Variación en la producción de semillas de Cedrela odorata l. en dos pruebas de procedencias/progenie
Variación en la producción de semillas de Cedrela odorata l. en dos pruebas de procedencias/progenie
Foresta Veracruzana, vol. 19, núm. 2, pp. 49-56, 2017
Recursos Genéticos Forestales
Resumen: El cedro rojo es una especie con alta demanda en el mercado debido a la gran calidad y belleza de su madera, el aprovechamiento abusivo de esta especie ha provocado pérdida de características fenotípicas y genéticas en sus poblaciones, por lo que es necesario crear programas de restauración, conservación y manejo para aumentar la variabilidad e incorporar progenies con ganancias genéticas a las poblaciones con pérdida de diversidad. El objetivo del presente estudio fue evaluar y conocer la variación en el potencial y eficiencia de producción de semillas a nivel de sitios, procedencias y familias. El potencial de producción de semillas promedio fue de 42.57 semillas por fruto, mientras que 56.63% de semillas fueron las desarrolladas en promedio; se encontraron diferencias estadísticas altamente significativas en los tres niveles evaluados para la eficiencia de producción de semillas, sin embargo, el potencial productivo de semillas no presentó diferencias a nivel de procedencias.
Palabras clave: Variación, potencial y eficiencia de producción de semillas, procedencias, progenie.
Abstract: Red cedar is a species with high demand in the market due to the high quality and beauty of its wood, the abusive use of this species has caused loss of phenotypic and genetic characteristics in its populations, so it is necessary to create restoration, conservation and management programs to increase variability and incorporate progenies with genetic gains to populations with loss of diversity. The objective of the present study was to evaluate and know the variation in the potential and efficiency of seed production at the level of sites, provenances and families. The average seed production potential was 42.57 seeds per fruit, while 56.63% of seeds were developed on average; significant statistical differences were found in the three levels evaluated for the efficiency of seed production, however, the productive potential of seeds did not present differences at the level of provenances.
Keywords: Variation, improvement, production potential, provenance, progeny.
Introducción
El cedro rojo (Cedrela odorata L) es una de las especies forestales de los bosques tropicales con mayor importancia económica, debido a la gran calidad y belleza (color y fragancia) de su madera, la cual es utilizada para la elaboración de diversos artículos de lujo, tales como muebles, artículos de ebanistería, forro de interiores, entre otros (Hill, 1952). En México, se encuentra distribuido en la vertiente del Golfo desde los estados de Quintana Roo, Yucatán, Campeche, Tabasco, Veracruz, San Luis Potosí y sur de Tamaulipas y en la vertiente del Pacífico, desde Sinaloa hasta Guerrero, en la Depresión Central y la costa de Chiapas (Pérez, 2009).
En el país se está presentando un severo proceso de deforestación y fragmentación de sus recursos forestales, provocando así una pérdida importante en sus recursos forestales, tanto maderables, como no maderables (García et al., 2011) y es por ello que en la NOM-059-SEMARNAT 2010, Cedrela odorata L., se halla en la categoría de “sujeto a protección especial”. Ante tales circunstancias, es necesario un programa de conservación y uso racional del cedro rojo (Patiño, 1997), sin embargo es escasa la información sobre la variación genética existente para las características fenotípicas de importancia en esta especie, necesaria para programas de manejo de recursos genéticos (Lahera et al., 1994).
Para el diseño y ejecución de programas de repoblación de bosques y la formación de nuevas poblaciones, se depende en gran medida de la cantidad de semillas así como de su la calidad biológica y genética. Cabe señalar que en los programas de reforestación se deben conocer, además de la especie y las procedencias, la cantidad de semillas a recolectar para tener una producción eficiente en viveros forestales (Mendizábal et al., 2015).
Con los ensayos de procedencias/progenie se puede tener conocimiento sobre comportamiento productivo de la progenie y recomendarla para los programas de reforestación, utilizando métodos de selección, cruzamientos y pruebas de descendencia, para obtener una mejor calidad en los bosques artificiales (Zobel y Talbert, 1988).
La variación existente entre especies, procedencias e individuos es un factor determinante en los programas de mejoramiento genético. En los casos de selección natural, favorece a los más aptos en las condiciones de sitio, mientras que en la selección artificial favorece a aquellos individuos que poseen ciertas características para diversos fines (Jara, 1995).
Uno de los beneficios de programas de mejoramiento genético forestal es la producción de semillas en grandes cantidades y en tiempos regulares, aunque por lo general este concepto no suele ser reconocido (Zobel y Talbert, op. cit.).
La selección de los árboles semilleros depende en gran medida de los objetivos de los programas a implementar, por ejemplo, si se establece una plantación para producción de madera, las características óptimas serían, árboles sanos, vigorosos, con fustes largos y rectos, poca ramificación y alta producción de semillas (García et al., 2011), cabe señalar que un factor determinante, de acuerdo al autor anterior, es tomar en cuenta un buen programa de selección, ya que el uso de material biológico con características genéticas no deseables puede generar grandes pérdidas en la plantación.
El objetivo de este estudio fue evaluar y conocer la variación natural del potencial de producción de semillas y su eficiencia en Cedrela odorata L. de dos sitios del estado de Veracruz, México.
Material y métodos
Se consideraron dos ensayos de procedencias/progenie de Cedrela odorata L., establecidos en la localidad de La Balsa, municipio de Emiliano Zapata, Veracruz. Los ensayos se establecieron en el mes de septiembre del año 2000. El sitio 1 se encuentra a los 19° 20´ 46. 6“ de latitud y 96° 38´ 59.65’’ de longitud a una altitud de 414 msnm; el sitio 2 a los 19° 20’ 59.27’’ de latitud y 96° 38’ 43.58’’ de longitud, a una altitud de 404 msnm. La temperatura promedio anual para ambos sitios es de 25 °C y con una precipitación anual 912.1 mm (Cruz, 2009).
La colecta de frutos se llevó a cabo por el Cuerpo Académico de Recursos Genéticos Forestales en febrero de 2015, utilizando una cortadora telescópica y una escalera. En total se colectaron 23 árboles: 13 en el sitio 1 y 10 en el sitio 2.
Las procedencias de los árboles colectados son: La Antigua, Misantla y Catemaco (Rodríguez, 2007). Posteriormente, los frutos obtenidos se guardaron en bolsas; en total se eligieron al azar 25 frutos por árbol (Bramlett et al., 1977).
Los frutos se ingresaron a una estufa desecadora para lograr la apertura de los mismos, a una temperatura aproximada de 34 °C. Una vez lograda la obtención de semillas, se contabilizaron aquellas que estaban desarrolladas y las no desarrolladas.
El potencial productivo de semillas (PPS) es el número máximo de semillas que un fruto puede llegar a producir; esto incluye tanto las semillas desarrolladas como las no desarrolladas. La eficiencia de producción de semillas (ES) indica la proporción de semillas desarrolladas del total del fruto. Para llevar a cabo tales estimaciones, se utilizó la metodología utilizada por Rodríguez-Rivas et al. (2001):
Dónde:
TSD: total de semillas desarrolladas
TSND: total de semillas no desarrolladas
Para calcular la eficiencia de producción de semillas (ES), se realizó lo siguiente:
ES= TSD/PPS * 100
El análisis consistió en estadísticas descriptivas, gráficos de cajas y alambres, así como un análisis de varianza y medias de Tukey utilizando el paquete Statistica versión 7. El modelo lineal de efectos fijos utilizado fue el siguiente:
Dónde:
Yijkl = variable de respuesta
μ = media general
Si = efecto del i-ésimo sitio
Pj(Si) = efecto de la j-ésima procedencia anidado en el i-ésimo sitio
Fk(Si) = efecto de la k-ésima familia anidada en el i-ésimo sitio
Eijkl = error experimental
Resultados
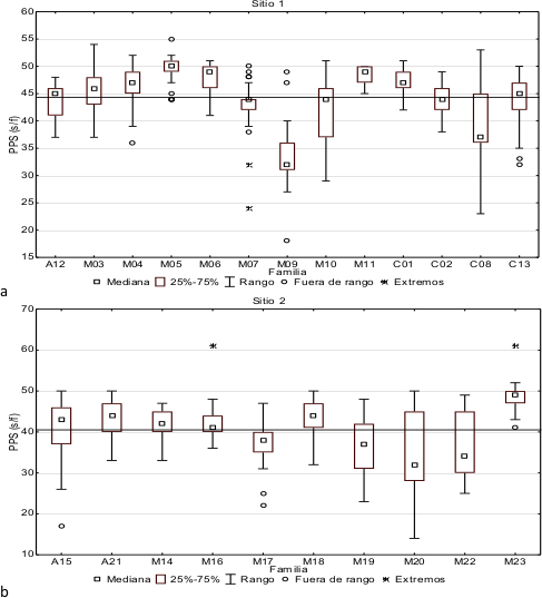
Potencial de producción de semillas. El promedio general fue de 42.57 semillas por fruto con un mínimo de 14, un máximo de 61 y una desviación estándar de 6.85. El sitio 1 presentó un promedio mayor (44.12) y en el sitio 2 fue de 40.55, observándose mayor variación en este último (figura 1a).
En la figura 1b se muestra que, a nivel de procedencias dentro de sitios, la mayor variación fue para Misantla en ambos sitios, también las valores más alto y bajo. Los árboles de la procedencia de Catemaco no produjeron semilla en el sitio 2

La línea horizontal representa el promedio general y por sitios.
A nivel de familias dentro de sitios destacaron las familias M05, M06, M11 y C01 con la mayoría de sus datos por arriba de la media general, en contraste, las familias M07, M09 y C08 presentaron la mayoría de sus datos por debajo de la media del sitio (figura 2a),esto en el sitio 1.
En el sitio 2, la familia M23 presentó todos sus datos por arriba de la media general, la familia M18 mostró la mayoría de sus datos por arriba de la media, en cambio la familia M17 se ubica en su mayoría por debajo de la media del sitio (figura 2b).

La línea horizontal representa la media general por sitio.
El análisis de varianza mostró la existencia de diferencias altamente significativas a nivel de sitios y a nivel de familias dentro de sitios, no así para las procedencias dentro de sitios (tabla 1).

La comparación de medias de Tukey, mostró que los dos sitios fueron estadísticamente diferentes (tabla 2).

Entre familias dentro sitios se presentaron 12 grupos homogéneos (tabla 3).

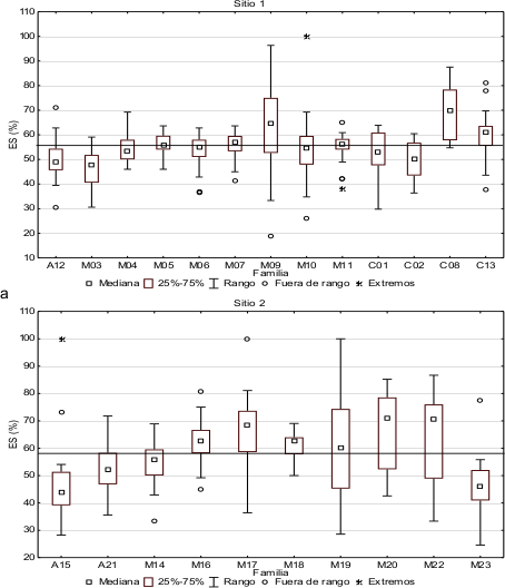
Eficiencia de producción de semillas. 56.63% de semillas fueron las desarrolladas en promedio por fruto, con un mínimo de 18.75 y un máximo de 100, con una desviación estándar de 12.63.
El sitio 2 presentó una mayor dispersión de sus datos, en tanto que el sitio 1 fue más homogéneo pero con la presencia de un mayor número de datos atípicos (figura 3a). En cuanto a las procedencias dentro de sitios se encontró que Misantla tuvo una mayor variación, mientras que La Antigua fue más homogénea, en ambos sitios la procedencia La Antigua se ubica en su mayoría por debajo de la media del sitio (figura 3b).

La línea horizontal representa la media general y por sitios.
En cuanto a las familias dentro de sitios, las C08 y C13 del sitio uno, presentaron el 75% o más de sus valores por arriba de la media, en cambio las familias A12 y M03 se ubicaron por abajo (figura 4a); para el sitio 2 las familias M16, M17 yM18 presentaron el 75% de sus datos por arriba de la media del sitio, en tanto que las familias A15 y M23 se ubicaron por debajo de la media general (figura 4b).

El análisis de varianza mostró la existencia de diferencias altamente significativas a niveles de sitios, procedencias y progenies (tabla 4).

La comparación de medias entre sitios fue la siguiente (tabla 5).

Entre procedencias dentro de sitios La Antigua en ambos sitios formó el grupo con las medias más bajas y Misantla del sitio 2 junto con Catemaco del sitio 1 fueron estadísticamente similares y diferentes con relación a La Antigua (tabla 6).

En la comparación de medias para familias dentro de sitios, se observó que las familias M23, M03 y A15 fueron muy similares estadísticamente y se asemejan a las A12, C02, A21, C01, M06, M04, M11, M10, M14, M07 y M05, mientras que la familia C08 mostró similitud con las familias C13, M19, M18, M16, M9, M22, M17 y M20 (tabla 7).
Discusión
La producción de semillas depende de varios factores, entre los que destacan la calidad ambiental y la densidad de polinizadores, por lo que los resultados son sólo indicadores de la calidad de las semillas de Cedrela odorata L. en condiciones de monocultivo bajo pruebas de procedencias/progenie para los sitios estudiados. Sin embargo, estudios realizados por Alba-Landa et al. (2001), Mendizábal-Hernández et al. (2010a, b) en su mayoría de coníferas, determinan la existencia de diferencias de PPS, así como su eficiencia, por lo que para este caso, las diferencias mostradas son una buena fuente de análisis para la obtención de conocimientos sobre la especie, en beneficio de la posible restauración, conservación y uso comercial de la misma.
En otros estudios se han reportado resultados similares: en Pinus patula se encontraron diferencias estadísticamente significativas para potencial productivo de semillas, total de semillas desarrolladas y porcentaje de semillas desarrolladas, por lo que se concluyó que hay existencia de variación como un recurso disponible que ayude en cierta manera a ponderar estrategias para el uso y conservación de la población (Ramírez-García et al., 2013).

En Cedrela odorata L., se han hecho estudios sobre la variación en semillas entre una generación parental y una filial, encontrándose diferencias estadísticamente significativas (Mendizábal-Hernández et al., 2013).
En una plantación de caoba (Swietenia Macrophylla King), ubicada en el estado de Campeche, México, Niembro-Rocas y Ramírez-García (2006) reportan diferencias estadísticamente significativas para el número de semillas desarrolladas por frutos y potencial productivo de semillas entre familias con un nivel de probabilidad de 0.05, mientras que para la eficiencia productiva de semillas y la eficiencia de producción de semillas viables, no hubo presencia de variaciones significativas entre familias.
Debido a que el cedro rojo se encuentra en un severo estado de fragmentación en sus poblaciones naturales, es preciso decir que hay que llevar programas de conservación de sus recursos, sin embargo las tendencias son poco alentadoras para muchas especies forestales, ya que se estima que poco menos de 1 000 especies arbóreas han sido ensayadas de manera sistemática por su utilidad y menos de 100 especies están sujetas a programas de investigación genética (FAO, 2007).
Conclusiones
De acuerdo con los resultados de este trabajo y atendiendo a los objetivos planteados, se concluye lo siguiente:
Las diferencias en las variables de estudio, así como sus variantes muestran la existencia de materiales para el desarrollo de protocolos de estudio en el ánimo de aumentar el conocimiento sobre la especie.
Literatura citada
ALBA-LANDA, J.; MENDIZÁBAL-HERNÁNDEZ, L.C. y MÁRQUEZ, R.J. 2001. Comparación del potencial de producción se semillas de Pinus oaxacana Mirov de dos cosechas en Los Molinos, Veracruz, México. Foresta Veracruzana 3(1):35-38.
BRAMLETT, D.L.; BELCHER, E.W.; DE BARR, G.L.; HERTEL, G.D.; KARRFALT, R.P.; LANTZ, C.W.; MILLER, T.; WARE K.D. and YATES, H.O. 1977. Cone analysis of southern pines: a guidebook. Georgia, Atlanta. 28 p.
CRUZ, V.G. 2009. Estudio de variación de dos pruebas de procedencias/progenie de Cedrela odorata L. (cedro rojo) en La Balsa, municipio de Emiliano Zapata, Veracruz. Tesis Ingeniero Agrónomo. Facultad de Ciencias Agrícolas. Universidad Veracruzana. Xalapa, Veracruz, México. 55 p.
DIARIO OFICIAL DE LA FEDECAIÓN. 2010. Norma Oficial Mexicana NOM-059-SEMARNAT-2010, Protección ambiental-Especies nativas de México de flora y fauna silvestres-Categorías de riesgo y especificaciones para su inclusión, exclusión o cambio-Lista de especies en riesgo (Segunda sección). Consultado el 18 de abril, 2016. http://www.profepa.gob.mx/innovaportal /file/435/1/NOM_059_SEMARNAT_2010.pdf.
FAO, FLD, BIOVERSITY INTERNATIONAL. 2007. Conservación y manejo de recursos genéticos forestales. Vol. 1: visión general, conceptos y algunos métodos sistemáticos. Instituto Internacional de Recursos Fitogenéticos, Roma, Italia.
GARCÍA DE LA CRUZ, Y.; RAMOS, J.M. y BECERRA, J. 2011. Semillas forestales nativas para la restauración ecológica. CONABIO. Biodiversitas 94:12-15.
HILL, A. 1952. Economic Botany. A textbook of useful plants and plants products. McGraw-Hill Book Company Ed: Cambridge, United Kingdom (Second edition) pp. 560.
JARA, L.F. 1995. Mejoramiento forestal y conservación de recursos genéticos forestales. Turrialba, C.R: CATIE. pp. 174.
LAHERA, W.; ÁLVAREZ, A. and GÁMEZ, S. 1994. The genetic improvement program in Cedrela odorata L. in Cuba. FAO, Roma. Forest Genetic Resources 22:27-28.
MENDIZÁBAL-HERNÁNDEZ, L.C.; ALBA-LANDA, J.; CRUZ-JIMÉNEZ, H. y TEJEDA-LANDERO, V.M. 2010a. Potencial de producción de semillas de Pinus pseudostrobus Lindl. en El Paso, municipio de La Perla, Veracruz, México. Foresta Veracruzana 12(1):33-38.
MENDIZÁBAL-HERNÁNDEZ, L.C.; ALBA-LANDA, J.; MÁRQUEZ RAMÍREZ, J.; RAMÍREZ-GARCÍA, E.O. y CRUZ-JIMÉNEZ, H. 2010b. Potencial de producción y eficiencia de semillas de dos cosechas de Pinus teocote Schl. et Cham. Foresta Veracruzana 12(2):21-26.
MEDIZÁBAL-HERNÁNDEZ, L.C.; ALBA-LANDA, J.; HERNÁNDEZ-JIMÉNEZ, L.; RAMÍREZ-GARCÍA, E. y RODRÍGUEZ-JUÁREZ, M.C. 2015. Potencial de producción de semillas de Pinus chiapensis (Martínez) Andresen. Xalapa, Veracruz, México. Foresta Veracruzana 17(2):47-52.
MENDIZÁBAL-HERNÁNDEZ, L.C.; HERNÁNDEZ-VIVEROS, J. y ALBA-LANDA, J. 2013. Estudio de conos y semillas de Cedrela odorata L. en una generación parental y una generación filial. Foresta Veracruzana 15(1):45-51.
NIEMBRO-ROCAS, A. y RAMÍREZ-GARCÍA, E. 2006. Evaluación de la cantidad y calidad biológica de semillas de caoba [Swietenia macrophylla King- Meliaceae] procedentes de una plantación en el Estado de Campeche, México. Foresta Veracruzana 8(1):23-30.
PATRIÑO, V.F. 1997. Genetic resources of Swietenia macrophylla and Cedrela odorata in the neotropics: Priorities for coordinate’s actions. Forest Genetic Resources No. 25. FAO, Roma. 12 p.
PÉREZ, I. 2009. Establecimiento de un vivero y evaluación de la germinación de la especie Cedrela odorata L. (Memoria de pregrado) Universidad Tecnológica de la Huasteca Hidalguense. Huejutla, Hidalgo, México.
RAMÍREZ-GARCÍA, E.; SÁNCHEZ-REYES, J.C.; MÁRQUEZ, R.J. y CRUZ-JIMÉNEEZ, H. 2013. Características de estructuras reproductivas en progenitores seleccionados de Pinus patula Schl. et Cham. Foresta Veracruzana 15(1):37-44.
RODRÍGUEZ, R.G. 2007. Estudios de variación en frutos y semillas de Cedrela odorata L. de tres procedencias del estado de Veracruz, México. Tesis de Maestría en Ciencias. Universidad Veracruzana, Instituto de Genética Forestal. Xalapa, Ver. México. 65 p.
RODRIGUEZ-RIVA, G; MÁRQUEZ, R.J. y REBOLLEDO-CAMACHO, V. 2001. Determinación del potencial y eficiencia de producción de semillas en Cedrela odorata L. y su relación con caracteres morfométricos de frutos. Foresta Veracruzana 3(1):23-26.
ZOBEL, B. y TALBERT, J.T.1988 Técnicas de mejoramiento genético en árboles forestales. North Carolina State University. Editorial LIMUSA. pp. 32.