VULNERABILIDAD DE Pinus oaxacana Mirov EN LA REGIÓN DEL COFRE DE PEROTE, VERACRUZ, MÉXICO
Vulnerability of Pinus oaxacana Mirov in the region of Cofre de Perote, Veracruz, Mexico
VULNERABILIDAD DE Pinus oaxacana Mirov EN LA REGIÓN DEL COFRE DE PEROTE, VERACRUZ, MÉXICO
Foresta Veracruzana, vol. 20, núm. 2, pp. 45-50, 2018
Recursos Genéticos Forestales
Resumen: Dada la pérdida de diversidad genética de las poblaciones naturales de pinos debido al método tradicional de aprovechamiento forestal, entre ellas las de Pinus oaxacana de Los Molinos, Los Humeros y Derrumbadas del Valle de Perote; la existencia y evaluación de pruebas de procedencias/progenie de estos sitios permanecen como reservas de genes disponibles para la restauración de las mismas. El objetivo del presente trabajo fue describir la situación actual de la prueba genética de esta especie después de 14 años de su establecimiento en campo por lo que se evaluó la sobrevivencia, altura, diámetro a la altura del pecho y produción de semillas. Se encontró una sobrevivencia general del 8%, con altura promedio de 7.92 m y diámetro promedio de 20.23 cm, la producción de semilla fue del 28% que corresponde a 17 árboles colectados, siendo en total 58 710 semillas. Se concluye que, aun cuando fueron pocas las familias sobrevivientes en esta prueba genética, resultan ser una alternativa para la restauración dada la abundante producción de semilla y la urgente necesidad de recuperar -con diversidad- las poblaciones originales.
Palabras clave: Restauración, sobrevivencia, altura, diámetro, producción de semilla.
Abstract: Given the loss of genetic diversity of natural pine populations due to the traditional method of forest harvesting, including those of Pinus oaxacana from Los Molinos, Los Humeros and Derrumbadas del Valle de Perote; the existence and evaluation of provenance/progeny tests of these sites remain as reserves of available genes for their restoration. The objective of the present work was to describe the current situation of the genetic test of this specie after 14 years of its establishment in the field, so the survival, height, diameter at breast height and seed production was evaluated. A general survival of 8% was found, with average height of 7.92 m and average diameter of 20.23 cm, seed production was 28% corresponding to 17 trees collected, with a total of 58 710 seeds. It is concluded that, although there were few surviving families in this genetic test, they are an alternative for the restoration given the abundant seed production and the urgent need to recover -with diversity- the original populations.
Keywords: Restoration, survival, height, diameter, seed production.
Introducción
Pinus oaxacana Mirov se encuentra distribuida desde El Salvador y Honduras hasta México, llegando en nuestro país a Chiapas, Oaxaca, Veracruz, Guerrero, Puebla y Tlaxcala en altitudes que comprenden de 1 500 a 3 200 msnm en climas cálidos, templados húmedos, áridos y de suelos profundos hasta arenosos y gravosos (Perry, 1991).
A finales de la mitad del siglo pasado el Dr. Maximino Martínez en su obra “Los pinos mexicanos” describió a Pinus pseudostrobus var oaxacana como árboles de entre 20 y 40 metros de altura, de corteza gruesa y agrietada y con ramas fuertes y extendidas; además con características de madera apreciable para la industria (Martínez, 1948), motivo por el cual fue objeto de aprovechamientos selectivos durante 60 años aproximadamente, causando disgenia con respecto a su altura y por consiguiente en el alelo o conjunto de alelos respectivos, de tal manera que para finales del mismo siglo Menchaca (2000) y Menchaca y Maruri (1999) describían para las poblaciones Los Molinos, Derrumbadas y Los humeros de la región de Perote Veracruz, México árboles que oscilaban entre 10 y 20 metros de altura lo que significa, que el 75% de las frecuencias alelicas para altura se habían perdido en medio siglo.
Esta realidad expresa el drama de la permanencia de la especie en la zona de Perote, Veracruz, México ya que la resiliencia de una población y/o especie es directamente proporcional a su diversidad genética.
Los escasos individuos que aún permanecen en pie de las poblaciones en estudio, si logran vencer los efectos del cambio climatico y suponiendo todavía sincronia sexual para la reproducción, generarán descendencia con poca heterogeneidad genética. Sin embargo a finales del año 2000 se plantó en Los Molinos una prueba de procedencias/progenie de Pinus oaxacana, donde participaron las todavía existentes procedencias de estudio con el objeto de hacer mejoramiento genético, no obstante el objetivo inicial, ahora (2019) es la única reserva genética disponible para construir una tecnología de restauración de la especie en la región de Perote.
La presente investigación pretende describir la situación actual de la prueba genética de esta especie después de 14 años de su establecimiento en campo.
Material y métodos
La exhacienda “Los Molinos” se encuentra en la localidad de San José Los Molinos, municipio de Perote, Veracruz a los 19° 24’ norte y 97° 06’ oeste a una altitud de 2 400 msnm caracterizada por presentar una tempretura media anual de 12.7 °C y precipitación anual de 450 mm, con un suelo tipo andosol órtico y de textura fina con influencia arcillo-arenosa.
La plantación se estableció en junio de 2003 bajo un diseño de ocho bloques completos al azar con cuatro plantas por familia a una distancia de 3 x 2.5 m en una superficie total de 5 040 metros cuadrados con un total de 672 plantas. Los datos de las procedencias evaluadas se presentan en la tabla 1, en total se establecieron 6 familias de Los Humeros, 9 familias de Los Molinos, 8 de Derrumbadas y (Alba-Landa et al., 2005).
El 13 de septiembre de 2017 se realizó la evaluación de los árboles, los cuales fueron medidos en altura, con un clinómetro marca Suunto y DAP con cinta diámetrica, también se determinó el porcentaje de sobrevivencia a partir del conteo total de árboles vivios.
Al observarse conos maduros, el 28 de febrero de 2018 se realizó la colecta para su beneficio en laboratorio, una vez extraidas las semillas por árbol se pesó el total de semilla de cada uno en una balanza granataria con aproximación a gramos para posteriormente contar 100 semillas por árbol y pesarlas en la misma balanza para estimar el número de semillas por árbol, igualmente se determinó el porcentaje de árboles que presentaron semillas.
Con estos datos se realizaron gráficos descriptivios por procedencias y familias así como gráficos de pastel para el % de árboles colectados (Stat Soft, 1998).
Resultados
Sobrevivencia, En general se presentó una supervivencia del 8%, siendo de 9% para Los Humeros, 5% para Los Molinos y 11% para Derrumbadas. Por familias podemos observar que en la procedencia de Los Molinos murieron todos los árboles de las familias 3 y 12, mientras que la familia 7 de Los Humeros presentó la sobreviencia más alta (figura 1).
Altura y diámetro de árboles. La altura promedio de los árboles fue de 7.92 m, variando entre 4.5 y 12.5 m con una desviación estandar de 1.83. En cuanto al diámetro el promedio general fue de 20.23 cm con un mínimo de 11.1 y un máximo de 35.8 y una desviación estandar de 5.84 (figura 2).


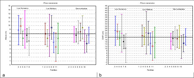
En cuanto a familias dentro de procedencias podemos observar que tanto Los Humeros como Derrumbadas presentaron tres familias con promedios mayores al promedio general, mientras que para Los Molinos la mayoría de sus familias presentaron menores alturas, con excepción de la familia 5 que presentó un promedio de mayor a 9 m (figura 3a).
Respecto al diámetro, cuatro familias de Los Molinos presentaron valores mayores al promedio, tres en Los Humernos y dos en Derrumbadas. A diferencia que en la altura, quién presentó el menor promedio fue la familia 8 de Los Humernos, sin embargo esta misma procedencia tuvo las familias con los mayores valores (figura 3b).

Árboles colectados. Del total de árboles, presentaron semilla el 29%, por procedencias fue Los Molinos la más productiva (figura 4).

Producción de semilla. En total se colectaron 58 710 semillas de 17 árboles, que corresponden a diez familias. En promedio cada árbol produjo 3 454 semillas.
Por procedencias la producción promedio fue la siguiente: Derrumbadas 2 573, Los Humeros 3 249 y Los Molinos 3 250 semillas. Derrumbadas y Los Humeros presentaron una distribución similar en la producción de semillas, no así Los Molinos que presentó la mayor variación y más de la mitad de sus árboles con una producción mayor al promedio general (figura 5).
En cuanto a las familias dentro de procedencias fueron cinco de Derrumbadas con ocho árboles, tres familias de Los Humeros con cinco árboles y dos familias de Los Molinos con cuatro árboles. En total la familia 1 de Los Molinos produjo el 35.75% de la semilla de todas las procedencias. La familia cuatro de Los Humeros presentó también tres árboles con semilla sumando un total de 11 423 semillas (figura 6).


Discusión
Alba-Landa et al. (2005) en la misma plantación reportan una sobrevivencia, a los tres meses de establecida, de 97.4% para Los Humeros, 95.5% para Los Molinos y 98.8% para Derrumbadas, sin embargo, para 2017 se perdieron más del 80% de los árboles debido a extremos climáticos registrados en la región (S.M.N., 2018).
Alba-Landa et al. (2003) reportan que las semillas colectadas de estos sitios se pusieron a germinar en septiembre de 2001 con los siguientes resultados: Los Molinos y Derrumbadas presentaron un 30% de germinación, mientras que de Los Humeros sólo germinó el 15% de las semillas; en la evaluacion del crecimiento en altura y díametro de plántulas en vivero se observaron diferencias significativas entre procedencias, aunque siempre se presentó un mayor desarrollo para Los Molinos seguido de Los Humeros y Derrumbadas, sin embargo a 14 años se observa mayor desarrollo en altura para Los Humeros y Derrumbadas y en diámetro fueron Los Humeros y Los Molinos los que presentaron mayores valores (figura 2).
Para 2005 se realizó una colecta de 10 árboles en la poblacion natural de Los Molinos donde se observó un evidente deterioro debido a la explotación de grava y tepezil (Alba-Landa y Márquez, 2006) en este trabajo se evaluó PPS, ES y largo y ancho de conos, se presentó un valor promedio de 106 semillas por cono con una eficiencia del 54%; Ramírez-García et al. (2009) al evaluar la germinación en vivero de esta cosechas de semilla de la población natural de Los Molinos y otra realizada en 2007 encontraron porcentajes de germinación del 34 y 49% respectivamente, posteriormente al evaluar la sobrevivencia en vivero (Ramírez-García et al., 2010) encontraron que para la cosecha 2005 fue de 32.4% y para 2007 de 41%. Estos valores muestran que en la población referida sólo la mitad de las semillas presentes por cono son desarrolladas y de éste porcentaje germinan menos del 50%, teniendo altas tasas de mortalidad en vivero.
Conclusión
En los últimos 15 años las poblaciones naturales de Pinus oaxacana en la región del Cofre de Perote han sufrido severos disturbios, al grado de la casi desaparición, por lo tanto, la variación contenida dentro de procedencias y familias presentes en esta plantación resultan ser una alternativa para la restauración de las poblaciones originales.
Literatura citada
ALBA-LANDA, J.; MENDIZÁBAL-HERNÁNDEZ, L.C. y CRUZ-JIMÉNEZ, H. 2000. Potencial de Producción de semillas de Pinus oaxacana Mirov en tres sitios de Perote, Veracruz, México. Foresta Veracruzana 2(2):29-32.
ALBA-LANDA, J.; MENDIZÁBAL-HERNÁNDEZ, L.C. y APARICIO-RENTERÍA, A. 2003. Estudio de germinación y plántulas de tres poblaciones de Pinus oaxacana Mirov de México. Foresta Veracruzana 5(1):33-38.
ALBA-LANDA, J.; APARICIO, R.A.; ZITÁCUARO C.F.H. y RAMÍREZ-GARCÍA, E.O. 2005. Establecimiento de un ensayo de progenie de Pinus oaxacana Mirov en Los Molinos, municipio de Perote, Veracruz. Foresta Veracruzana 7(2):33-36
ALBA-LANDA, J. y MÁRQUEZ, R.J. 2006. Potencial y eficiencia de producción de semillas de Pinus oaxacana Mirov de Los Molinos, Perote, Veracruz. Foresta Veracruzana 8(1):31-36.
MARTÍNEZ, M. 1948. Los Pinos mexicanos. Ediciones Botas. 2ª Edición. Aum. México. 361 p.
MENCHACA, G.R.A. 2000. Variación de conos y semillas de Pinus oaxacana Mirov en tres sitios de la zona del Cofre de Perote. Tesis de maestría. Instituto de Genética Forestal. Universidad Veracruzana. Xalapa, Veracruz, México. 65 p.
MENCHACA, G.R.A. y MARURI, G.A. 1999. Variación en conos de Pinus oaxacana Mirov de dos sitios del Cofre de Perote, Veracruz, México. Foresta Veracruzana 1(3):19-22.
PERRY JR., J.P. 1991. The pines of México and Central America. Timber Press. Portland, Oregon, USA. 231 p.
SMN. Servicio Meteorológico Nacional. Estación 00030128 Perote. Periodo 1981-2010. https://smn.cna.gob.mx/es/ [consultado febrero 2018]
STAT-SOFT INC. 1998. Statistica: User guides. 2325 East 13th Street, Tulsa Ok. 74104. USA.
RAMÍREZ-GARCÍA, E.O.; MÁRQUEZ, R.J.; CRUZ-JIMÉNEZ, H. y ARGUELLES, S.G. 2009. Germinación de semillas de dos cosechas de Pinus oaxacana Mirov procedentes de Los Molinos, Veracruz, México. Foresta Veracruzana 11(2):33-36.
RAMÍREZ-GARCÍA, E.O.; MÁRQUEZ, R.J. y ARGUELLES, S.G. 2010. Sobrevivencia en vivero de Pinus oaxacana Mirov proveniente de dos cosechas de semillas. Foresta Veracruzana 12(1): 39-43.