Resumen: El conocimiento del potencial de producción de semilla de una población natural así como de la eficiencia con la que es producida es un indicio del estado en que se encuentra dicha población, y su respuesta al sitio y servirá para sostener conceptos y rutas para su correcto manejo a futuro. Se evaluó la variación intrapoblacional de Pinus chiapensis del municipio de Atzalan, Veracruz, con respecto al Potencial y la Eficiencia Productiva de Semillas a través de la colecta selecta de 16 árboles. El Potencial de Producción de Semillas fue de 107.98 semillas por cono mientras que la Eficiencia fue de 40.97%, con base en los resultados del análisis de varianza podemos concluir que existen diferencias significativas para el Potencial de Producción de Semillas entre las familias evaluadas, no así para la Eficiencia de Semilla, dicha variación podría estar asociada a factores ambientales y a las condiciones biológicas y ecológicas de la población; las familias 3, 6, 8, 13 y 14 presentaron los valores más altos de Potencial de Producción y Eficiencia de Semilla.
Palabras clave: Pinus chiapensis, potencial y eficiencia de producción de semillas.
Abstract: Knowledge of the seed potential production of a natural population as well as the efficiency with which it is produced is indicative of the state in which this population is, and its response to the site and will serve to support concepts and routes for proper management to future. Variation within population of Pinus chiapensis from Atzalan, Veracruz, about the Seed Production Potential and Seed Efficiency through the collection of 16 selected trees were evaluated. Seed Production Potential was 107.98 seeds per cone while Seed Efficiency was 40.97%, based on the results of analysis of variance can conclude that there are significant differences for Seed Production Potential among families evaluated, not for Seed Efficiency, this variation may be associated with environmental factors and biological and ecological conditions of the population; families 3, 6, 8, 13 and 14 had the highest values of Seed Production Potential and Seed Efficiency.
Keywords: Pinus chiapensis, seed production potential and seed efficiency.
Introducción
La capacidad de repoblación de los bosques y la formación de nuevas poblaciones depende en gran medida de una producción de semilla abundante y viable, sin embargo ésta ha disminuido debido a que las poblaciones -de la mayoría de la especies arbóreas- están siendo afectadas por el paso del tiempo y el aprovechamiento selectivo llevado a cabo por las practicas silvícolas tradicionales, ocasionando la pérdida de genes en las poblaciones forestales y por lo tanto la disminución de la variación de sus características biológicas y comerciales lo cual implica pérdida adaptativa y mayor riesgo de extinción.
El número de semilla que puede producir cada cono así como la cantidad de semilla viable obtenida de los mismos son indicadores de la capacidad de la población para permanecer en su sitio original y ocupar nuevos áreas debido a que la semilla es la principal forma de reproducción de las especies forestales maderables; igualmente es importante considerar que la reproducción sexual favorece la diversidad genética ayudando a la evolución natural. Por lo tanto, el conocimiento de la variación de una especie es un prerrequisito para su conservación, restauración y comercialización.
La creciente necesidad de contar con semillas forestales en cantidad y calidad suficientes para revertir los procesos de deforestación obliga a realizar estudios acerca de la producción de semillas de especies forestales de interés, factor fundamental para la conservación de los recursos (Alba-Landa et al., 2001). El análisis de conos y semillas permite evaluar la productividad y eficiencia de semillas en pinos e identificar las causas de la pérdida de éstas.
La renovación de los recursos forestales depende de la eficiencia de la regeneración, ya sea que se efectué de manera natural o artificial. El éxito de la regeneración depende a su vez de una abundante producción de semillas además de condiciones favorables para la germinación y el desarrollo de la planta. Sin embargo, la mayoría de las especies arbóreas no producen regularmente cantidades suficientes de semillas para asegurar el éxito (Hawley y Smith, 1972). En el manejo forestal, se requiere de una cantidad adecuada de semillas de la mejor calidad posible para asegurar la regeneración natural de un bosque (Márquez y Alba-Landa, 2003).
El Potencial de Producción de Semillas (PPS) se define como el límite o capacidad biológica de semillas producidas por cono (Bramlett et al., 1977) y es un indicador de la capacidad que tienen los bosques de permanecer en su sitio original (Vázquez et al., 2004) debido al grado de madurez de un población respecto a su edad así como de la interacción de la misma en un sitio determinado (Alba-Landa et al., 2005). La Eficiencia de Semillas se expresa como la proporción entre semillas llenas y semillas potenciales, por lo tanto; la Eficiencia de Semillas mide la productividad de un cono en relación con su capacidad biológica. El promedio de Eficiencia de semilla por árbol o de una población es la medida más importante en la producción de semilla (Bramlett et al., op. cit.). Las técnicas para determinar la “eficiencia de semilla” se usaron por primera vez por Lyons (1956) en el pino rojo Pinus resinosa.
El conocimiento del número de semillas que puede producir cada cono así como la eficiencia de semilla para sitio, cosechas y árboles específicos permite conocer la variación de la especie para así manejarla en programas de conservación, restauración y comercialización (Mendizábal-Hernández et al., 2010a y 2010b).
El objetivo del presente trabajo fue determinar el Potencial de Producción de Semillas y la Eficiencia de Semillas de una población de Pinus chiapensis de Atzalan, Veracruz.
Material y métodos
La selección de árboles para este estudio se realizó en la población natural de la comunidad “Los Manueles” Arroyo Colorado, municipio de Atzalan, Veracruz; en una superficie de aproximadamente 3 hectáreas. En un trayecto de 2 km se seleccionaron 16 árboles distribuidos uniformemente a una distancia aproximada de 100 m entre cada uno. Las características para la selección de árboles fueron: altura sobresaliente, rectitud del fuste, buen tamaño de copa, producción de conos y libres de patógenos y enfermedades (Arriaga et al., 1994) para asegurar las mejores características fenotípicas. Bramlett et al. (1977) indican que deben seleccionarse conos a través de todo el huerto, excluyendo aquellos dañados por insectos pero deben incluirse conos de todos los tamaños.
La recolecta de conos se realizó escalando el árbol, el corte se hizo manualmente o con garrocha especial en la parte central de la copa (Jensen et al., 1996). La recolecta fue entre 40 y 80 conos y dependió de la disponibilidad en cada árbol seleccionado, estos se depositaron en costales de rafia debidamente etiquetados y se mantuvieron a la sombra (Arriaga et al., op. cit.).
Los conos se trasladaron al laboratorio de germoplasma donde se tomaron al azar 15 conos por árbol y se colocaron en bolsas de papel identificadas con número de árbol, número de cono y especie (Bramlett et al., op. cit.). Cada árbol se consideró como una familia y cada cono como una repetición.
El análisis de conos se realizó bajo la metodología propuesta por Bramlett et al. (1977) adaptada por Alba-Landa et al. (2000).
Los conos secos se disectaron separándolos desde su punto de unión manualmente y/o con ayuda de una pinza. Las escamas se clasificaron en: fértiles, infértiles de la base e infértiles del ápice, de acuerdo con la marca que dejaron las semillas en las escamas.
El PPS se determinó a partir del conteo total de escamas fértiles excluyendo aquellas en las que no se detectó la producción de semilla. Considerando que cada escama tiene la capacidad para producir dos semillas se calculó mediante la siguiente fórmula:

La Eficiencia de Semilla se calculó en relación con el total se semillas desarrolladas y el Potencial de Producción mediante la siguiente fórmula:

Los datos obtenidos se analizaron con el programa Statistica (StatSoft, 1998) mediante estadísticas descriptivas, gráficos de cajas y alambres, comparación de medias por el método de Tukey y un análisis de varianza, utilizando el modelo lineal de efectos fijos siguiente:

Dónde:
Yij = Variable respuesta
μ = Media general
Fi = Efecto de la i-ésima familia
eij= Error experimental
Resultados
Potencial de Producción de Semillas. Se obtuvo un promedio general de 107.98 semillas potenciales por cono para el sitio evaluado con una variación de 42 a 178 semillas potenciales. Más del 75% de los valores potenciales de las familias 6 y 8 estuvieron por arriba del promedio general mientras que la familia uno, dos, tres, siete, nueve 13 y 15 tuvieron más del la mitad de sus conos con un potencial de producción de semillas por debajo del promedio general (figura 1).
El análisis de varianza mostró diferencias estadísticas altamente significativas (p<0.05) entre familias (tabla 1).
La comparación de medias mostró la formación de 5 grupos (figura 1)



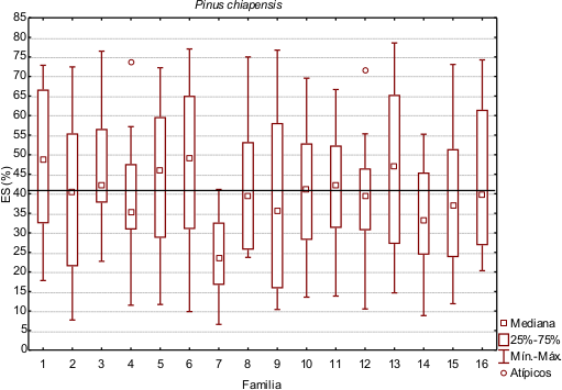
Eficiencia de Semillas. Se obtuvo un promedio general de 40.97% de semillas desarrolladas con valores que fluctuaron entre el 6 y el 79% de semillas desarrolladas. La familia siete tuvo todos sus valores de Eficiencia debajo de la media general, mientras que las familias uno, tres, cinco, seis, 11 y 13 presentaron más de la mitad de sus conos con valores por arriba de dicha media (figura 3). El análisis de varianza en este caso no mostró diferencias significativas (P<0.5).

Discusión
La mayoría de las especies arbóreas no producen año con año cantidades homogéneas de semilla (Hawley y Smith, 1972) y puede variar de manera significativa anualmente en los mismos árboles (Alba et al., 2001), esta característica puede estar correlacionada con algunos factores del clima y la madurez del árbol (Boyer, 1987; Pederson et al., 1998; Pederson et al., 1999; Cain y Shelton, 2000).
Por su parte Bramlett et al. (1977) señalan que la presencia de escamas infértiles se debe a que éstas no pudieron ser polinizadas durante la dispersión del polen. El Potencial de producción de Semillas como límite biológico en el cual se mueve su capacidad reproductiva tiene que ver con efectos genéticos y ambientales dentro de los cuales destacarían la diversidad genética de una población y su índice de endogamia, de tal forma que la obtención de datos relacionados con la diversidad darán como resultado una exploración del estado que guarda una población con respecto a su ambiente (Mendizábal-Hernández et al., 2013).
Bramlett et al. (1977) proponen que un huerto semillero con un buen manejo debe tener porcentajes superiores al 55%, y con una polinización adecuada y un control efectivo de insectos la cosecha de semillas puede aproximarse al 80% y 90% del potencial de semilla. En esta población la Eficiencia de Semilla fue de 40.97%. De acuerdo con Salzer y Gugerli (2012), las diferencias en los resultados pueden ser atribuibles a factores específicos de cada rodal respecto a la calidad del sitio y a características genéticas, dado a las condiciones climáticas y al manejo silvícola en dichos rodales.
Hoekstra et al. (1986) señalan que el Potencial de Producción de Semillas está influenciado por diversos factores principalmente a las condiciones ambientales como la lluvia, el viento y la humedad; y que en el transcurso de la vida de un árbol cada especie exhibe un patrón bien definido de producción, el cual depende de la edad en que empieza la floración y el número de años productivos. Los autores señalan además que los árboles más vigorosos con copas grandes producen las cosechas más grandes. Incluso, las cosechas de un mismo árbol varían año con año, por su parte Bramlett et al. (1977) mencionan que el PPS varía poco dentro de clones específicos en huertos semilleros pero que puede diferir del promedio de la especie.
Para identificar las causas que han limitado la producción de semilla, es necesario hacer un diagnóstico a detalle donde, entre otros aspectos, se evalúen posibles problemas de endogamia o de daños por insectos.
Conclusiones
A partir de los resultados obtenidos se llegó a las siguientes conclusiones:
• De acuerdo a los resultados de la variación obtenida en cuanto al Potencial de Producción y la Eficiencia de Semilla de la población de Pinus chiapensis de Atzalan, Veracruz; ésta tiene la suficiente variabilidad y producción de semilla viable que garantice su variación y sobrevivencia.
• Las familias potenciales para una posible regeneración fueron 3, 6, 8, 13 y 14.
• Posee la población -como recurso- la variación de producción de semillas cuantificada como punto de partida para otros estudios.
Literatura citada
ALBA-LANDA, J.; MENDIZÁBAL-HERNÁNDEZ L.C. y CRUZ-JIMÉNEZ, H. 2000. Potencial de producción de semillas de Pinus oaxacana Mirov en tres sitios de Perote, Veracruz, México. Foresta Veracruzana 2(1):29-32.
ALBA-LANDA, J.; MENDIZÁBAL-HERNÁNDEZ, L.C. y MÁRQUEZ, R.J. 2001. Comparación del potencial de producción se semillas de Pinus oaxacana Mirov de dos cosechas en Los Molinos, Veracruz, México. Foresta Veracruzana 3(1)35-38.
ALBA-LANDA, J.; MENDIZÁBAL-HERNÁNDEZ, L.C. y MORANTE, C.J. 2005. Estudio de conos, semillas y plántulas de Pinus greggii Engelm. de una población del Estado de Veracruz, México. Foresta Veracruzana 7(2): 23-31.
ARRIAGA, V.; CERVANTES, V. y VARGAS-MENA, A. 1994. Manual de Reforestación con Especies Nativas: Colecta y Preservación de Semillas, Propagación y Manejo de Plantas. SEDESOL / INE–Facultad de Ciencias, UNAM. México, D.F.
BOYER, W.D. 1987. Annual and geographic variations in cone production by longleaf pine. In: Proceedings fourth biennial southern silvicultural research conference. 1986. November 4-6. Asheville NC. Gen. Technical Report SE-42 Atlanta, Georgia: US Departament of Agriculture. Forest Service: 73-76.
BRAMLETT, D.L.; BELCHER J.R, E.W.; DEBARR, G.L.; HERTEL, G.D.; KARRFALT, R.P.; LANTZ, C.W.; MILLAR, T.; WARE, W. y YATES III, H.O. 1977. Manual de análisis de conos: una guía. Traducido del inglés por Flores L. J. USDA Servicios Forestales. Reporte Técnico General SE 13. Estación Experimental del sureste, Asheville, Carolina del Norte y área sureste, Estado y propiedad forestal, Atlanta Georgia. USA, pp. 18.
CAIN, M.D. and SHELTON, M.G. 2000. Revisiting the relationship between common weather variables and loblolly-shortleaf pine seed crops in natural stands. New Forests 19:187-204.
HAWLEY, R.C. y SMITH, D.M. 1972. Silvicultura práctica. En: Omega (ed). Barcelona, España. pp. 544.
HOEKSTRA, P.E.; MERKEL, E.P. y POWERS Jr., H.R. 1986. Producción de semillas de árboles forestales. En: Semillas. Departamente de Agricultura de los Estados Unidos De América. CECSA. 417-428 p.
JENSEN, F.E.; CRISTENSEN, T.K.; BAADSGAARD, J. y STUSBSGAARD, F. 1996. Escalamiento de Árboles para la Recolección de Semillas. CATIE–PROSEFOR. Turrialba, Costa Rica.
LYONS, L.A. 1956. The seed production capacity and efficiency of red pine cones (Pinus resinosa Ait.). Canadias Journal of Botany 34: 27-36.
MÁRQUEZ, R.J. y ALBA-LANDA, J. 2003. Importancia del análisis de conos en la actividad silvícola. Memorias del 3er Simposio Internacional Sobre Recursos Naturales Bosque-Suelo Atmósfera. Noviembre 17-19. Tlaxcala, Tlaxcala, pp. 43.
MENDIZÁBAL-HERNÁNDEZ, L.C.; ALBA-LANDA, J.; CRUZ-JIMÉNEZ, H. y TEJEDA-LANDERO, V.M. 2010a. Potencial de producción de semillas de Pinus pseudostrobus Lindl. en El Paso, municipio de La Perla, Veracruz, México. Foresta Veracruzana 1(12):33-38.
MENDIZÁBAL-HERNÁNDEZ L.C.; ALBA-LANDA, J.; MÁRQUEZ RAMÍREZ, J.; RAMÍREZ-GARCÍA E.O. y CRUZ-JIMÉNEZ, H. 2010b. Potencial de producción y eficiencia de semillas de dos cosechas de Pinus teocote Schl. et Cham. Foresta Veracruzana 2(12): 21-26.
MENDIZÁBAL-HERNÁNDEZ, L.C.; HERNÁNDEZ-VIVEROS, J.J. y ALBA-LANDA, J. 2013. Estudio de conos y semillas de Cedrela odorata L. en una generación parental y una generación filial. Foresta Veracruzana 15(1): 45:51.
PEDERSON, N.; KUSH, J.S. and MELDAHL, R.S. 1998. Correlating climate and longleaf pine cone crops: is there connection? Proceedings of the second Longleaf Alliance Conference. November 17-19. Charleston SC. Longleaf Report No. 4. Auburn University, Al. pp. 140-143.
PEDERSON, N.; KUSH, J.S.; MELDAHL, R.S. and BOYER, W.D. 1999. Longleaf pine cone crops and climate: a possible link. Proceedings of the Tenth biennial Southern Silvicultural Research Conference, Shreveport, LA. February 16-18. pp. 255-258.
SALZER, K. and Gugerli, F. 2012. Reduced fitness at early life stages in peripheral versus core populations of Swiss stone pine (Pinus cembra) is not reflected by levels of inbreeding in seed families. Alpine Botany 122(2):75-85.
STAT-SOFT, INC. 1998. Statistica: User guiedes. 2325 East 13th Street, Tulsa Ok. 75104 USA.
VÁZQUEZ, C.O.G.; RAMÍREZ-GARCÍA, E.O. y ALBA-LANDA, J. 2004. Variación de conos y potencial de producción de semillas de Pinus oaxacana Mirov en una población del estado de Tlaxcala, México. Universidad Veracruzana, Xalapa, Veracruz. México. Foresta Veracruzana 6(2):31–36.