Article
Analysis of entrepreneurial resilience as part of the development of entrepreneurship in a learning management model in incubators
Análisis de la resiliencia emprendedora como parte del desarrollo del emprendimiento en un modelo de gestión del aprendizaje en incubadoras
Analysis of entrepreneurial resilience as part of the development of entrepreneurship in a learning management model in incubators
DYNA, vol. 90, no. 228, Esp., pp. 91-97, 2023
Universidad Nacional de Colombia
Received: 29 April 2023
Revised document received: 08 June 2023
Accepted: 26 June 2023
Abstract:
The incubation process of a business idea in its preliminary stages allows a better understanding of the entrepreneur from individual perspectives. However, its study has been limited, generating unsustainability in various ventures. Therefore, business resilience is a key factor for the entrepreneurial spirit, since it allows the entrepreneur to adapt and grow in the face of unexpected changes. The purpose of this research is to analyze entrepreneurial resilience within the framework of a learning management model in incubators. A qualitative approach was obtained through the literature review and a quantitative approach with descriptive, correlational and multivariate statistical analysis. The findings demonstrated that entrepreneurial resilience is decisive in the learning management model in incubators. The research provides a measurement scale with high internal consistency and validity, demonstrated by principal component analysis, ensuring the reliability of the results obtained.
Keywords: Project management, entrepreneurial resilience, learning, incubators, entrepreneurship, entrepreneurial spirit, management model, entrepreneurs.
Resumen:
El proceso de incubación de una idea de negocio en sus etapas preliminares permite una mejor comprensión del emprendedor desde perspectivas individuales. Sin embargo, su estudio ha sido limitado, generando insostenibilidad en diversos emprendimientos. Por lo tanto, la resiliencia empresarial es un factor clave para el espíritu emprendedor, ya que permite al emprendedor adaptarse y crecer ante cambios inesperados. El propósito de esta investigación es analizar la resiliencia emprendedora en el marco de un modelo de gestión del aprendizaje en incubadoras. Se obtuvo un enfoque cualitativo a través de la revisión de literatura y un enfoque cuantitativo con análisis estadístico descriptivo, correlacional y multivariado. Los hallazgos demostraron que la resiliencia emprendedora es determinante en el modelo de gestión del aprendizaje en incubadoras. La investigación proporciona una escala de medida con alta consistencia interna y validez, demostrada mediante análisis de componentes principales, asegurando la fiabilidad de los resultados obtenidos.
Palabras clave: Gestión de proyectos, resiliencia emprendedora, aprendizaje, incubadoras, emprendimiento, espíritu emprendedor, modelo de gestión, emprendedores.
1. Introduction
Scholars agree that the survival of small businesses depends on the entrepreneurs’ psychology [1,2]. In other words, resilience (a psychological resource) is considered an observed “survival” phenomenon.
Scholars conceptualize psychological resilience from two perspectives [3]: 1. It is a personal trait (i.e., enduring characteristics) that provides the ability to handle adverse situations [4]. 2. It considers the state that an individual can develop [5]. The underlying similarities in both perspectives are that people are prepared to deal with adverse emotional reactions [6].
Aldianto et al., (2021) [7], “organizational resilience is a complex combination of behaviors, perspectives, and interactions that can be developed, measured and managed”. In general, resilience is demonstrated after an event or crisis occurs [8]. Business resilience enables organizations to quickly adapt to disruptions while maintaining sustainable business operations and protecting people, assets, and overall brand value [7]. Business resilience is “the ability of companies to survive, adapt, and grow in turbulent changes” [9].
It is well known that entrepreneurs operate in dynamic and turbulent environments, and the existence of the entrepreneurship is threatened by unpredictable factors [10]. In this scenario, companies adapt structures and strategies while entrepreneurs adapt their behaviors to face the changes in the economic sectors in which they operate in order to survive and to find new business opportunities.
Due to instability within their business sectors, all types of organizations are currently experiencing discontinuities. Changes in the market, technological, political, and socio-cultural conditions, all organizations face extensive risks and an unpredictable future. In fact, resilience enables an organization to take appropriate action and transformation in response to unforeseen events that potentially threaten its continued existence.
Positive emotions protect resilient people from negative reactions in order for them to thrive [11]. Related to positive emotions in general, resilience is specifically relevant to entrepreneurial intentions in times of adversity.
Resilience has been defined as “an ability to continue with life, or to continue living a purposeful life, after difficulties or adversity” [12, p. 4] and “a dynamic process that encompasses positive adaptation within the context of significant adversity” [13, p. 543].
Individuals build resilient skills through the development of their daily life, which are the product of notable or unforeseen life events [14]. Resilient skills development come from having a positive outlook on life, facing reality, and learning to deal with challenges [15].
For ventures to become resilient and innovative, it is necessary to have skills to manage resources and face risks effectively. Intermediary organizations such as incubators can help entrepreneurs build basic skills for startups to organize their internal resources to respond to pressures from the external environment [16].
Despite significant advances in the field, several important elements remain in our understanding. First, it is not yet clear what underlying theoretical mechanisms might elucidate the complex nature of resilience, including its background and outcomes [17]. Second, there has been limited exploration of the incidence of entrepreneurial resilience as a factor that affects the dimension of entrepreneurship within the framework of a learning management model in incubators for entrepreneurs [18].
This study aims to examine whether entrepreneurial resilience generates a positive effect on organizational learning, through a multivariate statistical technique called principal component analysis. The study analyzes the relationship among the examined variables by capturing the greatest amount of information possible, associated with the largest eigenvalue of the covariance matrix of the original data set. [19].
In principal component analysis (PCA), multiple metrics are transformed into a few integral metrics (i.e., principal components), using the concept of dimensionality reduction, in which each principal component reflects most of the information contained in the original variables, while ensuring that each principal component does not repeat the information contained [20,21].
Correlations between descriptors become evident in a PCA. By defining correlations in the data, the number of descriptors can be reduced to a minimum. It allows to handle a more convenient data analysis to establish a structural equation. As a result, it is possible to achieve a predictive model using the entrepreneurial resilience factor.
2. Methodology
2.1. Methods
This study was approached under a mixed methods design. It is assumed that the research processes are complex and, therefore, it implies creativity and innovation in the application of new methodological approaches. In this sense, it is considered pertinent to integrate various types of frameworks. This mixed methods study used both quantitative and qualitative designs. The qualitative design was used to review the literature and explain the perceptions expressed by the respondents. The qualitative design was used to carry out descriptive statistical analysis, correlational analysis, and multivariate analysis.
Additionally, a measurement instrument was created to determine the influence of entrepreneurial resilience on the dimension of entrepreneurship in a learning management model in incubators. In this methodological framework, the phases are as follows:
phase 1
Development of the state of the art that encompasses the updated and significant theoretical foundations of the entrepreneurial resilience factor as a variable in the dimension of entrepreneurship within the framework of a learning management model in incubators. For this, a review of the literature was used from documentary sources structured in formal databases such as Scopus, Web of Science and Science. This analysis allows the authors to identify models, variables, and trends in the research area.
phase 2
Performing a systematic literature review to identify the variables that influence the entrepreneurial resilience factor allows the authors to make the selection and validation of the most pertinent variables across the different publications. In this way, the models, dimensions, factors, and variables were identified, maintaining their relevance to the model under study.
phase 3
Definition of the variables of the entrepreneurial resilience factor as a component in the dimension of entrepreneurship in a learning management model in incubators. The model factor is oriented towards strengthening interpersonal and intrapersonal skills, and perceptions of entrepreneurial intention, through a survey-type instrument.
phase 4
Validation of the instrument through entrepreneurship experts based on a defined evaluation criterion, followed by the completion of a process of collection, organization and systematization of the data obtained from the field work. A probabilistic stratified sample of enterprises in Colombia was used, based on the size of the enterprise and/or microbusiness across economic sectors. The analysis, discussion and triangulation of the data was subsequently carried out through statistical techniques such as multivariate, correlation processes, and descriptive statistics.
2.2. The instrument
A structured survey composed of 68 questions was applied; 13 items corresponded to characterization variables and 55 items to variables of the 9 factors immersed in the learning management model in incubators for entrepreneurs. One of the 9 factors corresponds to the entrepreneurial resilience, the factor which is subject in this research. This factor has 5 variables. The thirteen characterization questions are qualitative and quantitative questions, while the questions on the 9 factors are discrete quantitative.
2.3. Validation
A pre-validation exercise was conducted, in which 10 individuals with expertise and knowledge in entrepreneurship evaluated the relevance, coherence, and syntax of the survey instrument.
After the pre-validation exercise, 30 professionals from various areas of knowledge with expertise in entrepreneurship were contacted; they completed the survey and reported their observations to refine the instrument. In the validation process, the Cronbach's alpha statistical test was applied, whose index yielded a value of 0.967 and it is shown in Table 1. It indicates that the instrument is reliable to be applied it to the entrepreneurs.
2.4. Sample
A stratified probabilistic sampling was applied, which involves dividing the microbusiness population into smaller sub-samples known as strata, which are exhibited in Table 2. In this sense, strata were generated. For instance, strata E1 corresponds to the group of one-person microbusinesses; strata E2 corresponds to microbusinesses with 2 to 3 employees; strata E3 corresponds to microbusinesses with 4



to 9 employees; and finally, a conglomerate C1 corresponds to a union of ventures in Colombia called Association of SMEs for Electronic Commerce in Colombia (APPCE). A highly representative sample of 1009 entrepreneurs who answered the questionnaire was achieved. Confidence levels of 95% and an error of 5% were established. The sample design based on the variation of the strata makes it possible to address a larger population, giving robustness and representativeness to the analysis.
2.5. Data collection
The collection of data was conducted through a structured survey, selecting the five variables that correspond to the business resilience factor, exhibited in Table 3.
2.6. Method
A multivariate analysis method was developed to estimate the underlying unobserved components based on the combined statistical properties of the data sets. These methods include principal component analysis (PCA). PCA is based on statistical analysis that converts multiple indicators into a few unrelated integral indicators, demonstrating most of the information provided by the source indicators, leading to dimensionality reduction.
The goal of temporal PCA is to decompose the observed signal into a set of underlying factors that summarize sampling points with a similar/consistent pattern of activity across participants, electrodes, and conditions. For this study, a 3-level principal component analysis was used using R software due to the nature of the variables.
3. Results and discussion
3.1. First level: entrepreneurial resilience
In Fig. 1, a graph of loads corresponds to the graph of scores observed, in which the variance between the descriptors is represented. The axes of the score plot and the loading plot are the same, therefore, the information in the plots can be directly compared. The angles between the vectors make it possible to determine the correlation between the variables (the correlation corresponds to the cosine of the angle formed between the vectors). When two vectors are close together, making a small angle, the two variables they represent are positively correlated. If they are at 90°, it is a clear indication of non-correlation. When they diverge and form a large angle (close to 180°), they are negatively correlated.
The increase of the descriptors expands as their distance from the origin increases, observing in Fig.1. two different groups. The first group is composed of the variables VF5_5, VF5_2, VF5_3, VF5_1. The second group is composed of the variable VF5_4. It is clearly observed that the variable VF5_4 is not correlated with the variable VF5_1, since the two variables form an angle of 90°. It implies that entrepreneurial training variable is not associated with the variable of responding to complexity situations. It means that unions and academic institutions that support the training in entrepreneurship related activities may have to address the issue with more relevance.
It is observed that VF5_3 has more impact than VF5_2, because it has a greater distance from the point of origin. It means that the ability to adapt to unforeseen circumstances in the venture is associated with the variable to overcome obstacles that the entrepreneur venture faces. In this sense, the ability to adapt helps to overcome obstacles and it increases the entrepreneurial resilience.


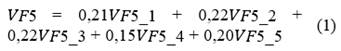
The first analysis carried out was to examine whether the case of the PCA captures the differences between the different variables; the results of scores from this analysis are shown in Table 4. For this first level analysis of principal components, it is noted that VF5_1 captures 21% of the contribution, while VF5_2 and VF5_3 capture 22% of the contribution respectively. Moreover, VF5_4 captures 15% of the contribution and finally VF5_5 captures 20% of the contribution. Therefore, a data set of variables (5 initial descriptors in this case) cannot be reduced to a few variables since each of them contributes in a similar way. In other words, entrepreneurial resilience is composed of the 5 variables analyzed; they all constitute this factor, which is the object of the study. Therefore, if any entrepreneur or person wishes to address the issue of entrepreneurial resilience, they must do so using all the aforementioned variables.
Situation that can be demonstrated by observing Fig. 2. (*** indicate significance greater than 5%), where correlations are significant.
Given that the relative impact of each descriptor on a load score is determined by measuring the absolute distance from the origin, eq. (1) is presented below, which allows resilience to be measured based on the variables derived from the analysis:

In Fig. 2., the correlations between the initial variables and the main components of VF5 are presented. It is observed that VF5_4 represents the weakest correlation with respect to the other variables. However, the variable VF5_4 contributes 15% in the principal component analysis, as shown in Table 4, therefore, it should not be excluded. The reason why the

variable VF5_4 represents a weak correlation can be explained within the national context. According to the results of the AGER 2015 World Entrepreneurship Report, although 90% of Colombians have a positive attitude towards entrepreneurship, 70% consider that there are no specific institutional supports that favor the development of a social culture of entrepreneurship and innovation (2015). In other words, there is very little training for entrepreneurs.
In Fig. 3., a histogram is observed where the scores obtained for the entrepreneurial resilience factor are evidenced, based on eq. (1). Table 4 lists the main descriptive measures. The histogram shows that entrepreneurial resilience presents a bias to the left with accumulation of values to the right. This indicates that entrepreneurs have high levels of entrepreneurial resilience, and few have low values of this factor, obtaining an average of 8.08.

Moreover, the standard deviation returned was 1.3, which is shown in Table 5, thus, according to the dispersion, it can be affirmed that most of the data is concentrated between the values of 6.78 and 9.38; observing that the values are relative. Finally, applying Chebyshev's theorem, it is found that


approximately 68% of entrepreneurs in Colombia are resilient, falling within the aforementioned interval.
Table 6 describes the main descriptive measures obtained for each of the variables that affect the entrepreneurial resilience factor. In general terms, the average obtained is close to a score of 8, where VF5_5 shows the highest average obtained with 8.38, which indicates that Colombian entrepreneurs have great motivations towards the entrepreneurial trend. This highlights their optimism and resilience, despite the precarious conditions in terms of business economic support.
Similarly, the quartile 1 (Q1) obtained for each of the variables shows a score between 7 and 8, which indicates that Colombian entrepreneurs are very resilient towards the entrepreneurial spirit. Finally, the data obtained for the standard deviation shows a dispersion of the data of about 1.5 for the variables, except for VF5_4 which has a standard deviation of 1.93.
The results of the descriptive analysis for each of the variables show a high score. However, the variable VF5_4 represents the greatest dispersion of data; observed in Fig. 3 and Table 6, although this variable represents the least contribution, the correlation index is moderate and therefore it is not excluded from the study.
3.2. Second level: entrepreneurial resilience factor that contributes to the entrepreneurial spirit dimension
Similarly, as the first level was developed, the PCA was used to obtain the second level, based on the factors that affect the learning management model in incubators for entrepreneurs.
For this second level analysis through the PCA, the data set was produced by the R software. It reflects that the 3 factors called entrepreneurial motivational demand (VF3), business self-efficacy (VF4) and entrepreneurial resilience (VF5) contribute significantly to the dimension of entrepreneurship (VD2), as presented in Table 7.
Consequently, it is verified that the entrepreneurial resilience interest factor has a significant impact on this dimension, contributing about 33% to the learning management model in incubators. This indicates that 1/3 of entrepreneurship is made up of entrepreneurial resilience, a finding that makes evident the importance of this factor in the development of entrepreneurship.
Therefore, the structural eq. (2) that allows measuring entrepreneurship based on the factors obtained from the analysis is presented below:


3.3. Third level: dimension of the entrepreneurial spirit that contributes to the Learning Management Model in incubators
The PCA for the third level reveals that the component of interest for the entrepreneurship dimension (VD2) captures 35% of the contribution, being a highly relevant percentage. The data set produced by the R software, as can be seen in Table 8, indicates that the 3 dimensions in their order: environment in the incubation process (VD1), entrepreneurial spirit (VD2) and entrepreneurial vocational training (VD3); they contribute significantly to the learning management model in incubators for entrepreneurs (VM1).
Therefore, the structural eq. (3) that allows validating the learning management model in incubators for entrepreneurs is presented below, considering the dimensions obtained from the analysis:

Finally, the entrepreneurial resilience factor contributes 33% to the dimension of entrepreneurship, and this in turn affects the learning management model in incubators for entrepreneurs by 35%. It can be inferred that 12% of this model is being affected by entrepreneurial resilience, which is a great finding because it allows the observation of how this factor belongs to the idiosyncrasies of Colombian entrepreneurs, as can be seen in the Fig.4.


4. Conclusion
This study sheds new light on the understanding of the interrelationship between learning management in incubators, entrepreneurship, and entrepreneurial resilience and its consequences through a multivariate analysis. This article developed a study methodology based on principal component analysis of three levels that provides optimal and explanatory results, which has been clearly exposed with a logic that focuses on the correlation between the results of this multivariate statistical technique.
Four variables affect entrepreneurial resilience, presenting a similar behavior consistent with the variability associated with multispace, where the variables that explain the entrepreneurial resilience factor are similar in terms of contribution to the model.
Taking the values obtained from the contribution for the variables that affect entrepreneurial resilience, it is evident that the variable that measures the degree to which entrepreneurial resilience has increased after receiving resilience training has a weak correlation with respect to the other variables.
In Fig. 1, a graph of loads corresponds to the graph of scores observed, in which the variance between the descriptors is represented. The axes of the score plot and the loading plot are the same, therefore, the
This makes it clear that Colombian entrepreneurs reflect the very culture of the country: creativity, optimism, imagination, but above all, resilience. Despite the conditions of inequality, poverty, and violence, there is always a willingness to entrepreneurship. Similarly, despite the optimistic vision of entrepreneurship in Colombia, there is still an institutional debt to the entrepreneurial resilience factor.
This study has shown that entrepreneurial resilience significantly affects the entrepreneurial spirit and impacts the management of learning in incubators. It reveals the precarious government efforts, the creation of public programs to promote entrepreneurship, and sponsorship official to certain initiatives, are still insufficient.
Entrepreneurial resilience contributes 12% to the total learning management model in incubators for entrepreneurs. It is extremely important because it allows us to see how this factor is part of the culture of entrepreneurs in the Colombian context and must be strengthened to achieve success in your ventures.
The research provides a measurement scale in which its internal consistency has been verified and principal component analysis has been applied, demonstrating validity and reliability in the study.
After having analyzed the findings of this research, it would be interesting to explore in depth the capacity of the entrepreneurial resilience factor as a determinant in the development of entrepreneurship in representative samples in other parts of the region or even in other countries with different levels of development.
The study of entrepreneurial resilience is optimal research to further develop this concept and offer a better understanding of entrepreneurs from individual perspectives. Entrepreneurial resilience will allow the development of adaptation capacities to turbulent business environments and a better understanding of behaviors in the face of organizational risks to increase the probability of more lasting and sustainable businesses over time.
References
Doern, R., Entrepreneurship and crisis management: The experiences of small businesses during the London 2011 riots. International Small Business Journal, 34(3), pp. 276-302, 2016. DOI: https://doi.org/10.1177/0266242614553863
Prayag, G, Spector, S, Orchiston, C., and Chowdhury, M., Psychological resilience, organizational resilience and life satisfaction in tourism firms: Insights from the Canterbury earthquakes. Current. Issues in Tourism, 23(10), pp. 1216-1233, 2020. DOI: https://doi.org/10.1080/13683500.2019.1607832
Robertson, I. T., Cooper, C. L., Sarkar, M., and Curran, T., Resilience training in the workplace from 2003 to 2014: A systematic review. Journal of Occupational Organizational Psychology, 88(3), pp. 533-562, 2015. DOI: https://doi.org/10.1111/joop.12120
Jackson, D., Firtko, A., and Edenborough, M., Personal resilience as a strategy for surviving and thriving in the face of workplace adversity: A literature review. Journal of Advanced Nursing, 60(1), pp. 1-9, 2007. DOI: https://doi.org/10.1111/j.1365-2648.2007.04412.x
King, D. D., Newman, A. and Luthans, F., Not if, but when we need resilience in the workplace. Journal of Organizational Behavior, 37(5), pp.782-786, 2016. DOI: https://doi.org/10.1080/13683500.2019.1607832
Athota, V. S, Budhwar, P., and Malik, A., Influence of personality traits and moral values on employee well‐being, resilience and performance: A cross‐national study. Applied Psychology, 69(3), pp. 653-685, 2020. DOI: https://doi.org/10.1111/apps.12198
Aldianto, L., Anggadwita, G., Permatasari, A., Mirzanti, I. R., and Williamson, I.O., Toward a Business Resilience Framework for Startups, Sustainability, 13(6), p. 3132, 2021. DOI: https://doi.org/10.3390/su13063132
Aldianto, L., Anggadwita, G., Permatasari, A., Mirzanti, I. R., and Williamson, I.O., Toward a Business Resilience Framework for Startups, Sustainability, 13(6), p. 3132, 2021. DOI: https://doi.org/10.3390/su13063132
Hamel, G. and Valikangas, L. Why resilience matters. Harvard Bussiness Review, 81(9), pp. 56-57, 2003.
Kantur, D., and A. I., Say, Measuring organizational resilience: A scale development, Journal of Bussiness Economics and Finance, 4(3), 2015. DOI: https://doi.org/10.17261/Pressacademia.2015313066
Fredrickson, B. L., Tugade, M. M., Waugh, C. E., and Larkin, G. R., What good are positive emotions in crisis? A prospective study of resilience and emotions following the terrorist attacks on the United States on September 11th, 2001. Journal of Personality and Social Psychology, 84(2), p. 365, 2003. DOI: https://doi.org/10.1037/0022-3514.84.2.365
Tedeschi, R. G., and Calhoun, L. G., Posttraumatic growth: conceptual foundations and empirical evidence. Psychological Inquiry, 15(1), pp. 1-18, 2004. DOI: https://doi.org/10.1207/s15327965pli1501_01
Luthar, S. S., Cicchetti, D., and Becker, B., The construct of resilience: A critical evaluation and guidelines for future work. Child Dev., 71(3), pp. 543-562, 2000. DOI: https://doi.org/10.1111/1467- 8624.00164
Vogus, T. J., and Sutcliffe, K. M., Organizing for Resilience, Positive Organizational Scholarship: Foundations of a New Discipline, pp. 94-110, 2003.
Coutu, D. L., How resilience works. Harvard Bussiness Review, 80(5), pp. 46-56, 2002.
Samuel, P., Griffin, M. T. Q., White, M., and Fitzpatrick-Crisis, J. J., Leadership efficacy of nurse practitioners. The Journal for Nurse Practitioners, 11(9), pp.862-868, 2015. DOI: https://doi.org/10.1016/j.nurpra.2015.06
Richtnér, A., and Löfsten, H., Managing in turbulence: how the capacity for resilience influences creativity. R&d Managment, 44(2), pp.137-151, 2014. DOI: https://doi.org/10.1111/radm.12050
Kantur, D., and İşeri-Say, A., Organizational resilience: Aconceptual integrative framework. Journal of Management & Organization, 18(6), pp. 762-773, 2012. DOI: https://doi.org/10.5172/jmo.2012.18.6.762
Zong, Y., Huang, D., Zhang, Y., and Lu, G., Research on comprehensive evaluation of drinking water source based on two principal component analysis for water body classification and time-space comparability, in IOP Conference Series: Earth and Environmental Science, 2019, 27(6), p. 62025. DOI: https://doi.org/10.1088/1755-1315/227/6/062025
Sadek, O., Touhtouh, S., Mahdi-Bouabdalli, E., and Hajjaji, A., Development of a protocol for the rapid identification of solid materials using the principal component analysis (ACP) method: Case of phosphate fertilizers. Materials Today: Proceedings, 2022. DOI: https://doi.org/10.1016/j.matpr.2022.06.083
Martinović, S., Vlahović, M., Gajić-Kvaščev, M., Vuksanović, Glišić, M. D., and Volkov-Husović, T., Principal component analysis of morphological descriptors for monitoring surface defects induced by thermal shock. Journal of the European Ceramic Society, 41(16), pp. 423-429, 2021. DOI: https://doi.org/10.1016/j.jeurceramsoc.2021.08.058
Notes