Um sistema para controle da intensidade de luminosidade em ambientes fechados contemplando a eficiência energética: o protótipo Galilux
A system for controlling the intensity of lightness indoors contemplating Energy Efficiency: the Galilux prototypes
Um sistema para controle da intensidade de luminosidade em ambientes fechados contemplando a eficiência energética: o protótipo Galilux
Revista Tecnologia e Sociedade, vol. 14, núm. 33, pp. 131-150, 2018
Universidade Tecnológica Federal do Paraná
Recepção: 28 Agosto 2017
Aprovação: 30 Janeiro 2018
Resumo: No contexto atual, a energia elétrica elenca-se como um item essencial ao desenvolvimento e à manutenção da qualidade de vida da sociedade, estando presente na indústria, educação, saúde e entretenimento, além de sua substancial aplicação em equipamentos eletrônicos, motores, ferramentas e, sobretudo na iluminação. Uma vez que esta energia é oriunda de fontes nem sempre renováveis e considerando os custos financeiros associados, é natural a concepção de métodos que busquem a sua utilização de maneira eficiente. Desta forma, este artigo demonstra os resultados obtidos com o protótipo Galilux, que objetiva, através de uma aplicação que gerencia a intensidade de luminosidade disponibilizada a um ambiente, diminuir os valores financeiros consumidos por este recurso. Os dados obtidos nesta pesquisa indicam reduções no consumo de energia elétrica na ordem de até 65,45%, preconizando perspectivas promissoras à adoção deste método.
Palavras-chave: Eficiência Energética, Controle de iluminação, Sensores.
Abstract: In the current context, electric energy is an essential item for the development and maintenance of society's quality of life, being present in industry, education, health and entertainment, as well as its substantial application in electronic equipment, motors and tools, and especially in lighting. Since this energy comes from sources not always renewable and considering the associated financial costs, it is natural to design methods that seek their use in an efficient way. Thus, this article demonstrates the results obtained with the Galilux prototype, which aims, through an application that manages the intensity of light available to an environment, to reduce the financial values consumed by this resource. The data obtained in this research indicate a reduction in the electric energy consumption in the order of up to 65.45%, suggesting promising prospects for the adoption of this method.
Keywords: Energy Efficiency, Lighting control, Sensors.
INTRODUÇÃO
A energia, em especial a elétrica, denota-se como elemento essencial à sociedade, sendo fundamental para sua existência e colaborando com o seu desenvolvimento. Condiciona-se a qualidade de vida de uma população à eficácia de um sistema energético.
Tendo em vista a conjuntura atual da humanidade, salientam Roméro e Reis (2012), considera-se a energia elétrica como um bem básico à integração do ser humano ao desenvolvimento, visto que propicia oportunidades e maior variedade de alternativas, tanto para a comunidade como para o indivíduo.
Na concepção de Hinrichs, Kleinbach e Reis (2015), o desenvolvimento econômico e os altos padrões de vida são processos complexos que necessitam de um abastecimento adequado e confiável de energia. De acordo com os autores, o consumo de eletricidade demanda a maior taxa de crescimento entre todos os setores do uso da energia, uma vez que sua conveniência e disponibilidade a tornam muito popular.
Presente em ambientes industriais, residenciais, públicos, comerciais, hospitais ou mesmo instituições de ensino, o potencial elétrico pode ser aplicado em diversos locais e/ou setores, como motores, ferramentas em geral, eletrodomésticos, equipamentos médicos, chuveiros, aquecedores, refrigeradores, condicionadores de ar e na iluminação. Em relação ao consumo de energia elétrica destinado à iluminação, Marques, Haddad e Guardia (2007, p.55) mencionam que:
A iluminação é responsável por, aproximadamente, 23 % do consumo de energia elétrica no setor residencial, 44 % no setor comercial e serviços públicos [...]. Vários trabalhos desenvolvidos mostram que a iluminação ineficiente é comum no Brasil. Uma combinação de lâmpadas, reatores, sensores, luminárias e refletores eficientes, associados a hábitos saudáveis na sua utilização, podem ser aplicados para reduzir o consumo de energia elétrica. (MARQUES; HADDAD; GUARDIA, 2007, p.55).
Considerando que esta energia provém de fontes por vezes escassas ou mesmo não renováveis, é compreensível que procedimentos que visem a sua adoção de maneira eficiente sejam concebidos. Neste contexto, Burattini (2008, p. 47), reforça que, "O crescente desenvolvimento tecnológico envolvendo dispositivos que utilizam a eletricidade para seu funcionamento fez aumentar a demanda de energia elétrica.".
Portanto, ao conceito de eficiência energética, associa-se à capacidade de atendimento aos requisitos de consumo do ser humano de maneira racional, evitando desperdícios, contribuindo para a sustentabilidade e o uso equilibrado dos recursos naturais. Consumir energia elétrica de maneira responsável demonstra-se fundamental, além de caracterizar-se como um desafio constante.
Conforme a ótica de Yu et al (2011), as mudanças de hábito dos usuários são fundamentais para moderar o desperdício e o consumo. Um exemplo é o desligamento ou a redução de intensidade em sistemas de iluminação em horários de não funcionamento ou mesmo a adoção de sensores em áreas comuns com pouca utilização.
Para Goldemberg e Lucon (2012), um sistema de iluminação pode ser controlado para prover um ambiente agradável, flexível, adequado à necessidade visual dos usuários e energeticamente eficiente. Uma possibilidade encontra-se no aproveitamento da luz natural, sempre que possível, utilizando a artificial somente para complementar a luminosidade solar.
Neste sentido, Lamberts, Dutra e Pereira (2014) corroboram ao afirmar que o aproveitamento total da luz natural, é viabilizado com a adoção de reatores eletrônicos reguláveis, que possibilitam variar o fluxo luminoso das luminárias, fazendo com que quanto maior a parcela de luz natural incidente no ambiente, menor seja o uso da iluminação artificial. Deste modo, complementa Didoné (2009), sempre que a luz natural for adequada às necessidades de iluminação do ambiente, a iluminação artificial deve ser desativada ou reduzida, através da concepção de sistemas de controle.
Segundo Salomão (2010), o conceito de iluminação é abordado sob diversos aspectos, como o estético, o automotivo, o entretenimento e a agricultura. Em contrapartida, a quantidade de pesquisas voltadas à iluminação sob a ótica da gestão de energia demonstra-se pouco expressiva.
Norteando-se por estas premissas, este artigo apresenta os resultados obtidos com o desenvolvimento de um sistema, o protótipo Galilux, destinado ao controle de intensidade de luminosidade em ambientes fechados.
METODOLOGIA
Para este trabalho foi concebido um protótipo, esquematizado na Figura 1.

O sistema apresenta-se estruturado na plataforma de desenvolvimento Intel Galileo, em dois sensores sem fio baseados em módulos de rede XBee e em uma luminária da marca Philips que permite o controle de intensidade de luminosidade, além do desenvolvimento de um software que é executado no Intel Galileo, responsável pelo gerenciamento das informações coletadas pelos sensores.
Os sensores determinam a intensidade de luminosidade do ambiente e enviam suas informações ao controlador Galilux. Este por sua vez, compara os valores recebidos com um valor base, denominado set point, enviando ao reator a instrução para aumentar ou diminuir a iluminação artificial de acordo com a necessidade, mantendo constantes os níveis de luminosidade no ambiente gerenciado.
Controlador Galilux
O Galilux, apresentado na Figura 2, é o componente central do sistema, responsável por receber as informações dos sensores sem fio, processá-las e enviar à luminária a ordem para regular a intensidade de luminosidade no ambiente.

O dispositivo foi concebido tendo como base a plataforma de desenvolvimento Intel Galileo em conjunto com um módulo de rede sem fio XBee, interligados através de uma interface de hardware do tipo Rx/Tx (recepção/transmissão) para troca de informações.
SENSORES
Os sensores são os dispositivos responsáveis pela coleta das informações referentes à intensidade de luz no ambiente que está sendo monitorado. Para o projeto, foram desenvolvidos dois módulos sensores, constituídos a partir de módulos XBee, conforme exibido na Figura 3.

Cada dispositivo de sensoriamento é composto por um sensor de luminosidade do tipo LDR (Light Dependent Resistor) que mede a intensidade de luz do ambiente e envia as informações ao módulo XBee, no qual encontra-se acoplado. O módulo Xbee por sua vez, repassa as informações, através de comunicação sem fio, ao controlador Galilux.
LUMINÁRIA
A luminária utilizada no protótipo corresponde a um conjunto fabricado pela empresa Philips, constituído por um reator, modelo HF-R 214-35, que alimenta duas lâmpadas fluorescentes com potência de 28 watts cada, totalizando 56 watts, tal qual demonstrado na Figura 4.

Quando não detecta tensão de ajuste em sua entrada analógica, a luminária opera na potência máxima. Em contrapartida, a partir do momento que um valor entre 1 e 10 volts é associado, o reator automaticamente regula a intensidade da luminária. Desta forma, entende-se que ao receber a leitura dos dados dos sensores e processá-los, o Galilux irá enviar ao reator uma tensão correspondente para que este conduza o processo de regulagem da intensidade de luz do ambiente.
SOFTWARE
Para que seja efetuada a leitura e o processamento das informações oriundas dos sensores, bem como o envio das instruções à luminária, foi desenvolvido um software que é executado no controlador Galilux.
O processo constitui-se na consulta, em determinados intervalos de tempo, aos sensores sobre as condições de luminosidade do ambiente. Os sensores então enviam as informações, que são interpretadas pelo Galilux. Em seguida, a intensidade de luminosidade é obtida, com base em um valor em lux indicado para o ambiente (set point), convertida em tensão de saída e remetida à luminária, que realiza a regulagem das lâmpadas.
Em síntese, a luminária atua de maneira compensatória em relação à luz natural, aumentando ou diminuindo a luz artificial segundo a necessidade, objetivando manter constante o nível de luminosidade do ambiente.
PROCEDIMENTOS ADOTADOS
Na concepção de Alves (2012), o monitoramento tem o propósito de acompanhar o estado em que um sistema se encontra ao longo do tempo. Este processo envolve observação, reflexão, detecção de um estado indesejado e a consequente decisão de proceder a transição para um estado desejado.
No contexto do sistema Galilux, esta atividade equivale ao monitoramento do ambiente através dos sensores, acompanhada do ajuste da intensidade de luminosidade fornecida pela luminária, embasada nas informações coletadas.
Ainda segundo Alves (2012, p. 147), "Mudanças estruturais no ambiente podem desencadear mudanças estruturais no sistema de sorte a permitir sua adaptação ambiental.". Logo, a abordagem adotada para o monitoramento diz respeito a submeter o sistema a situações distintas, baseadas na alteração da variável intensidade de luz do dia, proporcional às características climáticas (ensolarado, chuvoso, nublado), efetivando-se a coleta de dados e a interpretação dos resultados referentes ao comportamento sugerido à luminária, bem como o cálculo dos valores de corrente elétrica e potência por ela disponibilizados.
O ambiente selecionado para o monitoramento, esboçado na Figura 5, trata-se de uma sala medindo 3 x 4 metros, com altura de 3 metros, atendida por uma janela de 2,15 x 1,65 metros, voltada para o Norte, sendo que a incidência da luz solar ocorre com maior intensidade no horário matutino.
O sensor número 1 foi posicionado junto à janela, visto que se trata do local com maior incidência solar. Este sensor atua como o primeiro agente do monitoramento, pois mede diretamente a intensidade da luz natural, indicando ao Galilux um valor compensatório inicial a ser enviado à luminária. Desta forma, a primeira regulagem da luminária ocorre neste momento. Optou-se por este posicionamento com o objetivo de acelerar o processo de reconhecimento da alteração da intensidade luminosa do ambiente, uma vez que apenas com um sensor posicionado sob a luminária, este processo em determinadas ocasiões demonstrava-se lento, bem como impreciso.

Em relação ao sensor número 2, o mesmo encontra-se posicionado sob a luminária, justamente para medir a intensidade de luz por ela dispensada, aliada à luz natural. Desta maneira, tem-se o total em lux no ambiente. Como a luminária já recebeu uma regulagem inicial fornecida pelos dados do primeiro sensor, neste instante, as informações do segundo sensor permitem uma espécie de sintonia fina, fazendo com que a luminária alcance ou se aproxime ao máximo do valor de referência, aumentando a acurácia do experimento.
Um item fundamental a ser considerado neste processo relaciona-se aos valores de referência (set point) adotados, conforme exemplificado na Tabela 1. Uma boa iluminação fornece ao ambiente, condições para que as pessoas realizem suas tarefas com precisão, qualidade e segurança. A norma ABNT NBR ISO/CIE 8995-1:2013 indica a quantidade de luminosidade, medida em lux, que deve estar presente em um determinado ambiente de acordo com a sua finalidade. (ASSOCIAÇÃO BRASILEIRA DE NORMAS TÉCNICAS, 2013).
| Ambiente | Lux |
| Banheiro | 200 |
| Corredor | 100 |
| Desenhos de projetos | 750 |
| Enfermaria | 500 |
| Recepção de escritório | 300 |
| Saguão de entrada | 100 |
| Sala de espera | 200 |
| Teatro | 200 |
Para a realização do experimento, optou-se por um valor (set point) para o ambiente de 300 lux, considerando que o mesmo poderia, segundo a norma, ser utilizado como recepção de um escritório por exemplo. Outro motivo para esta escolha diz respeito à quantidade máxima de 430 lux dispensada pela luminária conforme informações do fabricante. Salienta-se também, que caso o ambiente almejado não esteja contemplado pela norma, deve-se escolher uma das opções com maior similaridade possível.
O processo de regulagem de intensidade da luminária estrutura-se no conceito de sistema de malha fechada com realimentação, ajustado através do algoritmo de controle de processos proporcional-integral-derivativo, ou simplesmente PID, acrônimo pelo qual comumente é referenciado. De acordo com Valdman, Folly e Salgado (2008), o princípio de atuação da realimentação consiste na tomada de decisão de correção a partir do surgimento de um erro ou desvio na variável do processo que se deseja controlar. O esquema sugerido pelos autores pode ser constatado na Figura 6.
Neste método, o sinal de saída é realimentado realizando-se uma comparação com o sinal de entrada e gerando um sinal corrigido que é submetido novamente ao sistema visando à obtenção do nível de resposta desejado. Apresentam-se como vantagens a compensação de erros, a saída constante e a robustez com menor sensibilidade a distúrbios (BAYER; ARAÚJO, 2010).
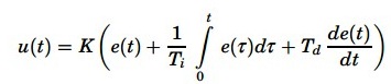
O algoritmo PID, define Alves (2010), foi concebido empiricamente na indústria, sendo descrito em sua versão teórica como:
[algoritmo PID]Onde u é a variável de controle, sendo que e é o erro de controle (e = ysp - y). A variável de controle é, então, a soma de um termo proporcional ao erro (P), um termo proporcional à integral do erro (I) e um termo proporcional à derivada do erro (D). Os parâmetros do controlador são o ganho proporcional K, o tempo integral Ti e o tempo derivativo Td.
Conquanto, o autor ressalva que o algoritmo teórico apresentado anteriormente nem sempre é empregado na prática, sendo usadas versões modificadas que apresentam melhores resultados.
Desta maneira, o funcionamento do programa de ajuste da intensidade da luminária adota a filosofia PID, porém com adequações em sua rotina de tratamento. O Galilux realiza a medição do nível de intensidade de luminosidade do ambiente (neste caso, a variável de controle) através dos dois sensores, comparando-o ao set point desejado. Conforme a necessidade (o valor do erro), o valor da intensidade de luz na luminária é aumentado ou diminuído e uma nova medição é realizada. Este processo repete-se até que o valor fique o mais próximo possível para mais ou para menos, minimizando o erro em relação ao ponto desejado.
Ressalta-se que em relação ao algoritmo PID, optou-se pela implementação apenas do controle proporcional. Na concepção de Valdman, Folly e Salgado (2008), o controle proporcional é o mais simples dos modos de controle, contendo apenas um parâmetro para ser ajustado.
DESENVOLVIMENTO
No intuito de verificar o comportamento do sistema desenvolvido, procedeu-se a realização de sessões de monitoramento baseadas em condições climáticas distintas e que afetavam a quantidade de luz natural no ambiente. Desta maneira, conduziu-se o experimento em três oportunidades: em um dia chuvoso, em um dia nublado e em um dia ensolarado.
PROCEDIMENTOS ADOTADOS
Na oportunidade em que este experimento foi executado, o clima apresentava-se chuvoso durante todo o período, consequentemente fazendo com que a quantidade de luminosidade natural disponibilizada ao ambiente fosse reduzida. O Quadro 1 contém os dados obtidos nesta sessão de monitoramento.
No tocante ao período selecionado, entre 8:00 e 18:00 hs, a razão de sua escolha concerne ao horário comercial frequentemente adotado no Brasil, sendo que este também foi empregado nos experimentos seguintes, bem como o intervalo de 10 minutos de consulta aos sensores. O Gráfico 1 demonstra os resultados obtidos relativos à corrente (em amperes) consumida.
Observa-se a predominância do valor de 162 mA, que corresponde a 240 lux, indicando que a luminosidade ambiente apresentava um valor de 60 lux, relativamente baixo, o que já era esperado devido às características do dia, ocasionando um consumo maior. É possível identificar a presença de picos no valor de 178 mA no período da tarde, bem como uma ligeira diminuição no período da manhã, reportando o valor de 132 mA. O Gráfico 2 demonstra a participação em termos percentuais de cada valor de corrente registrado durante o experimento.
Como valor médio da corrente disponibilizada no período, tem-se o valor de 158 mA. Este índice é obtido dividindo-se a soma de todos os valores de corrente reportados pelo número de monitoramentos (ao total 61).
| Item | Valor obtido |
| Intensidade média de corrente consumida | 158 mA |
| Maior valor de corrente registrado | 178 mA |
| Menor valor de corrente registrado | 132 mA |
| Intensidade média de lux disponibilizada | 233,64 lux |
| Maior valor de lux registrado | 272 lux |
| Menor valor de lux registrado | 180 lux |
| Intensidade média da iluminação natural | 66,36 lux |
| Intensidade média de potência consumida | 34,76 watts |
| Maior valor de potência registrado | 39,16 watts |
| Menor valor de potência registrado | 29,04 watts |
| Total de potência consumida (1 dia) | 347,60 watts |
| Projeção de consumo semanal (7 dias) | 2,43 kW |
| Projeção de consumo mensal (30 dias) | 10,43 kW |
| Projeção de consumo anual (365 dias) | 126,87 kW |
| Percentual de redução | 37,93 % |
De posse deste valor, calcula-se o valor médio da potência, em watts, consumida pela luminária, multiplicando-se a corrente pela tensão (considerando 220 volts):
Potência Média = 220 volts x 158 mA = 34,76 watts
Reputando que a luminária oferece uma potência total de 56 watts, ao se dividir a potência média obtida (no caso 34,76 watts) pela sua potência total (56 watts), entende-se que a luminária operou durante o experimento, em média, com 62,07 % de sua capacidade. Assim, em comparação a uma luminária com as mesmas características de potência ou a própria sem utilizar o recurso de regulagem analógica, consegue-se uma economia de 37,93 % em um dia chuvoso. Além da economia, ressalta-se a importância de manter constantes os níveis de luminosidade no ambiente.

Considerando o valor médio de 34,76 watts, e sabendo que o experimento durou 10 horas, multiplicando-se estes números, obtêm-se um total de 347,60 watts por dia. Realizando-se uma projeção baseada nestes indicadores, durante um período maior, de um ano, tem-se:
Total Anual = 365 dias x 347,60 = 126,87 kW

Em relação ao monitoramento, salienta-se que o valor médio em termos de lux disponibilizados pela luminária foi de 233,64 lux. Este número é obtido dividindo-se a soma de todos os valores de lux registrados, pela quantidade de consultas realizadas aos sensores (61 ao todo). Desta forma, deduz-se que a média da intensidade de luz natural em um dia chuvoso presente no ambiente foi de 66,36 lux.
MONITORAMENTO EM UM DIA NUBLADO
Este monitoramento adota os mesmos parâmetros do experimento anterior, ou seja, foi executado entre 8:00 e 18:00 hs, com intervalos de consulta aos sensores de 10 minutos. Contudo, nesta data, o comportamento do clima classificava-se como nublado, de tal forma que a quantidade de luminosidade natural presente no ambiente era mais intensa em comparação ao dia chuvoso. O Quadro 2 apresenta os valores registrados nesta sessão de monitoramento. Em relação à corrente absorvida pela luminária, a evolução deste parâmetro é apresentada no Gráfico 3.
Percebe-se neste ensaio, um consumo de energia elétrica relativamente menor quando comparado ao experimento anterior. Quanto à corrente consumida, conforme demonstra o Gráfico 4, o valor presente durante quase que a totalidade foi de 102 mA, com picos de 116 mA. A intensidade média de corrente registrada neste experimento foi de 105 mA, proporcionando um consumo médio de potência da luminária na ordem de 23,10 watts, com um valor máximo de 25,52 watts e 22,44 watts como valor mínimo. Com base nesta média, computa-se um valor diário de 231 watts (equivalente a 10 horas de consumo), projetando um consumo anual de 84,31 kW.
| Item | Valor obtido |
| Intensidade média de corrente consumida | 105 mA |
| Maior valor de corrente registrado | 116 mA |
| Menor valor de corrente registrado | 102 mA |
| Intensidade média de lux disponibilizada | 111,38 lux |
| Maior valor de lux registrado | 146 lux |
| Menor valor de lux registrado | 102 lux |
| Intensidade média da iluminação natural | 188,62 lux |
| Intensidade média de potência consumida | 23,10 watts |
| Maior valor de potência registrado | 25,52 watts |
| Menor valor de potência registrado | 22,44 watts |
| Total de potência consumida (1 dia) | 231,00 watts |
| Projeção de consumo semanal (7 dias) | 1,61 kW |
| Projeção de consumo mensal (30 dias) | 6,93 kW |
| Projeção de consumo anual (365 dias) | 84,31 kW |
| Percentual de redução | 58,75 % |
Em termos percentuais, estes números concernem a uma economia de 58,75 % em relação à luminária operando em sua potência total. Ainda em termos de redução de consumo de energia elétrica, o experimento relatou uma diminuição de 20,82 % (diferença entre a média de potência obtida nos ensaios, dividida pela potência total da luminária) quando cotejado aos dados obtidos no monitoramento realizado em um dia chuvoso.

No tocante ao parâmetro lux, a intensidade média reportada durante o ensaio foi de 111,38 lux, com 146 lux como valor máximo e 102 lux como valor mínimo. Desta maneira, estabelece-se que a intensidade de luz natural durante um dia nublado no ambiente de monitoramento foi de 188,62 lux.

MONITORAMENTO EM UM DIA ENSOLARADO
Tal qual os dois experimentos anteriores, este ensaio foi conduzido com base nos mesmos critérios, no período compreendido entre 8:00 e 18:00 hs, com intervalos de 10 minutos para a consulta aos sensores, com o clima na oportunidade apresentando-se ensolarado. Este fator motivou um comportamento deveras diversificado no tocante aos índices de corrente consumidos pela luminária, assim como na quantidade de valores distintos reportados. As informações resultantes deste monitoramento são demonstradas no Quadro 3.
| Item | Valor obtido |
| Intensidade média de corrente consumida | 88 mA |
| Maior valor de corrente registrado | 116 mA |
| Menor valor de corrente registrado | 0 mA |
| Intensidade média de lux disponibilizada | 83,11 lux |
| Maior valor de lux registrado | 146 lux |
| Menor valor de lux registrado | 0 lux |
| Intensidade média da iluminação natural | 216,89 lux |
| Intensidade média de potência consumida | 19,35 watts |
| Maior valor de potência registrado | 25,52 watts |
| Menor valor de potência registrado | 0 watts |
| Total de potência consumida (1 dia) | 193,50 watts |
| Projeção de consumo semanal (7 dias) | 1,35 kW |
| Projeção de consumo mensal (30 dias) | 5,80 kW |
| Projeção de consumo anual (365 dias) | 70,63 kW |
| Percentual de redução | 65,45 % |
A variação da corrente consumida pela luminária durante o experimento pode ser observada no Gráfico 5.

Um primeiro aspecto constatado refere-se à ocorrência de valores nulos repassados à luminária. Este evento ocorreu entre 9:10 e 9:40 hs, ratificando o período matutino como o de maior incidência solar no ambiente de monitoramento. Interpreta-se que na oportunidade, a quantidade de lux oferecida ao ambiente pela luz natural alcançava ou superava os 300 lux definidos como ponto de referência. Logo, não existia a necessidade de apoio da iluminação artificial, fazendo com que o Galilux optasse por desligar a luminária, resultando em uma economia na ordem de 100%. Neste experimento, a quantidade média de corrente disponibilizada à luminária foi de 88 mA, com um valor mínimo registrado de 0 mA e um valor máximo de 116 mA, contemplando que na maioria das oportunidades prevaleceu o valor de 102 mA. A distribuição dos valores reportados nesta sessão é apresentada no Gráfico 6.

Com base nestes valores, determina-se que a média de potência fornecida à luminária foi de 19,35 watts, fazendo com a mesma operasse com 34,55 % de sua capacidade total, resultando em uma economia de 65,45 % em comparação à sua utilização na potência máxima. Ainda no quesito potência, o valor máximo reportado foi de 25,52 watts, com um valor mínimo de 0 watts que corresponde ao período em que a luminária permaneceu desligada. Estes dados concernem a uma quantidade média de luminosidade fornecida de maneira artificial ao ambiente de 83,11 lux. Assim, deduz-se que a luminosidade natural presente foi de 216,89 lux, correspondendo a 72,29 % do valor de referência. Em termos percentuais, chegou-se a uma redução de 6,7 % em relação ao dia nublado e de 27,52 % quando comparado ao dia chuvoso (diferença entre a média de potência obtida nos ensaios, dividida pela potência total da luminária).
RESUMO DOS EXPERIMENTOS
Os índices obtidos durante os ensaios realizados apontam para um uso mais racional dos recursos energéticos, neste caso singular a iluminação artificial, quando associados a algum tipo de gerenciamento, como pode ser constatado no Gráfico 7, que sintetiza os resultados alcançados.

Reportando-se ao gráfico anterior, a linha de cor preta indica o valor máximo de corrente possível fornecido pela luminária. Nesta condição, o dispositivo não apresenta nenhum tipo de gerenciamento, permanecendo ligado durante todo o período, independente da incidência da iluminação natural.
À linha de cor vermelha associa-se o valor de corrente necessário para manter a intensidade de luminosidade constante de acordo com o set point definido para o ambiente, neste caso 300 lux. Possivelmente, a ocorrência deste comportamento seria identificada em um monitoramento no período noturno, dada a ausência da luz natural.
As linhas nas cores verde, roxa e azul representam a evolução do consumo de corrente nos respectivos experimentos, em dias com o clima chuvoso, nublado e ensolarado.
O dia chuvoso apresentou, dentro do pressuposto, o maior consumo de corrente e consequentemente de potência, uma vez que na oportunidade a incidência de luz natural era escassa devido às condições climáticas. Contudo, ressalta-se que em nenhuma das oportunidades em que os sensores foram consultados fez-se necessário o fornecimento máximo de potência para atingir o set point, permitindo que mesmo em um dia com pouca luminosidade, existisse a economia de energia.
Quanto ao dia nublado, constatou-se um comportamento imprevisto e relativamente surpreendente, visto a linearidade da evolução do fornecimento de corrente à luminária. O valor manteve-se constante em quase a totalidade do experimento, com raras variações. Um fator, contudo, era esperado: a redução no consumo ser mais relevante quando comparada ao dia chuvoso.
Em relação ao dia ensolarado, a evolução do consumo de corrente demonstrou-se previsível, estimulada pela vigorosa presença de luz natural no ambiente. Acredita-se que um fator que contribuiu para este cenário diz respeito à estação do ano (verão) em que o monitoramento foi realizado. O experimento registrou o menor consumo de energia, com a luminária permanecendo desligada em determinados momentos. Observa-se também uma conduta diversificada em termos de valores de corrente quando cotejado aos demais ensaios, atingindo em alguns horários índices equivalentes aos obtidos em um dia nublado.
Ratifica-se que dependendo das condições climáticas, os valores devem sofrer alterações, contudo presume-se que os mesmos acompanhem as tendências aqui apresentadas.
Não se efetivou nenhuma medição em horário noturno, por entender que o comportamento apresentado seria constante, dada a inexistência da luz natural. Mesmo assim, julga-se que a expectativa de consumo iria de encontro à necessidade de manutenção do set point definido, resultando também em economia de energia quando comparada a uma luminária sem sistema de gerenciamento e que atuasse sempre na potência máxima.
Ratifica-se, que em nenhum momento dos monitoramentos efetuados ocorreu o uso da luminária em seu estado máximo, além de manter-se em todas as oportunidades a constância da intensidade do ambiente com a combinação entre a luz natural e a artificial.
Em termos de percentuais de consumo e redução, bem como estimativas financeiras, o Quadro 4 apresenta um resumo dos valores obtidos em cada sessão de monitoramento.
Quanto aos valores financeiros apresentados no Quadro 4, os mesmos foram estimados considerando que o dispositivo permaneceria ativo durante o horário comercial, entre 8:00 e 18:00 hs. Em relação aos percentuais de redução, estes foram obtidos comparando-se ao consumo de uma luminária de mesma potência ligada sem nenhum tipo de gerenciamento. Como exemplo deste cenário, uma edificação (shopping, supermercado, hospital) localizada em uma região com clima predominantemente ensolarado e atendida por 200 luminárias, a economia anual com a iluminação no empreendimento poderia atingir valores que se aproximam de R$ 13.000,001.
| Item | Chuvoso | Nublado | Ensolarado |
| Consumo médio registrado por hora | 34,76 watts | 23,10 watts | 19,35 watts |
| Maior consumo registrado | 39,16 watts | 25,52 watts | 25,52 watts |
| Menor consumo registrado | 29,12 watts | 25,52 watts | 0 watts |
| Percentual de uso da luz natural | 22,12 % | 62,87 % | 72,29 % |
| Economia mensal1 | R$ 3,25 | R$ 5,03 | R$ 5,60 |
| Economia anual1 | R$ 39,55 | R$ 61,25 | R$ 68,23 |
CONSIDERAÇÕES FINAIS
Evidencia-se a dependência do ser humano pela energia elétrica, sendo esta fundamental para o desenvolvimento econômico, social e para o bem-estar. Demonstra-se premente, a modificação dos hábitos de consumo da população e o incremento de novas tecnologias se mostra relevante para alcançar resultados sustentáveis na utilização deste recurso.
Em se tratando de novas tecnologias, este artigo apresentou detalhes relacionados ao protótipo Galilux, que objetiva monitorar e controlar a luminosidade de ambientes com o apoio de sensores sem fio, fazendo com que a iluminação artificial atue de maneira compensatória em relação à luz natural.
Para a verificação da hipótese prevista nesta pesquisa, sessões de monitoramento foram realizadas em oportunidades pontuais, com condições climáticas distintas que influenciam diretamente na quantidade de luz natural fornecida ao ambiente.
Em relação às sessões de monitoramento, observou-se a constante e progressiva diminuição do consumo de energia elétrica destinada a iluminação artificial, implicando em um uso mais racional deste recurso, com a obtenção de índices de redução que chegam a 65%, demonstrando a eficácia da adoção deste método.
Salienta-se que o local escolhido para o monitoramento não foi concebido sob o conceito de arquitetura sustentável, visando a Eficiência Energética. Presume-se que em um ambiente especialmente projetado para este fim, os resultados inerentes à economia de energia possam ser ainda substanciais.
REFERÊNCIAS
ALVES, J. B. M. Teoria geral de sistemas: em busca da interdisciplinaridade. Florianópolis: Instituto Stela, 2012. 179 p.
ALVES, J. L. L. Instrumentação, controle e automação de processos. 2. ed. Rio de Janeiro: Ltc, 2010. 201 p.
ASSOCIAÇÃO BRASILEIRA DE NORMAS TÉCNICAS. ABNT NBR ISO/CIE 8995-1: Iluminação de ambientes de trabalho. Parte 1:interior. Rio de Janeiro: Abnt, 2013. 46 p.
BAYER, F. M.; ARAÚJO, O. C. B. Curso técnico em automação industrial: controle automático de processos. 3. ed. Santa Maria: Ctism, 2010. 92 p.
BURATTINI, M. P. T. C. Energia: uma abordagem multidisciplinar. São Paulo: Livraria da Física, 2008. 112 p.
DIDONÉ, E. L. A influência da luz natural na avaliação da eficiência energética de edifícios contemporâneos de escritórios em Florianópolis/SC. 2009. 174 f. Dissertação (Mestrado) - Programa de Pós Graduação em Arquitetura e Urbanismo, Centro Tecnológico, Universidade Federal de Santa Catarina, Florianópolis, 2009.
GOLDEMBERG, J.; LUCON, O. Energia, Meio Ambiente e Desenvolvimento. 3. ed. São Paulo: Editora da Universidade de São Paulo, 2012. 400 p.
HINRICHS, R. A.; KLEINBACH, M.; REIS, L. B. Energia e Meio Ambiente. 5. ed. São Paulo: Cencage Learning, 2015. 543 p.
LAMBERTS, R.; DUTRA, L.; PEREIRA, F. O. R. Eficiência energética na arquitetura. 3 ed. Rio de Janeiro: Eletrobras - Procel, 2014. 382 p.
MARQUES, M. C. S.; HADDAD, J.; GUARDIA, E. C. (Coord.). Eficiência energética: teoria & prática. Itajubá: Fupai, 2007. 224 p.
ROMÉRO, M. A.; REIS, L. B. Eficiência energética em edifícios. Barueri: Manole, 2012. 195 p.
SALOMÃO, T. M. Eficiência energética: projetos luminotécnicos em plantas industriais. 2010. 197 f. Dissertação (Mestrado) - Departamento de Engenharia de Energia e Automação Elétricas, Universidade de São Paulo, São Paulo, 2010.
VALDMAN, B.; FOLLY, R.; SALGADO, A. Dinâmica, controle e instrumentação de processos. Rio de Janeiro: Ufrj, 2008. 400 p.
YU, X.; CECATI, C.; DILLON, T.; SIMÕES, M. G. The new frontier of smart grids. Ieee Ind. Electron. Mag., [s.l.], v. 5, n. 3, p.49-63, set. 2011. Institute of Electrical & Electronics Engineers (IEEE). http://dx.doi.org/10.1109/mie.2011.942176
Notas
Informação adicional
Como citar: SÔNEGO, A. A.; MARCELINO, R.; GRUBER, V. Um sistema para
controle da intensidade de luminosidade em ambientes fechados contemplando a
eficiência energética: o protótipo Galilux. R. Tecnol. Soc., Curitiba, v. 14, n.
33, p. 131-150, jul./set. 2018. Disponível em: <https://periodicos.utfpr.edu.br/rts/article/view/6982>. Acesso
em: XXX.
Ligação alternative