Research Articles
Método de Diseño de Filtros Basado en Redes de Líneas de Transmisión para una Topología Monofásica con Tecnología BPL
Filters Design Method Based on Networks of Transmission Lines for a Single-Phase Topology with BPL Technology
Método de Diseño de Filtros Basado en Redes de Líneas de Transmisión para una Topología Monofásica con Tecnología BPL
Ingeniería, vol. 22, núm. 3, pp. 347-361, 2017
Universidad Distrital Francisco José de Caldas
Recepción: 24 Mayo 2017
Recibido del documento revisado: 21 Julio 2017
Aprobación: 31 Julio 2017
Resumen
Contexto: Para el diseno del modelo de filtro que presente el canal establecido por la carga de una topología monofásica, se transforman las líneas de transmisión de parámetros distribuidos a parámetros concentrados. Cada línea del backbone asimila la matriz de parámetros de transmisión y su transformacion en parámetros de admitancia, representada en un modelo de dos puertos.
Metodo: Con la topología monofásica energizada a frecuencias entre 1,8 MHz y 30 MHz sistema con tecnología BPL (Broadband Power Line) se obtienen tensiones y funciones de transferencia de los canales. A las funciones de transferencia, se le aplican técnicas de síntesis de redes, para obtener la red del filtro asociado al canal.
Resultados: La operación del filtro en el canal de la carga mas alejada de la fuente BPL, se valida por transferencia máxima de potencia, reemplazando la carga por el filtro, para comprobar resultados similares de relación señal a ruido y capacidad de canal.
Conclusiones: Al reemplazar la carga por el filtro el comportamiento del canal es similar, porque el filtro asume la impedancia media. Como trabajo futuro se sugiere utilizar parámetros validados de conductores eléctricos dentro de la normatividad colombiana, para estandarizar las topologías monofásicas hogareñas por distancia y numero de nodos, sujetas al modelo de filtro asociado al canal mas largo, para establecer patrones respecto a: atenuación, capacidad de canal y relación sedal a ruido.
Palabras clave: Canal+ Comunicacion por línea de potencia+ Filtro+ Idioma: español.
Abstract
Context: For the design of the filter model that presents the channel established by the load of a single-phase topology, the transmission lines of distributed parameters are transformed to concentrated parameters. Each line of the backbone assimilates the transmission parameter matrix and its transformation into admittance parameters, both represented within a two-port model.
Method: With the single-phase topology energized at frequencies between 1,8 MHz and 30 MHz a system with BPL (Broadband Power Line) technology tensions and transfer functions of the channels are obtained. Techniques of networks synthesis are applied to the transfer functions, to obtain the filter network associated to the channel.
Results: The operation of the filter in the channel of the load farthest from the source BPL, is validated by maximum transfer of power, replacing the load by the filter, to verify similar results of Signal to Noise ratio and Capacity of Channel.
Conclusions: When the load is replaced by the filter, the behavior of the channel is similar, because the filter assumes the average impedance. As future work are suggested to use validated parameters of electrical conductors within the Colombian normativity to standardize the single-phase topology by distance and number of nodes, subject to the filter model associated to the longest channel to establish patterns respect to: attenuation, capacity of channel and signal to noise ratio.
Keywords: Channel, Power line communication, Filter., Language: Spanish.
1.Introducción
Utilizar las redes internas de energía eléctrica de una vivienda como canal de transmisión de seriales de comunicación entre 1,8 MHz y 30 MHz, se conoce como BPL [1], [2]. Aplicando los parámetros eléctricos obtenidos por Bostoen y Van de Wiel [3], en conductores de cobre [4 x 10 mm2 y 4 x 25 mm2], se implementa una topología monofásica en el campo BPL para una vivienda, como modelo de análisis. La topología se transforma de líneas de transmisión a modelos de dos puertos, para obtener funciones de transferencia de los canales que establecen las cargas. En las funciones de transferencia se aplican elementos geomeítricos que por su forma asimilan el comportamiento de un filtro cuyo modelo en parámetros concentrados se obtiene utilizando tecnicas de síntesis de redes [4], [5]. La operacion del filtro se prueba en resultados de relacion sefial a ruido y capacidad de canal, sustituyendo la carga por la impedancia del filtro y se valida por transferencia maxima de potencia. Bastidas en [6] muestra un estudio sobre líneas electricas subterráneas e interiores, variando la frecuencia sobre el canal hasta 20 MHz y aplicando modelos por asociación a un cable coaxial (en topologías trifasica tetrafilar y monofasica bifilar), la prueba en parámetros de impedancia característica y atenuación del circuito monofásico se realiza con calibre 14 AWG en tubería PVC, concluye que la atenuacion no alcanza valores críticos para frecuencias hasta 20 MHz y longitud de 1 km y que estas redes podrían emplearse para el transporte de seüales en sistemas BPL en Colombia. La publicacion no muestra valores de coeficientes de los parametros utilizados sino el resultado graífico de impedancia y atenuacioín.
En [7] se analizan las características de los canales variando las topologías de red de las líneas electricas internas con respecto a diferentes tecnicas de modulacion en relacion con el número de ramas y diferentes impedancias de carga, no se considera la presencia de filtros en las topologías
para el rango de frecuencias BPL. En la publicación [8] se propone y demuestra la tecnica de síntesis directa para la matriz de acoplamiento de filtros de topología mixtos que contienen estructuras de acoplamiento cruzado y una serie de secciones de polos extraídos. La síntesis directa se basa en un proceso para la construccion de la funcion de admitancia del filtro, produciendo un prototipo de topología mixta en el que una o mas secciones de polos extraídos se generan naturalmente en el puerto fuente, en el estudio se obtienen filtros usando síntesis directa operando las redes a baja frecuencia. Para la publicacion [9] se presenta una nueva topología de un filtro de potencia de orden superior para inversores monofasicos de fuente de tension conectados a la red denominada L(LCL)2, con el fin de atenuar los armonicos de alta frecuencia. El disefio del filtro es externo a la red y se propone para el funcionamiento de la red de baja frecuencia. En [10] se muestra el estudio del canal de comunicaciones en el campo de las transmisiones de banda ancha a traves de líneas de tension o BPL, sefiala la característica de filtro pasa-bajo de la red de acceso en redes subterráneas por perdidas dielectricas en aislamiento de cables, afirma la debil aparicion de filtros pasa-bajo en la red electrica domestica, no muestra ningun metodo o procedimiento para obtener estas características, el estudio se aplica en líneas de transmision subterráneas con cables NAYY “tipo de cable de uno o mas conductores solidos de aluminio con aislamiento de PVC (Policloruro de Vinilo) segun norma DIN VDE 0276”, concluye con el disefio de un emulador de canal BPL.
2. Metodología
La metodología se valida utilizando conductores nominados como A (10 mm2) en cargas y B (25 mm2) para el alimentador que corresponde a la configuracion para cables de conexion, utilizados y probados por Bostoen y Van de Wiel que se muestra en la Figura 1. Bostoen y Van de Wiel, realizan pruebas de laboratorio sobre conductores de cobre y aluminio, con cables de conexion 4x10 mm2, 4x25 mm2 y 4x95 mm2, asimilables a una conexion monofasica de dos conductores. El listado de conductores aparece en la Tabla I, donde se aprecian conductores de uso comun en instalaciones electricas interiores en Colombia junto a los conductores validados que se identifican con las letras A, B y C.

Los calibres de conductores utilizados en Colombia para el diseño de instalaciones eléctricas interiores son: 6, 8, 10 y 12 AWG, el calibre del conductor utilizado en tomas monofásicas acondicionadas para tecnología BPL es el 12 AWG instalado en tubería PVC de
pulgada.
2.1. Parámetros de líneas de transmisión
La geometría y configuración de la topología monofásica considerada [12], se muestra en la Figura 2 y el modelo en líneas de transmisión para cinco nodos [13], aparece en la Figura 3. Los conductores validados utilizados son de configuración 4x10 mm2 en cargas derivadas y 4x25 mm2 para el backbone.


Cada tramo de línea de transmisión en parámetros distribuidos [14], se modela en redes T [15] formadas por los parámetros R, L, C y G como muestra la Figura 4. Las expresiones y valores utilizados en cada parámetro por unidad de longitud que forma la impedancia y admitancia en los tramos de línea de transmisión dependen de la frecuencia como se observa en las ecuaciones (1), (2), (3) y (4). Los coeficientes asociados a los parámetros se muestran en la Tabla II.










Las Figuras 5, 6, 7 y 8 muestran la resistencia, la inductancia, la capacidad y la conductancia en función de la frecuencia para 100 metros de conductor de 10 mm2 y 25 mm2, respectivamente. La impedancia característica en función de la frecuencia se muestra en la Figura 9.
2.2. Redes de dos puertos
Una línea de transmisión en su forma general se presenta por las ecuaciones diferenciales parciales (5) y (6):


La solución de las ecuaciones de línea (5) y (6) de utilidad en problemas numéricos, utiliza funciones hiperbólicas en función de la longitud x de la línea y la frecuencia u, como aparece en las ecuaciones (7) y (8).


La forma matricial del modelo hiperbólico en parámetros de transmisión de una línea de transmisión se muestra con el sistema de ecuaciones (9).

La matriz del sistema (9) tiene asociada una matriz (10) con variables hiperbolicas complejas A, B, C, D, equivalente a la matriz (11).


Los parámetros de la Matriz de Transmisión [aij], se transforman en un modelo n[Yij] de parámetros de admitancia, para un tramo de línea de transmisión del backbone. De la matriz (11), se obtienen las matrices (12).

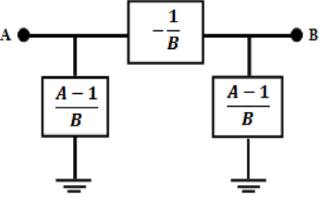
Cada tramo de línea de transmisión del backbone se transforma en un modelo de dos puertas, utilizando los parámetros Y obtenidos en (12), según muestra la Figura 10. La red n recíproca obtenida de los parámetros de admitancia (12) asociados con las variables hiperbólicas complejas A B, C y D se muestra en la Figura 11.


Las cargas ZR se modelan como la admitancia reflejada ecuación (13) que ve el backbone, en su expresión aparecen las variables hiperbólicas complejas A, B, C y D calculadas en la matriz (10).

La topología monofásica para cinco nodos, en modelos de dos puertos y admitancia reflejada aparece en la Figura 12. Las distancias en metros, los elementos del backbone son impedancias y las cargas derivadas admitancias.

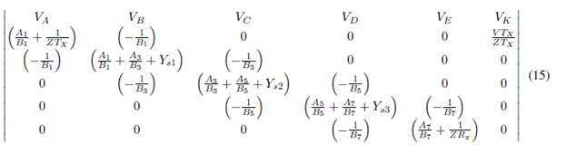
La solución de tensiones de nodo para la topología monofásica en modelos de dos puertos utiliza el modelo de Kirchhoff [16] suma de corrientes en un nodo igual a cero, ecuación (14).

Siendo Vfc0 la tensión en el nodo k,
son las tensiones de los N nodos adyacentes al nodo k conectados por las N líneas de transmisión conectadas al nodo k; B% y A% son las variables hiperbolicas complejas de las impedancias de la red que conecta el nodo k con el nodo i. El sistema ampliado de ecuaciones no lineales de la topología monofásica en modelos de dos puertos y admitancia reflejada (15), aparece a continuación:

3.Resultados obtenidos
Como carga de la topología monofásica se toma la impedancia característica de la línea de transmisión con un valor de 50 ü para el conductor de 10 mm2 (Figura 9] de esta forma se asegura que la carga reciba la mayor potencia incidente disponible, acoplando la línea. Se opera variando la frecuencia entre 1,8 MHz y 30 MHz y ajustando la densidad espectral de potencia de transmisión entre -52 dBm/Hz y -60 dBm/Hz. La longitud de tramos varía entre 1,0 y 50 metros (Figura 12]. Los voltajes en nodos, funciones de transferencia, densidad espectral de potencia, relación señal a ruido y capacidad de canal con y sin el efecto que produce el filtro, se obtienen simulando el algoritmo en la versión de MATLAB 7.10.0.499-R2010a [17]. En este documento se muestran resultados sobre el canal que establece la carga del nodo E, por establecer el canal más largo.
3.1. Función de transferencia del canal que establece la carga del nodo E
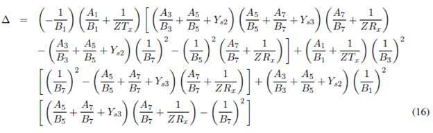
La función de transferencia se obtiene del determinante del sistema (15), como muestra la ecuación (16).

La tensión Vs se refleja por divisor de tensión en el nodo E, como muestra la ecuación (17).

La relación entre la tensión de la carga del nodo E y la tensión VS, muestra la función de transferencia (18) encontrada en este canal, ecuación (18).

La Figura 13 muestra la función de transferencia H5 (f) del canal que establece la carga del nodo E. La línea inclinada es el valor medio geométrico, las líneas de guiones indican el punto de corte de frecuencia a -3dB. El canal experimenta el comportamiento de un filtro pasa-bajo con atenuación a 30 MHz de -15,10 dB y frecuencia de corte a -3 dB en 7,0 MHz, elementos suficientes para el diseño del filtro asociado a este canal.
3.2. Características del filtro asociado al canal de la carga del nodo E
Con los valores de atenuación a 30 MHz de -15,10 dB y frecuencia de corte a 3 dB en 7,0 MHz utilizando la Figura 13, se halla el filtro pasivo [19] asociando una función de transferencia con dominio en la frecuencia compleja “S” y comportamiento similar a la función de transferencia (18). El modelo de síntesis de redes aplicado: Cawer I, aparece en la ecuación (19).

Los valores de las constantes a0 , a1 ,a2, b0, b1, b2 se utilizan para construir el diagrama de Bode [20] con MATLAB aplicando iteraciones sucesivas [21]. Las restricciones utilizadas son: H5(S) = H5(f) para unificar el dominio de frecuencia; con los valores de a2 y b2 se controla la amplitud del diagrama de Bode; los valores de a0 y b0 controlan la frecuencia del diagrama de Bode, el criterio de diseño utilizado: b1 = 2 * a1. La función de transferencia iterada obtenida aparece en la ecuación (20) y su diagrama de Bode en la Figura 14.



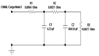
La síntesis de redes Cawer I en funciones reales positivas, monótonas y decrecientes en u, son extracciones alternadas de constante y polo en infinito, la constante removida en infinito es una impedancia Re[ZRC] los polos en infinito se remueven de la admitancia restante [Y] alternadamente y la funcion de transferencia ZRC, es una impedancia. La red se presenta en forma de escalera con resistencias en serie y condensadores en derivacion. El algoritmo de síntesis aplicado sobre H5(S) en (20) se muestra en la Tabla III.
Con los valores de la Tabla III, se forma el filtro pasivo del canal que establece la carga del nodo E en parámetros concentrados, que aparece en la Figura 15.

![Modelo primera forma de Cawer [grado 2 / grado2].](../0121-750X-inge-22-03-00347-gt3.jpg)
3.3. Verificación del filtro
Determinado el filtro en parámetros concentrados para el canal que establece la carga más alejada de la fuente BPL, se reemplaza esta carga, por el filtro para comprobar la hipótesis de obtener una operación similar sin modificar la topología monofásica, se verifica con el teorema de transferencia máxima de potencia [22], ecuación (21).

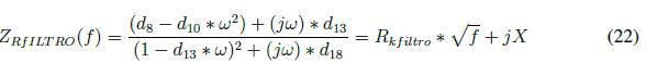
Para determinar la impedancia del Filtro ZRfiltro con los valores de la red de la Figura 15, se asignan constantes como se muestra en la Tabla IV, para obtener la ecuación (22).

Los valores de impedancia por transferencia maíxima de potencia son: impedancia del filtro
e impedancia característica
. La impedancia del filtro asume el 50% de la impedancia del canal. Reemplazando la impedancia del filtro ZRfiltro ecuación (22) en el sistema (15) se verifica que la funcion de transferencia del canal hasta 4,5 MHz es menor a la original en 0,35 dB en promedio, a partir de 4,5 MHz el comportamiento es similar.

3.3.1. Capacidad de canal y relación seinal a ruido
El ruido en redes BPL hogarenas es el de Fondo Generalizado (GBN: Generalized Background Noise), [23], [24], que es la superposicion del ruido de color de fondo (CBN: Color Background Noise) y los disturbios en el ancho de banda (NN: Narrowband Noise). La densidad espectral del ruido utilizada se expresa por la ecuacion (23) y en la Figura 16 se muestra la simulacion obtenida para la medicion típica del ruido, con valores de densidad espectral de potencia entre -120 dBm/Hz y -140 dBm/Hz, que se incorpora en la verificación.

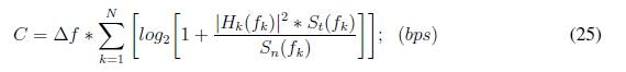
Por el teorema de Shannon-Hartley un canal analogico con ruido, con capacidad de canal segtin la ecuacion (24) se transforma en la ecuacion (25) [25], que corresponde a un canal dependiente de la frecuencia [26], [27], expresion coherente con la tecnica de transmision adoptada para sistemas BPL hogareba que es OFDM, donde en el dominio de la frecuencia se tienen N componentes de frecuencia discretos en un intervalo de frecuencia.


De la ecuación (25) se obtiene la ecuación (26), que representa la relacion señal a ruido en el canal que establece la carga. La Figura 17 muestra la relación señal a ruido con y sin el filtro estimado.



La Tabla V y la Tabla VI muestran que utilizando el filtro como carga del nodo E, la relación señal a ruido del canal experimenta disminución en promedio del 1,09 % equivalente a 0,67 dB y la capacidad de canal disminuye relativamente en 1,09 % equivalente a 2,13 Mbps, ajustando la DEP de transmision entre -52 y -60 dBm/Hz.


La atenuación del canal que establece la carga derivada maís alejada de la fuente corresponde aproximadamente a 9 dB en una longitud de 101,28 metros (ver Figura 12], con esta característica para una DEP de transmision entre 60 dBm/Hz y -52 dBm/Hz se obtiene una capacidad de canal promedio de 196,57 Mbps y una relacion señal a ruido de 61,64 dB, valores establecidos dentro de la normatividad BPL.
4.Caso Colombia
En Colombia no existe unidad de criterio entre las empresas reguladoras de energía eléctrica y las ISP (Internet Service Provider), en aunar esfuerzos para introducir y masificar la tecnología BPL, caso aislado reportado en la implementación de este sistema: empresa EMCALI (Empresa Municipal de Cali), en el año 2008 tenía una red multi-servicios con posibilidad de expandir su red
de acceso al sur de la ciudad con la tecnología BPL. Dentro de las políticas del Ministerio de las TIC no se menciona a corto plazo una normatividad que unifique criterios para abrir este espacio tecnológico [28] no atractivo entre otras razones por relación beneficio-costo, aspecto que se pondero y supere) en países como Argentina, México y Perú con inversión estatal y asesoría e ingeniería extranjera. En el documento [29] se plantea la viabilidad de implementar la tecnología PLT (Power Line Telecommunications) Telecomunicaciones por Línea de Potencia en Colombia, desde el lado de baja tensión del transformador de distribución hasta el usuario final [30], siempre y cuando se logre compatibilidad entre tecnologías homeplug que permita integrar varios medios físicos en un solo estándar, sugiriendo el IEEE 1901 como posible candidato.
En la publicación [31] se describe la combinación de la tecnología BPL con otras tecnologías de acceso, como inalámbrica, fibra, cobre y se plantea el panorama que podría tener el BPL híbrido en las zonas rurales de Colombia apoyados en el estándar IEEE 1901, mostrando como ventaja el uso de la infraestructura eléctrica existente. En el presente artículo, se considera que el canal establecido por una carga en una topología monofásica de una vivienda, presenta respuestas como un conjunto sucesivo de estados LTI (Linear Time Invariant) lineales e invariantes en el tiempo, donde las líneas de potencia hogareñas son líneas de transmisión interconectadas terminadas en cargas modeladas como una función de impedancia [32]; se infiere, que en un entorno de instrumentación se halle la función de impedancia según las características del material dieléctrico, la permitividad relativa, la permeabilidad relativa, la conductividad y efecto piel, que validan los parámetros del conductor eléctrico 12 AWG de uso común en instalaciones eléctricas internas en Colombia en tubería PVC como circuito de dos conductores, para determinar el filtro ajustado a las características geométricas del canal en presencia de señales BPL, como una alternativa metodológica útil diferente a la solución analítica, que contribuye al estudio de canales.
5.Conclusiones
El método y diseño aplicado para determinar el filtro presentado por los canales que establecen las cargas de la topología monofásica propuesta como canal para señales BPL a partir de la geometría de la red, se verifica desde la operación de los conductores [4x10 mm2 y 4 x 25 mm2] validados con las pruebas de respuesta en frecuencia realizadas por Bostoen y Van de Wiel. La técnica de síntesis de redes en parámetros concentrados que determina la red del filtro asociado al canal, requiere para interpretar las funciones de transferencia del canal en parámetros distribuidos, trabajar sobre su valor medio geométrico y realizar una transformación previa de dominio de frecuencia. Se demostró que al reemplazar la carga por la impedancia del filtro estimado, el comportamiento del canal en parámetros concentrados es similar al de parámetros distribuidos, porque el filtro estimado asume la impedancia media del canal.
Como resultado del estudio aparece la posibilidad de sustituir un canal caracterizado en parámetros distribuidos por un canal caracterizado en parámetros concentrados, como modelo de investigación hipotético deductivo, validado con respuestas similares en: atenuación, capacidad de canal y relación señal a ruido. El aporte significativo al método propuesto y al análisis de sistemas de potencia utilizados como canal de señales de telecomunicación, es la representación de la topología monofásica en redes de dos puertos porque permite incorporar las características eléctricas y físicas
de una red de líneas de transmisión monofásica, que cumple con las especificaciones de un filtro. Como trabajo futuro se sugiere utilizar parámetros validados de conductores eléctricos dentro de la normatividad colombiana, para estandarizar las topologías monofásicas hogareñas por distancia y numero de nodos, sujetas al modelo de filtro asociado al canal mas largo, para establecer patrones respecto a: atenuación, capacidad de canal y relación señal a ruido.
Referencias
[1] H. and Koch, M. Hirsch and Ferreira Hendrik and et al, Power Line Communications, 1st ed., Eds. Chichester, Ed. United Kingdom: John Wiley & Sons Ltd, 2010.
[2] H. Hranisca, Broadband Power Line Communications. Inglaterra: Wiley, 2004
[3] T. Bostoen and O. Van de Wiel, “Modellidg the low-voltage power distribution network id the frequency band from 0.5 mhz to 30 mhz for broadband powerlme communitactions (PLC)”, Belgium: Alcatel corporate research center, francis wellesplein 1 , b-2018 antwerpen., pp. 171-178, 2000.
[4] Lopez, J.; Camps, G.; Magdalena, J., Síntesis de redes: impedancias y filtros, Primera ed. Madrid, Espada: Delta Publicaciones, 2008.
[5] F Soler, Síntesis de Circuitos, Primera ed. Bogotá: Imprenta Copypal., 1981.
[6] H. Bastidas and M. Patino, “Modelo de cálculo de los parámetros técnicos de las líneas eléctricas de baja tensión subterráneas e instalaciones internas para uso en telecomunicaciones”, Ingeniería e Investigación, vol. XXXI, no. 3, pp. 121-129, diciembre 2011.
[7] S. Dash and A. Panda, Interpretation of different channel configurations and modulation techdiques over power line commumcation”, IEEE, pp. 420-425, november 2016.
[8] Y. He, G. Wang, L. Sun, and G. Rushidgabigwi, “Coupling matrix and admittance function sydthesis for mixed topology filters”, IEEE Transactions on microwave theory and techniques, vol. LXIV, pp. 4444 4454, august 2016.
[9] A. Adzalchi, M. Moghaddami, A. Sarwat, and A. Rathore, “A new topology of higher order power filter for single -phase grid-tied voltage-source idverters”, IEEE transactions on industrial electronics, vol. LXIII, no. 12, pp. 7511-7522, december 2016.
[10] N. Matsunaga, Diseño e implementacion de un emulador de canal BPL en FPGA. Buenos Aires: Universidad de Buenos Aires, 2012, Tesis requisito parcial para optar al título de: Doctor en Ingeniería Electrica.
[11] ICONTEC, Norma Técnica Colombiana. NTC 2050. Codigo eléctrico colombiano. Bogota, Colombia: ICONTEC, 1998.
[12] F. Cadete, “Caracterización y modelado de redes eléctricas interiores como medio de transmisión de banda ancha”, Universidad de Málaga, Málaga, Tesis Doctoral 2004
[13] R. Neri, Líneas de Transmisión, Primera ed. Mexico: McGraw-Hill, 2004.
[14] G. García and A. Estupiñán, Circuitos de parámetros distribuidos: Aplicación a líneas de transporte de energía eléctrica, Primera ed. Madrid, España: Prensas de la Universidad de Zaragoza, 1996.
[15] R. Dorf, Introduction to electric circuits, 9th ed. New York, Estados Unidos: John Wiley & Sons, Inc., 2014.
[16] W. Hayt and J. Kemmerly, Análisis de circuitos en ingeniería, Septima ed. México, México D.F.: McGraw-Hill, 2007
[17] R. Gavido, Introducción a los sistemas de control: conceptos, aplicaciones y simulación con MATLAB, Primera ed. Mexico, Mexico D.F.: Prentice Hall, 2010.
[18] H. Ferreira and L. Lampe, Power Line Communications. Theory and applications for narrowband and broadband communications over power lines, 1st ed. Singapore: .Jhon Wiley & Sons Ltd, 2010.
[19] N.R. Malik, Circuitos electronicos. Mexico D.F., MEXICO: Pearson Prentice Hall, 2014
[20] K Ogata, Ingeniería de control moderna, Quinta ed. Mexico, D.F., Mexico: PEARSON, 2010.
[21] S. Chapra, Metodos numericospara ingenieros, Quinta ed. Mexico, Mexico: McGraw-Hill , 2007.
[22] D. Scott, Análisis de circuitos eléctricos, Primera ed. España: McGraw-Hill., 1998.
[23] M. Zimmermadd and K. Doster, “An analysis of the broadband noise scenario in powerline networks”, IEEE international symposium on power line communications and its applications,Limerick, pp. 131-138, 2000.
[24] D. Benyoucef, “A dew statistical model of the noise power density spectrum for powerline communication”, International symposium on power-line communications and its applications, pp. 136-141, 2003.
[25] FCC, “Radiated Emission Limits”, Communications Commission Federal, vol. 1-part 15, no. 15, p. 810, 2009, Disponible en: https://www.gpo.gov/fdsys/pkg/CFR-2009-title47-vol1/pdf/CFR-2009-title47-vol1-part15.pdf.
[26] C.E. Shannon, “A mathematical theory of communication”, Bell System Technical Journal, vol. XXVII, pp. 379-423 y 623-656, 1948.
[27] A. Goldsmith and P. Varaiya, “Capcity of fading chaddels with chaddel side information”, IEEE transactions on information theory, vol. XLIII, no. 6, pp. 1986-1992, November, 1997.
[28] Congreso de Colombia, "Artículo 17 de la Ley 1341 de 2009. ”Por la cual se definen principios y conceptos sobre la sociedad de la información y la organización de las tecnologías de la información y las comunicaciones TIC-, se crea la agencia nacional de espectro”, Ministerio de Tecnologías de la Información y las Comunicaciones, Bogotá, Ley de la república de Colombia 2009.
[29] A. Chica, Estudio y analisis de la viabilidad de la implementacion de tecnología PLT (Power Line Telecommunications) en Colombia, en el ambito de la transmision de datos sobre redes de baja tension. Bogotá, Colombia: Universidad Nacional de Colombia, 2012, Tesis presentada como requisito parcial para optar al título de Magíster en Ingeniería de Telecomunicaciones
[30] D. Viteri, C. Garzon, and A. Narvaez, “Análisis de confiabilidad en subestaciones eléctricas tipo maniobra implementando el transformador de tensión con núcleo de potencia”, Revista Ingeniería, vol. XXII, no. 1, pp. 65-82, Enero-Abril 2017.
[31] G. Moreno and F. Fernandez, “Sistemas de comunicación BPL híbridos y su aplicación en áreas rurales”, Revista en Telecomunicaciones e Informatica, vol. II, no. 3, pp. 41-54, Enero Junio 2012.
[32] R Cardenas, “Red residencial de banda ancha por línea de potencia basada en relevo para la mitigación de la interferencia”, Universidad Nacional de Colombia, Bogotá, Colombia, Tesis presentada como requisito parcial para optar al título de Doctor en Ingeniería Electrica 2013.
Notas
Notas de autor
* Correspondence: rbalaguera@pedagogica.edu.co