Abstract:
Context: Growth in bandwidth demand has boosted the development of new techniques for the transmission of information in telecommunication networks. Passive Optical Networks (PON) are presented as an alternative to conventional networks based on copper. This paper proposes and assesses the performance of an optical access network with TDM-WDM and wired-wireless convergence.
Method: A teletraffic study was performed using a discrete event simulator. A simulation scenario was set up in order to obtain the packet loss and throughput of an optical access network under different load values, percentage of ONUs demanded bandwidth and number of wavelengths.
Results: As the number of wavelengths used to cope with the exceeding traffic demanded by users, the results show that packet loss tends to decrease and throughput tends to increase in the network.
Conclusions: The behavior of the variables analyzed in the results shows that when dimensioning a channel wavelength, which is required to determine the amount of resources needed to meet the bandwidth demand of the users, the proposed model positively influences the network behavior.
Keywords:optical fiberoptical fiber,optical access networkoptical access network,radio over fiberradio over fiber,wired-wireless convergencewired-wireless convergence.
Resumen:
Contexto: El crecimiento en la demanda de ancho de banda ha impulsado el desarrollo de nuevas técnicas para la transmisión de información en redes de telecomunicaciones. Las redes ópticas pasivas se presentan como una alternativa a las redes de acceso basadas en cobre. Este artículo propone y evalúa el desempeño de un modelo de red óptica de acceso que tiene en cuenta TDM-WDM y la convergencia fija-inalámbrica.
Método: A través de un estudio de teletráfico realizado haciendo uso de un simulador de eventos discretos, fue configurado un escenario de simulación con el fin de obtener la pérdida de paquetes y el volumen de tráfico de la red para diferentes valores de carga, porcentaje de ONUs con exceso de demanda de ancho de banda y el número de longitudes de onda.
Resultados:A medida que se usa un mayor número de longitudes de onda para hacer frente al tráfico en exceso demandado por los usuarios, los resultados muestran que la pérdida de paquetes tiende a disminuir y el volumen de tráfico en la red tiende a aumentar en la red.
Conclusiones: El comportamiento de las variables analizadas en los resultados muestra que al dimensionar los canales de longitud de onda, aspecto requerido para determinar la cantidad de recursos necesarios para hacer frente a las demandas de ancho de banda de los usuarios, el modelo propuesto influye positivamente en el comportamiento de la red.
Palabras clave: convergencia fija-inalámbrica, fibra óptica, red óptica de acceso, radio sobre fibra.
Towards a New Generation of Passive Optical Networks
Hacia una Nueva Generación de Redes ópticas Pasivas

Received: 01 June 2015
Corrected: 24 August 2015
Accepted: 16 September 2015
PON systems allow the distribution of fiber optics to multiple users without the requirement of using active devices that need external power sources, a PON makes use of one wavelength for downstream and one for upstream to distribute different services [1]. Due to the existing bandwidth demands and the forecasted for future years, deployment of PON has been increasing in the last decade, moreover a rethinking of this type of networks has been necessary in order to develop more capable and flexible access networks. This has opened the path to Gigabit Passive Optical Networks (G-PON) standardization. As its name implies, G-PON is able to reach data rates in the order of Gigabits per second (Gb/s). One of the most popular approaches of this technology is Fiber-to-the-Home (FTTH). FTTH was thought to deliver triple-play services (television, voice and data) to end users. The evolution of passive optical networks is still in progress. Many researches on PON have made possible to propose different approaches based on using more wavelengths and hybrids systems combining Time Division Multiplexing (TDM) and Wavelength Division Multiplexing (WDM) [2]. In addition to FTTH, Radio-over-Fiber (RoF) technology has been an important research topic due to the increasing demand of wireless access points demanding more bandwidth and range; RoF is a good option for the combined transport of wired and wireless services to a central station [3].
First trials with FTTH were made in 1997 in Higashi-Ikoma. These first fiber deployments had educational and community orientation purposes [4]. Although tests were successful back then, networks could not be mass deployed due to problems related to fiber maintenance costs and the service demand. The Full Services Access Networks (FSAN) group leaded the first steps toward a standardization of PON. This organization, consisting of service and system suppliers concluded that a global broadband access system should be created and standardized by ITU-T. This system was named A-PON (ATM PON), and then changed to B-PON (Broadband PON) [5]. B-PON is specified in ITU-T recommendations G.983.1, G.983.2 and G.983.3, it was standardized in the 2000-2002 period and its deployment took place between 2003 and 2007 [6].
The next generation optical access networks were known as G-PON, the G-PON standardization was made in 2001-2004 over ITU-T recommendation G.984.x (G.984.1-G.984.7) and worldwide deployments started in 2010. IEEE also standardizes G-PON, which is included in the IEEE 802.3ah standard called 1 Gb/s Ethernet Passive Optical Networks (1G-EPON) [6]. IEEE standardized 1G-PON in the period of 2001-2004 and the deployment process started in 2003 and took place until 2012. The last standardization made by ITU-T for PON related technologies is 10G-GPON over G.987.x (G.987.1-G.987.4), and took place in 2007-2011, its deployment started on 2012 and is expected to go until 2015. IEEE standardized 10G-EPON as P802.3av in the 2007-2009 period; its deployment started in 2008 and is expected to go until 2015 [6].
FSAN and ITU-T kept working in a new generation PON (NG-PON) after finishing with G-PON recommendations. NG-PON is divided into NG-PON1 and NG-PON2. NG-PON1 is a short-term upgrade and is compatible with G-PON Optical Distribution Network (ODN), i.e. is a classic passive distribution optical network based on splitters. NG-PON2 is a long-term state of the PON evolution and it can be deployed over new ODNs, being independent of the G-PON standard. The ITU-T (G.987.x) standard is considered as a NG-PON1 system due to its characteristics such as architecture, bandwidth and splitting ratio. NG-PON1 was defined as an asymmetric 10G system with 10G downstream and 2.5G upstream rates. This system is essentially an enhanced TDM PON from G-PON.
On the other hand, there are several prospective technologies for NG-PON2 system, a suggested baseline is to improve 10 Gb/s rate to 40 Gb/s following the TDM technology, a second method considers the use of WDM to achieve 40G access. Opportunistic and Dynamic Spectrum Management (ODSM) PON technology, based on TDMA and WDMA to dynamically manage user spectrum with no change on the ODN and user side was also suggested [7]. NG-PON2 in general focuses on upgrading the capacity offered to end users over longer spans of fiber; these networks, unlike NG-PON1 systems, are considered disruptive of PON because they do not have requirements for coexisting with GPON in the same optical distribution network [6].
This paper presents the key features for future optical access networks; these aspects are derived from the current standardization process of PON systems and worldwide deployments of such approach, along with an analysis on the data traffic forecasted for the forthcoming years. A reference network model for future PON systems is proposed and validated by means of simulation and a roadmap envisaging the evolution path for PON systems is presented.
As it was already mentioned, the telecommunication scenario is tending to consider the high bandwidth utilization to propose new network generations. To be able to understand these new methods and technology is important to understand first the fundamentals and reasons why new proposals are a must for the upcoming years.
The physical topology of an optical access network in the downstream link is point to multipoint (P2MP) and uses passive power splitters for distributing content to multiple users. Regardless the multiplexing technique used, Figure 1 represents a PON basic topology. PON systems include an Optical Line Termination (OLT), which is also known as optical line terminal. Some of the most important functions of the OLT are the traffic scheduling, bandwidth allocation and buffer control. The ODN based on splitters is responsible for dividing the power of the signal generated by the service provider, this signal will be delivered to multiple users. Finally, an Optical Network Unit (ONU) transforms the received optical signals into electrical signals that will be sent to end user devices, e.g. phone, PC or setup box [8]. In a PON architecturethe information transmitted from the OLT is considered as a broadcast signal. The signal reaches all the ONUs after the power splitting process; this is the reason why PON standards describe security mechanisms to ensure that users are allowed to access only the data intended for them [9].

Source: authors
Nowadays, the most deployed PON standard is based on the G-PON framework, which is known as G-PON Service Requirements (GSR) and summarizes the operational characteristics that service providers expect of the network [9]. Table 1 shows the main characteristics of GPON established on GSR.

A way to foresee what type of technology will be used or implemented in the future relies on making an analysis of the demanded services supported by that technology or the demand of the technology itself. In this context, both fixed and mobile traffic are important for the PON study. A reliable source of service demand statistics related to PON networks is provided by the Cisco forecast traffic analysis [10][11]. Cisco expects a Compound Annual Growth Rate (CAGR) of 57% in mobile traffic between 2014 and 2019, reaching 24.3 exabytes per month in 2019. This traffic is expected to be generated by more than 1 billion connected mobile devices, including machine-to-machine (M2M) modules. Incursion of M2M and smart devices such as smartphones and tablets will be the main cause of traffic growth in networks due to the high amount of data that these devices generate compared with non-smart devices. In this context it is estimated that by 2019 the smart traffic will be 97% of the total traffic generated by mobile devices. Fixed terminal broadband speed is directly influenced by the deployment of FTTH, rising broadband rate results in an increment of high bandwidth consuming applications. Figure 2 shows the global IP traffic for mobile terminals. The average IP traffic in 2014 was 60 exabytes per month and is expected to reach 168 exabytes per month by 2019 and 414 terabytes per second in a global scale.

The impact caused by the increment in services demand and high bandwidth is also reflected in the broadband speed. Global average broadband speed is expected to increase from 20.3 Mb/s in 2014 up to 42.5 Mb/s in 2019. High speed broadband will be essential for cloud storage services and multimedia files downloading. IP traffic will present an increasing behavior not only for mobile data; this traffic includes also fixed Internet, managed IP. By fixed Internet is meant any IP connection from homes, campus, companies, premises and government, and it will go from 39.9 exabytes in 2014 to 111.8 exabytes in 2019. Managed IP is related to data traffic from corporative networks, IP television and on-demand video; it will go from 17.4 exabytes in 2014 to 31.8 exabytes in 2019. Mobile data covers all the data traffic from smartphones, tablets and M2M devices. Some factors that influenced the speed forecast are the deployment and adoption of FTTH and High-speed Digital Subscriber Line (HDSL), cable broadband adoption and overall broadband penetration.
The Cisco forecast traffic analysis presents an increasing behavior of broadband traffic and speed through years. Exponential growth of mobile traffic shows that this type of technology will have a big impact in generating and sending traffic in the forthcoming years. However, mobile traffic does not exceed IP traffic generated by fixed Internet, which also has an exponential behavior. Broadband speed growth presents a more lineal behavior but still increasing over the years. Thus, as the network traffic is generated in terminal devices, it is reasonable to think about implementing access networks with more capabilities and higher bandwidth to support the future traffic demands. PON networks are a possible solution to manage big amounts of traffic in the access segment. Much research on the subject has been done and is still in progress with the objective of improving the PON capabilities.
As mentioned above, the increasing bandwidth demand will continue to grow over the next years. The average data rate will reach 150 Mb/s-300 Mb/s per subscriber; this data rate will depend on the splitting ratio (1:64 or 1:32) of the PON network [7]. Consequently, a more capable technology than TDMA xPON will be needed to supply traffic requirements. Current research in this area is focused on finding improvements for networks that belong to NG-PON1. The IEEE standard 10G-EPON and the ITU-T standard XG-PON are both based in TDM-PON, and use one wavelength for downstream and one wavelength for upstream, wasting the available bandwidth in a single fiber [2]. Due that using pure WDM is not as possible nowadays as using TDM, combining TDM and WDM raises as a solution to a better bandwidth use. Also, exploitation of one wavelength for a group of users is a possible solution in the TDM-WDM PON paradigm. For the sake of increasing the network capabilities, current development trends use several wavelengths for downstream and several for upstream purposes, the network architecture is shown in Figure 3. Note that unlike the standardized architecture shown in Figure1, the architectural trends lead to share a wavelength in time domain, this fact gives more flexibility when it comes to allocate wavelength channels according to a given demand, i.e. a user can be assigned with the less congested wavelength in order to cope with its current demand for a given period of time. Hybrid TDM-WDM is then a good option not only for NG-PON1 but for NG-PON2 as well, since the distribution of chromatic dispersion is performed over the n wavelengths used instead of only one. These features allow increasing the network capacity to reach the expected 40 Gb/s targeted for NG-PON2. Flexibility provided by splitting the total users into different smaller groups and managing resources based on this is also an important characteristic that has been discussed for next generation networks. The most important problem of using WDM in PON networks is the need of using wavelength selective devices at the ONU side, the cost of these devices is high comparing it with the cost of devices used for operating with TDM-PON; this makes preferable TDM nowadays due to the cost-effective relation.

On the other hand, wired and wireless services convergence is an important aspect in access networks. Growth of wireless devices such as smartphones and tablets demands higher bandwidth, and the high cost of having wired and wireless access networks working separately makes a necessity to integrate these technologies in the same infrastructure [12]. Wired and wireless convergence is possible thanks to RoF techniques, which main goal is the transport of broadband signals to distributed base stations for wireless access using an optical access network [13]. Simultaneous modulation of Base Band (BB) signals and Radio Frequency (RF) signals is a proposed model for RoF systems [14][15]. However, this process might impose signal-fading problems due to dispersion in the fiber optics so that careful treatment of the signal using optical filtering in the reception process is a must. In general, the signal generation for RoF systems relies on the right configuration of the external modulator as both BB and RF signals compete for using the dynamic range of the modulator. Also, sensitivity of receptors depends on the modulation index (MI) of RF signal, the reason for this relationship is that the MI directly influence on the non-linearity of MZM. Just as the case for RF, there is a relation between the BB-MI and the sensitivity of the BB receptor. On the other hand, dynamic resource allocation in PON networks is a promising feature for wired and wireless service integration. Each user can request fixed or mobile services at any time by letting the system to readjust the resource allocation. This feature leads a higher efficiency of the used bandwidth [16].
Devices in RoF networks have a big responsibility, shrinking the cell size aiming at improving the capabilities in the coverage area by means of frequency reuse at each cell, makes that the system must pay more attention to inter-cell handover. Managing handover and dynamic resources allocation from the Central Station (CS) leads to not economically feasible RoF networks, because of this, establishing a Remote Access Node (RAN) between the CS and the terminal devices to supply additional features can be a solution to the problem. The functionalities mentioned before make use of active devices such as Optical Cross-Connect (OXC), thus, networks with handover management and dynamic resources allocation differ from the passive network concept. When active devices take part in the transmission process the network is considered an Active Optical Network (AON). One advantage of AON over PON is the possibility to add additional features and processes to the transmission taking benefit from its point-to-point (P2P) behavior. Active networks allow features such as handover management, dynamic routing and dynamic resources allocation. AON also allows the use of terminal devices with less complexity that needs less computational power. This is based on the fact that these devices do not have to discriminate data sent to them from data sent to other ONUs using security mechanisms for WDM or TDM technologies [9].
The disadvantages of AON are mainly related to the costs of maintenance and deployment, this last one for urban cases where PON is more competitive [17]. Even though passive networks have disadvantages related to computational tasks during the transmission process; this is also a research topic in which the flaws and disadvantages of PON are trying to be strengthened. Several studies present solutions to problems related to handover and dynamic resources allocation in GPON [7][18]. More computationally complex topics such as tuning techniques for efficiently control network resources and parameters [19] have been discussed as solutions for problems in PON systems opening a large range of possible capabilities for passive optical networks.
We have proposed a network model in order to assess the performance of an optical access network featuring the characteristics defined in the previous section. In the network model, unlike current GPON in which each ONU receives one data wavelength from the OLT as seen in Figure 1, several wavelengths are broadcasted to link the OLT to different ONUs using an optical passive device as shown in Figure 4. Each wavelength is shared among several ONUs rather than being dedicated to a single ONU and the wavelength assignment can be static or dynamically changed during the communication depending on whether a tunable or fixed filter is used for wavelength selection at the ONU. This proposal aims at providing the functionalities based on the requirements identified in the previous section, namely: capacity upgrade, dynamic bandwidth allocation and converged transport of wired and wireless signals provided by a TDM-WDM PON system. For the sake of modeling such paradigm, let us denote N as the number of the available wavelengths with capacity C. among a total bandwidth Bw and being K the number of services or classes of service transported by the wavelength channel at each PON. As we are dealing with time domain conditions, we define λ. as the arrival rate and v.-1 the exponential distribution of the service time. Then, the total arrival rate to a given ONU is given by (1) as long as the OLT has an available wavelength channel to provide connectivity with the ONU.
Figure 4. Approach for an upgraded GPON network model featuring multiple-dynamic wavelength distribution
(1)It means that the rate of setting up a connection [state (w)] depends on the M number of ONUs that does not have an active connection [state (w-1)]. Thus, this transition occurs per unit time at a rate of (M[w-1))λ. Therefore the transition of [state (w)] to [state (w-1)] identifies the rate at which a wavelength is released in the network, this rate is given by wR where R is the service rate of a wavelength channel. Then according to [20] R can be determined by:
(2)Where i. (j) is the mean number of classes of service within a given wavelength and ˆp(C.) is the conditional probability that a portion of the bandwidth provided by a wavelength is occupied when that wavelength is being used. However, the expression defined in (2) is valid only for the case when the capacity requested by each service or class of service is fixed, i.e., the bandwidth requested by a connection is lower than the available bandwidth of a wavelength. In our study we assume that the traffic is dynamic, it means that the portions of bandwidth requested by the end users change according to their demand. To this aim, bandwidth thresholds must be defined. In this context, a connection with K the number of services has T(k) number of bandwidth thresholds (Bwk,1, Bwk,2, … Bwk,T(k)) and each one of these bandwidths has a corresponding service time distribution ν-1k,s. Then, the service rate of a wavelength channel under the consideration of dynamic traffic can be expressed as:
(3)In this case ik,s (j) is the mean number of services or classes of service with bandwidth requirement Ck,s, when j portions of bandwidth are occupied in the wavelength channel. Then, the probability that n wavelengths are used in the PON P(N), can be derived from the rate balance equations as described in [21] as follows:
(4)Where P(0) represents the probability that none of the wavelengths are occupied in the network.

The novelty and contribution of this work to TDM-WDM PON rely on the wavelength channel dimensioning required to know how much resources are needed in order to cope with the bandwidth demands. To this aim, a teletraffic study based on the above-described model was carried out using Network Simulator 2 (NS2). The traffic pattern used in the simulations was exponential which in NS2 is represented as an ON-OFF traffic, wherein the period in which packets are sent is equivalent to the average transmitted traffic. Finally the network is simulated as multiple unicast transmission, where each user receives a particular traffic within the boundaries of the allowed bandwidth per ONU. For the sake of the evaluation a relevant scenario has been configured in which a percentage of out-of-profile ONUs and the amount of traffic in excess requested by them was defined, i.e. the bandwidth threshold Bwk,T(k) for M number of ONUs. The simulations aim at assessing the performance of a TDM-WDM PON system under different traffic loads and user behavior. For this purpose, 20% and 80% of out-of-profile ONUs were evaluated. An out-of-profile ONU means that the aggregated bandwidth (in excess) requested by the users belonging to that ONU is higher than the provided in the steady state. In this scenario the base bandwidth is 79 Mb/s per ONU, which means that 2.5 Gb/s were transmitted from the OLT and broadcasted to 32 ONUs. Figure 5 shows the packet loss as a function of the traffic load for the base scenario, i.e. all the ONUs are in-profile. The traffic load is defined as the ratio between the number of bits transmitted per time unit and the link data rate. The figure includes the results for a TDM-WDM operation featuring 20% and 80% of ONUs out-of-profile with an exceeding traffic of 40% above the steady state. As seen, for a traffic load of 1 when only one wavelength is used in the network and 20% of ONUs are out-of-profile, the packet loss percentage is around 5%, whereas for 80% of ONUs out-of-profile the packet loss is roughly 26%. However, when an extra-wavelength with its associated bandwidth is used, the packet loss drops to 4.6% and 17.3% for 20% and 80% of ONUs out-of-profile respectively. For medium and low traffic load values, the contribution of having extra wavelengths for 20% of ONUs out-of-profile is nearly negligible while more significant when the amount of ONUs misbehaving is higher e.g. 80%. The improvement at low traffic loads is negligible; this shows that a TDM-WDM PON becomes cost-effective as long as the transported traffic is high. Also, it is shown that a TDM-WDM PON system is able to cope with increasing bandwidth demands even at high traffic loads, e.g. the higher the number of available wavelength channels the lower the packet drop percentage in the network.

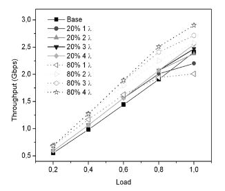
The contribution of extra-wavelengths to the throughput for the above-described scenario is shown in Figure 6. In general, the throughput in all wavelengths behaves linear for all the traffic loads except for the configuration with one wavelength, which at a high load (>0.8) due to the packet loss as seen in Figure5, produces a reduction of the system throughput. For 2, 3 and 4 wavelengths, as the packet loss is reduced, the throughput is incremented reaching a net value of approximately 2.85 Gbps for the case of three extra-wavelengths in a network with the 80% of ONUs out-of-profile and nearly 2.67 Gbps for 20% of ONUs out-of-profile. It represents roughly a 6% and a 14% of additional bandwidth for 20% and 80% of ONUs out-of-profile respectively. This is a measure of how much bandwidth in excess a TDM-WDM PON system is able to provide in the event of high bandwidth requests from the ONUs.

Source: Authors
As discussed above, passive optical networks broadcast a channel wavelength among a number of end users following a passive splitting mechanism. Regardless of the splitting ratio, which may vary from 16 to 128, the PON system follows a TDM or a WDM operation. In this context, both EPON and GPON are based on TDM, and while WDM PON has not been standardized yet, a first deployment experience was already accomplished [22]. Based on the current state of PON deployments and main directions found in the literature, in this section we propose an evolution path or technology roadmap for passive optical networks. Figure 7 shows the proposed roadmap that describes the potential passive access technologies in a short, medium and long-term time scale. As seen, today the access segment based on optical technologies is dominated by GPON and EPON featuring bit rates of up to 2.5 Gb/s in the downlink and 1.25 Gb/s in the uplink. The expected evolution of these systems will have to face the upgrade capacity requirement, thus in a short-term time a significant deployment of XG-PON and 10G EPON systems is foreseen. Next, in a medium term scale the WDM PON system is expected to see the first deployments once its standardization has been released. Also, the first step towards a convergence of mobile services transported directly onto the optical fiber without down conversion to baseband, i.e. pure RoF transmission. The critical condition for this stage to success relies on mature optical filtering techniques in order to be able to separate the combined radiofrequency signal, as low as a few Gigahertzes, from the optical carrier. Finally, dynamic and flexible optical access networks will be available in a long-term time.

This stage will see optical access networks offering ultrahigh bit rates to the end user; data rates of up to 1 Gb/s in average per user are expected. The network will have the capacity of delivering the less congested wavelength to different fixed end users and also will make a flexible management of the wavelength channels in order to cope with the high bandwidth requested by mobile systems beyond fourth generation.
Again, the optical filtering process will take an important role at this stage; accurate and fast tunability is needed in order to enable truly wavelength selection at the user side. It should be pointed out that the proposed roadmap only takes into account pure passive optical networks, i.e. the distribution relies on the use of couplers and passive demultiplexers. A different picture can be envisaged if active devices such as optical switches based on Microelectromechanical (MEM) technology or advanced processing based on Semiconductor Optical Amplifiers (SOA) are taken into account.
This paper discussed the justification for the development of future passive optical networks. Traffic forecast analysis shows that the bandwidth demand is increasing exponentially and it is expected to follow this trend in the forthcoming years. This demand is considered the main reason for the interest in developing a new generation of access optical networks. Key features of future access networks were stated, namely: capacity upgrade, convergence of wired and wireless transmission, and dynamic wavelength allocation. These key features are the basis of the TDM-WDM PON reference architecture presented. The simulations take into account the number of ONUs requesting bandwidth in-profile and out-of-profile, this fact allows identifying the way the network behaves as a function of the traffic load. Results show that using multiple wavelengths improves the network performance by reducing the packet loss and incrementing the throughput. This results in a better bandwidth usage under the presence of high traffic load. Finally a technology roadmap for passive optical networks was presented. The roadmap envisages the technology and the evolution path considering the three key features mentioned above; this roadmap presented an evolution proposal of PON in a short, medium and long-term time scale. In accordance with the user service requirements considerations and the technological maturity to deploy the future PON, it has been stated that the evolution path for optical access networks in a short-term scale will include capacity upgrade, convergence in a medium-term and dynamic wavelength allocation in a long-term scale. The optical filtering was identified as the key element to enable the deployment of the future access networks since today there are no feasible photonic filters that perform neither fast wavelength selection nor selective filtering process. This fact opens the door to future works related to the design or optimization of current filtering technologies to fulfill the high demanding performance required by TDM-WDM networks. It is also of interest the design of a novel MAC layer to manage the dynamic behavior of the bandwidth requests in mobile and fixed networks. In addition, advanced transmission methods such as that base on Optical Orthogonal Frequency Division Multiplexing (OOFDM) may bring interesting solutions to the optical access layer, mainly those related to the capacity upgrade and dynamic bandwidth allocation.







