PRUEBA DE PROGENIE DE Cedrela odorata L. DE SEGUNDA GENERACIÓN DE SELECCIÓN EN EMILIANO ZAPATA, VERACRUZ, MÉXICO
PRUEBA DE PROGENIE DE Cedrela odorata L. DE SEGUNDA GENERACIÓN DE SELECCIÓN EN EMILIANO ZAPATA, VERACRUZ, MÉXICO
Foresta Veracruzana, vol. 20, núm. 1, pp. 31-34, 2018
Recursos Genéticos Forestales
Resumen: Al ser el cedro una especie forestal muy valiosa desde el punto de vista comercial en el mundo, ha sido objeto de extracción masiva y por lo tanto su diversidad genética se ha visto disminuida. El establecimiento de pruebas de progenie es el fundamento del manejo adecuado de las especies ya que, a través de la evaluación de individuos de origen conocido es posible determinar los mejores árboles y fuentes para la región. Con el objetivo de determinar qué árboles son mejores para establecer plantaciones en la zona de Loma de Rogel en Emiliano Zapata, Veracruz, se evaluó una prueba de progenie de Cedrela odorata L. a través de la determinación de su sobrevivencia, altura y diámetro a 17 meses de su establecimiento. Se encontró una sobrevivencia de 99.53%, se presentaron una altura y diámetro promedios de 232.37 cm y 65.62 mm, respectivamente. Las diferencias presentadas entre las familias permiten realizar una selección para el futuro establecimiento de plantaciones productoras de semilla o comerciales -vía clonación- en la zona de influencia de la prueba genética.
Palabras clave: Progenie, conservación y uso, Cedrela odorata L.
Abstract: Since cedar is a very valuable forest species from the commercial point of view in the world, it has been subject to massive extraction and therefore its genetic diversity has been diminished. The establishment of progeny tests is the foundation of the proper management of the species since, through the evaluation of individuals of known origin, it is possible to determine the best trees and sources for the region. In order to determine which trees are best to establish plantations in the Loma de Rogel area in Emiliano Zapata, Veracruz, a progeny test of Cedrela odorata L. was evaluated by determining its survival, height and diameter to 17 months of its establishment. A survival rate of 99.53% was found, with a height and average diameter of 232.37 cm and 65.62 mm, respectively. The differences presented between the families allow making a selection at this level for the future establishment of seed-producing or commercial plantations via cloning in the area of influence of the genetic test.
Keywords: Progeny, use and conservation, Cedrela odorata L.
Introducción
Cedrela odorata L. es una especie arbórea componente del bosque tropical y cada vez va ocupando espacios de mayor altitud, dicha especie es altamente demandada por la industria dada la calidad, color y fragancia de su madera lo que ha favorecido una explotación comercial sin ningún protocolo de manejo de su diversidad genética ocasionando, con ello, que cada vez sean menos las poblaciones naturales, poniendo en riesgo su permanencia dada la reducción en ella de la diversidad genética y por lo tanto la descendencia de estas poblaciones naturales tienen pocas posibilidades de éxito (Albert et al., 1995).
En esquemas de conservación y uso comercial en el programa de mejoramiento genético forestal del estado del Veracruz en la Universidad Veracruzana se han muestreado las tres regiones más importantes donde se localiza la especie tales como Misantla, La Antigua y Los Tuxtlas con el fin de conjuntar en lo posible la mayor parte de la diversidad genética de la especie en una prueba conocida como de procedencias/progenie en donde esta diversidad -en interacción con el ambiente- ha dado como resultado las mejores fuentes para la región (Márquez et al., 2009).
En México, el cultivo de bosques altamente productivos está limitado por la falta de germoplasma específico; así como en la agricultura –a partir de estudios, selección y cruzas de especies como el teocintle- se han generado híbridos productivos para la mayoría de las zonas agrícolas del país, así debe buscarse la producción de germoplasma específico para regiones en particular, dichas regiones serán el área de influencia donde se estableció una prueba.
El objetivo del presente trabajo fue evaluar la sobrevivencia, altura y diámetro de una prueba de progenie de Cedrela odorata a partir de la cual se pretenden obtener las mejores fuentes para la región de Loma de Rogel municipio de Actopan, Veracruz. Esta prueba fue establecida a partir de semillas provenientes de una prueba de procedencias/progenie que almacena las tres poblaciones más representativas del estado de Veracruz.
Material y métodos
La prueba de progenie se estableció en Loma de Rogel, municipio de Emiliano Zapata, Veracruz, México el 20 de enero de 2016 ubicada a los 96° 79’ 36.11’’ norte y 19° 55’ 94.44’’ oeste a una altitud de 700 msnm (Conde y González, 2015). La semilla fue colectada de una prueba genética establecida en La Balsa (Mendizábal-Hernández et al., 2016) y germinada en agosto de 2015. Se utilizó un diseño de bloques completos al azar con 12 familias y tres plantas por familia en cada bloque.
La evaluación de la plantación se realizó en junio de 2017 y consistió en lo siguiente:
a) Sobrevivencia, a través del conteo de todas las plantas vivas.
b) Altura, medida con flexómetro con aproximación a cm, del suelo al ápice terminal.
c) Diámetro, medido en la base del tallo con vernier digital marca Mitutoyo con aproximación a mm.
Los análisis realizados fueron: Estadísticas descriptivas, análisis de varianza con el procedimiento GLM y comparación de medias por el método de Tukey, en el programa Statistica 8 (Stat. Soft Inc., 2009). Para el análisis estadístico se utilizó el siguiente modelo lineal de efectos fijos:

Dónde:
Yijk = variable respuesta;
µ = media general;
Fi= Efecto de la i-ésima familia;
Bj= Efecto del j-ésimo bloque;
eijk = error experimental.
Resultados
De las 216 plantas establecidas se presentó un deceso por lo que la sobrevivencia general fue de 99.53%, por familias fue de 94.74% para la 7 y del 100% para las demás.
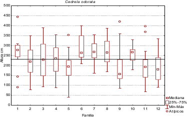
En cuanto a la altura de los árboles observamos un promedio general de 232.37 cm, variando entre 39 y 443 cm. El 50% o más de los árboles de siete familias presentaron alturas mayores al promedio, mientras que las familias 2, 5, 9, 11 y 12 tuvieron árboles menores al promedio en ese mismo porcentaje. Las familias 3 y 9 presentaron la mayor variación (figura 1).

Respecto al diámetro el promedio general fue de 65.62 mm en la base del tallo variando entre 19.33 y 102.85 mm. Observando la distribución de sus valores sobresalen las familias 1, 6, 7 y 8 pues presentan más del 75% de sus diámetros por arriba del promedio general. La mayor variación se presentó en las familias 1, 3, 5 y 11 (figura 2).
El análisis de varianza mostró diferencias estadísticas altamente significativas entre familias y bloques para las dos variables evaluadas, a un 95% de confiabilidad (cuadro 1).


La comparación de medias para la altura dio como resultado la formación de dos grupos homogéneos donde las diferencias se presentaron entre las familias 6, 7 y 8 (con los mayores diámetros promedio) con las familias 5, 9, 11 y 12 (figura 3). En la comparación del diámetro se formaron tres grupos y las diferencias fueron entre las familias 1, 6 y 7 con las familias 5, 9 y 12 (figura 4).


Discusión
Las diferencias encontradas entre familias fueron similares a las que se presentaron en la prueba origen evaluada a los ocho años de su establecimiento, considerando la diferencia de edad entre estas pruebas podemos ver un crecimiento mayor en ésta (Márquez et al., 2009).
Por otro lado, evaluaciones de altura y diámetro en vivero entre familias procedentes de Campeche y Tabasco de la misma especie dieron como resultado diferencias estadísticamente significativas entre familias (Xotla, 2005), mostrando que la especie, a pesar de su explotación, sigue manteniendo variación como sinónimo de diversidad genética, como lo muestran los resultados del presente trabajo.
Conclusiones
Las observaciones de los resultados presentes muestran que:
a) Existe material para la planeación y ejecución de un programa que garantice la existencia de un huerto semillero de alto rendimiento para la región.
b) Generar un protocolo que recomiende la realización o inducción de retrocruzas para la purificación de ganancias genéticas.
c) Mantener la prueba de procedencias progenie original como fuente de diversidad genética de la especie.
Literatura citada
ALBERT, P.D.; LÓPEZ, A.A.; RODRÍGUEZ, T.M. y DUARTE, R.M. 1995. Recursos fitogenéticos forestal, 1. Familia meliaceae. Fontqueria 42: 329-351.
CONDE, M.M.P. y GONZÁLEZ, V.A. 2015. Estudio de germinación de semillas y plántulas de Cedrela odorata L. de una prueba de progenie y establecimiento de un huerto semillero en Loma de Rogel, municipio de Emiliano Zapata, Veracruz. Tesis de Licenciatura, Facultad de Agronomía, Universidad Veracruzana.
MÁRQUEZ, R.J.; MENDIZÁBAL-HERNANDEZ, L.C.; CRUZ, V.G. y RAMÍREZ-GARCÍA E. 2009. Evaluación de una prueba de procedencias/progenie de Cedrela odorata L. establecida en Emiliano Zapata, Veracruz,
MENDIZÁBAL-HERNÁNDEZ, L.C.; ALBA-LANDA, J.; RODRÍGUEZ-JUÁREZ, M.C.; RAMIREZ-GARCÍA, E.O.; MÁRQUEZ, R.J. y CRUZ-JIMÉNEZ, H. 2016. Germinación de familias selectas de Cedrela odorata L. Foresta Veracruzana 18(1):55-62.
STAT. SOFT. 2009. Statistica: User guides. 1996. 2325 East 13th Street, Tulsa ok. 75104. USA.
XOTLA, V.U. 2005. Variación morfométrica en semillas y plántulas de Cedrela odorata L. de familias procedentes de Campeche y Tabasco, México. Tesis de Licenciatura, Facultad de Agronomía, Universidad Veracruzana.