Estudo de Caso
Vergonha e segredo no contexto da família com um membro no cárcere
Shame and secrecy in the familial context with a relative in prison
Vergüenza y secreto en el contexto de la familia con un miembro en la cárcel
Vergonha e segredo no contexto da família com um membro no cárcere
Revista Família, Ciclos de Vida e Saúde no Contexto Social, vol. 8, núm. 4, pp. 952-959, 2020
Universidade Federal do Triângulo Mineiro

Recepción: 09 Julio 2019
Aprobación: 04 Abril 2020
Resumo: Este é um estudo de caso realizado com uma mulher de 25 anos, durante o primeiro semestre de 2019, cujo objetivo é compreender o surgimento e a manutenção de segredos familiares envolvidos pelo sentimento de vergonha quando o cárcere se torna uma demonstração da situação de vulnerabilidade social. Foi realizada uma entrevista com roteiro semiestruturado para elaboração dos instrumentos: Genograma, Ecomapa e Ciclo Vital da entrevistada e de sua família. A descrição do caso se deu em dois aspectos: Período anterior ao delito, o delito e a prisão; e, Relações com familiares e amigos. Verificou-se que o sentimento de vergonha diante da prisão, a organização de segredos intrafamiliar e a incerteza da manutenção desse segredo ao longo da vida. Destarte, a comunicação se apresentou como complicadora dos processos de resiliência na família.
Palavras-chave: Confidencialidade, Vergonha, Prisões, Relações familiares.
Abstract: This is a case study, conducted with a 25-year-old woman during the first semester of the year of 2019. This study aimed to understand the emergence and maintenance of family secrets related to feelings of shame when prison becomes a demonstration of a situation of social vulnerability. An interview was carried out with a semi-structured script for the preparation of the instruments: Genogram, Ecomap and Life Cycle of the interviewee and her family. The case was described in two aspects: Period prior to offense, the offense and the arrest; and Relations with family and friends. It was found that feelings of shame in the face of prison, the organization of intra-family secrets and the uncertainty of maintaining this secret throughout life. Thus, communication presented itself as a hindrance to resilience processes in the family.
Keywords: Confidentiality, Shame, Prisons, Family relations.
Resumen: Este es un estudio de caso realizado con una mujer de 25 años durante el primer semestre de 2019, cuyo objetivo es comprender la aparición y el mantenimiento de los secretos familiares que conlleva el sentimiento de vergüenza cuando el encarcelamiento se convierte en una demostración de la situación de vulnerabilidad social. Se realizó una entrevista con un guion semiestructurado para la elaboración de los instrumentos: Genograma, Ecomapa y Ciclo Vital de la entrevistada y de su familia. La descripción del caso tuvo lugar en dos aspectos: Período anterior al crimen, el crimen y el arresto; y, Relaciones con familiares y amigos. Se observó el sentimiento de vergüenza ante la prisión, la organización de los secretos intrafamiliares y la incertidumbre de mantener este secreto a lo largo de la vida. Así, la comunicación se presentó como un obstáculo para los procesos de resiliencia en la familia.
Palabras clave: Confidencialidad, Vergüenza, Prisiones, Relaciones familiares.
INTRODUÇÃO
A probabilidade de uma família se perceber diante de eventos estressores inesperados aumenta quando esta se encontra em situações de vulnerabilidade social, como a reclusão de um de seus membros em uma penitenciária após infringir a lei. Nesses momentos, a família recebe demandas que parecem superar os recursos psicossociais dos quais dispõem. Sendo assim, o acúmulo de estressores pode dificultar o processo de reorganização familiar01.
Neste contexto, a estrutura das fronteiras familiares tende a variar de forma a se tornar mais ou menos permeável para atender as necessidades da família com o passar do tempo. A percepção que ela tem de si mesma e do seu contexto também tende a se transformar e, ao enfrentar situações de estresse, as famílias ativam recursos de que dispõem na tentativa de manejá-las01.
Quando preciso, a família dispõe de importantes recursos para promover a sua resiliência diante de fatores estressores como: estrutura, sistema de crenças e processos de comunicação. A comunicação é fator predominante que facilita a resiliência, proporcionando clareza a situações de crise e abertura para a expressão das emoções, além de contribuir com formas colaborativas de resolução de problemas. Dessa forma, é fácil compreender como a presença de segredos pode ser prejudicial à resiliência familiar01.
Tendo isso em vista, qualquer informação omitida que diz respeito aos demais membros da família ou que os influencia diretamente pode ser entendido como segredo familiar. Diferentemente de privacidade, cujo conteúdo diz respeito apenas àquele que o guarda, não sendo considerado importante para a vida, escolhas ou desenvolvimento dos demais01.
Da mesma forma que cada grupo familiar apresenta sua maneira particular de significar determinados acontecimentos, cada indivíduo também atribui significado a alguns fatos a partir de concepções singulares. Assim, os conteúdos que se misturam entre os membros de uma mesma unidade familiar podem perpassar gerações. Isto pode ser denominado, de acordo com a abordagem sistêmica, de mitos familiares02.
Os mitos familiares constituem o sistema de crenças que representam a base da identidade familiar, servindo de equilíbrio e fortalecimento dos papéis sociais de cada membro. Também servem como proteção da manutenção da família quando esta esconde uma realidade que não se quer encarar a partir de um segredo, ou seja, o silêncio encobre uma determinada situação negativa e, portanto, vai contra os mitos e as crenças da família02.
Tais situações negativas, como transgressão à ordem social, de vulnerabilidade e de crise, também podem possibilitar o surgimento do sentimento de vergonha. Como sendo um afeto relacionado à moralidade, regulador social do comportamento humano, aparece quando o ato transgressivo é exposto ao olhar do outro. É um sentimento da ordem do público, de tamanho diretamente proporcional à importância dada a quem testemunhou o ato ou pode por ele ser influenciado. A vergonha aponta para uma falha na imagem do sujeito, uma falha fixa, decisiva03.
Diferentemente da culpa, que pode ser esquecida ao evitar o contato com a dor que a gerou, a vergonha não pode ser simplesmente esquecida. O destino para esse sentimento é o uso de estratégias como o “soterramento” e o “encobrimento” daquilo que a provoca. A partir desse encobrimento, inicia-se um movimento de se esconder, de não poder arriscar mostrar uma imagem desqualificada de si03.
Sobre esse fenômeno, denota-se o próprio conflito com que as pessoas presas lidam nas suas relações familiares, no qual o segredo tem a função de proteger e preservar a família da vergonha e desonra. Assim, o problema desta pesquisa diz respeito a como o cárcere posiciona o grupo familiar em uma situação de vulnerabilidade e transforma a dinâmica desse grupo através do surgimento de sentimentos como o de vergonha e das práticas de segredos entre seus membros. Supõe-se que estes aspectos da comunicação familiar tornam mais difícil a convivência e o fortalecimento dos laços afetivos nos sistemas e subsistemas familiares.
Destarte, o presente trabalho tem como objetivo compreender o surgimento e a manutenção de segredos familiares envolvidos pelo sentimento de vergonha quando o cárcere se torna uma demonstração da situação de vulnerabilidade social.
MÉTODO
Este é um estudo de caso realizado durante o primeiro semestre do ano de 2019, com critério de seleção amostral a procura por mulher(es) cumprindo ou que já tivessem concluído a sua pena.
Durante a entrevista, os instrumentos de avaliação utilizados foram uma entrevista estruturada para coleta de dados sociodemográficos; uma entrevista semiestruturada para coleta de informações a respeito de sua história de vida, resgatando momentos de sua trajetória antes da prisão, bem como compreendendo sua concepção de futuro.
Em termos de apresentação, organização e análise de dados utilizou-se: o Ecomapa, representando graficamente a intensidade do vínculo entre a participante e os membros de sua família, identificando as estruturas sociais do meio em que habita e, de modo geral, o sistema ecológico da família; o Genograma, construído para analisar as relações e organização hierárquica familiares e de amizades antes e após o momento da prisão. E o Ciclo Vital, que corresponde aos momentos da vida do indivíduo de grande impacto psíquico, para se compreender melhor a dinâmica estabelecida entre o sujeito em questão e esses momentos marcantes04.
Para a proteção da entrevistada se utilizará a letra A. O projeto foi aprovado pelo Comitê de Ética em Pesquisa em conformidade com as Resoluções nº 446/12 e nº 510/16. Conselho Nacional de Saúde (CNS)/Ministério da Saúde (MS) sob o parecer número 3.026.011 e CAAE 0261018.0.0000.0023.
RESULTADOS
O caso a ser apresentado trata-se de uma jovem de 25 anos, solteira, sendo mãe xde um menino, aos 15 anos. Natural de um estado da região Nordeste e, atualmente, atua como assistente em um órgão público superior do Distrito Federal, local no qual ocorreu a entrevista. A jovem cumpre em regime semiaberto uma pena total definida judicialmente de 3 anos e 10 meses, respondendo pelo delito de tráfico de drogas. A descrição do caso se deu em dois aspectos: Período anterior ao delito, o delito e a prisão . Relações com familiares e amigos.
Período anterior ao delito, o delito e a prisão
Ao iniciar sua história, A. conta sobre como era sua vida antes da prisão. Aos 15 anos, a jovem engravidou de seu único filho. O envolvimento amoroso foi passageiro, mas o pai de seu filho sempre esteve presente e não apresentava histórico criminal. Por outro lado, após algum tempo, A. conheceu outro rapaz que estava envolvido com tráfico de drogas, e então passou a circular entre dois mundos: um de classe média alta, no qual trabalhava, estudava e criava o seu filho; e outro no qual foi de encontro a um homem que a mantinha em uma vida de bens materiais, com os quais elevava seu padrão de vida e que a levou também ao envolvimento com drogas.
A., então, relata que, ao se envolver com esse homem, começou a perceber possibilidades e benefícios. Diz que eleoferecia a ela jantares, presentes, passeios e tudo o que quisesse com a quantidade de dinheiro cada vez maior ao longo do tempo em que vendia drogas. Afirma que, a partir daí, tudo mudou de repente e, quando tomou consciência do que estava acontecendo de fato, ela já estava muito envolvida no tráfico e nas suas consequências negativas, dentre elas a sua prisão em flagrante como cúmplice de tráfico de drogas.
A participante ressalta que nunca foi usuária de drogas, mas que vendia entorpecentes junto com seu parceiro e outras pessoas. Quando foram abordados, A. estava saindo da casa de sua sogra, juntamente com o namorado, ambos portando drogas. A prisão aconteceu em flagrante e o casal não teve mais contato desde então.
Relações com familiares e amigos
O núcleo familiar da participante, constituída por seus pais, avós e seu filho, apresenta-se em nível social médio, bem estruturada e com dinâmica sadia. Os pais são dedicados aos filhos e ao neto, os avós são presentes nessa dinâmica e não há histórico de nenhum outro evento relevante que possa ser relacionado à prisão de A., como envolvimento com o tráfico.
A família de A. apresenta-se em condições de vulnerabilidade social quando esse envolvimento com o mundo do tráfico ocasiona a sua prisão. A partir desse evento, a família tornou-se exposta a fatores de risco, alguns processos disfuncionais de ordem social e emocional começaram a surgir e foram potencializados, tendo em vista a implicação de valores incompatíveis com os que são transmitidos por esse grupo familiar. Sendo assim, quando os membros desse grupo se veem diante de eventos estressores inesperados, como foi a prisão de A., percebe-se uma dificuldade no seu próprio processo de reorganização.
O seu ciclo de amizades, oriundo da sua “vida diurna”, era composto por pessoas que não estavam envolvidas com as drogas, a quem ela as denominava “de boa índole e de nível superior”. No entanto, durante a noite mantinha relações sociais que envolviam pessoas do tráfico, com as quais costumava vender drogas e frequentar locais característicos dessa esfera.
A jovem narrou que seus familiares sempre foram presentes em sua vida, porém nunca tiveram conhecimento sobre suas atividades relacionadas ao tráfico de drogas, ou seja, não sabiam de sua “vida noturna” até o momento em que receberam a notícia da prisão em flagrante, em que a relação com o crime tornou-se pública. Esse episódio serviu como um marco negativo para seus pais, avós e irmãos, que demonstraram grande decepção diante do ocorrido.
No entanto, ainda que decepcionados, A. afirmou que, durante o período de reclusão, sua família se manteve próxima. Os contatos eram feitos por ligações, cartas e visitas dos pais. A participante relatou ainda que seu primeiro namorado, o pai biológico de seu filho, também só tomou conhecimento sobre a sua “vida noturna” quando soube o motivo da sua prisão.
O único membro do núcleo familiar que não soube do ocorrido foi o seu filho. Então, A. decidiu trocar a informação da prisão pela informação de que está realizando uma longa viagem, conversando com ele sempre que pode por telefone e ressaltando essa versão da história. Ainda que sua família tenha ficado um pouco contrariada pela sua decisão, todos concordaram e sustentavam essa história para a criança, inclusive o pai biológico.
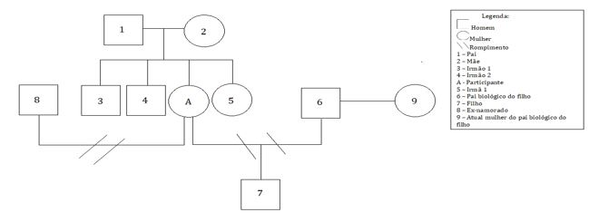
A partir da configuração do Genograma da família de A., na Figura 1, é possível indicar uma organização e alinhamento dos membros quanto ao envolvimento familiar. Embora A. tenha seus pais separados, sempre recebeu apoio de ambos da mesma forma, bem como dos irmãos mais velhos e da irmã mais nova, tendo em vista que A. é a terceira filha do casal.

De acordo com os relatos de vivência de A., apresentado no Ciclo Vital (Figura 2.), pode-se elencar como fatores mais impactantes e relevantes durante os seus estágios de vida no contexto do cárcere: o momento em que ficou grávida de seu filho, aos 15 anos; posteriormente, seu relacionamento afetivo com uma pessoa envolvida com tráfico de drogas; a sua entrada no mundo do tráfico; consequentemente, a sua prisão em flagrante. Após certo tempo, A. relata o rompimento com esse rapaz e a partir de então seguem separados, cumprindo suas respectivas penas. Atualmente, lhe foi concedido o regime semiaberto, no qual pode sair da prisão para trabalhar e retornar apenas às 19 horas. Esse momento de sua vida, em especial, lhe permitiu encontrar uma oportunidade de emprego e, assim, vislumbrar ainda mais possibilidades de futuro.

A Figura 3 representa o Ecomapa da família de A., que apontou o vínculo com seu filho como sendo o mais fortalecido ao longo dos dois momentos (antes e durante a prisão). Em seguida, aponta para o vínculo com a sua família de origem, a qual sempre a apoiou emocionalmente. Por outro lado, o vínculo com o pai biológico de seu filho foi enfraquecido, de forma a se manter apenas pela criança como um elo. Já um vínculo inexistente foi apontado entre a participante e seu ex-namorado traficante, assim como entre ela e todos os amigos que naquela esfera de sua vida estavam.
A representação gráfica (Figura 3) também destaca as relações em que há a prática de segredos por parte de A. em relação à sua família. A participante esconde a sua “vida noturna” e todas as atividades que desempenhava relacionadas ao tráfico de droga. Os dados também indicaram os segredos oriundos do evento da prisão em flagrante, sendo possível observar o encobrimento deste ocorrido para o seu filho. O segredo era mantido tanto pelo pai biológico, da mãe (participante), quanto também pelos demais membros do núcleo familiar de origem (pais, avós e irmãos).

DISCUSSÃO
É possível compreender, a partir da estrutura dessa família e da percepção geral dos seus membros sobre o delito, que o sentimento de vergonha por parte da participante surge como uma contradição de tudo aquilo que havia recebido da família. A prisão representa um evento extremamente negativo, sobretudo quando este simboliza um enfrentamento ao sistema de crenças e valores do grupo familiar.
Tendo em vista que a família possui forte influência na educação e desenvolvimento psicológico, emocional e social de seus membros05, um dos importantes recursos de que o grupo familiar dispõe para promover sua resiliência e contornar a situação negativa da melhor forma é o seu processo de comunicação. Este traz clareza em situações de crise, encoraja uma expressão aberta das emoções e contribui para que as formas colaborativas de resolução de problema fluam na dinâmica do sistema familiar06,07. Por isso, é fácil compreender o quão prejudicial é a presença de segredos para a construção dessa resiliência familiar01.
O ato transgressivo exposto da jovem, ao olhar de seus familiares promoveu o aparecimento do sentimento de vergonha, o qual, por sua vez, originou as práticas de segredos06. Pode-se dizer que a intensidade desse sentimento de vergonha é proporcional à importância dada a quem testemunhou o ato vexatório. E, ante a impossibilidade de esconder esse sentimento, a saída que se encontra é a de encobrir, esconder aquilo que o provoca03.
O segredo surgiu, possivelmente, em decorrência do sentimento de vergonha expressado por A. a respeito do seu novo convívio com pessoas envolvidas no tráfico. Esta situação, muito provavelmente, não teria aprovação daqueles que a jovem mais admira e tem apreço, como seus pais, seus avós e seu filho, portanto, A. optou pela omissão de sua família sobre essa esfera de sua vida, bem como também esconde de seu filho a sua situação de reclusão, justificando o seu receio quanto ao estereótipo inerente à condição do cárcere.
Observa-se também que o segredo perpassou por diversos subsistemas diferentes dentro desse grupo familiar, estendendo-se e ocupando um lugar comum e normalizado. Tornou-se um modo de vida e de convívio uns com os outros. É possível compreender a dinâmica familiar para ressignificar o evento estressor e manter uma relação minimamente satisfatória entre os seus membros, como um mecanismo homeostático, cuja função é manter a coesão grupal e fortalecer a manutenção de papéis sociais de cada um dos membros do grupo08.
Entende-se, então, a prática de segredos como um mecanismo de proteção e defesa desse grupo relacional, que decorre de um sentimento invasivo e incontrolável de vergonha sobre um ato transgressivo09. Logo, este é um sentimento psicológico que tem efeitos de controle social, em que o sujeito apresenta um estímulo interno, avaliado por terceiros e em seu íntimo, reforçando ou invalidando certas condultas10.
CONCLUSÃO
O caso estudado identificou a formação de processos de comunicação dentro do grupo familiar a partir de uma demanda externa, que modifica a sua estrutura e interfere em processos relacionais. A prisão da jovem representou um evento desencadeador de uma série de processos individuais, como o sentimento de vergonha e a necessidade de encobrimento de suas ações; e intrafamiliares, como a formação de práticas de segredos entre vários membros desse grupo.
Frente a esse desafio, a família buscou encontrar maneiras de manter a sua estrutura dinâmica e sadia. No entanto, começa a encontrar obstáculos diante da descoberta de certos acontecimentos sobre a vida da jovem protagonista dessa história, como o encobrimento de seu envolvimento com outras pessoas que não cultivavam os mesmos valores disseminados pelos seus familiares, além de encobrir seu envolvimento amoroso com um rapaz que oferecia a ela uma vida luxuosa com a renda do tráfico.
Os resultados possibilitaram compreender como a situação de vulnerabilidade social de um grupo familiar interfere na construção e manutenção de práticas de segredo entre seus membros. Há um rompimento da consciência moral e a “proteção” contra a dor da verdade se torna justificativa dessas práticas. Nota-se como o medo e a vergonha sustentam a escolha de manter o segredo presente, mas sem que se perceba, essa prática pode ser prejudicial para sua relação futura com seu filho, por exemplo, tendo em vista que é o único que não sabe da verdade sobre a prisão de sua mãe.
Por se tratar de um estudo de caso, esta pesquisa trouxe limitações no que tange a necessidade de se investigar a comunicação intra e extrafamiliar, de grupos com um membro no cárcere, envolvendo amostras maiores. Diferentemente da participante dessa pesquisa, as poucas produções sobre as mulheres apenadas pelo tráfico de drogas no Brasil identifica o perfil sócio demográfico das famílias marcadas pela baixa-renda e expostas as diversas formas de vulnerabilidades.
Este estudo apresenta, portanto, aspectos na comunicação de uma pequena parcela de indivíduos, ainda desconhecida no estado da arte sobre o ambiente prisional. Destarte, sugere-se pesquisas sobre o tema para que se compreenda, de maneira aprofundada, como esses fenômenos se manifestam em processos intrafamiliares e os possíveis impactos nas relações interpessoais, para que seja viável pensar as estratégias de atuação.
REFERÊNCIAS
1. Barreto M, Cavalhieri KE, Crepaldi MA, Silva IM. Influência do segredo na dinâmica familiar: contribuições da teoria sistêmica. Pensando Fam. [Internet]. 2017 [citado em 2 fev 2020] 21(2):134-48. Disponível em: http://pepsic.bvsalud.org/pdf/penf/v21n2/v21n2a11.pdf
2. Santos SFP. O segredo familiar: compreendendo as estratégias metodológicas utilizadas por psicólogos em situações de segredos na terapia familiar. monografia. Palhoça, SC: Universidade do Sul de Santa Catarina; 2015.
3. Bilenky MK. Vergonha: sofrimento e dignidade. Ide [Internet]. 2014 [citado em 15 jul 2019]; 37(58):133-45. Disponível em: http://pepsic.bvsalud.org/pdf/ide/v37n58/v37n58a12.pdf
4. Bucher‐Maluschke JSNF, Carvalho, Silva J. O uso de instrumentos interventivos com crianças e adolescentes em acolhimento institucional na perspectiva bioecológica. In: Cavalcante LIC, Magalhães CMC, Corrêa LS, Costa EF, Cruz DA, editores. Acolhimento institucional de crianças e adolescentes: teorias e evidências científicas para boas práticas. 2ed. Curitiba: Juruá Editora; 2018. p. 315–24.
5. Jesus ACF, Oliveira LV, Oliveira AO, Brandão GCG, Costa GMC. O significado e a vivência do abandono familiar para presidiárias. Ciênc Saúde [Internet]. 2015 [citado em 8 dez 2014]; 8(1):19-25. Disponível em: http://revistaseletronicas.pucrs.br/ojs/index.php/faenfi/article/view/19535
6. Watzlawick P, Beavin JH, Jackson DD. Pragmática da comunicação humana: um estudo dos padrões, patologias e paradoxos da interação. São Paulo: Editora Cultriz Ltda; 1997.
7. Liedtke F, Schulze C. Beyond words: content, context, and inference. Gottingen: Hubert & Co. KG; 2013.
8. Bucher JSN. Mitos, segredos e ritos na família II: uma perspectiva intergeracional. Psic: Teor e Pesq. [Internet]. 2012 [citado em 22 jan 2020]; 2(1):14-22. Disponível em: https://periodicos.unb.br/index.php/revistaptp/article/view/16985
9. Tisseron S. Les Secrets de famille: que sais-je? 3ed. França: Puf; 2011.
10. Feitosa IP, Rivera GA Camboim AA, Santos MS. Repensando o sentimento da vergonha: contribuições psicossociológicas. Fractal: Rev Psicol. [Internet]. 2012 [citado em 22 jan 2020] 24(1):203-10. Disponível em: https://www.scielo.br/pdf/fractal/v24n1/v24n1a14.pdf
Notas de autor