Análisis citogenético de Dorosoma petenense (Pisces: Clupeidae) procedente del Sureste de México.
Análisis citogenético de Dorosoma petenense (Pisces: Clupeidae) procedente del Sureste de México.
Revista de Zoología, núm. 29, pp. 7-13, 2018
Universidad Nacional Autónoma de México
Resumen: Este trabajo fue llevado a cabo para caracterizar la cariología del pez de agua dulce conocido como Sardina Maya (Dorosoma petenense), una nueva técnica citogenética fue adaptada en esta investigación; presentando un número fundamental de NF = 76 con un número haploide N=24, número diploide 2N=48 y una fórmula cromosómica de 6m + 3sm + 3st + 2t + 10T. (6 metacentricos + 3 submetacentricos + 3 subtelocentricos + 2 telocéntricos + 10 Telocéntricos). En la presente investigación se discute la utilidad de una metodología citogenética como herramienta de apoyo en criterios taxonómicos .aplicado en la discriminación entre taxas estrechamente cercanas.
Palabras clave: Dorosoma petenense, cariotipo, cromosomas, citogenética..
Abstract: This work was carried out to characterize the karyology and ideogram of the fresh wáter fish known as Maya Sardine, Dorosoma petenense. A new technique for the cytogenetic study of freshwater Clupeidae was adapted for these investigations. Exhibiting, a fundamental number FN= 76, with a diploid number 2N=48 and haploid number N=24; the chromosomal formula is: 6m + 3sm + 3st + 2t + 10T. (6 mediocentrics 3 submetacentrics 3 subtelocentrics 2 telocentrics 10 Telocentrics). We discuss the usefulness of cytogenetic metodology in discriminating closely related taxa and also as a tool for suppporting existing taxinomic criteria.
Keywords: Dorosoma petenense, Karyotype, chromosomes, cytogenetic, electrophoresis. .
INTRODUCCIÓN
Peces de la Familia Clupeidae donde se incluyen las especies conocidas comúnmente como sardinas, se distribuyen alrededor del mundo, principalmente en mares de zonas tropicales y aguas continentales (Castro-Aguirre y col., 1999). esta familia se encuentra representada por cuatro especies Dorosoma anale, D. cepedianum, D. petenense y D. smithi (Espinosa-Pérez y col., 1993); estudios citogenéticos entre Clupeidos han revelado una cariología generalizada con números cromosómicos diploides de 2n=48 generalmente acrocéntricos, al respecto White, (1978) llega a sugerir que el cariotipo por presiones selectivas puede jugar un rol importante en la especiación, estas suelen ocurrir cambios en los cromosomas, como por ejemplo el caso de una variante en un solo sitio (mutaciones puntuales), fusiones céntricas, inversiones peri-céntricas múltiples o bien inversiones o incrementos múltiples en la longitud de los brazos cromosómicos entre otros; semejantes tendencias fueron tempranamente designadas por el término “Orthoselección cariotípica” White, (1978). En esta investigación se describe el análisis cromosómico del pez conocido como sardina maya Dorosoma petenense, basado en sus características cromosómicas como una herramienta de apoyo al conocimiento taxonómico dentro de la familia Clupeidae.
MATERIAL Y MÉTODOS.
Organismos de la especie Dorosoma petenense recolectadas bajo métodos artesanales en las localidades del sur del Lago de Catemaco Veracruz (18º25'10''N 95º06'49''W), fueron conservados en condiciones artificiales a 25°C, pH 7.5 y salinidad 4 °/∞ hasta su procesamiento. Aproximadamente 20 ejemplares adultos se procesaron aplicando técnicas citogenéticas sugeridas por Salemaa, (1979), y adaptadas a propuestas por (Kligerman y Bloom, 1977). Las preparaciones obtenidas conteniendo células mitóticas en metafase de alto índice mitótico, fueron teñidas con Giemsa al 10% en buffer de fosfatos; los mejores campos metafásicos fueron examinados y seleccionados, fotografiándose en un fotomicroscopio de contraste de fases FOMI Carl Zeiss con 100X (n.a. 1.25) y un ocular 100X, con cámara digital (Cyber-shot, Full HD 1080 4xOptical zoom) evaluando las longitudes de los brazos cromosómicos, se presenta un cariotipo representativo de acuerdo a los métodos propuestos por (Levan y col. 1964)
RESULTADOS
Los campos cromosómicos representativos con alto índice mitótico en metafases mostraron cromosomas diploides 2n=48; representados en la Tabla 2, con 12 elementos metacéntricos (M), 6 elementos sub-metacéntricos (Sm), 6 elementos sub-metacéntricos (St) 4 elementos medio-telocéntricos (t) y 10 Telocentricos, (T). Presentando un cariotipo representativo en la Fig. 1. El Ideograma estadísticamente representativo categorizado en pares de cromosomas se muestra en la Fig. 2, mostrando en la mayoría cromosomas mono-rámeos.
Ajustes y modificaciones a la metodología citogenética. Los resultados obtenidos en la presente investigación, se obtuvieron siguiendo propuestas por Salemaa, (1979) aplicando un pretratamiento de CaCl2 en función de estimular la división celular; continuando la metodología citogenética con propuestas por Kligerman y Bloom, (1977) aplicando colchicina 0.04% por 60 minutos en cavidad ventral; y usando KCl 0.075 M por 60 minutos como choque hipotónico obteniendo una turgencia celular adecuada, en consecuencia la obtención de cromosomas separados de fácil lectura y mediciones exactas.

Cariotipo de Dorosoma petenense, procedente del Lago de Catemaco Veracruz, México.

Ideograma de Dorosoma petenense procedente del Lago de Catemaco Veracruz, México.
Observaciones del Cariotipo.
Se manifestó una clara tendencia hacia cromosomas acrocéntricos y telocéntricos tanto en la formula cromosómica como en el cariotipo; característica que se ha manifestado en varias especies de la familia Clupeidae (Tabla 1).

Tendencia hacia cromosomas acrocéntricos y telocéntricos tanto en la formula cromosómica como en el cariotipo.

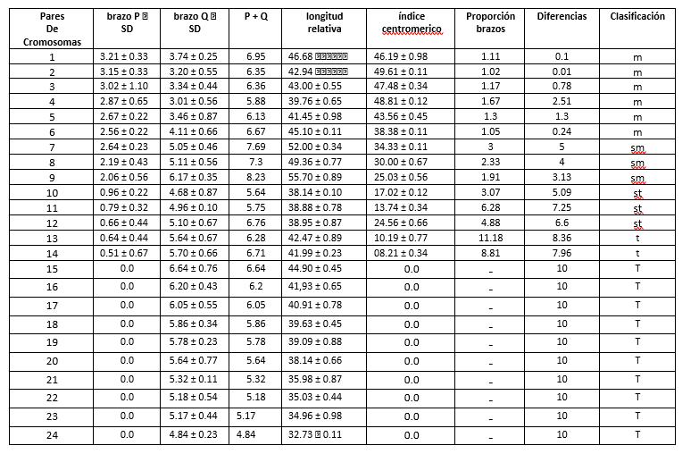
. Longitud relativa de los cromosomas, arm ratio (relación de brazos cromosómicos), índice centromérico y diferencias cromosómicas en la especie Dorosoma petenense, procedente del Lago de Catemaco, Veracruz: de 13 metafases representativas. P= promedio longitud del brazo corto (µm); Q= promedio longitud del brazo largo (µm); SD= desviación estándar; TL= longitud total absoluta (P+Q); CI= índice centromérico (100 P/TL); RL= longitud relativa; TL/(ΣTL) 1000; AR= proporción de brazo; Σ(Q/P); diferencias AR-1/ + 1(10). m= cromosomas metacentricos; sm= cromosomas sub-metacentricos; st= cromosomas sub-metacéntricos y t=cromosomas telocénctrico.
Durante los 60s, 70s y 80s diversos autores como Ohno y col. (1968); Denton, (1973); (Fitzsimons y Doucette 1981), (Uyeno, Miller y Fitzsimons, 1983), así como (Doucette y Fitzsimons, 1988), consideran que el cariotipo ancestral en la familia Clupeidae, se encuentran constituidos por 48 cromosomas; catalogando en su mayor parte acrocéntricos y telocentricos, referencias equivalentes a lo descrito en el presente estudio; considerando otro punto de vista respecto a los criterios en la clasificación cromosómica; White, (1951), Darlington, (1963) y Hitoshi y col. (1991) reflexionan que dentro de la interpretación de los cromosomas catalogados como acrocentricos y telocentricos, pueden presentar cierto error ya que la cromatina del brazo P (brazo corto), por muy pequeño que parezca siempre está presente, en este mismo sentido White, (1951) hace referencia a que si en una especie los cromosomas originales son acrocéntricos y aún conservan esa condición original habiendo permanecido estables a través de los tiempos; con lo que se considera que estas especies habrán pasado por varios estadios en una serie evolutiva gradual, lo que nos hace sugerir que probablemente nuestra especie en estudio se encuentra dentro de un proceso en franca tendencia hacia una estabilización cromosómica como sugiere White, (1978).
AGRADECIMIENTOS.
A Lilian Granados Berumen (UAM Xochimilco, CDMX) por el sustento técnico, José Andrés Reda Deara y Hernán Álvarez Guillen (ICML, Estación el Carmen, Campeche, México), por la recolecta de organismos, así como a Roberto Clemente López Murillo (ICML, CU, CDMX.) por asistencia gráfica.
LITERATURA CITADA.
Castro-Aguirre, J. L., Espinosa-Pérez, H. y Schmitter-Soto, J. J. 1999. Ictiofauna estuarino lagunar y vicaria de México. Ed. Noriega Limusa. México 711p
Darlington, D.E. 1963. Crossing over and its mechanical relation in chortippus and stauradaru Journal of genetics 33:440-465
Doucette, A.J.Jr. y J.M. Fitzsimons, 1988. Karyology of Elopiform and Clupeiform fishes Copeia 1988(1):124-130.
Espinosa-Pérez. H., Gaspar-Dillanes, M. T. y Fuentes-Mata, P. 1993. Listado Faunístico de México, III. Los peces dulceacuícolas mexicanos. Instituto de Biología, UNAM, México. 98 p.
Fitzsimons, J.M., y Doucette A. J. Jr., 1981 Karyology of the shads Dorosoma cepedianum and D. petenense (Osteichthyes: Clupeiformes) Copeia, 1981(4),pp. 908- 911
Hitoshi Ida, Noboru Oka y Ken-ichi Hayashigaki 1991. Karyotypes and Cellular DNA Contents of Three Species of the Subfamily Clupeinae Japanese Journal of Ichthyology Vol. 38(3)
Kligerman, A. D. y S. E. Bloom 1977. Rapid chromosome preparations from solid tissues of fishes Journal Fisher Research Board Canadian, 34, 266-269
Levan, A., A. Fredga, y Sandberg, R.1964. Nomenclature for centromeric position on chromosome Hereditas.52:201-220.
Mayers, L. J. y L. Roberts 1969. Chromosomal homogeneity of five populations of alewives Alosa pseudoharengus. Copeia 1969(2): 313-317.
Nogusa,S. 1960. A comparative study of chromosomes in fishes with particular considerations on taxonomy and evolution Memoirs of the Hyogo University of Agriculture, Biological Series 3, 1-62
Ohno, S. Wolf, U y Atkin N.B. 1968. Evolution from Fish to Mammals by Gene Duplication Hereditas 59(6):169 - 187.
Roberts, F.L. 1966. Cell structure of fibroblast from Clupea harengus gonads Nature 212: 1592-1593 L. Chromosome
Salemaa H. 1979 The Chromosomes of Asellus aquaticus (L). A technique for Isopod karyology. Crustaceana, 36: 316-318
Uyeno, T., Miller, R.R. y Fitzsimons 1983. Karyology of the Cyprinodontoid Fishes of the mexican family Goodeidae. Copeia. (2):407-510.
White, M. J. D. 1951. Citología animal y evolución Buenos Aires, Espasa-Calpe Argentina, pp 81-107 and 179-269.
White, M.J. D. 1978. Chain processes in chromosomal speciation. Systematic Zoology 27:17-26
Notas de autor
medc@cmarl.unam.mx