ESTUDIO DE CONOS DE Pinus oaxacana Mirov. EN UNA PRUEBA DE PROCEDENCIAS/PROGENIE EN LOS MOLINOS, VERACRUZ, MÉXICO
ESTUDIO DE CONOS DE Pinus oaxacana Mirov. EN UNA PRUEBA DE PROCEDENCIAS/PROGENIE EN LOS MOLINOS, VERACRUZ, MÉXICO
Foresta Veracruzana, vol. 23(2), pp. 15-23, 2022
Recursos Genéticos Forestales
Resumen: Los problemas de deforestación que afectan muchas zonas del mundo hacen necesarios estudios de conos de especies forestales para el manejo eficiente y el establecimiento de nuevas fuentes semilleras que abastezcan la demanda de semilla, el presente estudio tiene la finalidad de conocer la variación de características de estructuras reproductivas de Pinus oaxacana. Se determinó la variación del tamaño de cono, el potencial y la eficiencia de producción de semillas, en un ensayo de procedencias/progenie localizada en Los Molinos, Perote, Veracruz a los 15 años de su establecimiento, en 17 familias de 3 procedencias distribuidas en 8 bloques incompletos, con cuatro repeticiones por familia. Los conos presentaron un promedio de 92.11 mm de largo y 54.9 mm de ancho, con un Potencial Productivo de Semillas (PPS) de 203 semillas por cono y una Eficiencia de Semillas (ES) del 61.65%. Los resultados del análisis de varianza comprobaron la existencia de diferencias significativas (P ≤ 0.05) en las características morfológicas de conos entre familias dentro de procedencias y sólo para el ancho entre procedencias. Para el Potencial de Producción de Semillas y la Eficiencia de Semillas por cono, se encontraron diferencias significativas (P ≤ 0.05), entre familias dentro de procedencias y entre las precedencias. El promedio mayor para el potencial productivo y la eficiencia de producción de semillas lo presentó la procedencia de Derrumbadas (215 y 65.7 respectivamente). La variación mostrada es un indicio de la diversidad genética que puede ser utilizada en un programa de manejo en el cual se complementen la restauración, la conservación y su uso comercial.
Palabras clave: Pinus oaxacana, ensayos de procedencias/progenie, variación, análisis de conos.
Abstract: The problems of deforestation that affect many areas of the world make it necessary to study cones of forest species for efficient management and the establishment of new seed sources and supply the demand for seed, the present study has the purpose of knowing the variation of characteristics of structures reproductive of Pinus oaxacana. Cone size variation, seed production potential and efficiency were determined in a provenance/progeny trial located in Los Molinos, Perote, Veracruz 15 years after its establishment, in 17 families of 3 provenances distributed in 8 incomplete blocks, with four replications. by family. The cones presented an average of 92.11 mm long and 54.9 mm wide, with a Seed Productive Potential (PPS) of 203 seeds per cone and a Seed Efficiency (SE) of 61.65%; the results of the analysis of variance confirmed the existence of significant differences (P ≤ 0.05) in the morphological characteristics of cones between families within provenances and only for the width between provenances. For Seed Production Potential and Seed Efficiency per cone, significant differences (P ≤ 0.05) were found between families within provenances and between precedences. The highest average for productive potential and seed production efficiency was presented by the provenance of Derrumbadas (215 and 65.7 respectively). The variation shown is an indication of the genetic diversity that can be used in a management program in which restoration, conservation and commercial use are complemented.
Keywords: Pinus oaxacana, provenances/progeny test, variation, cone analysis.
Introducción
Realizar estudios que permitan cuantificar la variación de forma, peso, longitud, entre otras, de las especies forestales son primordiales para acercarse al conocimiento de las mismas y contribuir con datos que en su momento servirán para realizar otros estudios y de esta manera acumular evidencias que permitan, en un futuro, el manejo apropiado de una especie, entendiéndose como manejo que la restauración, en su caso la conservación y el uso con fines comerciales, sean estrategias diferentes pero que en esencia siempre busquen la conciliación entre ellas, para evitar que el uno o el otro adquieran un status improductivo desde el punto de vista tecnológico y comercial así como de un conocimiento básico.
Pinus oaxacana es una especie que, dentro del género Pinus, está registrada para México, con características que han ido variando en el tiempo, producto de su explotación intensiva. En concreto para el estado de Veracruz, en la región del Cofre de Perote, tiene como hábitat tres poblaciones importantes: Los Molinos, Humeros y Derrumbadas, sin embargo, condiciones de desarrollo humano y de infraestructura han puesto al borde de la desaparición a estas tres poblaciones importantes para la región de ahí que, iniciar estudios que permitan -en un principio- aportar datos y conocimiento que ayuden a su posible restauración y posterior conservación, es primordial para intentar mantener el inventario forestal de la región.
La aplicación de métodos y técnicas con la finalidad de conservar y aprovechar fuentes semilleras, para la demanda creciente de las mismas, hace necesario que se conozcan aspectos biológicos de las especies forestales, y sirvan como base para el establecimiento de plantaciones, que desde el punto de vista ecológico funcionen como un regulador de temperatura del planeta y protejan las comunidades locales frente a los desastres naturales, entre otros (CONAFOR, 2013 y Sosa-Rodríguez, 2015). El análisis de estróbilos femeninos desarrollados y en fase adulta es usado para evaluar la capacidad de producción de semillas, este parámetro da información de la cosecha existente en una plantación y el conocimiento es básico para planear estrategias de manejo. La cantidad de semilla producida por cono está determinada por la polinización, el flujo de polen permite la reproducción sexual, es decir, el intercambio genético entre árboles, sin embargo, factores ambientales, particularmente luz, temperatura y humedad, pueden ser causas comunes por las cuales se presenten problemas en la polinización y por lo tanto la disminución en la producción de semillas (Harold y Hocker, 1984).
La producción de conos y semillas es un proceso natural que puede durar de dos a cuatro años y está definida por varias etapas fenológicas, particulares del género (Matthews, 1964), la variación morfológica de conos y semillas está determinada principalmente por la expresión de los genes de cada individuo perteneciente a la población. En este contexto es necesario realizar investigación sobre análisis de conos de Pinus oaxacana y asegurar la calidad de las plantas, ya que esta especie se recomienda para restauración y protección de suelos degradados entre otros.
El objetivo del presente estudio fue analizar la variación en tamaño de conos, potencial y eficiencia de producción de semillas de Pinus oaxacana Mirov, de un ensayo de procedencias/progenie localizada en Los Molinos, Perote, Veracruz.
Material y métodos
La plantación de Pinus o axacana se encuentra localizada en Los Molinos, Perote Veracruz, zona del centro occidental del Estado, se localiza geográficamente en las coordenadas 19º 35’ 25” N y 97º 11´55” O, la altitud es de 2 413 m, en las estribaciones del Valle de Perote, al noroeste del volcán Cofre de Perote (INEGI, 1998). La plantación se estableció en junio de 2003 con dos procedencias de Puebla (Los Humeros y Derrumbadas) y una de Veracruz (Los Molinos), bajo un diseño de ocho bloques completos al azar con cuatro plantas por familia, a una distancia de 3 x 2.5 m, en una superficie total de 5 040 m., estableciéndose 6 familias de Los Humeros, 8 de Derrumbadas y 9 de Los Molinos (Alba-Landa et al., 2005).
El clima de la zona puede clasificarse como: C(w2)x’ (CONABIO, 2007), templado, temperatura media anual entre 12 y 18 ºC, temperatura del mes más frío entre -3 y 18 ºC y temperatura del mes más caliente debajo de 22 ºC, subhúmedo, precipitación anual de 200 a 1 800 mm y precipitación en el mes más seco de 0 a 40 mm; lluvias de verano mayores al 10.2% anual. El área se ubica en la zona de confluencia entre andosoles y regosoles (SPP, 1984).
La colecta se realizó en el año 2018, con un total de 17 árboles de las 3 procedencias, los cuales presentaban conos en el momento de la colecta. Se tomó una muestra de 10 conos al azar de cada árbol, obteniéndose un total de 170 conos. Cada cono fue depositado en una bolsa de papel de estraza identificando la especie, el sitio de colecta, el año de colecta, el número del árbol y el número de cono.
El registro de largo y ancho de conos cerrados se realizó antes de poner a secar los conos, con un vernier digital marca Mitutoyo Modelo CD-S6 con precisión al milímetro; la longitud se midió desde la base hasta el ápice por la cara interna y el ancho se calculó como el promedio de dos medidas perpendiculares entre sí, tomadas en la parte más gruesa del cono, como propusieron Bramlett et al. (1977).
El secado de conos se realizó al sol directo, dentro de cada bolsa para no revolver la semilla liberada. El análisis de conos se basó en la metodología de Bramlett et al. (1977). Para separar las escamas, se hizo una perforación longitudinal siguiendo el eje de la inflorescencia, con un taladro eléctrico; separadas las escamas, se clasificaron en fértiles e infértiles de la base y del ápice.
Para el conteo de cada grupo de semillas, se tomaron las semillas removidas entre las escamas del cono y se agregaron a las semillas extraídas, previamente en la apertura por secado del cono y se separaron las dañadas. Se contaron y etiquetaron las semillas llenas, por cada cono. Para la estimación de los parámetros se aplicaron las siguientes formulas:
Potencial de Producción de Semilla (PPS) = 2 × número de escamas fértiles del cono.
Eficiencia de Semilla (ES) = (Total de semillas llenas/Potencial de Producción de Semilla) × 100.
La estimación de la variación de conos y semillas por procedencia y entre familias dentro de procedencias se realizó mediante el paquete Statistica (Stat-Soft, 2010). El modelo estadístico fue:

Dónde:
Yijk = Variable respuesta.
µ = Media general de la muestra.
P. = Efecto de la i-ésima procedencia.
F. = Efecto de la j-ésima familia anidada en la i-ésima procedencia.
Eijk = Error experimental.
Realizándose estadísticas descriptivas, análisis de varianza y comparación de medias por el método de Tukey.
Resultados
A quince años del establecimiento de la prueba de procedencias/progenie de Pinus oaxacana en Los Molinos, se colectaron el 74% de las familias presentes, el análisis estadístico arrojó los siguientes resultados:
Largo y ancho de conos. El largo promedio fue de 92.11 mm por 54.9 mm de ancho, oscilando entre un mínimo y máximo de 65.35 mm y 118.86 mm de largo y 42.7 mm a 70.42 mm de ancho. La mayor desviación estándar la presentó el largo de conos.
La figura 1 mostró que el 50% de los conos presentaron valores de entre 80 y 100 mm de largo y que las procedencias Derrumbadas y Los Molinos alcanzando los 118.76 y 118.86 mm respectivamente. En Derrumbadas los datos se encontraron ampliamente dispersos en comparación con la distribución de datos de Humeros dónde la dispersión fue menor. Para el ancho de conos sobresalió la procedencia de Derrumbadas, ya que la mayoría de los conos tuvieron un ancho entre 52.86 y 70.42 mm y presenta una mayor dispersión de datos, Humeros y Los Molinos tuvieron más del 50% de conos con valores por debajo de la media general.

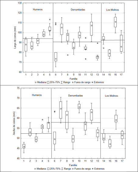
Descriptivas para largo y ancho de conos de P. oaxacana por procedencia.
La distribución de los datos por familias dentro de procedencias, se observan en la figura 2. El mayor promedio para el largo de conos por procedencia lo obtuvo Humeros (93.74 mm), y Derrumbadas presentó el mayor promedio para el ancho de conos (57.9 mm), las familias que superan el promedio general (100% de conos) para el largo de conos por procedencia fueron la 4 y 5 de Humeros, 12 de Derrumbadas y la 16 de Los Molinos. Las familias con menor longitud de conos se observaron en Derrumbadas (6 y 13) y en Los Molinos (15).
Las familias que registraron los conos más anchos fueron la 4 y 5, de Humeros, con el 100% de los conos por arriba del promedio, al igual que las familias 7, 10 y 12 de Derrumbadas, sobresaliendo la familia 10 con el 100% de sus conos mayor a 62 mm, y la familia 16 de Los Molinos con el 100% de sus conos por arriba del promedio. La familia 1 presentó el 100% de sus conos con valores menores a 48 mm de ancho (figura 2).
Se encontraron diferencias significativas al 95% de confiabilidad para el largo de conos sólo entre familias dentro de procedencias y para el ancho de conos entre procedencias y entre familias dentro de procedencias (tabla 1).

Descriptivas para largo y ancho de conos por familia dentro de procedencias de P. oaxacana.

Análisis de varianza para el largo y ancho de conos de P. oaxacana.
Las familias procedentes de Derrumbadas produjeron conos más anchos, por lo que en la prueba de Tukey forma un grupo diferente (tabla 2). Para las familias dentro de procedencias la prueba mostró que las familias 7, 5, 12 y 16 presentaron promedios altos para el largo de conos y las familias 13, 15 y 6 las medias más bajas. En cuanto al ancho de los conos los resultados de la prueba identificaron que las familias 12, 7 y 10 presentaron las medias más altas, a diferencia de los árboles 1, 15, 3 y 9 (tabla 3).

Prueba de Tukey para el ancho de conos entre procedencias de P. oaxacana

. Prueba de Tukey para el largo y ancho de conos entre familias dentro de procedencias de P. oaxacana.
* Proc.: Procedencia; H: Humeros; D: Derrumbadas; M: Los Molinos.
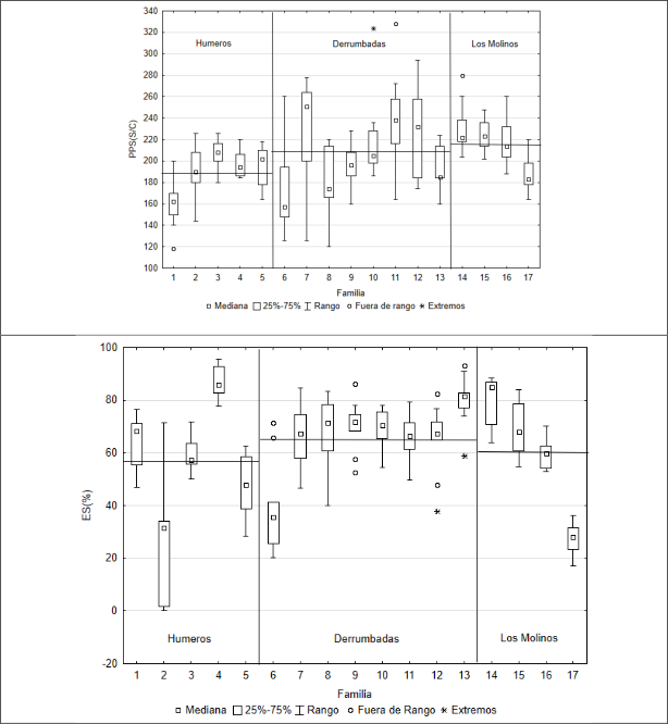
Potencial Productivo de Semillas y Eficiencia de semillas. La comparación entre procedencias mostró que el promedio general para el PPS fue de 203 semillas por cono, y para la ES fue de 61.65%, el PPS máximo por cono fue de 328, con un mínimo de 118 con desviación estándar de 35.71, el valor máximo de ES fue de 95.74% y mínimo de 0% y desviación estándar de 19.75. En la figura 3, se observa que, para el PPS, las procedencias de Derrumbadas y Los Molinos presentaron el 50% o más de sus conos con más de 203 semillas, mientras que Humeros presentó ese mismo porcentaje por debajo del promedio general. En cuanto a la ES, Derrumbadas presentó el 75% de sus valores por arriba de 58%, mientras que Humeros presentó la menor variación, en Los Molinos el 50% se encontró por arriba del promedio.

Potencial de producción de semillas y Eficiencia de semilla por procedencias de P.oaxacana.
En cuanto al comportamiento del PPS y ES entre familias dentro de procedencias, se observa en la figura 4, que Los Molinos presentó el mayor promedio para el PPS (215); las familias 3 de Humeros, 11 de Derrumbadas 14 de Los Molinos presentaron más del 75% de sus datos por arriba de su promedio; por el contrario, las familias 1, 6 y 17 presentaron este mismo porcentaje por debajo de la media general. Para la ES la procedencia de Derrumbadas presentó el máximo promedio, las familias 4, 9 y 13 presentaron el 100% de sus datos por arriba del promedio. Humeros presentó el menor promedio pero la familia 4 alcanzó el máximo valor (95.7), la familia 2 fue la única que obtuvo cero de ES, en Los Molinos la familia14 presentó el total de sus valores por arriba del 60% y la familia 17 con el total de sus datos por debajo de 40%.

Potencial de producción de semillas y Eficiencia de semilla por familia dentro de procedencias de P. oaxacana.
La variabilidad del potencial de producción de semillas y eficiencia de semillas, entre procedencias y entre familias dentro de procedencias, se identificó en el análisis de varianza (P≤0.05) (tabla 4).
Entre las procedencias, el PPS mediante la prueba de Tukey mostró dos grupos, la procedencia Los Molinos sobresalió con la media más alta, en cuanto a la ES, la procedencia Derrumbadas presentó los mejores resultados (tabla 5).
Para el PPS, la prueba de Tukey, para familias dentro de procedencias, muestra la formación de cinco grupos, las familias 11, 7, 14, 12, 15,10 y 16, presentan las medias más altas, diferenciándose principalmente del árbol 1. En cuanto a la eficiencia de producción de semillas la prueba de Tukey muestra la formación de seis grupos, los árboles 4, 13 y 14 presentan las medias más altas, a diferencia de los árboles 2, 17 y 6 (tabla 6).

Análisis de varianza para el Potencial Productivos de Semillas (PPS) y Eficiencia de Semillas (ES) de P. oaxacana.

Comparación de medias entre procedencias para Potencial de Producción de Semillas y Eficiencia de semillas.

Comparación de medias entre familias dentro de procedencias para Potencial de Producción de Semillas y Eficiencia de Semillas.
Discusión
Márquez et al. (2007) reportan valores de largo y ancho de conos de cuatro cosechas de Pinus oaxacana en bosque natural que variaron entre 8.07 y 12.55 cm de largo y 5.15-6.12 cm de ancho, valores dentro de los que se encuentran los reportados en el presente estudio (9.21 cm de largo y 5.49 cm de ancho); cabe decir que la plantación evaluada fue establecida a partir de la primera cosecha de dicho estudio.
Se encontró variación significativa en el largo y ancho de conos, como lo reportaron Vázquez et al. (2004), Alba-Landa et al. (2000 y 2001) y Menchaca (2000), con la misma especie. Estas diferencias se manifestaron entre procedencias y entre árboles dentro de procedencias. Bermejo y Patiño (1982) reportaron que el largo de conos de Pinus pseudostrobus var. oaxacana variaban significativamente entre árboles y no así entre localidades de los Altos Chiapas. Se ha detectado que los cono y semillas pueden variar entre poblaciones, entre individuos y entre regiones para especies con más amplia distribución (Boratyñska et al., 2005).
Para el potencial de producción de semilla y eficiencia de semillas en Pinus oaxacana Mirov, Alba-Landa y Márquez (2006) obtuvieron diferencias significativas entre árboles de una cosecha realizada en 2005 en un bosque natural ubicado en Los Molinos encontrando un PPS de 106 semillas por cono con una ES del 53.77%. En otras especies como Pinus nelsonii Shaw, Sánchez et al. (1991), reportaron un PPS de 60 semillas por cono en una población natural en Miquihuana. Flores et al. (2003) para Pinus johannis M., de Coahuila y Zacatecas, reportaron una producción de semillas entre 18 y 25 semillas por cono, Ramírez-García et al. (2007), encontraron diferencias significativas en PPS entre árboles de Pinus greggii Engelm., en el municipio de Naolinco de Victoria, Veracruz, México y para Pinus patula Schl. et Cham. de Zacapoaxtla, Puebla, México (Ramírez-García et al., 2013).
Para la eficiencia de producción de semilla, al igual que en este estudio, Bustamante-García et al. (2012), reportaron la existencia de diferencias significativas entre procedencias de Pinus engelmanii.; Ochoa et al. (2013), encontraron diferencias significativas entre progenie y cosechas evaluadas de Pinus patula Schl. et Cham., Flores et al. (2003) obtuvieron una eficiencia del 25 al 40% en Pinus jaliscana. Como se nota los resultados de estas características pueden variar dependiendo de la especie, edad y procedencia o fuente de origen de la semilla.
Conclusiones
Las características analizadas en el presente trabajo muestran valores que permiten concluir lo siguiente:
1. La variación mostrada es un indicio de la diversidad genética que puede ser utilizada en un programa de manejo en el cual se complementen la restauración, la conservación y su uso comercial.
2. Los datos de PPS y ES deberán ser tomados en cuenta para ponderar la cantidad de semilla por cosecha para la planeación de superficies de plantación a partir de la prueba de procedencias/progenie en estudio.
3. Esta variación es el punto de partida para posteriores estudios relativos a germinación, plántulas y plantas establecidas en campo.
Literatura citada
ALBA-LANDA, J.; MENDIZÁBAL-HERNÁNDEZ, L.C. y CRUZ-JIMÉNEZ, H. 2000. Potencial de producción de semillas de Pinusoaxacana Mirov en tres sitios de Perote, Veracruz México. Foresta Veracruzana 2(2): 29-32.
ALBA-LANDA, J.; MENDIZÁBAL-HERNÁNDEZ, L.C. y MÁRQUEZ, R.J. 2001. Comparación del potencial de producción de semillas de Pinus oaxacana Mirov de dos cosechas de Los Molinos, Veracruz, México. Foresta Veracruzana 3(1): 35-38.
ALBA-LANDA, J.; APARICIO, R.A.; ZITÁCUARO C.F.H. y RAMÍREZ-GARCÍA, E.O. 2005. Establecimiento de un ensayo de progenie de Pinusoaxacana Mirov En los Molinos, municipio de Perote, Veracruz. Foresta Veracruzana. 7(2): 33-36.
ALBA-LANDA, J. y MÁRQUEZ, R.J. 2006. Potencial y eficiencia de producción de semillas de Pinus oaxacana Mirov de Los Molinos, Perote, Veracruz. Foresta Veracruzana 8(1):31-36.
BERMEJO, B. y PATIÑO, V. 1982. Variación morfológica en características de hojas y conos de Pinus pseudostrobus var. oaxacana en poblaciones naturales de Los Altos de Chiapas, UACH/INIF. 43 p.
BORATYÑSKA, K.; MARCYSIAK, K. y BORATYÑSKI, A. 2005. Pinus mugo (Pinaceae) in the Abruzzi Mountains: High morphological variation in isolated populations. Botanical Journal of the Linnean Society, vol. 147, no. 3, pp. 309-316. DOI 10.1111/j.1095-8339.2005.00374.x. Disponible en: https://academic.oup.com/botlinnean/article/147/3/309/2420526 [ Links ]
BRAMLETT, D.L.; BELCHER, Jr.E.W.; DEBARR, G.L.; HERTEL, G.D.; KARRFAKT, R.P.; LANTZ, C.W.; MILLER, T.; WARE, K.D. y YATES iii, H.O. 1977. Cone analysis of southern pines. A guidebook. USDA Forest Service. General Technical Report SE 13. Southeastern Forest Experiment Station, Asheville, North Carolina and Southeastern Area, State and Private Foresty, Atlanta Georgia. USA. 18 p.
BUSTAMANTE-GARCÍA, V.; PRIETO-RUÍZ, J.Á.; MERLÍN-BERMUDES, E.; ÁLVAREZ-ZAGOYA, R.; CARRILLO-PARRA, A. y HERNÁNDEZ-DÍAZ, J.C. 2012. Potencial y eficiencia de producción de semilla de Pinus engelmannii Carr., en tres rodales semilleros del estado de Durango, México. Madera y Bosques [en línea], vol. 18, no. 3. ISSN: 2448-7597. Disponible en: http://www.scielo.org.mx/scielo.php?script=sci_arttext&pid=S1405-04712012000300002. [Links]
COMISIÓN NACIONAL FORESTAL. 2013. Bosques, cambio climático y REDD+ en México. Guía básica. Segunda edición. 88 p.
CONABIO. 2007. Regiones terrestres prioritarias de México. Pico de Orizaba-Cofre de Perote. URL: www.conabio.gob.mx/conocimiento/regionalización/rtp_122.pdf. 8 de octubre de 2007.
FLORES, L.C.; AGUILAR, A.S.; VALENCIA, M.S. y CORNEJO, O.E.H. 2003. Potencial y eficiencia de semillas en tres poblaciones naturales de Pinusjohannis M.F. Robert. In: Dirección de Investigación. Resultados de proyectos de investigación 2003. Universidad Autónoma Agraria Antonio Narro. 411-417.
INEGI. 1998. Carta Topográfica 1:50,000 Perote E14B26. INEGI
HAROLD, W. y Jr. HOCKER. 1984. Introducción a la biología forestal. Primera edición en español. AGT Editor S.A. México. 446 pp.
MÁRQUEZ, R.J.; REBOLLEDO, C.V. y CONTRERAS, J.L. 2007. Variación de conos de Pinus oaxacana Mirov en una población de los Molinos, municipio de Perote, Veracruz. Foresta Veracruzana 9(2):45-50.
MATTHEWS, J.D. 1964. Producción y certificación de semillas. UNASYLVA 18(73-74): 104-118.
MENCHACA, G.R. 2000. Variación de conos y semillas de Pinusoaxacana Mirov en tres sitios de la zona del Cofre de Perote. Tesis Maestría en Ecología Forestal. Instituto de Genética Forestal. Universidad Veracruzana. Xalapa, Ver. México. 61 p.
OCHOA, H. MA. DEL C.; MÁRQUEZ, R.J.; MENDIZÁBAL-HERNÁNDEZ, L.C.; CRUZ-JIMÉNEZ, H Y RAMIREZ-GARCIA E.O. 2013. Potencial y eficiencia de producción de semilla de Pinus patula Schl. et Cham. de una Prueba de Progenies En Tlacolulan, Veracruz Foresta Veracruzana 15 (2): 37-44.
RAMÍREZ-GARCÍA, E.O.; MÁRQUEZ, R.J. y HÉRNANDEZ, O. 2007. Estudio de conos de Pinus greggii Engelm. de una plantación en el municipio de Naolinco, Veracruz, México. Foresta Veracruzana 9(2):39-44.
RAMÍREZ-GARCÍA, E.O.; SÁNCHEZ, R.J.C.; MÁRQUEZ, R.J. y CRUZ-JIMÉNEZ, H. 2013. Características de estructuras reproductivas en progenitores seleccionados de Pinus patula Schl. et Cham. foresta veracruzana 15(1):37-44.
SÁNCHEZ, R.G.; LEDEZMA, P.S.; SUZÁN, A.H. y FLORES, L.J. 1991. Utilización de la técnica de análisis de conos aplicada en semillas de Pinusnelsonii Shaw, provenientes de Miquihuana, Tamaulipas. Memorias del IV Simposio Nacional sobre Pinos Piñoneros. UAT-CTCT-UANL. pp. 89-95.
SOSA-RODRÍGUEZ, F.S. 2015. Política del cambio climático en México: avances, obstáculos y retos. Revista Internacional de Estadística y Geografía, 6(2):4-24.
SPP. 1984. Carta Edafológica Esc. 1:250000 Veracruz E 14-3. Aguascalientes, México 1 p.
STAT-SOFT, INC. 2010. Statistica: User guides. 2325 Eat 13th Street, Tulsa Ok. 74104. USA.
VÁZQUEZ, C.O.; RAMÍREZ-GARCÍA, E.O. y ALBA-LANDA, J. 2004. Variación de conos y potencial de producción de semillas de Pinusoaxacana Mirov en una población del estado de Tlaxcala, México. Foresta Veracruzana 6(2): 31-36.