Research Articles
Evaluación del Apantallamiento Electromagnético del Concreto a Partir de Simulaciones en Alta Frecuencia y la Aplicación del Modelo de Jonscher
Evaluation of the Electromagnetic Shielding of Concrete from High-Frequency Simulations and the Application of the Jonscher Model
Evaluación del Apantallamiento Electromagnético del Concreto a Partir de Simulaciones en Alta Frecuencia y la Aplicación del Modelo de Jonscher
Ingeniería, vol. 25, núm. 2, pp. 162-178, 2020
Universidad Distrital Francisco José de Caldas
Recepción: 12 Abril 2020
Recibido del documento revisado: 05 Mayo 2020
Aprobación: 18 Mayo 2020
Resumen
Contexto: Este artículo analiza la efectividad de apantallamiento electromagnético de varias estructuras de concreto en función de la variación del grosor y el contenido o nivel de humedad (NH) para un rango de frecuencias definido.
Método: El estudio se fundamenta en la implementación de simulaciones en dos dimensiones (2D), a través del uso de un software basado en el método de elementos finitos (FEM) y se desarrolló a partir de un conjunto de valores obtenidos de la aplicación de modelos matemáticos para medios dieléctricos. Inicialmente, se caracterizan las propiedades eléctricas complejas de las estructuras (permitividad dieléctrica y conductividad) aplicando el modelo matemático de Jonscher de tres variables. Posteriormente, se evalúan dichas propiedades sobre diferentes estructuras de concreto para un rango de frecuencias determinado.
Resultados: Se observó que el blindaje electromagnético ofrecido por el concreto aumenta cuando se incrementa el NH y el grosor de las estructuras. Adicionalmente, las pruebas evidencian que las pérdidas de energía por absorción son mayores en comparación con los demás tipos de pérdidas analizadas en el estudio.
Conclusiones: Luego de la investigación se puede afirmar que modelo electromagnético de Jonscher ofrece una buena respuesta al ser aplicado a las propiedades eléctricas complejas del concreto en un rango de frecuencia desde 250 MHz hasta 700 MHz. Asimismo, al variar el grosor y el NH en las estructuras analizadas, se evidenció un aumento en la efectividad de apantallamiento electromagnético total. Debido a que el concreto es un medio dieléctrico imperfecto, las pérdidas de energía por reflexión son bajas comparadas con las pérdidas de absorción y de múltiples reflexiones. Aun así, este material estructural puede ser usado como apantallamiento natural contra perturbaciones electromagnéticas radiadas en la banda de UHF (por sus siglas en inglés de Ultra High Frequency).
Palabras clave: apantallamiento electromagnético+ concreto+ modelo electromagnético de Jonscher+ propiedades eléctricas complejas.
Abstract
Context: This paper analyzes the effectiveness of electromagnetic shielding of several concrete structures based on the variation of the thickness and the content or level of humidity (NH) for a defined frequency range.
Method: The study is based on the implementation of simulations in two dimensions (2D) using a software based on the finite element method (FEM) and it was developed from a set of values obtained from the application of mathematical models for dielectric media. Initially, the complex electrical properties of the structures (dielectric permittivity and conductivity) are characterized by applying the Jonscher’s mathematical model of three variables. Subsequently, these properties are evaluated with different concrete structures for a specific frequency range.
Results: It is observed that the electromagnetic shielding offered by the concrete increases when the NH and the thickness of the structures are increased. Additionally, the evidences show that energy losses due to absorption are greater compared to the other types of losses analyzed in the study.
Conclusions: After the investigation, it can be affirmed that the Jonscher electromagnetic model offers a good response when it is applied to the complex electrical properties of concrete in a frequency range from 250 MHz up to 700 MHz. Also, by varying the thickness and the humidity level in the structures analyzed, an increase in the effectiveness of the total electromagnetic shielding was evidenced. Because concrete is an imperfect dielectric medium, energy losses by reflection are low compared to absorption losses and losses due to multiple reflections. However, this structural material can be used as a natural shield against radiated electromagnetic disturbances in the UHF band.
Keywords: electromagnetic shielding, complex electrical properties, concrete, Jonscher electromagnetic model.
Introducción
El desarrollo elevado de la tecnología en los últimos años ha creado en el hombre una dependencia a innumerables dispositivos de tipo electrónico y eléctrico, los cuales, en mayor o menor medida, generan emisiones electromagnéticas (contaminación electromagnética radiada). Esta clase de emisiones dan origen a ambientes electromagnéticos artificiales, los cuales se definen como la totalidad de fenómenos electromagnéticos existentes en un lugar específico y se estiman midiendo o calculando por separado o en conjunto ciertos parámetros eléctricos asociados tales como: tensiones, corrientes, campos electromagnéticos, etc. Las cantidades en muchas ocasiones varían en función del tiempo [1], [2].
En las últimas décadas se han desarrollado diversos esquemas de protección con el propósito de reducir el efecto que produce la contaminación electromagnética radiada sobre equipos y dispositivos electrónicos sensibles a interferencias electromagnéticas (IEM). Algunos de estos métodos incluyen el uso de blindajes o apantallamientos electromagnéticos con diferentes materiales, generalmente de tipo metálico [3]. Esta necesidad de nuevos esquemas de apantallamiento contra emisiones electromagnéticas (no controladas y presentes en el entorno) ha promovido el desarrollo de esquemas de protección adicionales contra este tipo de emisiones. Lo anterior ha sido posible gracias al estudio y exploración de las propiedades físicas y eléctricas de diferentes materiales de construcción que componen las estructuras urbanas o edificaciones, las cuales, en su gran mayoría, son hechas en concreto [4]-[8].
Varias investigaciones experimentales se han realizado con el fin de analizar la capacidad del concreto para inhibir la propagación de ondas electromagnéticas externas a las estructuras [9]-[13]. A partir de estos trabajos ha sido posible evaluar la eficiencia de este material como elemento de blindaje o apantallamiento frente a perturbaciones electromagnéticas radiadas, mostrando cualidades como la reflexión y absorción de ondas electromagnéticas, sumado a un comportamiento similar al de un material dieléctrico polar [9]-[12]. Adicionalmente, se ha establecido que la eficiencia del concreto como material de blindaje ante perturbaciones radiadas depende especialmente de su conductividad, su permitividad dieléctrica y su permeabilidad magnética [11], [12]. Respecto a esta última, dado que el concreto es un material no magnético, se ha definido que la permeabilidad del concreto es igual a la del espacio libre [14].
Debido a las características porosas que habitualmente presenta el concreto es posible descomponer este material en fases líquida, sólida y gaseosa [10], [14], [15]. Las distintas fases y su combinación determinan el comportamiento de sus propiedades eléctricas con respecto a la frecuencia de la señal electromagnética que penetra el material. Por ejemplo, la fase sólida solo presenta componente real para su permitividad dieléctrica compleja, lo cual se debe a que sus pérdidas son depreciables (componente imaginaria). Por su parte, la mezcla de la fase gaseosa y sólida resulta en un medio no dispersivo en el cual no existe variación de la permitividad dieléctrica compleja con respecto a la frecuencia [14]. A partir de este comportamiento, la permitividad dieléctrica del concreto se representa como un número complejo que varía con respecto a la frecuencia, tal y como se muestra en la ecuación (1) [16]-[20].

Donde ω es la frecuencia del campo eléctrico externo aplicado y ε ’(ω) y ε’’(ω) son las permitividades absolutas real e imaginaria, respectivamente. En este contexto, la dispersión en el concreto se debe principalmente a la presencia de agua entre sus poros y, debido a que la permitividad dieléctrica compleja del agua varía con la frecuencia, se ha planteado la hipótesis de que el grado de dispersión del concreto puede depender de su contenido o nivel de humedad (NH) [21]. Este NH puede ser determinado en un laboratorio a partir de la comparación entre el peso en kg de una probeta de concreto totalmente seco (humedad 0 %) y el peso de otra probeta con cierto contenido de humedad.
Por lo general, con el propósito de conocer el blindaje electromagnético ofrecido por el material estructural, se emplea una herramienta computacional basada en el método de elementos finitos (FEM, por sus siglas en inglés). En dicho entorno de simulación se implementan las estructuras en dos dimensiones (2D) o tres dimensiones (3D), incluyendo las propiedades eléctricas complejas de cierta configuración de mezcla y sus componentes. No obstante, son pocos los trabajos enfoca dos en analizar el comportamiento del concreto como material de apantallamiento aplicando teoría avanzada de campos y ondas electromagnéticas, y su combinación con un modelo de simulación que asume la estructura como una guía de onda que posee un puerto de entrada y uno de salida (red de dos puertos) [22].
Teniendo en cuenta lo anterior, este artículo integra modelado matemático y entornos de simulación para analizar la efectividad de apantallamiento por absorción, reflexión, múltiples reflexiones y total, ofrecida por varios muros de concreto cuando se modifica el NH y el grosor de la estructura. Para las simulaciones, la mezcla establecida para los muros y sus propiedades eléctricas complejas (permitividad dieléctrica y conductividad) se obtienen a partir de los resultados experimentales presentados por Pokkuluri [23]. Finalmente, puesto que las propiedades eléctricas usadas en este estudio se han obtenido de forma experimental para ciertas frecuencias, como un aporte adicional de la investigación realizada se aplica el modelo matemático de Jonscher para ampliar el intervalo de frecuencias aplicado en las simulaciones.
Materiales y métodos
Para determinar las propiedades eléctricas del concreto, en especial, la respuesta dieléctrica del material, existen diversos modelos matemáticos que han sido usados en las últimas décadas. Entre estos, los más empleados han sido los modelos de Cole-Cole, Davidson-Cole, Debye simple y extendido [24], [25], y el modelo de Jonscher. Este último es un método de tres variables que describe la respuesta dieléctrica del concreto, incluyendo la relación de parámetros tales como su permitividad dieléctrica y su susceptibilidad eléctrica en el dominio de la frecuencia [26]-[28]. Debido a estas cualidades, y teniendo en cuenta su amplia aplicación con otros materiales, se aplicará este modelo para evaluar las propiedades de apantallamiento electromagnético del concreto.
Modelo de Jonscher de tres variables
Como recién se mencionó, el modelo de tres variables propuesto por Jonscher describe la respuesta dieléctrica del concreto, incluyendo la relación en el dominio de la frecuencia de parámetros como la permitividad dieléctrica y la susceptibilidad eléctrica asociadas al material. Esta relación se muestra en la ecuación (2) [26].

Donde εe (ω) es la permitividad dieléctrica compleja absoluta, [F/m], Xe(ω) es la susceptibilidad eléctrica compleja y ε? es la permitividad dieléctrica absoluta a alta frecuencia [F/m]. La susceptibilidad eléctrica compleja propuesta por Jonscher es definida por la ecuación (3).

Donde Xr es la susceptibilidad eléctrica a la frecuencia de referencia, ωr es la frecuencia angular de referencia (ωr = 2πfr[rad/s]) y n es el nivel de pérdidas dieléctricas. Este último factor se encuentra en el intervalo de valores de 0 ? n ? 1 y se puede calcular mediante la ecuación (4).

Durante el análisis, la frecuencia de referencia (fr en [Hz]) se elige arbitrariamente dentro de un rango cualquiera, el cual depende únicamente de la curva de dispersión del material que se quiera modelar matemáticamente. Esta curva de dispersión se obtiene evaluando la permitividad dieléctrica absoluta en función de la frecuencia del campo eléctrico incidente. De esta manera, remplazando la ecuación (3) en la ecuación (2), se obtiene en la ecuación (5), la cual define la permitividad dieléctrica compleja absoluta según el modelo de Jonscher.

Despejando la parte real e imaginaria de la ecuación (5) se obtienen las ecuaciones (6) y (7), respectivamente.


A partir de este modelo es posible definir las propiedades eléctricas complejas del concreto (permitividad dieléctrica y conductividad) usando los resultados presentados en [23]. En dicho trabajo, los autores realizaron pruebas usando una probeta de concreto con dos NH (0% y 14,5 %), caliza como único agregado, sin ninguna clase de aditivo y con una relación agua-cemento de 0,5 para un rango de frecuencias entre 250 y 700 MHz.
Bajo estas condiciones, para aplicar el modelo, es necesario conocer en primera medida la susceptibilidad eléctrica compleja del concreto [23]. Luego, es preciso obtener algunos parámetros eléctricos como la susceptibilidad eléctrica real a cierta frecuencia de referencia (Xr), el factor de pérdidas dieléctricas (n) y la permitividad relativa real a alta frecuencia (ε?). En este sentido, la Xr y el n se obtienen a partir de optimización lineal (minimización), mientras la ε? se obtiene al considerar el valor de la permitividad relativa real para un NH de 0% (700 MHz).
La Tabla I muestra los parámetros eléctricos obtenidos luego de aplicar el modelo de Jonscher a la mezcla de concreto seleccionada con dos NH, los cuales fueron el mayor rango de humedad analizado en [23]. LaXr y el n en cada NH fueron obtenidos fijando como frecuencias de referencia (fr) 250 MHz y 431,86 MHz. En cada caso, los parámetros fueron obtenidos calculando el menor error medio cuadrático (MSE, por sus siglas en inglés) entre la permitividad relativa real obtenida experimentalmente en [23] y la obtenida con ayuda del modelo matemático descrito en [29], [30], usando la ecuación (8).


En esta expresión, εc y εexp son las permitividades relativas complejas obtenidas por el modelo de Jonscher y de forma experimental, respectivamente. A partir de lo anterior, la Figura 1 muestra el comportamiento de la permitividad relativa experimental (Exp) frente a las permitividades calculadas con el modelo de Jonscher (Jsch). En ambos casos, la permitividad fue estimada para los NH establecidos previamente (0% y 14,5 %).

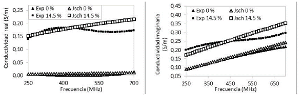
A partir del vector de densidad de corriente, en la Figura 2 se ilustra el comportamiento de la conductividad eléctrica real e imaginaria correspondientes a las probetas de concreto analizadas en la Figura 1 con diferentes niveles de humedad.

Es importante mencionar que otros autores como Chahine et al. [31] y Villain et al. [32] utilizan métodos similares para lograr los parámetros del modelo de Jonscher. Sin embargo, dichos trabajos omiten relaciones matemáticas como las mostradas en las ecuaciones (2) y (4), limitándose únicamente a variar los parámetros del modelo hasta lograr un buen ajuste entre las curvas [32], [33].
Parámetros de dispersión o scattering
Los parámetros de dispersión o parámetros S (por su sigla en inglés de scattering) son la forma más eficiente y sencilla para conocer el apantallamiento otorgado por cualquier estructura a partir de resultados obtenidos con ayuda de simulaciones. Estos parámetros son identificados como los coeficientes de transmisión y reflexión de una onda electromagnética incidente en un punto determinado ante un cambio de medio o material. Además, describen el comportamiento de estos medios en condiciones lineales y en un rango de frecuencias definido [34], [35].
Los subíndices de los parámetros S indican el puerto de llegada y salida de la señal. De esta manera, por ejemplo, el parámetro S21 indica que llega al puerto 2 y sale del puerto 1, representando el coeficiente de transmisión de la onda electromagnética. Por otra parte, el parámetro S11 es identificado como la salida y llegada de la señal al puerto 1 y se conoce como el coeficiente de reflexión de la onda electromagnética [36]. En este sentido, la Figura 3 muestra una estructura en la que inciden ondas electromagnéticas y es posible apreciar sus pérdidas de energía por reflexión, absorción y múltiples reflexiones. Adicionalmente, se incluye una relación de las pérdidas de energía con los parámetros S, simulando una red de dos puertos.

Como ya se mencionó, los parámetros S son utilizados habitualmente para conocer la efectividad de apantallamiento electromagnético o SE (por sus siglas en inglés de shielding effectiveness) a través de las potencias electromagnéticas incidentes y transmitidas en determinado medio. En la ecuación (9) se muestra la SE obtenida a partir de los parámetros S (Figura 3).

En este sentido, es posible descomponer la SE en tres tipos de pérdidas de energía (reflexión, absorción y múltiples reflexiones), las cuales habitualmente están presentes en una condición de frontera dada entre dos medios distintos. La definición de la SE es presentada en la ecuación (10) [37]-[42].

Siendo SER la efectividad de apantallamiento por reflexión, SEA la efectividad de apantallamiento por absorción y SEM la efectividad de apantallamiento por múltiples reflexiones. La SER ocurre cuando la onda incidente es parcialmente reflejada debido al cambio de impedancia (medios distintos). Por su parte, la SEA se presenta cuando la porción de onda trasmitida (no reflejada) es atenuada al penetrar en el material [43], [44]. Por último, la SEM tiene en cuenta las múltiples reflexiones internas en el material luego que la onda lo ha atravesado.
Dadas las condiciones para el cálculo de la SETotal, es necesario establecer algunas relaciones que vinculen los parámetros S con el blindaje electromagnético ofrecido por las estructuras. Para ello, se definen los parámetros de transmitancia (T), reflectancia (R) y absorción (A), los cuales pueden ser relacionados directamente con los parámetros S11 (o S22) y S21 (o S12) obtenidos de las simulaciones. En las ecuaciones (11) y (12) son mostradas dichas relaciones [37], [38], [42].


Con base en estas relaciones, el parámetro de absorción se obtiene a partir de la trasmitancia y reflectancia usando la ecuación (13) [37], [38], [42].

Por otra parte, haciendo uso de la definición de reflectancia mostrada en la ecuación (12), la relación entre SER y el parámetro de reflectancia se muestra en la ecuación (14) [37]-[39], [41], [42].

En el caso de la SEA, esta efectividad está relacionada con los parámetros de reflectancia y transmitancia a través de la ecuación (15) [37]-[39], [41], [42]. Sin embargo, si se remplazan los parámetros definidos en las ecuaciones (11) y (12), se obtiene una nueva expresión en función de los parámetros de dispersión obtenidos en la simulación.

Finalmente, la efectividad de apantallamiento por múltiples reflexiones (SEM) se obtiene a partir de SEA, tal y como se muestra en la ecuación (16) [40].

Para hacer más comprensible estas definiciones, y a manera de ejemplo, se calcularon las efectividades SEA, SER, SEM y SETotal ofrecidas por la estructura de concreto mostrada en la Figura 4. Esta estructura tiene un espesor de 0,15 m, una altura de 1 m y posee la mezcla descrita en la sección 2.1, la cual fue caracterizada previamente con el modelo de Jonscher. En este sentido, con el propósito de conocer el blindaje electromagnético ofrecido por el concreto, se realizaron un conjunto de simulaciones en COMSOL Multiphysics? usando una guía de onda (con un puerto de entrada y uno de salida o red de dos puertos) con el propósito de modelar diversos muros o estructuras hechas de este material [45], [46]. La Figura 4 muestra la ubicación del emisor (puerto 1, línea roja) y del receptor (puerto 2, línea verde) de la onda plana, los cuales están ubicados sobre la cara frontal (izquierda) y posterior (derecha) de la estructura de concreto, respectivamente. Por otra parte, el comportamiento de los parámetros S11 y S21 con respecto a la frecuencia se muestra en la Figura 5.


A partir de los parámetros presentados en la Figura 5, y usando las ecuaciones (10), (14), (15) y (16), se estimó la efectividad de apantallamiento (SE) por reflexión, absorción, múltiples reflexiones y reflexión total. Los resultados de estas pruebas se muestran en la Figura 6 y se puede observar cómo la efectividad de apantallamiento por reflexión es muy baja (menos de 1 dB), mientras la asociada a múltiples reflexiones inicia cerca de 20 dB y alcanza rápidamente un valor por debajo de 2 dB a partir de los 500 MHz. Por su parte, la efectividad por absorción alcanza un valor cercano a 8 dB luego de 1000 MHz y es quien más aporta a la efectividad total. Esta última inicia en 22 dB a bajas frecuencias, alcanza su punto mínimo (6 dB aproximadamente) entre 200 y 250 MHz y, finalmente, se estabiliza en 9 dB a partir de 1000 MHz.

Metodología
Para evaluar el apantallamiento que ofrecen diferentes estructuras de concreto, se analizó la SE ofrecida por seis muros simulados en 2D. Todas las estructuras tienen una altura de 1 m y se cambiaron los espesores (0,05 m, 0,15 m y 0,3 m). Estos espesores fueron seleccionados teniendo en cuenta los análisis de apantallamiento para estructuras de concreto realizados por A. Ogunsola et al. [6], [12], R. Dalke et al. [47] y G. Antonini et al. [4]. Adicionalmente, tres de los muros poseen un NH de 0% y los restantes de 14,5 %. Asimismo, todas las estructuras tienen la misma mezcla de material caracterizada en la sección 2.1: caliza como único agregado, sin ninguna clase de aditivo y con una relación agua-cemento de 0,5.
En lo que respecta a los parámetros eléctricos del concreto, tanto su permitividad relativa como su conductividad eléctrica en función de la frecuencia fueron tomadas de los resultados mostrados en la Figura 1 y Figura 2. Adicionalmente, se configuro´ COMSOLR para realizar simulaciones de ondas electromagnéticas en el dominio de la frecuencia. Como señales de entrada se aplicaron pulsos gaussianos y fuera de la estructura se definió en la frontera un material sin pérdidas, es decir, un conductor eléctrico perfecto.
Para los seis casos de estudio, empleando las definiciones y expresiones matemáticas presentadas en la sección 2.2, se analizó la SE por absorción, reflexión, múltiples reflexiones y reflexión total para un rango de frecuencias entre 200 MHz y 3000 MHz con intervalos de 10 MHz. Este rango fue seleccionado considerando la banda de UHF (por sus siglas en inglés de Ultra High Frequency), la cual abarca muchas de las fuentes de interferencia que se presentan en un entorno electromagnético habitual, incluyendo señales de radio, TV digital y comunicaciones móviles.
Resultados y discusión
En la Figura 7, la Figura 8 y la Figura 9 se muestran los apantallamientos ofrecidos por las estructuras con NH de 0% y los tres espesores definidos. Como se puede observar, la SEM posee mayor magnitud a bajas frecuencias y tiende a disminuir a altas frecuencias, variando desde 21 dB (muro con espesor de 0,05 m) hasta 2 dB (muro con grosor de 0,3 m). De igual manera, se evidencia que la SEA aumenta con la frecuencia y es más significativa a medida que el espesor del muro aumenta. Sin embargo, esta efectividad de apantallamiento en ningún caso supera los 8 dB. Finalmente, se aprecia que la SER está por debajo de 3 dB para todos los casos y en todo el rango de frecuencias. Esto se debe a que el concreto es un medio dieléctrico imperfecto (σ ’’ ¹ 0), por lo tanto, las pérdidas por reflexión son despreciables [16], [17], [48], [49].



En términos generales, el grosor de las estructuras de concreto con NH de 0% influye de manera significativa sobre la SETotal a baja frecuencia. Cuando el espesor del muro aumenta el apantallamiento en baja frecuencia disminuye de 21 dB a 14 dB, mientras que en alta frecuencia la reducción es de solo 1,5 dB con un valor máximo de 11 dB (espesor 0,05 m) y un valor mínimo de 7 dB (espesor de 0,15 m). Esta conducta en el apantallamiento se debe al efecto de las pérdidas por múltiples reflexiones, las cuales, como ya se mencionó, se incrementan en muros con grosores pequeños y bajos contenidos de humedad. Esto último concuerda con lo mostrado en [50] y [51].
Por su parte, en la Figura 10, la Figura 11 y la Figura 12 se muestran los blindajes electromagnéticos ofrecidos por las estructuras de concreto con un NH de 14,5 %. De estas pruebas se observa que al aumentar el NH las pérdidas por absorción se incrementan a medida que el espesor de la estructura aumenta, registrando un crecimiento considerable de hasta 50 dB en altas frecuencias. Caso contrario sucede con las pérdidas por múltiples reflexiones, en las cuales ocurre un decaimiento exponencial de la amplitud de la onda cuando pasa a través del concreto. Este decaimiento ocurre debido a que las corrientes inducidas en el material producen pérdidas óhmicas y calentamiento.



Finalmente, la SETotal obtenida para las estructuras analizadas aumenta en función de la frecuencia. Lo anterior siempre y cuando exista humedad en el concreto y se incremente el espesor del muro. Estos resultados concuerdan con los presentados por otros autores como Ogunsola et al. [6], donde se analiza la SE en muros de concreto cuando se añaden a la mezcla partículas de materiales conductores. En dicho trabajo se han logrado apantallamientos de aproximadamente 7,9 dB a 4 GHz con un NH de 5,5% [6], o efectividades de aproximadamente 27 dB a 1 GHz en muros con un NH de 12% [11].
Conclusiones
A partir de las pruebas y los resultados presentados en este artículo, se presentan las siguientes conclusiones:
El modelo de Jonscher ofrece una buena respuesta al ser aplicado a las propiedades eléctricas complejas de diversas mezclas de concreto. Aplicando este modelo matemático fue posible conocer las propiedades eléctricas complejas de este material dieléctrico partiendo de datos obtenidos en forma experimental y sin importar el rango de frecuencias que se quiera analizar.
La aplicación del modelo electromagnético seleccionado permitió ampliar el rango de frecuencias en el cual pueden llevarse a cabo las estimaciones de la permitividad dieléctrica y la conductividad eléctrica del concreto, alcanzando los 700 MHz. Asimismo, la respuesta obtenida por simulaciones en dos dimensiones (2D) puede ser considerada una aproximación aceptable para abordar el problema y proporciona información válida sobre el comportamiento del concreto ante radiaciones electromagnéticas de alta y muy alta frecuencia.
Al variar el grosor y el NH en las estructuras de concreto se evidenció, para el intervalo de frecuencia evaluado (banda UHF entre 200 MHz y 3 GHz), un aumento en la efectividad de apantallamiento electromagnético total (SETotal). Este aumento se debe a una mayor presencia de las pérdidas de energía por absorción (SEA). Adicionalmente, al disminuir el grosor y el NH se observó una mayor participación en el apantallamiento de las pérdidas de energía por múltiples reflexiones (SEM).
Dado que el concreto es un medio dieléctrico imperfecto, las pérdidas de energía por reflexi ón (SER ) en el material estructural son bajas comparadas con los demás tipos de pérdidas analizadas en el estudio (SEA, SEM). Aun así, este material estructural puede ser usado como apantallamiento natural contra perturbaciones electromagnéticas radiadas en la banda de UHF.
Los resultados obtenidos en este trabajo sobre la efectividad de apantallamiento que ofrecen estructuras de concreto podrían emplearse para evaluar la inmunidad de equipos sensibles, por ejemplo, equipos electromédicos cuyos límites son establecidos en el estándar IEC 61001 1-2. Asimismo, se pueden considerar fuentes de perturbación diferentes a los presentados por la norma IEC 61000 2-5 y a una frecuencia superior a la establecida en la banda UHF.
Debido a algunas limitaciones de hardware, y con el ánimo de analizar de manera preliminar la respuesta del concreto como material para apantallamiento, este trabajo solo empleó simulaciones en dos dimensiones (2D). No obstante, la siguiente etapa de esta investigación estará orientada a implementar entornos de simulación en tres dimensiones (3D) y al desarrollo de simulaciones de onda completa (full-wave). Asimismo, se podría evaluar si la efectividad del apantallamiento se ve influenciada por la presencia de mallas de acero como refuerzo y su disposición (vertical u horizontal) dentro de la estructura de concreto.
Agradecimientos: Este trabajo fue posible gracias al soporte y asesoría del Grupo de compatibilidad e interferencia electromagnética (GCEM-UD) de la Universidad Distrital Francisco José de Caldas.
Referencias
International Electrotechnical Committee, International standard IEC 61000 1-1, Electromagnetic compatibility (EMC), International Electrotechnical Committee, 2000.
M. Kaur, S. Kakar y D. Mandal, “Electromagnetic interference”, en International Conference on Electronics Computer Technology, Kanyakumari, abril 2011.
A. Keshtkar, A. Maghoul, A. Kalantarnia y N. Elmiye, “Investigation of Shielding Effectiveness Caused by Incident PlaneWave on Conductive Enclosure in UHF Band”, Applied Mechanics and Materials, vol. 110, pp. 485-490, 2010. https://doi.org/10.4028/www.scientific.net/AMM.110-116.940
G. Antonini, A. Orlandi y D. Stefano, “Shielding Effects of Reinforced Concrete Structures to Electromagnetic Fields due to GSM and UMTS Systems”, IEEE Transactions on Magnetics, vol. 39, n._ 3, pp. 1582-1585, 2003. https://doi.org/10.1109/TMAG.2003.810327
M. Romanca, P. Ogrut¸an, L. Aciu y G. Nicolae, “Methods of Investigating Construction Materials used for Intelligent Building Shielding”, en International Conference on Optimization of Electrical and Electronic Equipment, Brasov, mayo 2008.
A. Ogunsola, U. Reggiani y L. Sandrolini, “Shielding properties of conductive concrete against transient electromagnetic disturbances”, en IEEE International Conference on Microwaves, Communications, Antennas and Electronics Systems, Tel Aviv, noviembre 2009.
S. Y. Hyun et al. , “Analysis of shielding effectiveness of reinforced concrete against high-altitude electromagnetic pulse”, IEEE Transactions on Electromagnetic Compatibility, vol. 56, n._ 6, pp. 1488-1496, 2014. https://doi.org/10.1109/TEMC.2014.23229
A. A. Emelyanenko, J. H. Doh, H. G. Espinosa y D. V. Thiel, “Microwave measurements in cured concrete. Experiment and modelling”, en Australian Microwave Symposium, Brisbane, abril 2018.
H. Guan, S. Liu, Y. Duan y J. Cheng, “Cement based electromagnetic shielding and absorbing building materials”, Cement and Concrete Composites, vol. 28, n._ 5, pp. 468-474, 2006. https://doi.org/10.1016/j.cemconcomp.2005.12.004
A. Ogunsola, U. Reggiani y L. Sandrolini, “Modelling shielding properties of concrete”, en International Zurich Symposium on Electromagnetic Compatibility, Singapur, mayo 2006.
A. Ogunsola, U. Reggiani y L. Sandrolini, “Shielding effectiveness of concrete buildings”, en International Symposium on Electromagnetic Compatibility and Electromagnetic Ecology, San Petersburgo, junio 2005.
L. Sandrolini, U. Reggiani y A. Ogunsola, “Modelling the electrical properties of concrete for shielding effectiveness prediction”, Journal of Physics D: Applied Physics, vol. 40, n._ 17, pp. 5366-5372, 2007. https://doi.org/10.1088/0022-3727/40/17/053
A. Mazzoli et al. , “Effect of graphene oxide and metallic fibers on the electromagnetic shielding effect of engineered cementitious composites”, Journal of Building Engineering, vol. 18, pp. 33-39, 2018. https://doi.org/10.1016/j.jobe.2018.02.019
S. Laurens, J. Balayssac, J. Rhazi, G. Klysz y G. Arliguie, “Non-destructive evaluation of concrete moisture by GPR technique: experimental study and direct modeling”, Materials and Structures, vol. 38, pp. 827-832, 2003. https://doi.org/10.1007/BF02481655
D. Askeland, Ciencia e Ingeniería de los Materiales. México D.F.: International Thomson Editores, 1998.
M. Soutsos, J. Bungey, S. Millard, M. Shaw y A. Patterson, “Dielectric properties of concrete and their influence on radar testing”, NDT & E International, vol. 34, n._ 6, pp. 419-425, 2001. https://doi.org/10.1016/S0963-8695(01)00009-3
A. Robert, “Dielectric permittivity of concrete between 50 Mhz and 1 Ghz and GPR measurements for building materials evaluation”, Journal of Applied Geophysics, vol. 40, n._ 1-3, pp. 89-94, 1998. https://doi.org/10.1016/S0926-9851(98)00009-3
A Shaari, S. Millard y J. Bungey, “Measurement of Radar Properties of Concrete for in Situ Structural Elements”, Insight, vol. 44, n.12, pp. 756-758, 2002.
B. Feitor, R. Caldeirinha, T. Fernandes, D. Ferreira y N. Leonor, “Estimation of Dielectric Concrete Properties from Power Measurements at 18. 7 and 60 GHz”, Loughborough, noviembre 2011.
H. Kim, M. G. Min y K. H. Lee, “Estimation of Dielectric Properties of Concrete Using Backward Tracing (ITC-CSCC 2019)”, en International Technical Conference on Circuits/Systems, Computers and Communications (ITC-CSCC), Jeju, junio 2019.
H. Yada, M. Nagai y K. Tanaka, “Origin of the fast relaxation component of water and heavy water revealed by terahertz time-domain attenuated total reflection spectroscopy”, Chemical Physics Letters, vol. 464, n._ 4-6, pp. 166-170, 2008. https://doi.org/10.1016/j.cplett.2008.09.015
D. Micheli et al. , “Electromagnetic characterization and shielding effectiveness of concrete composite reinforced with carbon nanotubes in the mobile phones frequency band”, Materials Science and Engineering: B, vol. 188, pp. 119-129, 2014. https://doi.org/10.1016/j.mseb.2014.07.001
K. Pokkuluri, “Effect of Admixtures, Chlorides, and Moisture on Dielectric Properties of Portland Cement Concrete in the Low Microwave Frequency Range”, Tesis de doctorado, Instituto Politécnico y Universidad Estatal de Virginia, Blacksburg, 1998.
A. K. Jonscher, “Dielectric relaxation in solids”, Journal of Physics D: Applied Physics, vol. 57, n.5, pp. 57-58, 1999. https://doi.org/10.1088/0022-3727/32/14/201
V. I. Gaiduk, Dielectric Relaxation and Dinamics of Polar Molecules. Nueva York: World Scientific Publishing, 1999.
A. Jonscher, “The ‘Universal’ Dielectric Reponse: Part I”, IEEE Electrical Insulation Magazine, vol. 6, n.2, pp. 16-22, 1990. https://doi.org/10.1109/57.50801
A. Jonscher, “The ‘Universal’ Dielectric Reponse: Part II”, IEEE Electrical Insulation Magazine, vol. 6, n3, pp. 24-28, May 1990. https://doi.org/10.1109/57.55287
A. Jonscher, “The ‘Universal’ Dielectric Reponse: Part III”, IEEE Electrical Insulation Magazine, vol. 6, n.4, pp. 19-24, 1990. https://doi.org/10.1109/57.63055
C. Achedad y L. Giménez, Ingeniería de organización: modelos y aplicaciones. Madrid: Ediciones Díaz de Santos, 2008.
B. Render, Principios de administración de operaciones. Ciudad de México: Pearson Educación, 2004
K. Chahine, A. Ihamouten, V. Baltazart, G. Villain y X. Derobert, “On the variants of Jonscher’s model for the electromagnetic characterization of concrete”, en Internarional Conference on Ground Penetrating Radar, Lecce, junio 2009.
G. Villain, A. Ihamouten y X. Dérobert, “Use of Frequency Power Law to Link the Results of Two EM Testing Methods for the Characterization of Humid Concretes”, en International Workshop on Advanced Ground Penetrating Radar (IWAGPR), Aachen, junio 2011.
A. Ihamouten, K. Chahine, V. Baltazart, G. Villain y X. Dérobert, “On Variants of the Frequency Power Law for the Electromagnetic Charac- terization of Hydraulic Concrete”, IEEE Transactions on Instrumentation and Measurement, vol. 60, n._ 11, pp. 3658-3668, 2011. https://doi.org/10.1109/TIM.2011.2138210
J. Hernández, Teoría de líneas de trasmisión e ingeniería de microondas. Mexicali: Universidad Autónoma de Baja California, 1999.
J. Colombo, “Análisis y mediciones de los parámetros de dispersión o Scattering parameters en un cuadripolo o en una red de n puertos (multipolo)”. [En línea]. Disponible en: https://docplayer.es/2302630-Medicion-de-parametros-de-dispersion-s.html
O. Galao, “Matrices cementicias multifuncionales mediante adición de nanofibras de carbono”, Tesis doctoral, Universidad de Alicante, Alicante, 2012.
P. Saini, V. Choudhary, B. Singh, R. Mathur y S. Dhawan, “Polyaniline-MWCNT nanocomposites for microwave absorption and EMI shield- ing”, Materials Chemistry and Physics, vol. 113, n. 2-3, pp. 919-926, 2009. https://doi.org/10.1016/j.matchemphys.2008.08.06
V. Choudhary, S. Dhawan y P. Saini, “Polymer based nanocomposites for electromagnetic interference (EMI) shielding”, en EM Shielding. Theory and Development of New Materials. Kerala: Research Signpost, 2012.
B. Singh, V. Choudhary, P. Saini y R. Mathur, “Designing of epoxy composites reinforced with carbon nanotubes grown carbon fiber fabric for improved electromagnetic interference shielding”, AIP Advances, vol. 2, n.2, 2012. https://doi.org/10.1063/1.4730043
P. Saini, V. Choudhary, B. Singh, R. Mathur y S. Dhawan, “Enhanced microwave absorption behavior of polyaniline-CNT/polystyrene blend in 12.4-18.0GHz range”, Synthetic Metals, vol. 161, n.15-16, pp. 1522-1526, 2011. https://doi.org/10.1016/j.synthmet.2011.04.033
S. Anoop, A. Singh, P. Saini, F. Khatoon y S. Dhawan, “Synthesis, charge transport studies, and microwave shielding behavior of nanocomposites of polyaniline with Tidoped -Fe2O3”,Journal of Materials Science, vol. 47, n.5, pp. 2461-2471, 2011. https://doi.org/10.1007/s10853-011-6068-5
H. Kim et al. , “Electrical conductivity and electromagnetic interference shielding of multiwalled carbon nanotube composites containing Fe catalyst”, Applied Physics Letters, vol. 84, n.4, p. 589-591, 2004. https://doi.org/10.1063/1.1641167
G. Guzmán, “Verificación de efectividad de blindaje electromagnético por teorema se reciprocidad”, Tesis de maestría, Universidad Autónoma de Nuevo León, Monterrey, 1992.
D. Chung, “Materials for Electromagnetic Interference Shielding”, Journal of Materials Engineering and Performance, vol. 9, n.5, pp. 350- 354, 2000. https://doi.org/10.1361/105994900770346042
W. Frei, “Meshing Considerations for Linear Static Problems”. [En línea]. Disponible en: https://www.comsol.com/blogs/meshing-considerations-linear-static-problems
COMSOL Multiphysics, “Introduction to COMSOL Multiphysics”. [En línea]. Disponible en: https://cdn.comsol.com/doc/4.3/COMSOL_Re-leaseNotes.pdf
R. Dalke, C. Holloway, P. McKenna, M. Johansson y A. Ali, “Effects of Reinforced Concrete Structures on RF Comunications”, IEEE Transactions on Electromagnetic Compatibility, vol. 42, n.4, pp. 486-496, 2000. https://doi.org/10.1109/15.902318
R. Haddad y I. Al-Qadi, “Characterization of portland cement concrete using electromagnetic waves over the microwave frequencies”, Cement and Concrete Research, vol. 28, n.10, pp. 1379-1391, 1998. https://doi.org/10.1016/S0008-8846(98)00076-3
H. Rhim y O. Buyukozturk, “Electromagnetic Properties of Concrete at Microwave Frequency Range”, Materials Journal, vol. 95, n.3, pp. 262-271, 1998. https://doi.org/10.14359/370
L. Hemming, Architectural Electromagnetic Shielding Handbook: A Design and Specification Guide. Nueva York: Willey-IEEE Press, 2000.
S. Celozzi, R. Araneo y G. Lovat, Electromagnetic Shielding. Roma: Wiley-IEEE Press, 2008.