Artículo
Características fonológicas en población escolar con dislexia: Un modelo de ecuaciones estructurales
Phonological features in a school population with dyslexia: A structural equation model
Características fonológicas en población escolar con dislexia: Un modelo de ecuaciones estructurales
Psicogente, vol. 25, núm. 47, pp. 158-174, 2022
Universidad Simón Bolívar
Recepción: 09 Noviembre 2021
Aprobación: 23 Marzo 2022
Resumen
Introducción: El trastorno específico del aprendizaje es una entidad nosológica del neurodesarrollo, las manifestaciones clínicas se hacen evidentes en la etapa escolar y son persistentes en el transcurso de la vida. La dislexia (DS) se caracteriza por una afectación en la comprensión y fluidez del proceso lector, asociada a déficits neurocognitivos.
Objetivo: Analizar. la relación existente entre fluidez fonológica, repetición, denominación y comprensión verbal en niños con diagnóstico de DS.
Método: Se empleó una muestra de N=114 personas con diagnóstico de DS escolarizados, en edades entre 7 y 16 años y un. muestreo no probabilístico. Construimos un modelo de ecuaciones estructurales (MEE) en el software RCran 4.0.4, para analizar la relación entre las variables latentes (fluidez fonológica, fluidez semántica, repetición de pseudopalabras, repetición de frases, denominación y comprensión verbal), a través de los resultados de pruebas psicométricas estandarizadas; Test de Fluencia Verbal, Test de Boston, Evaluación Neuropsicológica Infantil y Escala Weschler IV de Inteligencia.
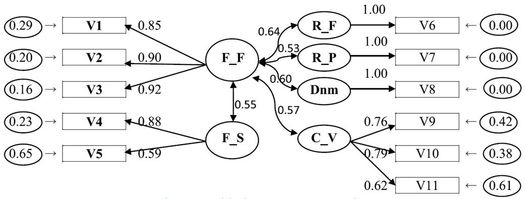
Resultados: Las covarianzas entre fluidez fonológica y todos los componentes del lenguaje (LG) fueron positivas; fluidez semántica (σxy=0,55), repetición de pseudopalabras (σxz=0,53), repetición de frases (σxw=0,64), denominación del LG (σxv=0,60), comprensión verbal (σxy=0,57), lo que indica una relación directa. En las personas con DS, a menor fluidez fonológica mayores deficiencias del LG.
Conclusión: En la DS la fluidez fonológica y semántica es limitada y se relaciona de manera directa con las manifestaciones clínicas de este trastorno del neurodesarrollo (TN).
Palabras clave: Estudiantes+ fluidez fonológica+ lenguaje+ modelos hipotéticos relacionales+ trastorno de lectura+ trastorno específico del aprendizaje.
Abstract
Introduction: The specific learning disorder is a nosological entity of neurodevelopment, the clinical manifestations become evident in the school stage and are persistent throughout life. Dyslexia (DS) is characterized by an impairment in the comprehension and fluency of the reading process, associated with neurocognitive deficits.
Objective: To analyze the relationship between phonological fluency, repetition, naming and verbal comprehension in children diagnosed with dyslexia (DS).
Method: A sample of (N=114) school patients with DS diagnosis between the ages of 7 and 16 years, selected by non-probability sampling, was used. We built a structural equation model (MEE) in RCran 4.0.4 software, to analyze the relationship between the latent variables (phonological fluency, semantic fluency, pseudoword repetition, sentence repetition, naming and verbal comprehension), through the results of standardized psychometric tests; Verbal Fluency Test, Boston Test, Child Neuropsychological Assessment and Weschler Intelligence Scale IV.
Results: Covariances between phonological fluency and all language (LG) components were positive; semantic fluency (σxy=0.55), pseudoword repetition (σxz=0.53), sentence repetition (σxw=0.64), LG naming (σxv=0.60), verbal comprehension (σxy=0.57), indicating a direct relationship. In people with DS, the lower the phonological fluency the greater the language deficits.
Conclusion: In DS, phonological and semantic fluency is limited and is directly related to the clinical manifestations of this neurodevelopmental disorder (TN).
Keywords: Hypothetical relational models, language, phonological fluency, reading disorder, students, specific learning disorder.
INTRODUCCIÓN
Los TN son un conjunto de entidades clínicas asociadas a deficiencias en la maduración cerebral, se manifiestan de manera precoz, generando limitaciones para el aprendizaje pedagógico/experiencial, afectan las habilidades. sociales y las funciones ejecutivas (Guzmán et al., 2015; Snowling et al., 2020; Lonergan et al., 2019). El Trastorno Específico del Aprendizaje se caracteriza por ser una dificultad permanente para aprender diferentes competencias académicas. El diagnóstico de esta condición clínica se establece cuando existen deficiencias para la lectura, en las áreas de fluidez, comprensión y precisión (DS), problemas en la escritura y la ortografía (disgrafía) y deficiencia para el cálculo aritmético y el razonamiento matemático (discalculia), puede existir comorbilidad con otros TN (American Psychiatric Association [APA], 2013; Vacas et al., 2020).
La lectura es una habilidad fundamental en los seres humanos, permite la transformación de símbolos visuales lingüísticos a frases dotadas de significado, se logra de manera paulatina por la instrucción de un tutor a través del uso de estrategias pedagógicas y didácticas (Butterfuss & Kendeou, 2018). En el diagnóstico de DS se presentan deficiencias para adquirir esta habilidad; existe déficit en la identificación de palabras, baja interpretación y decodificación de textos, se evidencia una carencia en el procesamiento fonológico (Kariyawasam et al., 2019; Raghuram et al., 2019). El planteamiento con mayor evidencia científica afirma que la DS es el resultado de un déficit fonológico que genera insuficiencia en las habilidades lectoras (Gutiérrez Fresneda, 2017; Luque et al., 2016; Sánchez-Domenech, 2018). Investigaciones reportan que esta condición clínica afecta entre el 10 % y 15 % de la población escolar, con una mayor prevalencia en el sexo masculino (Wagner et al., 2020; Knight & Crick, 2021; Muñoz Aveiga et al., 2018). En los contextos educativos y de la salud, la DS es más prevalente que la disgrafía y la discalculia (Downing & Caravolas, 2020).
Estudios de neuroimagen han reportado que las personas con DS tienen un bajo crecimiento dendrítico y axonal a nivel occipitoparietotemporal en el hemisferio izquierdo, que explica las deficiencias cognoscitivas asociadas a esta alteración, consideradas múltiples al afectar el LG, atención y memoria (De Vos et al., 2020; Di Liberto et al., 2018; Lizarazu et al., 2021). Se ha identificado un bajo rendimiento en las pruebas neuropsicológicas que evalúan competencias del LG, principalmente en las tareas de nombrado rápido de frases, procesamiento fonológico/lexical y memoria de trabajo verbal (Carballal Mariño et al., 2018; Giofrè et al., 2019; Mundy & Hannant, 2020).
El LG es un proceso cognoscitivo que se empieza adquirir a partir de la estimulación ambiental desde las primeras etapas del desarrollo; permite expresar ideas, pensamientos y emociones por medio de gestos y palabras; es el canal de comunicación con los demás (Adlof & Hogan, 2018). A nivel neuropsicológico el LG agrupa varias competencias: expresión, corresponde a las ideas establecidas de una forma gramaticalmente correcta; comprensión, aborda el significado de palabras o ideas; repetición, accede a la producción de sonidos escuchados, tanto en frases como en pseudopalabras y la denominación, permite pronunciar los sujetos, elementos o sucesos (Aguado et al., 2018). La repetición de pseudopalabras es un instrumento muy utilizado para evaluar el estado del bucle fonológico en el procesamiento del LG (Mejía Villalobos y Jackson-Maldonado, 2017).
La fluidez fonológica requiere de todas las competencias del LG, es definida como la habilidad metalingüística para determinar y utilizar fragmentos gramaticales en oraciones, morfemas, fonemas y sílabas (De La Calle et al., 2016). Este componente ha sido evaluado en la DS desde las características fonológicas; la conciencia silábica, fonémica, intrasilábica y rima (Suárez-Yepes et al., 2019), se han reportado alteraciones en el ámbito expresivo y comprensivo para el procesamiento de sonidos verbales, dificultad en la repetición de pseudopalabras, deterioro en la articulación y adquisición de fonemas (Fiuza Asorey y Fernández Fernández, 2014).
La fluidez fonológica efectúa un rol significativo en el aprendizaje pedagógico, impacta en el LG, la fluidez semántica y la lectoescritura. La fluidez semántica es la capacidad para producir palabras por medio de agrupaciones categóricas (Chávez-Oliveros et al., 2015; Knoop-van Campen et al., 2018); las tareas cognoscitivas que abarcan este componente implican comprensión de sintaxis, repetición de oraciones, vocabulario receptivo, fluidez en la lectura de textos y ortografía (Mengisidou & Marshall, 2019).
Dentro del aprendizaje lector, la-velocidad de procesamiento es esencial, al hacer referencia a la capacidad para mencionar de forma ágil los estímulos visuales/verbales que están compuestos por objetos, dígitos y letras. Ayuda a recuperar los nombres de las representaciones visuales que resultan familiares y se encuentran almacenadas en la memoria, este componente facilita la fluidez lectora (Bohórquez Montoya et al., 2014; González Seijas et al., 2017).
A partir de lo citado, el objetivo del estudio fue analizar la relación entre fluidez, repetición, denominación y comprensión verbal en niños con diagnóstico de DS. Se formularon las siguientes hipótesis de investigación relacionales: H1. En personas con DS, a menor fluidez fonológica menor fluidez semántica, H2. En personas con DS, a menor fluidez fonológica menor repetición de pseudopalabras, H3. En personas con DS, a menor fluidez fonológica menor repetición de frases, H4. En personas con DS, a menor fluidez fonológica menor denominación del LG y H5. En personas con DS, a menor fluidez fonológica menor comprensión verbal.
MÉTODO
Participantes
De una población de 156 participantes con TN, se incluyeron en la muestra (N=114) con diagnóstico de DS, empleando un muestreo no probabilístico (Fávero & Belfiore, 2019). Los 42 que se excluyeron tenían déficits sensoriales o discapacidad intelectual. La muestra evaluada tenía un nivel de escolaridad de básica primaria-secundaria en edades entre los 7-16 años. 71 hombres (Medad=9.35, SDedad=2.19, diestros=65, zurdos= 6, ambidiestras=0) y 43 mujeres (Medad =9.34, SDedad=2.18, diestras= 36, zurdas = 6, ambidiestras= 1). Se analizaron las historias clínicas de cada participante para evaluar antecedentes familiares de DS, riesgo neurológico y retrasos en la evolución sucesiva de las áreas del desarrollo (112 participantes con riesgo neurológico y retrasos en las áreas del desarrollo, 1 participante con riesgo neurológico sin retrasos en las áreas del desarrollo y 1 participante sin riesgo neurológico ni retrasos en las áreas del desarrollo).
Instrumentos
Escala Wechsler de inteligencia (WISCIV) (Wechsler, 2005)
Evalúa capacidades cognitivas e intelectuales de niños y adolescentes (6 años 0 meses hasta los 16 años 11 meses), la escala está constituida por 15 pruebas; 10 fundamentales y 5 de suplementación. A la muestra se le aplicó las pruebas que valoran comprensión verbal; semejanzas (estima las capacidades para la abstracción y generalización; consta de 23 ítems), vocabulario (mide las habilidades léxicas, la exactitud conceptual y las competencias expresivas-verbales consta de 23 ítems) y comprensión (determina las destrezas de lógica y reflexión social para la resolución de problemas del diario vivir). Esta batería presenta consistencia interna, validez y confiabilidad. El índice promedio de confiabilidad de consistencia interna es de 0,90.
Batería de Boston
Evalúa componentes y deficiencias en las diferentes áreas del LG; fue diseñada para personas diagnosticados con afasia; debido a la alta relevancia en los campos clínicos e investigativos la batería también es aplicada en personas con deterioro cognitivo o TN; en la actualidad hay diversas versiones abreviadas. La batería ha sido adaptada a varios idiomas y contextos culturales (Fay et al., 2018). A la muestra se les suministró la prueba de denominación y repetición. La prueba de denominación incluye 15 imágenes a blanco y negro donde el evaluado debe nombrar el dibujo presentado en la lámina. La prueba repetición está dirigida a redundar frases y oraciones, consta de 16 ítems (8 de fácil repetición 8 de difícil repetición). La batería cuenta con un coeficiente -Alpha de Cronbach- de 0.93, con resultados positivos en su validez. Se utilizaron los datos normativos validados para población colombiana de 5 a 12 años (Ardila & Rosselli, 2007).
Test de Fluencia Verbal (Portellano Pérez & Martínez Arias, 2020)
Es una prueba que realiza una evaluación global rápida del LG y de las funciones ejecutivas, se aplica de manera individual desde los 6 hasta los 90 años. Se conforma por dos tareas de fluidez verbal con un tiempo determinado de un minuto: fonológica (nombrado rápido de palabras que comienzan por las letras F, A, S), semántica (nombrado rápido de palabras que pertenecen a la misma categoría semántica, animales y frutas). El test evidencia validez de contenido, criterio y confiabilidad pretest-postest. Esta prueba tiene un nivel de sensibilidad del 0,79 y especificidad de 0,82.
Evaluación Neuropsicológica Infantil (ENI) (Rosselli et al., 2004)
Esta prueba está indicada para la valoración neuropsicológica de niños y adolescentes (de 5 a 16 años), fue validada en población latinoamericana y estandarizada con colombianos. Incluye la medición de 13 procesos cognoscitivos a través de 79 tareas. A la muestra se le aplicó la tarea de repetición de pseudopalabras del proceso del LG, el evaluado debe repetir 8 falsas palabras emitidas por el evaluador. La escala tiene confiabilidad test/retest e interevaluadores con un Alfa de Cronbach α = 0,72.
Procedimiento
El protocolo de investigación contó con la aprobación del Comité de Ética de Investigación de la Universidad Católica Luis Amigó, con radicado N° 63145. Las sesiones de evaluación se realizaron de manera individual con una duración de dos horas. Las escalas psicométricas fueron suministradas por neuropsicólogos, en el Centro de Atención Especializado Neuropser de la ciudad de Medellín, Colombia.
Análisis de datos
Los estadísticos descriptivos de la muestra y el MEE se realizaron dentro del entorno RCran 4.0.4 para computación estadística. Se analizó la covarianza entre las variables latentes; fluidez fonológica, fluidez semántica, repetición de pseudopalabras, repetición de frases, denominación del LG y comprensión verbal de las pruebas suministradas. Los MEE permiten validar constructos hipotéticos entre variables latentes a partir de variables observables, son una clase de estructuras multivariantes (Fogel et al., 2021). Estos modelos determinan la relación de dependencia o independencia mediante la integración de ecuaciones lineales, combinan la regresión lineal con el análisis factorial para calcular el ajuste de datos. Se realizaron las pruebas de bondad de ajuste; Índice de Ajuste Comparativo (CFI), Chi-Cuadrado, Índice Tucker Lewis y el valor p.
Conflictos de interés
Este estudio es un producto derivado del proyecto Construcción de Perfiles Neurocognitivos del Trastorno Específico del Aprendizaje (0502029969), no presenta ningún tipo de conflicto de interés.
RESULTADOS
La Tabla 1 presenta el resumen de estadísticos descriptivos de la caracterización de los participantes analizados. La muestra en esta investigación estuvo conformada por 114 participantes con diagnóstico de DS, 71 hombres y 43 mujeres (71 > 43). La edad media para ambos sexos fue similar (Medad =9,3), al igual que la desviación estándar (SDedad=2,1), lo que indica una baja dispersión en la edad de la muestra empleada. La mayoría de participantes eran diestros (hombres 65, mujeres 36), la cantidad de participantes con lateralidad zurda fue igual para ambos sexos (6 hombres y 6 mujeres), solo una participante mujer era ambidiestra. El nivel de escolaridad osciló desde primero de primaria hasta onceavo grado de bachillerato. El 98 % de los participantes bajo estudio presentaron retrasos en las áreas del desarrollo (antes de iniciar la escolarización evidenciaron de manera precoz dificultades en el control motor, déficit en la coordinación inter-sensorial, pobre expresión y comprensión de vocabulario) y riesgo neurológico (antecedentes obstétricos), el 1 % manifestó riesgo neurológico sin retrasos en las áreas del desarrollo y el 1 % sin riesgo neurológico ni retrasos en las áreas del desarrollo (ver Tabla 1).

Los retrasos en las áreas del desarrollo se asocian a anomalías funcionales del cerebro, se presentan en una etapa precoz, pueden ser causados por problemas genéticos/hereditarios, exposición a elementos tóxicos durante el embarazo, infecciones u otras alteraciones como parto prematuro (Herbón et al., 2015; Taboada Ares et al., 2020). El riesgo neurológico genera dificultades para alcanzar los hitos del desarrollo esperados en determinada edad cronológica (Alarcón Prieto et al., 2020).
En la Tabla 2 se presenta los descriptores de las variables evaluadas, la media (M) de las subpruebas de fluidez fonológica, fluidez semántica, repetición de pseudopalabras y semejanzas fue inferior a la marca de clase del rango de variación de las puntuaciones obtenidas. La muestra evaluada tuvo un rendimiento por debajo de la media poblacional en las tareas de nombrado rápido (fluencia verbal), denominación, repetición de frases y pseudopalabras. Las puntuaciones obtenidas en las subpruebas del WISC-IV se encuentran dentro de la media poblacional con una tendencia al límite inferior (ver Tabla 2).

Para la realización del MEE se siguieron los pasos establecidos en Escobedo- Portillo et al. (2016), los cuales se detallan a continuación. Paso 1: Se estableció la relación hipotética entre las variables latentes (F_F: Fluidez Fonológica, F_S: Fluidez Semántica, R_F: Repetición de Frases, R_P: Repetición de Pseudopalabras, Dnm: Denominación, C_V: Comprensión Verbal) y las observadas (puntuaciones de las subpruebas V1-V11). Paso 2: Se estimaron los parámetros del modelo (covarianzas muestrales) y los errores de medición haciendo uso de software RCran 4.0.4. Paso 3: Se evaluó el ajuste del MEE con medidas de parsimonia (estadístico de Chi-cuadrado, Índice CFI e índice Tucker Lewis) y paso 4: Se interpretaron los datos para aceptar o rechazar las hipótesis planteadas.
El método de estimación empleado fue el basado en covarianzas, los criterios de aceptación para evaluar el ajuste del MEE fueron los siguientes: estadístico de Chi-cuadrado (χ²) > 3,84, valor p > 0,05 índice CFI y TLI > 0,5. La normalidad se evaluó con la prueba de Kolmogorov Smirnov debido a que el tamaño de muestra N > 50, (D = 0,216, p-value = 0,137), lo que permitió aceptar la hipótesis nula de normalidad. En la Tabla 3 se presenta la matriz de correlación entre las variables observadas, se puede apreciar que la relación entre algunas variables fue positiva y directa.

Para la construcción del MEE se empleó la librería LAVAAN, el modelo convergió después 125 iteraciones (Apéndice A). El número de grados de libertad del MEE fue 32, el estadístico de Chi-cuadrado fue mayor a 589, definiendo un modelo adecuado. El índice CFI=0,959 > 0,5, al igual que el índice Tucker Lewis TLI=0,929 > 0,5, lo que indica la pertinencia del MEE. El valor P(>|Z|) de todos los indicadores sugiere significación. En resumen, el modelo desarrollado fue válido para identificar relaciones entre los componentes del LG en escolares con diagnóstico de DS. La Figura 1 presenta el diagrama del MEE desarrollado.

Nota. F_F: Fluidez Fonológica, F_S: Fluidez Semántica, R_F: Repetición de Frases, R_P: Repetición de Pseudopalabras, Dnm: Denominación, C_V: Comprensión Verbal. El valor numérico encima de las flechas con doble sentido indica el valor de la covarianza. Las variables encerradas entre rectángulos indican las variables observadas, las variables encerradas entre óvalos indican variables latentes.
La Tabla 4 presenta los criterios de decisión según los resultados del MEE, se establecieron hipótesis relacionales entre los componentes del LG (fluencia verbal, repetición de frases, denominación, repetición de pseudoplabras, semejanzas, comprensión y vocabulario) para identificar las características de este proceso neurocognitivo en las personas con DS.

DISCUSIÓN
La DS se presenta con mayor prevalencia en hombres (Arnett et al., 2017), esta afirmación se avala con la muestra analizada en esta investigación (N=114), en la cual la cantidad de hombres (n = 71) fue superior a la de mujeres (n = 43). Los niños con riesgo neurológico o antecedentes familiares de DS, tienen un mayor riesgo de presentar este TN (Shaw et al., 2019). El 98 % de la muestra evaluada, en su historial clínico reportó riesgo neurológico y retrasos en la evolución sucesiva de las áreas del desarrollo, estos antecedentes son coherentes con hallazgos que señalan retrasos cognitivos y motores durante el período preescolar que anteceden el diagnóstico de DS (Marchand-Krynski et al., 2018; Singh et al., 2018); a nivel del LG se ha planteado que existen problemas en la pronunciación, dificultad para comprender cuestionamientos y órdenes sencillas, lento desarrollo en la adquisición de morfemas-frases y pobre expresión de deseos y necesidades a través del LG oral (Adlof & Hogan, 2018). A nivel motor, pueden presentar torpeza motriz gruesa y fino-adaptativa, evitación de actividades construccionales como dibujar y hacer trazos (Marchand-Krynski et al., 2017).
Los resultados de las pruebas estandarizadas aplicadas indican una relación entre las deficiencias fonológicas y la DS, hallazgo acorde con algunas investigaciones que han propuesto el déficit fonológico como un predictor de este trastorno (Artuso et al., 2021; Vender & Melloni, 2021). Los estadísticos descriptivos de las subpruebas aplicadas, evidencian el déficit fonológico en la muestra evaluada, presentan un rendimiento por debajo de la media poblacional en las tareas de fluidez verbal, denominación de objetos, repetición de frases y pseudopalabras. La DS genera alteraciones en la velocidad del procesamiento fonológico (Acha, 2016).
De acuerdo a los resultados del MEE las hipótesis planteadas en esta investigación fueron aceptadas. En personas con DS, a menor fluidez fonológica menor fluidez semántica; este resultado coincide con lo planteado en la investigación realizada por Paz-Alonso et al. (2018), quienes compararon las respuestas de activación neuronal del hemisferio izquierdo en personas con DS y lectores típicos a partir de imágenes de resonancia magnética; señalaron que la fluidez semántica y fonológica fue menor en personas con DS. Igualmente, Van Rijthoven, et al. (2018) encontraron una correlación positiva y directa entre fluidez semántica y fonológica, midiendo tareas de supresión e intercambio de fonemas.
En los participantes analizados a partir de las pruebas psicométricas suministradas se identificó que a menor fluidez fonológica menor es la repetición de pseudopalabras; este hallazgo concuerda con la investigación realizada por Ehrhorn et al. (2020), donde evaluaron 160 niños, divididos en cuatro grupos (desarrollo típico, DS, trastorno de desarrollo del LG y DS-trastorno de desarrollo del LG), midieron la capacidad de repetición de pseudopalabras, encontrando que los puntajes bajos en las tareas de repetición se asocian a deficiencias en la fluidez fonológica en personas con DS. Estos resultados coinciden con los hallazgos del estudio realizado por Loucas et al. (2016), quienes evidenciaron una relación directa entre los déficits en la repetición de pseudopalabras y la fluidez fonológica (Cunningham et al., 2021; Nora et al., 2021; Alt et al., 2021; Schraeyen et al., 2019).
En personas con DS, a menor fluidez fonológica menor repetición de frases; las deficiencias en la fluidez fonológica afectan la decodificación, gramática, semántica y discurso narrativo. Este hallazgo concuerda con el estudio realizado por Barbieri et al., (2016), quienes evaluaron 120 niños divididos en dos grupos; 60 con trastorno del LG y 60 sin esta condición clínica. Se reflejó que la muestra con este trastorno presentó un desempeño bajo en las competencias lingüísticas y lectoras, evidenciando alteraciones en la repetición de frases, fluidez fonológica y habilidad lectora. La aceptación de la H4, permite establecer una relación entre las deficiencias en la fluidez fonológica y la denominación del LG en personas con DS. En la investigación ejecutada por Landerl et al., (2018), evaluaron a 1120 niños de diferentes países, señalaron que la denominación del LG es el factor que identifica las deficiencias en la fluidez fonológica. Este hallazgo concuerda con otras investigaciones que demuestran un bajo rendimiento en las tareas de denominación en personas con DS (Cancer & Antonietti, 2018; da Silva et al., 2020; Layes et al., 2020).
A menor fluidez fonológica menor comprensión verbal (H5). El estudio de Price et al. (2021), enfocado a comprender las dificultades del LG, analizó una muestra de 323 niños con diagnóstico de DS; aplicaron pruebas psicométricas, las puntuaciones de comprensión verbal, señalaron la existencia de deficiencias en el habla preexistentes antes de iniciar la etapa de escolarización, afectando posteriormente la adquisición de competencias académicas (fluidez y comprensión lectora).
CONCLUSIONES
La mayoría de personas con DS presentan riesgo neurológico y retrasos en las áreas del desarrollo. Las deficiencias en la fluidez fonológica son un predictor de esta condición clínica. En las personas con DS existen alteraciones en la repetición del LG, generando problemas gramaticales, comprensivos y semánticos. Los hallazgos de esta investigación permiten evidenciar que existe una relación directa entre DS y déficits fonológicos. En los procesos de intervención neuropsicológica de la DS es importante incluir tareas de estimulación fonológica para facilitar el progreso escolar de esta población. Los alcances de los resultados presentados en esta investigación se limitan a niños y adolescentes con DS de habla hispana; esta condición clínica tiene variantes sintomatológicas propias de cada idioma. En conclusión, los hallazgos de esta investigación sugieren que la DS genera déficit en los componentes del LG, es posible que este perfil neurocognitivo tenga variaciones en otros grupos poblacionales que estudien la comorbilidad de la DS con TN como los trastornos de la comunicación y el Trastorno por Déficit de Atención con Hiperactividad, convirtiéndose en la principal limitante de este estudio.
Agradecimientos:
A la doctora Natalia Gómez Muñoz por su ayuda en la evaluación de los participantes.
REFERENCIAS
Acha, J. (2016). Hacia un modelo multidimensional de los trastornos del lenguaje y de la lectura: Déficits compartidos y específicos. Revista de investigación en logopedia, 6(2), 107-141. https://ruidera.uclm.es/xmlui/handle/10578/11491
Adlof, S. M., & Hogan, T. P. (2018). Understanding dyslexia in the context of developmental language disorders. Language, Speech, and Hearing Services in Schools, 49(4), 762-773. https://doi.org/10.1044/2018_LSHSS-DYSLC-18-0049
Aguado, G., Ripoll, J. C., Tapia, M. M., y Gibson, M. (2018). Marcadores del trastorno específico del lenguaje en español: Comparación entre la repetición de oraciones y la repetición de pseudopalabras. Revista de Logopedia, Foniatría y Audiología, 38(3), 105-112. https://doi.org/10.1016/j.rlfa.2018.04.003
Alarcón Prieto, M. F., Gallo García, D. F., & Rincón Lozada, C. F. (2020). Riesgos prenatales, perinatales y neonatales asociados a signos neurológicos blandos. Revista Cubana de Pediatría, 92(1), 1-21. https://doi.org/http://scielo.sld.cu/scielo. php?script=sci_arttext&pid=S0034-75312020000100003&lng=es&tlng=en
Alt, M., Fox, A., Levy, R., Hogan, T. P., Cowan, N., & Gray, S. (2021). Phonological working memory and central executive function differ in children with typical development and dyslexia. Dyslexia, 28(1), 20-39. https://doi.org/10.1002/ dys.1699
American Psychiatric Association APA. (2013). Manual Diagnóstico y Estadístico de los Trastornos Mentales DSM-5 (5a. Ed.). Madrid: Editorial Médica Panamericana.
Ardila, F., y Rosselli, M. (2007). Neuropsicología clínica. Manual Moderno.
Arnett, A. B., Pennington, B. F., Peterson, R. L., Willcutt, E. G., DeFries, J. C., & Olson, R. K. (2017). Explaining the sex difference in dyslexia. Journal of Child Psychology and Psychiatry, 58(6), 719-727. https://doi.org/10.1111/jcpp.12691
Artuso, C., Borgatti, R., & Palladino, P. (2021). Phonological memory updating and developmental dyslexia: The role of long-term knowledge. Child Neuropsychology, 27(6), 718-733. https://doi.org/10.1080/09297049.2021.1888907
Barbieri, F., Kruszewski, G., Ronzano, F., & Saggion, H. (2016). How Cosmopolitan Are Emojis? Exploring Emojis Usage and Meaning over Different Languages with Distributional Semantics. Proceedings of the 24th ACM International Conference on Multimedia, 531-535. https://doi.org/10.1145/2964284.2967278
Bohórquez Montoya, L. F., Cabal Álvarez, M. A., y Quijano Martínez, M. C. (2014). La comprensión verbal y la lectura en niños con y sin retraso lector. Pensamiento Psicológico, 12(1), 169-182. https://doi.org/10.11144/javerianacali.ppsi12-1.cvln
Butterfuss, R., & Kendeou, P. (2018). The role of executive functions in reading comprehension. Educational Psychology Review, 30(3), 801-826. https://doi.org/10.1007/s10648-017-9422-6
Cancer, A., & Antonietti, A. (2018). Rapid automatized naming, verbal working memory, and rhythm discrimination as predictors of reading in italian undergraduate students with and without dyslexia. Brain Sciences, 8(5), 1-14. https://doi.org/10.3390/brainsci8050087
Carballal Mariño, M., Gago Ageitos, A., Ares Álvarez, J., del Río Garma, M., García Cendón, C., Goicoechea Castaño, A., & Peña Nieto, J. (2018). Prevalencia de trastornos del neurodesarrollo, comportamiento y aprendizaje en Atención Primaria. Anales de Pediatría, 89(3), 153-161. https://doi.org/10.1016/j.anpedi.2017.10.007
Chávez-Oliveros, M., Rodríguez-Agudelo, Y., Acosta-Castillo, I., García-Ramírez, N., Rojas de la Torre, G., y Sosa-Ortiz, A. L. (2015). Fluidez verbal-semántica en adultos mayores mexicanos: Valores normativos. Neurología, 30(4), 189-194. https://doi. org/10.1016/j.nrl.2013.12.013
Cunningham, A. J., Burgess, A. P., Witton, C., Talcott, J. B., & Shapiro, L. R. (2020). Dynamic relationships between phonological memory and reading: A five-year longitudinal study from age 4 to 9. Developmental Science, 24(1), 1-18. https://doi.org/10.1111/desc.12986
da Silva, P. B., Engel de Abreu, P. M. J., Laurence, P. G., Nico, M. Â. N., Simi, L. G. V., Tomás, R. C., & Macedo, E. C. (2020). Rapid automatized naming and explicit phonological processing in children with developmental dyslexia: A study with portuguese-speaking children in brazil. Frontiers in Psychology, 11, 1-13 https://doi.org/10.3389/fpsyg.2020.00928
De la Calle, A. M., Aguilar, M., y Navarro, J. I. (2016). Desarrollo evolutivo de la conciencia fonológica: ¿Cómo se relaciona con la competencia lectora posterior? Revista de investigación en logopedia , 6(1), 22-41. https://doi.org/10.5209/ rlog.58553
De Vos, A., Vanvooren, S., Ghesquière, P., & Wouters, J. (2020). Subcortical auditory neural synchronization is deficient in pre-reading children who develop dyslexia. Developmental Science , 23(6), 1-16. https://doi.org/10.1111/desc.12945
Di Liberto, G. M., Peter, V., Kalashnikova, M., Goswami, U., Burnham, D., & Lalor, E. C. (2018). Atypical cortical entrainment to speech in the right hemisphere underpins phonemic deficits in dyslexia. NeuroImage, 175, 70-79. https://doi.org/10.1016/j.neuroimage.2018.03.072
Downing, C., & Caravolas, M. (2020). Prevalence and cognitive profiles of children with comorbid literacy and motor disorders. Frontiers in Psychology , 11:573-580. https://doi.org/10.3389/fpsyg.2020.573580
Ehrhorn, A. M., Adlof, S. M., Fogerty, D., & Laing, S. (2020). Probing phonological processing differences in nonword repetition for children with separate or co-occurring dyslexia and developmental language disorder. Scientific Studies of Reading, 25(6), 486-503. https://doi.org/10.1080/10888438.2020.1849223
Escobedo Portillo, M. T., Hernández Gómez, J. A., Estebané Ortega, V., y Martínez Moreno, G. (2016). Modelos de ecuaciones estructurales: Características, fases, construcción, aplicación y resultados. Ciencia & trabajo, 18(55), 16-22. https://scielo.conicyt.cl/pdf/cyt/v18n55/art04.pdf
Fávero, L. P., & Belfiore, P. (2019). Sampling. In Data Science for Business and Decision Making (pp. 169-188). Academic Press. http://doi.org/10.1016/b978-0-12- 811216-8.00007-0
Fay, M. A., Leiva, S., & Margulis, L. (2018). Test de Denominación de Boston: rendimiento de jóvenes adultos de la ciudad autónoma de Buenos Aires. Anuario de Investigaciones, XXV, 343-351. http://www.bivipsi.org/wp-content/uploads/fay.pdf
Fiuza Asorey, M. J., y Fernández Fernández, M. P. (2014). Dificultades de aprendizaje y trastornos del desarrollo. Madrid. Ediciones Pirámide.
Fogel, Y., Josman, N., & Rosenblum, S. (2021). Exploring the Impacts of Environmental Factors on Adolescents’ Daily Participation: A Structural Equation Modelling Approach. International Journal of Environmental Research and Public Health, 18(1), 142. https://doi.org/10.3390/ijerph18010142
Giofrè, D., Toffalini, E., Provazza, S., Calcagnì, A., Altoè, G., & Roberts, D. J. (2019). Are children with developmental dyslexia all the same? A cluster analysis with more than 300 cases. Dyslexia , 25(3). https://doi.org/10.1002/dys.1629
González Seijas, R. M., Cuetos Vega, F., López Larrosa, S., y Vilar Fernández, J. (2017). Efectos del entrenamiento en conciencia fonológica y velocidad de denominación sobre la lectura. Un estudio longitudinal. Estudios Sobre Educación, 32, 155-177. https://doi.org/10.15581/004.32.155-177
Gutiérrez Fresneda, R. (2017). Efectos de la lectura compartida y la conciencia fonológica para una mejora en el aprendizaje lector. Revista Complutense de Educación, 29(2), 441-454. https://doi.org/10.5209/rced.52790
Guzmán C., M. L., Guzmán C., S. F., Guzmán, M. E., Marín, F., Remolcois, E., Gallardo, A., Rozas, N., Urra, E., & Rojas, F. (2015). Trastornos del desarrollo en niños y adolescentes de la región de Los Ríos, Valspania, Chile, 2006-2008. Revista Chilena de Pediatría, 86(5), 345-350. https://doi.org/10.1016/j.rchipe.2015.04.028
Herbón, F., Garibotti, G., y Moguilevsky, J. (2015). Predicción temprana del resultado neurológico a los 12 meses en neonatos de riesgo en Bariloche. Anales de Pediatría , 83(2), 123-129. https://doi.org/10.1016/j.anpedi.2014.10.009
Kariyawasam, R., Nadeeshani, M., Hamid, T., Subasinghe, I., & Ratnayake, P. (2019). A gamified approach for screening and intervention of dyslexia, dysgraphia and dyscalculia. 2019 International Conference on Advancements in Computing (ICAC), 156-161. http://doi.org/10.1109/icac49085.2019.9103336
Knight, C., & Crick, T. (2021). The assignment and distribution of the dyslexia label: Using the UK Millennium Cohort Study to investigate the socio-demographic predictors of the dyslexia label in England and Wales. PLOS ONE, 16(8), e0256114. https://doi.org/10.1371/journal.pone.0256114
Knoop-van Campen, C. A. N., Segers, E., & Verhoeven, L. (2018). How phonological awareness mediates the relation between working memory and word reading efficiency in children with dyslexia. Dyslexia , 24(2), 156-169. https://doi.org/10.1002/dys.1583
Kuuluvainen, S., Leminen, A., & Kujala, T. (2016). Auditory evoked potentials to speech and nonspeech stimuli are associated with verbal skills in preschoolers. Developmental Cognitive Neuroscience, 19, 223-232. https://doi.org/10.1016/j. dcn.2016.04.001
Landerl, K., Freudenthaler, H. H., Heene, M., De Jong, P. F., Desrochers, A., Manolitsis, G., Parrila, R., & Georgiou, G. K. (2018). Phonological awareness and rapid automatized naming as longitudinal predictors of reading in five alphabetic orthographies with varying degrees of consistency. Scientific Studies of Reading , 23(3), 220-234. https://doi.org/10.1080/10888438.2018.1510936
Layes, S., Lalonde, R., & Rebai, M. (2020). Reading-related abilities underlying phonological awareness: A cross-sectional study in children with and without dyslexia. Logopedics Phoniatrics Vocology, 46(3), 110-117. https://doi.org/10.1080/14015439.2020.1768283
Lizarazu, M., Scotto di Covella, L., van Wassenhove, V., Rivière, D., Mizzi, R., Lehongre, K., Hertz-Pannier, L., & Ramus, F. (2021). Neural entrainment to speech and nonspeech in dyslexia: Conceptual replication and extension of previous investigations. Cortex, 137, 160-178. https://doi.org/10.1016/j.cortex.2020.12.024
Loucas, T., Baird, G., Simonoff, E., & Slonims, V. (2016). Phonological processing in children with specific language impairment with and without reading difficulties. International Journal of Language & Communication Disorders, 51(5), 581-588. https://doi.org/10.1111/1460-6984.12225
Lonergan, A., Doyle, C., Cassidy, C., MacSweeney Mahon, S., Roche, R. A., Boran, L., & Bramham, J. (2019). A meta-analysis of executive functioning in dyslexia with consideration of the impact of comorbid ADHD. Journal of Cognitive Psychology, 31(7), 725-749. https://doi.org/10.1080/20445911.2019.1669609
Luque, J. L., Giménez, A., Bordoy, S., y Sánchez, A. (2016). De la teoría fonológica a la identificación temprana de las dificultades específicas de aprendizaje de la lectura. Revista de Logopedia, Foniatría y Audiología , 36(3), 142-149. https://doi.org/10.1016/j.rlfa.2015.10.001
Manterola, C., Quiroz, G., Salazar, P., y García, N. (2019). Metodología de los tipos y diseños de estudio más frecuentemente utilizados en investigación clínica. Revista Médica Clínica Las Condes, 30(1), 36-49. https://doi.org/10.1016/j.rmclc.2018.11.005
Marchand-Krynski, M. È., Bélanger, A. M., Morin-Moncet, O., Beauchamp, M. H., & Leonard, G. (2018). Cognitive predictors of sequential motor impairments in children with dyslexia and/or attention deficit/hyperactivity disorder. Developmental Neuropsychology, 43(5), 430-453. https://doi.org/10.1080/87565641.2018.1467421
Marchand-Krynski, M. È., Morin-Moncet, O., Bélanger, A. M., Beauchamp, M. H., & Leonard, G. (2017). Shared and differentiated motor skill impairments in children with dyslexia and/or attention deficit disorder: From simple to complex sequential coordination. PloS one, 12(5), e0177490. https://doi.org/10.1371/journal.pone.0177490
Mejía Villalobos, A. S., y Jackson-Maldonado, D. (2017). Procesos fonológicos en una prueba de repetición de no-palabras en niños con trastorno específico del lenguaje. Revista de Logopedia, Foniatría y Audiología , 37(4), 188-197. https://doi.org/10.1016/j.rlfa.2017.06.002
Mengisidou, M., & Marshall, C. R. (2019). Deficient Explicit Access to Phonological Representations Explains Phonological Fluency Difficulties in Greek Children with Dyslexia and/or Developmental Language Disorder. Frontiers in Psychology , 10(638), 1-16. https://doi.org/10.3389/fpsyg.2019.00638
Mundy, I. R., & Hannant, P. (2020). Exploring the phonological profiles of children with reading difficulties: A multiple case study. Dyslexia , 26(4), 411-426. https://doi.org/10.1002/dys.1667
Muñoz Aveiga, E. D. L., Alcivar Ruiz, C. B., Solórzano, Y. D., Salazar Guerra, Y. I., Franco Solórzano, L. V., Moreira Cedeño, B. J., & Suárez García, J. O. (2018). Caracterización sociodemográfica de niños con trastornos específicos del aprendizaje. Revista Iberoamericana de Psicología, 11(2), 1-8. https://doi.org/10.33881/2027-1786.rip.11201
Nora, A., Renvall, H., Ronimus, M., Kere, J., Lyytinen, H., & Salmelin, R. (2021). Children at risk for dyslexia show deficient left-hemispheric memory representations for new spoken word forms. NeuroImage, 229(117739), 1-11. https://doi.org/10.1016/j.neuroimage.2021.117739
Paz-Alonso, P. M., Oliver, M., Lerma-Usabiaga, G., Caballero-Gaudes, C., Quiñones, I., Suárez-Coalla, P., Duñabeitia, J. A., Cuetos, F., & Carreiras, M. (2018). Neural correlates of phonological, orthographic and semantic reading processing in dyslexia. NeuroImage: Clinical, 20, 433-447. https://doi.org/10.1016/j.nicl.2018.08.018
Portellano Pérez, J. A., & Martínez Arias., R. (2020). TFV. Test de Fluidez Verbal. Madrid: TEA.
Price, K. M., Wigg, K. G., Misener, V. L., Clarke, A., Yeung, N., Blokland, K., Wilkinson, M., Kerr, E. N., Guger, S. L., Lovett, M. W., & Barr, C. L. (2021). Language difficulties in school-aged children with developmental dyslexia. Journal of Learning Disabilities, 1-13. https://doi.org/10.1177/00222194211006207
Raghuram, A., Hunter, D. G., Gowrisankaran, S., & Waber, D. P. (2019). Self-reported visual symptoms in children with developmental dyslexia. Vision research, 155, 11-16. https://doi.org/10.1016/j.visres.2018.11.007
Rosselli, M., Matute, E., Ardila, A., Botero-Gómez, V. E., Tangarife-Salazar, G. A., Echevarría-Pulido, S. E., Arbeláez-Giraldo, C., Mejía-Quintero, M., MéndezLosado, L. C., Villa-Hurtado, P. C., y Ocampo-Agudelo, P. (2004). Evaluación Neuropsicológica Infantil (ENI): Batería para la evaluación de niños entre 5 y 16 años de edad. Estudio normativo colombiano. Revista de Neurología , 38(08), 720. https://doi.org/10.33588/rn.3808.2003400
Sánchez-Domenech, I. (2018). Reinterpretando la Dislexia. Propuesta diferenciadora para una neurodidáctica inclusiva. Revista Iberoamericana de Educación, 78(1), 127-147. https://doi.org/10.35362/rie7813226
Schraeyen, K., Van der Elst, W., Geudens, A., Ghesquière, P., & Sandra, D. (2019). Short-term memory problems for phonemes’ serial order in adults with dyslexia: Evidence from a different analysis of the Nonword repetition task. Applied Psycholinguistics, 40(03), 613-644. https://doi.org/10.1017/s0142716418000759
Shaw, J. C., Berry, M. J., Dyson, R. M., Crombie, G. K., Hirst, J. J., & Palliser, H. K. (2019). Reduced neurosteroid exposure following preterm birth and its’ contribution to neurological impairment: A novel avenue for preventative therapies. Frontiers in Physiology, 10, 1-17. https://doi.org/10.3389/fphys.2019.00599
Singh, S., Walk, A. M., & Conway, C. M. (2018). Atypical predictive processing during visual statistical learning in children with developmental dyslexia: an event-related potential study. Annals of Dyslexia , 68(2), 165-179. https://doi.org/10.1007/s11881-018-0161-2
Snowling, M. J., Hulme, C., & Nation, K. (2020). Defining and understanding dyslexia: past, present and future. Oxford Review of Education, 46(4), 501-513. https://doi.org/10.1080/03054985.2020.1765756
Suárez-Yepes, N., Sourdis, M., Lewis Harb, S., y De los Reyes-Aragón, C. J. (2019). Efecto de un programa de estimulación de la conciencia fonológica en niños preescolares: Sensibilidad a la rima y a la segmentación. Psicogente, 22(42), 1-19. https://doi.org/10.17081/psico.22.42.3508
Taboada Ares, E. M., Iglesias Souto, P. M., López Gómez, S., y Rivas Torres, R. M. (2020). Las dificultades neuroevolutivas como categoría comprensiva de las dificultades de aprendizaje en niños con retraso del desarrollo: Una revisión sistemática. Anales de Psicología, 36(2), 271-282. https://doi.org/10.6018/analesps.347741
Vacas, J., Antolí, A., Sánchez-Raya, A., y Cuadrado, F. (2020). Análisis de Perfiles Cognitivos en Población Clínica Infantil con Trastornos del Neurodesarrollo. Revista Iberoamericana de Diagnóstico y Evaluación - e Avaliação Psicológica, 54(1), 35-46. https://doi.org/10.21865/ridep54.1.03
Van Rijthoven, R., Kleemans, T., Segers, E., & Verhoeven, L. (2018). Beyond the phonological deficit: Semantics contributes indirectly to decoding efficiency in children with dyslexia. Dyslexia , 24(4), 309-321. https://doi.org/10.1002/dys.1597
Vender, M., & Melloni, C. (2021). Phonological awareness across child populations: How bilingualism and dyslexia interact. Languages, 6(1), 1-20. https://doi.org/10.3390/languages6010039
Wagner, R. K., Zirps, F. A., Edwards, A. A., Wood, S. G., Joyner, R. E., Becker, B. J., Liu, G., & Beal, B. (2020). The prevalence of dyslexia: a new approach to its estimation. Journal of Learning Disabilities , 53(5), 354-365. https://doi.org/10.1177/0022219420920377
Wechsler, D. (2005). WISC-IV: Escala de Inteligencia de Wechsler para Niños-IV. Madrid: TEA .
Notas