Resultado de Investigación
Tamizaje del Síndrome de Asperger en estudiantes de dos ciudades de Colombia a través de las escalas CAST y ASSQ*
Childhood Asperger syndrome test in Colombian school children through cast questionnaire and ASSQ TESTS
Tamizaje del Síndrome de Asperger en estudiantes de dos ciudades de Colombia a través de las escalas CAST y ASSQ*
Psicogente, vol. 20, núm. 38, pp. 320-335, 2017
Universidad Simón Bolívar
Recepción: 23 Junio 2016
Aprobación: 10 Enero 2017
Resumen: Objetivo: Se realizó el tamizaje de niños y adolescentes estudiantes de Bucaramanga y Medellín con el fin de identificar manifestaciones del Síndrome de Asperger (SA). Método: Luego de la firma del consentimiento informado por parte de los padres, se escogió en forma aleatoria 1.600 padres de niños y adolescentes de instituciones educativas de Bucaramanga y Medellín. Se excluyeron los estudiantes con discapacidad intelectual. Las escalas CAST y ASSQ, útiles para la identificación de indicadores de riesgo para la presencia de SA, fueron aplicadas en diferente orden, considerándose positivos para SA los puntajes superiores o iguales a 15 para CAST y 22 para ASSQ. Para el análisis estadístico se usó Stata SE 12.1. Resultados: Se encontraron mani festaciones del SA en el 9,1 % de la muestra con la escala ASSQ (IC95 % 7,7 % a 10,6 %) y un 8,8 % con la escala CAST (IC95 % 7,2 % a 10,7 %). No se encontraron diferencias significativas por ciudad, estrato o edad; pero sí por sexo, siendo más frecuente en varones que en mujeres tanto en la escala CAST (ZW=-3.569, p<0.001) como en la ASSQ (ZW=-2.089, p=0.037). Dis cusión: Las dos escalas identificaron manifestaciones de SA siendo mayor la presencia en varones que en mujeres. Sin embargo, no se recomienda su uso en contexto clínico y sí en tamizajes que incluyan evaluación por expertos en desarrollo de niños y adolescentes.
Palabras clave: Síndrome de Asperger, Tamizaje, ASSQ, CAST..
Abstract: Objective: Researchers conducted screening tests (Childhood Asperger Syndrome Test (CAST) and The Autism Spectrum Screening Questionnaire (ASSQ) in order to identify Colombian school children and teenagers from Bucaramanga and Medellin at risk for Asperger Syndrome (AS). Method: After signed informed parent consent, 1.600 school students between ages of 4 and 16 were selected randomly from educational institutions from Bucaramanga and Medellin. In order to identify children at risk for (AS), The Childhood Asperger Syndrome Test (CAST) and The Autism Spectrum Screening Questionnaire (ASSQ) scales were applied in different ways, considering as follows: those who score positive are greater than or equal to 15 for the CAST and 22 for the ASSQ. For the statistical analysis, SE 12.1 Stata version was used. Results: In 9,1 % of the children sampled with diagnosis of (As), using ASSQ scale (95 % 7,7 % 10.6 %) and 8,8 with CAST scale (95 % 7,2 % 10,7 %) There were no significant differences taking into account city, stratum or age. But a positive score for gender was more frequent in men than in women both with CAST scale ZW = 3.569 p<0.001) as in the ASSQ (ZW = 2.089, p = 0.037) Discussion: (SA) diagnosis was identified with a higher presence in men than in women by the two scales. However, it is not recommended to use these scales in clinical context but through screening test which include evaluation in the development of children and adolescents by experts.
Key words: Asperger Syndrome, Screening, ASSQ, CAST.
Introducción
El Síndrome de Asperger (SA) es un desorden neurobiológico que se manifiesta desde el nacimiento. Se caracteriza por dificultades en el desarrollo social y comunicativo, así como por la presencia de comporta mientos estereotipados y repetitivos (Kent et al., 2013).
La Asociación Americana de Psiquiatría conside ró incluirlo como parte de los trastornos generalizados del desarrollo (American Psychiatric Association, 2000); otros autores lo incluyen en el Espectro Autista (Auyeung, Baron-Cohen, Wheelwright, & Allison, 2008), tal como aparece en la actual versión del DSM-V (Barton, Robins, Jashar, Brennan, & Fein, 2013). Establecer la mejor escala para evaluar el Espectro Autista o los tras tornos generalizados del desarrollo (donde se incluye el Síndrome de Asperger) es una tarea difícil. La variedad de instrumentos que pueden ser usados por el clínico, también puede afectar negativamente la realidad del paciente; por esto, es importante conocer las escalas de tamizaje existentes para orientar la toma de decisiones a la hora de emitir un concepto, pero el ejercicio final depende de la experticia del clínico y sus conocimientos, ya que no hay un instrumento estándar para clasificar y determinar la presencia o ausencia de esta condición (Carpenter, 2012).
La evaluación de un posible caso involucra, ade más, una serie de parámetros que no deben reducirse a la aplicación de escalas, aun cuando estas hayan alcan zado adecuados resultados psicométricos. Las escalas de evaluación son útiles para establecer el perfil de seve ridad de las manifestaciones relacionadas con la condi ción particular, las necesidades de soporte que se requie ren y el enfoque de la intervención en cada caso, pues en el Espectro Autista o en el Síndrome de Asperger, no todos los casos son iguales ni tienen las mismas dificul tades o comorbilidades. Por el contrario, la intensidad y frecuencia de las manifestaciones varían.
La literatura reporta varios instrumentos para evaluar manifestaciones de Autismo, pero pocos están diseñados para identificar SA en etapa escolar; entre la escasa posibilidad se destacan "The Childhood Asper ger Syndrome Test (CAST)" y "The Asperger Syndrome Screening Questionnaire (ASSQ)". Ambas escalas mues tran adecuada capacidad para discriminar síntomas de SA, pero se han documentado diferencias en la capaci dad predictiva. Por ejemplo, el CAST mostró que de 139 niños evaluados, 6,5 % obtuvo un punto de corte de 15 o más (9 sujetos) para SA, siendo esto una prevalencia alta comparada con el estándar mundial (prevalencia de 70 en 10,000). En ese estudio, el valor predictivo positi vo (VPP) para el SA y Autismo fue de 0.64 y la especifici dad fue de 0.98 (Scott, Baron-Cohen, Bolton & Brayne, 2002); y al incrementar el punto de corte se incremen tó la especificidad, disminuyéndose la sensibilidad. En otro estudio de validación del CAST se identificó una alta sensibilidad (95 %) y especificidad (97 %) (Williams et al., 2005). De igual forma, la confiabilidad test-retest aplicada en 70 niños escolarizados de China fue buena (kappa=0.64), mostrando una buena correlación entre la primera y la segunda aplicación (Spearman rho=0.73) (Sun et al., 2013).
El "Asperger Syndrome screening questionnaire (ASSQ)" fue desarrollado según los criterios establecidos por Gillberg & Gillberg. Ha sido validado en población clínica, mostrando confiabilidad test-retest (pearson r) alta para la versión de profesores (r = .94; n = 65; p <. 0001) y para la versión de padres (r = .96; n = 86; p < .0001). De la misma forma, al comparar la confiabilidad inter evalua dores entre trastornos del Espectro Autista, el déficit de atención con hiperactividad (TDAH) y las dificultades del aprendizaje (DA), los resultados fueron mejores para el grupo del Espectro Autista (r = .77; n = 20; p < .0001) que para los otros dos grupos (r = .27; n = 57; p = .0385 para TDAH y r = .19; n=28 para DA) (Ehlers, Gillberg, & Wing, 1999). El ASSQ ha mostrado mejor capacidad para discriminar del total de la población, a quienes no presentan SA y, por tanto, es una escala útil para estu dios poblacionales en niños (Posserud, Lundervold & Gillberg, 2006). De acuerdo con Mattila et al. (2009), la sensibilidad del ASSQ fue alta en población infantil de Finlandia con un punto de corte de 22 (0.85 sensibili dad y 0.69 especificidad); pero al incrementar el punto de corte a 30 (VPP 0.35, VPN 1.00, LR 3,75 % acuerdo 76.7 y Kappa 0.41/95 % IC: 0.20-0.62), la sensibilidad se incrementó a 1.00 y la especificidad a 0.73 para pa dres y profesores; otros hallazgos reportan que un punto de corte de 19 para padres genera una sensibilidad entre 62-82 % y especificidad del 90 % (Ehlers et al., 1999). En otro trabajo se halló una sensibilidad de 1.0 y especi ficidad de 0.92 para padres y profesores; y comparando el ASSQ con la entrevista estructurada (DAWBA), los investigadores observaron mayor área bajo la curva para el test contestado por padres (0.98, 95 IC 0.97-0.99); a su vez usando los criterios combinados para padres y profesores con un punto de corte >17, se observó una sensibilidad de 0.91 y especificidad de 0.86 (PPV=0.36, NPV=0.99) (Posserud, Lundervold & Gillberg, 2009).
Acorde con todo lo anterior, el propósito de esta investigación fue desarrollar un tamizaje de las manifes taciones del Síndrome de Asperger a través de las escalas CAST y ASSQ aplicadas en niños y adolescentes escolarizados de dos ciudades de Colombia.
Método
Diseño
El presente es un estudio transversal en el que se seleccionaron aleatoriamente cursos de institucio nes educativas urbanas de dos ciudades de Colombia (Bucaramanga y Medellín); una vez identificadas las instituciones, se gestionó la aceptación de las directi vas administrativas, académicas y de las asociaciones de padres de familia según fuese el caso. Luego se invitó a los padres o acudientes de los estudiantes de los cursos escogidos para que asistieran a una actividad de sociali zación en la que se presentó el proyecto y se les invitó a participar. Todos los padres o acudientes que aceptaron dieron su consentimiento informado por escrito, luego de lo cual completaron las escalas de tamizaje de SA según la edad de los estudiantes: los estudiantes que tenían entre 4 y 11 años de edad diligenciaron ASSQ y CAST y los estudiantes de entre 12 a 16 años solo diligenciaron el ASSQ. El orden de aplicación de las escalas fue aleatorio, de manera que el 50 % de los pa dres y tutores de los estudiantes de 4 a 11 iniciaron con ASSQ y el otro 50 % con CAST. Se estimó un tamaño de muestra de 1972 niños y adolescentes menores de 17 años de las dos ciudades, la mitad a seleccionar en cada una de ellas. Para el análisis se contempló una precisión del 5 %, un 10 % por posible pérdida de muestra y un nivel de confianza del 95 % para encontrar una preva lencia no mayor a 6 casos de SA por cada 1.000 habi tantes. El punto de corte contemplado en la presente investigación fue mayor a 15 en la escala CAST y a 22 en la ASSQ, todo ello con el fin de disminuir la proba bilidad de incrementar falsos positivos al establecer un punto de corte inferior, como se pudo encontrar en un pilotaje realizado con 100 sujetos en Bucaramanga; de igual forma se consideraron diferentes estudios en los que se recomienda en general usar un punto de corte entre 17 a 30 (Ehlers et al., 1999; Mattila et al., 2009).
Participantes
Se incluyeron niños y adolescentes de entre los 4 a 16 años de edad, asistentes a instituciones de edu cación pública y privada; no se incluyeron instituciones educativas de atención a la discapacidad en la medida que las pruebas a evaluar son de tamizaje; es decir, se aplican en estudiantes en los que no se ha reconocido algún diagnóstico (Orozco & Camargo, 1997). No se tu vieron en cuenta niños o adolescentes con discapacidad intelectual evidenciada por reporte de docentes y padres de familia.
Instrumentos
El Childhood Asperger Syndrome Test (CAST) está conformada por 37 ítems, de los cuales los seis finales corresponden a datos sobre el desarrollo que no se in cluyen en el puntaje final (Campbell, 2005). La escala es dicotómica (presencia o ausencia) según el punto de corte. El máximo puntaje es 31 y el punto de corte re comendado es 15. Evalúa los tres dominios que se des criben en el DSM IV y CIE-10: dificultades sociales, en la comunicación, y comportamientos estereotipados o repetitivos.
El Asperger Syndrome Screening Questionnaire (ASSQ) fue elaborado en Suecia por Ehlers, Gillberg y Wing (Ehlers et al., 1999) con apoyo de profesores de educación especial. Está diseñado para niños entre 7 a 16 años con inteligencia promedio. Comprende 27 ítems, cada uno de los cuales puede puntuar así: normalidad (0 puntos), alguna anormalidad (1 punto) o anormalidad (2 puntos). El rango total va de 0 a 54 puntos, con pun tos de corte para posible SA >19 cuando los informantes son los padres y > 22 cuando son los maestros (Howlin, Alcock & Burkin, 2005).
Análisis de resultados
El análisis estadístico se realizó en Stata SE 12.1 (StataCorp, 2014). Para este punto, se utilizaron propor ciones y medidas de tendencia central y dispersión. Las variables continuas se analizaron como mediana y reco rrido intercuartil (RIQ) si la distribución no era normal según la prueba de Shapiro-Francia, o con promedio y desviación estándar (DE) si era normal; de ser posible, los valores se trasformaron a la mejor opción. Según se consideró pertinente, también se establecieron interva los de confianza del 95 % (IC95%).
Se precisó si había diferencia entre los estudiantes respecto a edad y sexo (global y en las dos ciudades); es trato socioeconómico y nivel académico (en las dos ciu dades); de la edad de los estudiantes y el nivel académico (global y en las dos ciudades). Estas diferencias se evalua ron por medio de las pruebas %2, t de Student, de Wilco- xon o ANOVA según la situación, y se aceptaron a partir de sus grados de libertad (gl) cuando la probabilidad de error tipo I fuese < 0.05; también se hizo corrección de Bonferroni para evitar el sesgo causado por las múltiples comparaciones (Bland, 2000).
Puntaje y positividad de las pruebas: La cantidad de padres o acudientes que contestaron cada una de las pruebas fue registrada tanto a nivel global como en cada ciudad. Así se estableció la proporción de estudiantes con una prueba positiva (también llamado nivel de la prueba) para CAST y ASSQ, analizándose de la misma forma, primero según ciudad, sexo y edad, y luego por medio de regresión binomial.
Resultados
De los 1.972 estudiantes que se propuso captar, se logró contactar a 1.629 padres (83,0 % de total). Además, se excluyeron 29 estudiantes (1,8 % de los con tactados) tanto por tener una edad fuera de los límites como por retiro del consentimiento informado. Así, la muestra de 1.600 estudiantes estuvo conformada por 841 (52,6 %) residentes en Bucaramanga y 759 (47,4 %) de Medellín (Figura 1).

Sexo y edad
Los participantes constituyeron un total de 814 (50,9 %) mujeres y 786 (49,1 %) hombres; esta distribu ción fue similar entre Bucaramanga y Medellín: 50,5 % de los estudiantes de Bucaramanga eran mujeres, frente a 51,3 % de Medellín (%2 = 0.099, 1 gl, p = 0.753). La edad de los estudiantes participantes osciló entre los 4 y 16 años de edad, con mediana de 9 años y RIQ entre 7 y 12 años (Tabla 1). La edad de los hombres era ligeramente superior a la de las mujeres: mediana 10 (RIQ entre 8 y 12) años vs 9 (RIQ 7 a 12) años (z = -2.562, p = 0.010).
Estrato socioeconómico
En 61 (3,8 %) estudiantes no fue posible establecer el nivel socioeconómico: 2,6 % de los de Bucaramanga y 0,8 % de los de Medellín. La diferencia de estrato entre los padres que completaron las escalas fue estadís ticamente significativa (%2 = 15.250, 6 gl, p < 0.001). De este modo, más de la mitad de los estudiantes eran de es trato bajo, proporción mayor en Medellín (67,3 %) que en Bucaramanga (46,5 %; %2 = 60.36, 6 gl, p < 0.001).

Nivel académico de los estudiantes
Un total de 148 (9,3 %) estudiantes cursaban grados de preescolar, 865 (54,1 %) de básica primaria y 587 (36,7 %) de bachillerato (básica secundaria y media académica) (Tabla 2). La proporción de estos tres grupos entre las dos ciudades no fue similar (%2 = 237.856, 2 gl, p < 0.001), dándose en Medellín un mayor predominio de estudiantes de primaria frente a los de Bucaramanga. Tampoco fue similar la relación hombres-mujeres por cada nivel académico, ni en conjunto (%2 = 56.943, 11 gl, p<0.001) o para cada ciudad por separado: Bucaraman ga (x2 = 44.605, 11 gl, p < 0.001) o Medellín (x2 = 43.335, 11 gl, p < 0.001).

Prueba CAST
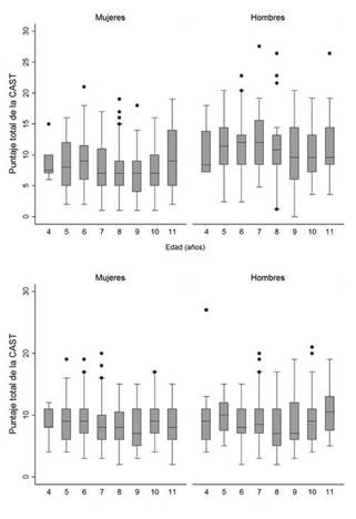
Esta prueba fue diligenciada por los padres y tu tores de 1.079 estudiantes, 589 (54,6 %) de Medellín y 490 (45,4 %) de Bucaramanga. La puntuación osciló entre 0 y 27 (mediana 8, RIQ 6 a 11) puntos, distribu ción que no es Gaussiana, pero permite ser normalizada por medio de su raíz cuadrada. No hubo diferencia en la distribución de puntaje total del CAST entre las dos ciu dades: en ambas ciudades se presentó una mediana de 8 (RIQ 6 a 11) puntos (x2 = 0.23, 1 gl, p = 0.630; Figura 2). Sin embargo, sí hay diferencia entre el puntaje total por grupos de edad, sobre todo por lo que se presenta en Bucaramanga (Tabla 3).



Al analizar la puntuación total de la escala CAST entre ambos géneros, se encontró un puntaje superior en tre los varones (mediana 9, RIQ 6 a 12 puntos) en compa ración con las mujeres (mediana 7, RIQ 5 a 10 puntos), di ferencia que es significativa (ZW = -3.569, p < 0.001), pero este fenómeno se presenta solo en Medellín (ZW = -3.432, p = 0.001), no en Bucaramanga (ZW = -1.476, p = 0.140), como se aprecia en la Figura 3.
Para comprender el efecto independiente sobre la raíz cuadrada del puntaje total de la escala CAST se esti mó un modelo ANOVA, el cual señala que este puntaje varía según la ciudad (F = 2.96, 1 gl, p = 0.086), la edad (F = 3.12, 7 gl, p = 0.003), y sobre todo por el sexo (F = 14.67, 1 gl, p < 0.001). Por otro lado, 95 estudiantes resul taron positivos para la prueba CAST, lo que implica un nivel de la prueba de prevalencia del 8,8 % (IC95% 7,2 % a 10,7 %); así, 52 escolares de Medellín fueron positivos (nivel de la prueba 8,8 %, IC95% 6,7 % a 11,4 %) y 43 de Bucaramanga (nivel de la prueba 8,8 %, IC95% 6,4 % a 11,6 %), diferencia que no es estadísticamente significa tiva (x2 = 0.001, 1 gl, p = 0.976). A pesar de la diferencia en la prevalencia según las ciudades, no hubo diferencia estadísticamente significativa en el nivel de la prueba por grupos de edad y sexo, ni en el total de la población ni en cada ciudad estudiada (Tabla 4).

Desde la perspectiva de un modelo de regresión binomial, el nivel de la escala CAST no está relacionado, entonces, con el sexo (RP 1.37, IC95% 0.93 a 2.03) ni con la edad de los estudiantes (RP 0.96, IC95% 0.87 a 1.06) o la ciudad donde residen (RP 0.99, IC95% 0.67 a 1.46).
Escala ASSQ
Esta escala fue diligenciada por los padres y tuto res de 1589 estudiantes, 752 (47,3 %) de Medellín y 837 (52,7 %) de Bucaramanga. La puntuación osciló entre 0 y 48 (mediana 8, RIQ 6 a 11) puntos, distribución no Gaussiana y no es posible transformarla para normali zarla por medio de las funciones usuales. De todos mo dos, no hubo diferencia en la distribución de puntaje total del ASSQ entre las dos ciudades: en ambas ciuda des se presentó una mediana de 6 (RIQ 2 a 13) puntos (X2 = 0.52, 1 gl, p = 0.601; Figura 4). No obstante, igual que para la prueba CAST, se presentó una diferencia entre el puntaje total por grupos de edad, dado básica mente por lo que se presenta en Bucaramanga (Tabla 5).

Al analizar la puntuación total de la ASSQ entre ambos géneros, se encontró que el puntaje es superior entre los varones (mediana 7, RIQ 2 a 13 puntos) en comparación con las mujeres (mediana 6, RIQ 2 a 12 puntos), diferencia que resulta significativa (ZW = -2.089, p = 0.037). Además, a pesar de no ser una distribución normal sin posibilidad de trasformación, se estableció el efecto independiente sobre el puntaje total de la ASSQ por medio de un modelo ANOVA, dada la gran canti dad de observaciones y según la teoría del teorema del límite central. El modelo señala que este puntaje no va ría entre ciudades (F = 0.72, 1 gl, p = 0.398), pero sí con la edad (F = 3.87, 12 gl, p < 0.001) y el sexo (F = 8.76, 1 gl, p = 0.003).

Por otro lado, 144 estudiantes resultaron positivos para la prueba ASSQ, lo que implica un nivel de la prueba de prevalencia del 9,1 % (IC95% 7,7 % a 10,6 %); en con creto, fueron positivos 76 escolares de Bucaramanga (nivel de la prueba 9,1 %, IC95% 7,2 % a 11,2 %) y 68 de Medellín (nivel de la prueba 9,0 %, IC95% 7,1 % a 11,3 %), diferencia que no es estadísticamente significativa (x2 = 0.001, 1 gl, p = 0.979). Sin embargo, el nivel de la prueba ASSQ es su perior en hombres que en mujeres: 11,5 % (IC95% 9,4 % a 14,0 %) frente a 6.7 (IC95% 5.1 % a 8.6 %; X2 = 11.29, 1 gl, p = 0.001). También hay diferencias en el nivel de la prueba por grupos de edad (Tabla 6), lo cual es ligeramente más notable en los grupos de edad de estudiantes de Medellín.
Desde la perspectiva de un modelo de regresión binomial, el nivel de la prueba ASSQ no está relacio nado con la ciudad de residencia (RP 0.94, IC95% 0.69 a 1.29), pero sí con ser hombre (RP 1.72, IC95% 1.24 a 2.37) y con tener entre 7 y 10 años (RP 0.55, IC95% 0.37 a 0.83).

Finalmente, cuando se observa la concordancia entre los resultados positivos de CAST y ASSQ, se en cuentran los datos que presenta la Tabla 7. El error de concordancia general fue del 7,8 % (IC95% 6,3 % a 9,6 %), siendo ligeramente distinto en las distintas poblaciones según ciudad, sexo y grupo de edad; ello no es significativo entre las dos ciudades (x2 = 0.68, 1 gl, p = 0.409) ni según el sexo (x2 = 0.63, 1 gl, p = 0.428), pero sí por edad: hay diferencia en el error de concordancia entre los estu diantes de 4 a 6 años, comparados con los de 7 a 9 años (x2 = 6.06, 1 gl, p = 0.014), así como entre los primeros y los de 10 a 11 años (x2 = 289, 1 gl, p = 0.089).

El área bajo la curva ROC del puntaje total de la escala CAST para identificar puntajes positivos de la ASSQ es significativo: 0.945 (IC95% 0.887 a 0.942), as pecto que también es relevante cuando se mira el pun taje total de ASSQ para identificar casos positivos por CAST: 0.858 (IC95% 0.714 a 0.903). Todo esto se aprecia en la Figura 5.
Discusión
Los resultados de la presente investigación dan cuenta de la dimensión que representa el Síndrome de Asperger (SA) en población colombiana, además de descartar objetivamente la utilidad de escalas utilizadas en el medio como herramienta de tamizaje (CAST y ASSQ), creadas bajo los constructos del SA que prece dieron a la actual clasificación planteada en el DSM5. El presente estudio incluyó una muestra con edades entre 4 a 16 años, en período escolar y sin ningún diagnóstico previo. Esto se hizo según la idea de que resultaría más fácil encontrar señales de alarma a tales edades, debido a que las manifestaciones del SA comienzan muy tempra no, pero solo en la socialización con los niños de edad similar se aprecian las dificultades en el contacto social, en la comunicación con sus iguales y en los intereses estereotipados.

De esta manera se desarrolló un proceso de selec ción aleatoria en conglomerados (los cursos), a partir, primero, de la identificación de todas las instituciones educativas que recibieron estudiantes en esa franja de edad, fuese en cursos de preescolar, básica primaria, bá sica secundaria y media académica, como también del número de cursos que cada una tenía en el año 2014. Así, luego de dos "tandas" de muestreo, se logró que de los 1.972 estudiantes que se propuso captar participaran 1.629 padres como informantes, el 83,0 % de la muestra total propuesta para estimar la prevalencia del SA. Dado que fue necesario excluir 29 estudiantes, la muestra de trabajo definitiva se estableció en 1.600 estudiantes, 841 residentes en Bucaramanga y 759 de Medellín. Según las escalas de tamizaje, las manifestaciones del SA resulta ron mayores a lo esperado, siendo alta la discriminación con el ASSQ y menor con la escala CAST, aun cuando el punto de corte seleccionado en ASSQ fue mayor a la propuesta inicial de los autores de la escala; cuestión que favorecería la disminución de falsos positivos.
Hasta la fecha no se había documentado en nin guna población de Colombia un tamizaje para el SA. Así, luego de evaluar estudiantes seleccionados al azar y aparentemente sin el diagnóstico, se encontró que la dimensión de la condición está relacionada con la alta presencia de sintomatología relacionada con SA en las dos ciudades (9,1 % IC95% 7,7 % a 10,6 % para ASSQ y 8,8 % IC95% 7,2 % a 10,7 % para CAST). Ello mues tra que posiblemente esta condición es más frecuente de lo esperado y supera los hallazgos reportados en países como Suecia (Ehlers & Gillberg, 1993; Kadesjo, Gill berg, & Hagberg, 1999); Inglaterra (Powell et al., 2000; E. Williams, Thomas, Sidebotham, & Emond, 2008); Esta dos Unidos (Pedersen et al., 2012; Zahorodny et al., 2014) o España (Fortea, Escandell, & Sánchez, 2013; Morales, Domenech, Jané, & Canals, 2013). Ante esto, se genera la incertidumbre sobre las manifestaciones encubiertas de niños y adolescentes en etapa escolar, quienes no son identificados ni por los sistemas de salud ni por el perso nal de las instituciones educativas o por sus cuidadores, y deben sobrellevar a su manera las consecuencias directas que generan las manifestaciones del SA en el orden so cial (Lázaro, 2013), comunicativo (Saalasti et al., 2008) y cognitivo (Aguirre Barco, Álvarez Pérez, Angulo Domín guez, & Prieto Díaz, 2012; García Gómez, 2008).
Más específicamente, en esta investigación se en contró un predominio del SA en el género masculino, principalmente en la escala ASSQ (12,5 % IC95% 5.3 a 19,6) comparado con el femenino (4,4 % IC95% °.° a 10.1), lo que va en la misma dirección de hallazgos re portados en otras investigaciones (Oliveira et al., 2007; Sun et al., 2014; E. Williams et al., 2008) y confirma una vez más la necesidad de considerar señales de alarma cuando las manifestaciones se presentan en varones me nores de 10 años de edad, siempre que estén asociados a los otros indicadores que hacen parte de los criterios diagnósticos.
Estos resultados hacen parte de la primera fase de un estudio polietápico que buscó establecer la preva lencia del SA en población estudiantil; por ello, resulta interesante que las escalas de tamizaje identificaran un sector de la población escolar asintomática que debe ser evaluada por un psiquiatra especializado en niños y adolescentes o por un neuropediatra, aspecto evaluado y reportado en los resultados finales del estudio global (Beltrán, Díaz, & Zapata, 2016). Se seleccionaron dos escalas de amplio uso en el mundo, como la Childhood Asperger Syndrome Test (CAST) y el Asperger Syndrome Scree ning Questionnaire (ASSQ), las cuales fueron construidas según los criterios del DSM IV y a partir de las defini ciones de Gillberg & Gillberg (Ehlers & Gillberg, 1993;
Ehlers et al., 1999). Los resultados mostraron que al usar los criterios de Gillberg & Gillberg se reportan más ni ños con las manifestaciones que al basarse en los del DSM IV, y en todos los casos, la concordancia existente entre los dos test, aunque intermedia, va más allá del azar, tal como lo indica el valor del índice Kappa y su intervalo de confianza del 95 %.
Con todo, es necesario realizar más estudios de tamizaje en población colombiana en edad escolar, a fin de identificar aquellas condiciones latentes que pasan desapercibidas por el personal escolar, padres de familia y tutores, pero que afectan la calidad de vida de niños y adolescentes, dejando huellas de dolor que se conso lidan en la adultez temprana. En el caso del SA, se ha encontrado asociación con trastornos del lenguaje o del aprendizaje, con rasgos obsesivos, estilos compulsivos y trastornos del estado de ánimo, que hacen pensar acerca de la multiplicidad de factores que intervienen e interac túan en los pacientes que lo presentan y son afectados en la etapa adulta (Bauer, 1996); (Pineda-Alhucema, Ji menez & Puentes, 2012), También resulta necesario el desarrollo, fortalecimiento y plan de ejecución de proto colos orientados a la detección temprana e intervención del SA desde las instituciones educativas, siempre con el objetivo de encontrar las potencialidades que tiene este sector de la población estudiantil desde una óptica incluyente.
En la práctica, falta mucho por desarrollar, sobre todo porque en las instituciones de educación formal aún no se conocen las fronteras entre el SA y otros tras tornos que cursan con aislamiento social; por ende, al gunos niños y niñas pasan sigilosamente por el sistema educativo de tropiezo en tropiezo, tratando de sobrevivir en lo que es innegable: un sistema diseñado para los que pueden interactuar, para los que son capaces de estable cer vínculos sociales. Por esto, la presente investigación buscó suplir la falta de sensibilización en la educación formal sobre el SA, de modo que en Colombia se sensi bilice a quienes hacen parte de un clúster que estigmati za, excluye y rechaza a los que hacen intentos infructuo sos para ser aceptados por la sociedad.
Probablemente no todos los niños seleccionados como positivos en las escalas de tamizaje tengan el SA, pero queda claro que un 9,1 % de los niños en el ASSQ y un 8,8 % de los niños en la CAST presentan algunas manifestaciones que han pasado desapercibidas o no han sido consideradas como relevantes, y que en la prác tica deberían evaluarse en consulta clínica pediátrica. En el mismo sentido, dado que la media de edad para el diagnóstico del SA es de 11 años, su detección precoz se ría muy útil, ya que muchos de ellos son víctimas de aco so escolar, llevando incluso a desescolarización. Por lo tanto, este problema no solo compete a las familias sino a las entidades de salud, educación y al Gobierno. Ob tener diagnósticos a tiempo, permite generar acciones e intervenciones que minimicen los costos de esta proble mática (Belinchón, Hernández, & Sotillo, 2009; Knapp, Romeo & Beecham, 2009; Swanson et al., 2013).
Por último, pensando en establecer definitiva mente la utilidad de las dos pruebas como herramientas de tamizaje en regiones latinoamericanas hispanoha blantes con cultura similar a la colombiana, es necesario ampliar la base poblacional de estudio y evaluar la vali dez de criterio (Allison et al., 2007). En todo caso, debe tenerse en cuenta que las escalas han de ser validadas en cada población específica con el fin de precisar los puntos de corte y asegurarse de su sensibilidad y valores predictivos positivos (Williams & Brayne, 2006).
Referencias
Aguirre Barco, P., Alvarez Pérez, R., Angulo Domínguez, M. D. C., & Prieto Díaz, I. (2012). Manual de aten ción al alumnado con necesidades específicas de apoyo educaivo derivadas de trastornos generales del desarro llo España: Andalucía, Ed.
Allison, C., Williams, J., Scott, F., Stott, C., Bolton, P., Baron-Cohen, S., & Brayne, C. (2007). The Childhood Asperger Syndrome Test (CAST): Test- retest reliability Autism11 (2), 173-185. Doi: 10.1177/1362361306066612
American Psychiatric Association (2000). Diagnostic and statistical manual of mental disorders 4th ed.APA., Washington DC.
Auyeung, B., Baron-Cohen, S., Wheelwright, S., & Alli son, C. (2008). The Autism Spectrum Quotient: Children's Version (AQ-Child). Journal of Autism and Developmental Disorders 38(7), 1230-1240. Doi: 10.1007/s10803-007-0504-z
Barton, M. L., Robins, D. L., Jashar, D., Brennan, L., & Fein, D. (2013). Sensitivity and Specificity of Pro posed DSM-5 Criteria for Autism Spectrum Di sorder in Toddlers. Journal of Autism and Develop mental Disorders 43(5), 1184-1195. Doi: 10.1007/s10803-013-1817-8
Bauer, S. (1996). Asperger Syndrome. Aspen 1-8.
Belinchón, M., Hernández, J., & Sotillo, M. (2009). Síndrome de Asperger: Una guía para los profe sionales de la educación. Journal of Chemical In formation and Modeling 53 136. Doi: 10.1017/CBO9781107415324.004
Beltrán, C., Díaz, L. A., & Zapata, M. (2016). Síndrome de Asperger: aspectos teóricos y prevalencia en dos ciuda des de Colombia Bucaramanga: P. UIS, Ed.
Bland, M. (2000). An introduction to medical statistics USA: Oxford Medical Publications.
Campbell, J. M. (2005). Diagnostic Assessment of Asperger's Disorder: A Review of Five Third-Party Rating Scales. Journal of Autism and Developemtal Disorders 35(1), 25-35. Doi: 10.1007/s10803-004-1028-4
Carpenter, P. (2012). Diagnosis and assessment in au tism spectrum disorders. Advances in Mental Health and Intellectual Disabilities 6(3), 121-129. Doi: 10.1108/20441281211227184
Ehlers, S., & Gillberg, C. (1993). The epidemiology of Asperger syndrome. A total population stu dy. Journal of Child Psychology and Psychiatry and Allied Disciplines 34(8), 1327-1350. Doi: 10.1111/j.1469-7610.1993.tb02094.x
Ehlers, S., Gillberg, C., & Wing, L. (1999). A screening questionnaire for Asperger syndrome and other high-functioning autism spectrum disorders in school age children. Journal of Autism and Develop mental Disorders 29(2), 129-141.
Fortea, M. S., Escandell, O. B., & Sánchez, J. J. C. (2013). ¿Cuántas personas con autismo hay? Una revision Teórica. International Journal of Developmental and Educational Psychology INFAD 1(1), 769-786.
García Gómez, A. (2008). Espectro Autista: definición, eva luación e intervención educativa . Extremadura, Ed.
Howlin, P., Alcock, J., & Burkin, C. (2005). An 8 year follow-up of a specialist supported employment service for high-ability adults with autism or As perger syndromeAutism : The International Jour nal of Research and Practice95533-54910.1177/1362361305057871
Kadesjo, B., Gillberg, C., & Hagberg, B. (1999). Brief report: autism and Asperger syndrome in seven- year-old children: a total population study. Journal of Autism and Developmental Disorders 29(4), 327 -331. Doi: doi.org/10.1023/A:1022115520317
Knapp, M., Romeo, R., & Beecham, J. (2009). Econo mic cost of autism in the UK. Autism 13(3), 317- 336. Doi: 10.1177/1362361309104246
Kent, R., Carrington, S., LeCouteur, A., Gould, J., Wing, L., Maljaars, J., & Leekam, S. (2013). Diag nosing autism spectrum disorder: who will get a DSM-5 diagnosis? Journal of Child Psychology and Psychiatry 54(11), 1242-50. Doi: doi.org/10.1111/ jcpp.12085
Lázaro, P. L. (2013). Síndrome de Asperger: aspectos discapa citantes y valoración Recuperado de https://www.asperger.es/publicaciones_detalle.php?id=36S%25EDndrome%2520de%2520Asperger:%2520Aspectos%2520discapacitantes%2520y%2520Val oraci%25F3n
Mattila, M., Jussila, K., Kuusikko, S., Kielinen, M., Linna, S., Ebeling, H., & Moilanen, I. (2009). When does the Autism Spectrum Screening Question naire ( ASSQ ) predict autism spectrum disorders in primary school-aged children? Eur Child Adolesc Psychiatry 18 499-509. Doi: 10.1007/s00787-009-0044-5
Morales, P. A. M., Domenech, E., Jané, M., & Canals, J. (2013). Trastornos leves del espectro autista en educación infantil: prevalencia, sintomatología co-ocurrente y desarrollo psicosocial. Revista de Psicopatología y Psicología Clínica 183 217-231.
Oliveira, G., Ataíde, A., Marques, C., Miguel, T., Coutinho, A. M., Mota-Vieira, L., & Moura, A. (2007). Epidemiology of autism spectrum disorder in Por tugal: prevalence, clinical characterization, and medical conditions. Developmental Medicine and Child Neurology 49(10), 726-733.
Orozco, L., & Camargo, D. (1997). Evaluación de tecno logías diagnósticas y tipos de muestreos. Biomédica 321-324.
Pedersen, A., Pettygrove, S., Meaney, F. J., Mancilla, K., Gotschall, K., Kessler, D. B., & Cunniff, C. (2012). Prevalence of Autism Spectrum Disor ders in Hispanic and Non-Hispanic White Chil dren. Pediatrics 129 e629-e635. Doi: 10.1542/peds.2011-1145
Pineda-Alhucema, Jimenez & Puentes, (2012) Rehuspectiva y prospectiva de la teória de la monte; avan ces de investigación en Neurociencias. Psicogente 15(27) 178-197
Posserud, M.-B., Lundervold, A. J., & Gillberg, C. (2006). Autistic features in a total population of 7-9-year-old children assessed by the ASSQ (Au tism Spectrum Screening Questionnaire). Journal of Child Psychology and Psychiatry 47(2), 167-175. Doi: 10.1111/j.1469-7610.2005.01462.x
Posserud, M.-B., Lundervold, A. J., & Gillberg, C. (2009). Validation of the autism spectrum scree ning questionnaire in a total population sample. Journal of Autism and Developmental Disorders 39(1), 126-34. Doi: 10.1007/s10803-008-0609-z
Powell, J. E., Edwards, A., Edwards, M., Pandit, B. S., Sungum-Paliwal, S. R., & Whitehouse, W. (2000). Changes in the incidence of childhood autism and other autistic spectrum disorders in preschool children from two areas of the West Midlands, UK. Developmental Medicine and Child Neurology 42(9), 624-628. Doi: 10.1017/S001216220000116X
Saalasti, S., Lepistô, T., Toppila, E., Kujala, T., Laakso, M., Wendt, T. N. Von., & Jansson-Verkasalo, E. (2008). Language abilities of children with Asper ger syndrome. Journal of Autism and Developmental Disorders 38(8), 1574-1580. Doi: 0.1007/s10803-008-0540-3
Scott, F. J., Baron-Cohen, S., Bolton, P., & Brayne, C. (2002). Brief report prevalence of autism spec trum conditions in children aged 5-11 years in Cambridgeshire, UK. Autism 6(3), 231-237. Doi: 10.1177/1362361302006003002
StataCorp. (2014). Stata Statistical Software TX: College Station.
Sun, X., Allison, C., Auyeung, B., Matthews, F. E., Ba ron-Cohen, S., & Brayne, C. (2013). The Manda rin Chinese version of the childhood autism spec trum test (CAST): test-retest reliability. Research in Developmental Disabilities 34(10), 3267-75. Doi: 10.1016/j.ridd.2013.05.042
Sun, X., Allison, C., Auyeung, B., Matthews, F. E., Zhang, Z., Baron-Cohen, S., & Brayne, C. (2014). Comparison between a Mandarin Chinese ver sion of the Childhood Autism Spectrum Test and the Clancy Autism Behaviour Scale in mainland China. Research in Developmental Disabilities 35(7), 1599-608. doi: 10.1016/j.ridd.2014.02.005
Swanson, A. R., Warren, Z. E., Stone, W. L., Vehorn, A. C., Dohrmann, E., & Humberd, Q. (2013). The diagnosis of autism in community pedia tric settings: Does advanced training facilitate practice change?Autism : The International Jour nal of Research and Practice18(5), 555-561. Doi: 10.1177/1362361313481507
Williams, J., & Brayne, C. (2006). Screening for autism spectrum disorders: What is the evidence? Autism , 10(1), 11-35. Doi: 10.1177/1362361306057876
Williams, E., Thomas, K., Sidebotham, H., & Emond, A. (2008). Prevalence and characteristics of au tistic spectrum disorders in the ALSPAC cohort. Developmental Medicine and Child Neurology , 50 (9), 672-7. Doi: 10.1111/j.1469-8749.2008.03042.x
Williams, J., Scott, F., Stott, C., Allison, C., Bolton, P., Baron-Cohen, S., & Brayne, C. (2005). The CAST (Childhood Asperger Syndrome Test): test accuracy.Autism : The International Jour nal of Research and Practice 9(1), 45-68. Doi: 10.1177/1362361305049029
Zahorodny, W., Shenouda, J., Howell, S., NS, R., Peng, A. & Mehta, U. (2014). Increasing autism preva lence in metropolitan New Jersey. Autism : The International Journal of Research and Practice, 18 (2), 117-126. Doi: 10.1177/1362361312463977
Notas