de materiales. McGraw-Hill: México DF, Mexico, 2006.
Machado, H.D., Toda-Caraballo, I., Garcia-Mateo, C. and Aristizábal-Sierra, R., Modelling the formation of austenite in the intercritical interval in ductile iron, Journal of Materials Research and Technology, 2021. DOI: https://doi.org/10.1016/j.jmrt.2021.12.072
Raghavan, V., Effect of manganese on the stability of austenite in Fe-Cr-Ni alloys, Metallurgical and Materials Transactions A, 26, pp. 237-242, 1995. DOI: https://doi.org/10.1007/BF02664662
Dadé, M., Malaplate, J., Brachet, J.C., Guilbert, T. and Toffolon-Masclet, C., Influence of chemical composition on the microstructure and phase transformations of Fe-14Cr ferritic steels, Materialia, 7, art. 100388, 2019. DOI: https://doi.org/10.1016/j.mtla.2019.100388
Correa-Baena, J-P., Hippalgaonkar, K., van Duren, J., Jaffer, S., Chandrasekhar, V.R. and Stevanovic, V., Accelerating materials development via automation, machine learning, and high-performance computing, Joule, 2, pp. 1410-1420, 2018. DOI: https://doi.org/10.1016/j.joule.2018.05.009
Wang, N., Kaur, I., Singh, P. and Li, L., Prediction of effective thermal conductivity of porous lattice structures and validation with additively manufactured metal foams, Applied Thermal Engineering, 187, art. 116558, 2021. DOI: https://doi.org/10.1016/j.applthermaleng.2021.116558
Camaraza-Medina, Y., Influence of temperature and composition on the prediction of the thermophysical properties of steel (i), Universidad y Sociedad, [Online]. 14(4), pp. 382-394, 2022. [date of reference september 25th of 2022]. Available at: Available at: https://rus.ucf.edu.cu/index.php/rus/article/view/2882
Parker, W., Jenkins, R., Butler, C. and Abbott, G., Flash method of determining thermal diffusivity, heat capacity, and thermal conductivity, Journal of Applied Physics, 32(9), pp. 1679-1684, 1961. DOI: https://doi.org/10.1063/1.1728417
Lunev, A., Zborovskii, V., Aliev, T., Heymer, R. and Vilkhivskaya, O., PULsE: An open-source software for laser flash analysis, Software Impacts, 6, art. 100044, 2020. DOI: https://doi.org/10.1016/j.simpa.2020.100044
Carr, E.J., Rear-surface integral method for calculating thermal diffusivity from laser flash experiments, Chemical Engineering Science, 199, pp. 546-551, 2019. DOI: https://doi.org/10.1016/j.ces.2019.01.014
ASTM E1225-13, Standard Test Method for Thermal Conductivity of Solids by Means of the Guarded-Comparative-Longitudinal Heat Flow Technique, Philadelphia, USA, 2017.
Rodrigo, J.A., Machine Learning con R y caret, Ciencia datos [Online], 2018. [date of reference september 25th of 2022]. Available at: Available at: https://rpubs.com/Joaquin_AR/383283
Montaño-Moreno, J.J., Redes neuronales artificiales aplicadas al análisis de datos, PhD dissertation, Facultad de Psicología, Universitat de Les Illes Balears, Palma de Mallorca, España, 2002.
Nacelle, A., Redes neuronales artificiales, Núcleo de ingeniería biomédica, Uruguay, Facultades de Medicina e Ingeniería, Universidad de la Republica Uruguay, 2009, 9 P.
Friedman, J.H., Greedy function approximation: a gradient boosting machine, Annals of Statistics, [Online]. 29(5), 2001. [date of reference september 25th of 2022]. Available at: Available at: https://www.jstor.org/stable/2699986
Camaraza-Medina, Y., Hernandez-Guerrero, A. and Luviano-Ortiz, J.L., Experimental study on influence of the temperature and composition in the steels thermo physical properties for heat transfer applications, Journal of Thermal Analysis and Calorimetry, 147, pp. 11805-11821, 2022. DOI: https://doi.org/10.1007/s10973-022-11410-8
Peet, M.J., Hasan, H.S. and Bhadeshia, H.K.D.H., Prediction of thermal conductivity of steel, International Journal of Heat and Mass Transfer, 54, pp. 2602-2608, 2011. DOI: https://doi.org/10.1016/j.ijheatmasstransfer.2011.01.025
Notas