Artículos de Investigación
Conservación de piña mínimamente procesada: evaluación de parámetros fisicoquímicos
Preservation of Minimally Processed Pineapple: Evaluation of Physicochemical Parameters
Conservación de piña mínimamente procesada: evaluación de parámetros fisicoquímicos
Ingeniería, vol. 27, núm. 1, e206, 2022
Universidad Distrital Francisco José de Caldas
Recepción: 07 Febrero 2021
Aprobación: 17 Septiembre 2021
Resumen
Contexto: El alto consumo de piña a nivel mundial requiere que el mercado ofrezca diferentes alternativas de comercialización, incluyendo productos mínimamente procesados. Los cambios indeseables en el producto durante el almacenamiento pueden reducirse mediante las condiciones de procesamiento y empaque. El objetivo de este trabajo fue evaluar el efecto del tipo de empaque, el pretratamiento y el tipo de corte sobre parámetros de calidad de piña fresca cortada.
Método: La piña fue cortada en cubos de 2 cm de lado y en cuartos de rodaja de 1,5 cm de espesor. Las muestras se almacenaron en envases PET con o sin almohadilla absorbente. Se evaluó además el preenfriamiento de las muestras. Se evaluaron propiedades de calidad del producto durante 14 días de almacenamiento.
Resultados: Los cuartos de rodaja presentaron menor pérdida de peso, mantuvieron el color, el contenido de vitamina C, los polifenoles y la capacidad antioxidante, mientras el corte en cubos presentó mejor comportamiento en cuanto a la firmeza. El uso de almohadillas absorbentes aceleró la pérdida de peso, el preenfriamiento no mostró un efecto significativo en las variables de respuesta.
Conclusiones: Los resultados obtenidos sugieren que es posible mantener las propiedades de calidad de piña variedad MD2 mínimamente procesada cortada en cuartos de rodaja y empacada en envases PET conservando la vitamina C y los compuestos fenólicos.
Palabras clave: almohadilla absorbente+ preenfriamiento+ tipo de corte+ refrigeración+ piña.
Abstract
Context: The high consumption of pineapple worldwide requires that the market offer different commercialization alternatives, including minimally processed products. Undesirable changes in the product during storage can be reduced by its processing and packaging conditions. This work aimed to evaluate the effect of the type of packaging, the pretreatment, and the type of cut on fresh-cut pineapple quality parameters.
Method: The pineapple was cut into 2 cm cubes and quarter slices of 1,5 cm thickness. Samples were stored in PET containers with or without an absorbent pad. The precooling of the samples was also evaluated. The quality properties of the fruit were evaluated during 14 days of storage.
Results: The quarter slices showed less weight loss and maintained their color, vitamin C content, polyphenols, and antioxidant capacity, whereas the cut in cubes showed a better performance in terms of firmness. The use of absorbent pads accelerated the weight loss. Precooling did not show a significant effect in the response variables.
Conclusions: The results obtained suggest that it is possible to maintain the quality properties of minimally processed pineapple of the MD2 variety when it is cut in quarter slices and packaged in PET containers, thus preserving the vitamin C content and phenolic compounds.
Keywords: absorbent pad, precooling, type of cut, refrigeration, pineapple.
Introducción
La piña es una fruta tropical de alto consumo por sus propiedades organolépticas y nutricionales (vitamina C y compuestos antioxidantes) 1. Cerca del 70 % de la producción mundial se consume en fresco y el resto se destina a productos como jugos, mermeladas y enlatados, entre otros 2, 3. Debido al tamaño del fruto, a su cáscara no comestible y a la dificultad para pelar, se reduce la aceptación del consumidor que busca frutas de consumo inmediato 4. Esto ha incrementado el consumo de frutas mínimamente procesadas en los últimos años. El corte y la manipulación durante la elaboración de este tipo de productos generan daños mecánicos que reducen su vida útil, de ahí que el empaque sea un aspecto clave para mantener las propiedades del producto 5.
Una alternativa de conservación es el uso de empaques en los cuales se incorporan absorbentes y modificadores de atmósferas que actúan sobre el producto perecedero y su entorno 6. Entre ellos están los agentes hidrofílicos tales como las almohadillas absorbentes, que tienen la función de absorber el exceso de agua en estado líquido 7, 8, evitando el crecimiento microbiano en el lixiviado que se deposita en el fondo del empaque. Sin embargo, no se han reportado suficientes estudios que evidencien la calidad y la vida útil del producto.
Por otra parte, el uso de pretratamientos ha mostrado tener un efecto positivo en productos mínimamente procesados. En piña mínimamente procesada se han usado diferentes pretratamientos como el 1-MCP (1 metil ciclo propano) 9, radiación Gamma 10 y luz ultravioleta 11. Estos tratamientos han mostrado ser efectivos en el control del crecimiento microbiano, la pérdida de textura y los cambios en el pH. Sin embargo, no muestran efecto en otros parámetros de calidad como el color o el contenido de vitamina C. Otra alternativa de pretratamiento es el preenfriamiento, de fácil implementación y con una relación costo beneficio mayor a la de otros pretratamientos 12. El objetivo del preenfriamiento es poner en equilibrio la atmósfera dentro del recipiente con la del refrigerador antes del almacenamiento 13. El preenfriamiento reduce la tasa metabólica de los frutos, limita el crecimiento de patógenos, reduce la pérdida de agua y aumenta la vida útil 14. Además, previene la aparición de desórdenes fisiológicos y retarda la maduración o senescencia del fruto.
Productos como la espinaca que son comercializados como mínimamente procesados requieren de preenfriamiento para prevenir la pérdida de agua y el rápido deterioro del producto 15. En productos como manzanas y melones se ha demostrado que el enfriamiento previene la pérdida de firmeza, peso y vitamina C 13. Los productos mínimamente procesados tienden a aumentar su tasa de respiración y producción de etileno, el control de la temperatura y la adaptación al ambiente de almacenamiento pueden reducir el efecto del corte sobre el deterioro acelerado del producto 16.
El objetivo de este trabajo fue evaluar el efecto combinado del uso de preenfriamiento y almohadillas absorbentes sobre parámetros de calidad (peso, pH, acidez, sólidos solubles, color, firmeza, vitamina C, polifenoles totales y capacidad antioxidante) de piña variedad MD2 mínimamente procesada con dos tipos de corte.
Metodología
Procesamiento de la piña
Se usó piña recién cosechada variedad MD2 proveniente de los cultivos CBH (Valle del Cauca, Colombia), con un estado de madurez entre 0 y 1 (90 % cáscara color verde) y sin daños por microorganismos. Las piñas se lavaron, se desinfectaron con hipoclorito de sodio (10 ppm) durante 10 min y se enjuagaron con agua potable. Se pelaron manualmente, se les retiró el corazón y se cortaron en cubos de 2 cm o en cuartos de rodaja de 1,5 cm de espesor según el diseño experimental. El proceso general se presenta en la Figura 1.

Materiales de empaque
Las muestras se empacaron en cajas de tereftalato de polietileno (PET) de 11×9×3 cm, con capacidad de 200 g cada una. Se evaluó el uso de almohadillas (TAS2) como absorbentes del lixiviado. Las almohadillas, con una capacidad de absorción máxima de 3300 cm3 /m2 , están formadas por tres capas, la inferior y la superior son de una mezcla impermeable de polietileno (PE) y la intermedia es de celulosa con SAF (fibra súper absorbente).
Empaque, preenfriamiento y almacenamiento
Para los ensayos se utilizaron aproximadamente 190 g de fruta cortada. Las muestras sin preenfriamiento se almacenaron 14 días a 4 °C. Las muestras con preenfriamiento se mantuvieron a 4 °C durante 3 h con los empaques abiertos. Posteriormente se cerraron y se almacenaron 14 días a 4 °C. Se realizó seguimiento de los parámetros fisicoquímicos los días 0, 2, 6, 8, 12 y 14.
Diseño experimental
Se utilizó un diseño factorial 23 cuyos factores fueron tipo de empaque (con y sin almohadilla), tipo de corte (cubos y cuartos de rodaja) y pretratamiento (con y sin preenfriamiento). Todos los tratamientos se realizaron por triplicado. Se empleó la siguiente nomenclatura: ACP (con almohadilla, cubos, preenfriado), ACS (con almohadilla, cubos, sin preenfriado), NCP (sin almohadilla, cubos, preenfriado), NCS (sin almohadilla, cubos, sin preenfriado), ARP (con almohadilla, cuartos de rodaja, preenfriado), ARS (con almohadilla, cuartos de rodaja, sin preenfriado), NRP (sin almohadilla cuartos de rodaja, preenfriado), NRS (sin almohadilla, cuartos de rodaja, sin pre enfriado).
Evaluación de parámetros fisicoquímicos
Pérdida de peso
Para evaluar la pérdida de peso (porcentaje respecto al peso inicial) se utilizó una balanza (Ohaus, Suiza, precisión 0,01 g).
Color
La medición del color se realizó con un colorímetro (ColorFlex® EZ de Hunterlab). Se eligieron aleatoriamente tres muestras por empaque a las cuales se les midió el color en dos puntos. El color se expresó en términos de los parámetros L* (luminosidad), a* (cromaticidad verde) y b* (cromaticidad amarilla).
Firmeza
La firmeza (N) se midió con un texturómetro (Shimadzu) usando una celda de carga de 500 N con punzón de punta plana de 3 mm de diámetro. La prueba se realizó con un desplazamiento de 10 mm y una velocidad de penetración de 50 mm/min. Para realizar la medición se eligieron al azar tres muestras por empaque.
Sólidos solubles totales
La determinación del contenido de sólidos solubles totales (SST), reportados en °Brix, se realizó a 20 °C en un refractómetro (Atago RX-700α).
pH y acidez titulable
El pH se determinó empleando un pH-metro digital (Hanna). La acidez titulable ( % de ácido cítrico) se realizó por el método estándar AOAC942.15 (17).
Vitamina C, contenido total de polifenoles y capacidad antioxidante
La determinación del contenido de ácido ascórbico (AA) se realizó en jugo de piña por el método reflectométrico (Reflectoquant®) con tiras de ensayo de 25 a 450 mg/l. Se realizó una dilución 1:1 con ácido oxálico al 1 %. Los datos se reportan en mg de ácido ascórbico/100 g. El cálculo se realizó usando la Ecuación (1).

Donde C es la concentración medida por el equipo (mg/l), V es el volumen de ácido oxálico (l) y P es el peso de la muestra (g).
Para la extracción de los polifenoles se empleó un horno de microondas (marca LG referencia MS-0746T), durante 1 min con una potencia de 1000 W. Se usó 1 g de muestra y 15 ml de etanol (96 %). Se retiró el sobrenadante y los extractos se almacenaron protegidos de la luz hasta su análisis. La determinación del contenido total de polifenoles se realizó por espectrofotometría según el método propuesto por Ainsworth y Gillespie (18) y modificado por Ozturk et al. (19). Se mezclaron 1.560 µL de agua destilada con 40 µL de extracto, 100 µL de reactivo de Folin-Ciocalteu (PanReac AppliChem) y 300 µL de solución filtrada de carbonato de sodio al 20 % (Loba Chemie PVT). La mezcla se vació en tubos de ensayo y se realizó agitación manual durante 1 min. Posteriormente se almacenó en la oscuridad durante 1 h. La lectura se hizo a 755 nm en un espectrofotómetro (GenesysTM 20 de Thermo Scientific) usando etanol como blanco. La curva de calibración se realizó con ácido gálico siguiendo el procedimiento descrito con concentraciones de 0,04, 0,1, 0,16, 0,2 y 0,3 mg de ácido gálico/ml de solución. Los resultados se expresan como mg AGE/100g. La neutralización de los radicales libres de 2,20-difenil-1-picrílihidrazil (DPPH) se midió por método espectrofotométrico. La reacción se llevó a cabo usando 300 µL de extracto con 3.700 µL de solución de DPPH (Sigma-Aldrich) al 100 µM (en metanol). La solución se mezcló y se dejó 1 h en la oscuridad. La absorbancia de la solución se midió a 515 nm en espectrofotómetro (GenesysTM 20 de Thermo Scientific) usando metanol en lugar de extracto como solución control. Los resultados se presentan como mM TE/100g.
Resultados y discusión
Pérdida de peso
En la Figura 2 se presenta la pérdida de peso para los tratamientos evaluados. Al final del ensayo se obtuvieron valores entre 9 % y 14 %. En otros trabajos se han reportado pérdidas de peso entre 12 % y 14 % después de 15 días de almacenamiento 4, 20. Los tratamientos evaluados presentaron pérdida de peso significativa durante el almacenamiento (variación en el tiempo dentro de cada tratamiento).

La Tabla I muestra el análisis de varianza para los factores individuales, se encontró que la pérdida de peso aumentó con el tiempo de almacenamiento. Se observó un efecto significativo del empaque y el tipo de corte; para el empaque con almohadilla y las muestras en cubos la pérdida de peso fue mayor. El pretratamiento no tuvo efecto significativo sobre esta variable.

Las muestras empacadas con almohadilla perdieron cerca de 0,5 % más que las muestras empacadas sin almohadilla; además, las muestras en cubos perdieron 1 % más de peso que las muestras en cuartos de rodaja. La mayor pérdida de peso en las muestras empacadas con almohadilla se debe a la alta capacidad de absorción que tienen los materiales de celulosa en ambientes con humedades relativas altas 21. A pesar de la pérdida de peso, aproximadamente el 50 % del lixiviado fue absorbido por la almohadilla, lo cual podría ser atractivo para el consumidor que observa menor pérdida de fase líquida en el envase.
Con relación al tipo de corte, la mayor pérdida se presenta en los cubos debido a su alta área superficial y al daño causado en las células por el corte, lo que provoca mayor pérdida de fase líquida. Estos resultados coinciden con Treviño Garza et al. 22 y Yousuf y Srivastava 23, quienes reportaron el aumento de la pérdida de peso de la piña cortada y almacenada en refrigeración.
Color
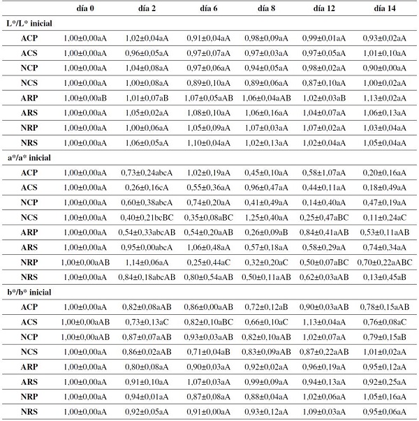
En la Tabla II se presentan los parámetros L*, a* y b* normalizados (respecto al valor inicial).

Según Montero Calderón et al. 2 el patrón de maduración de la piña comienza desde la base y avanza hasta la corona, lo que da como resultado diferentes grados de maduración a lo largo del fruto. Debido a la estructura y al patrón de maduración de la fruta, la pulpa no es uniforme en color ni en textura, lo que puede explicar la variabilidad de los valores de L y b* entre los tipos de cortes de piña.
El ANOVA (análisis de varianza) mostró que el tipo de corte tuvo efecto significativo sobre el parámetro L*. Los cuartos de rodaja tuvieron valores de L* por encima del valor inicial (mostrando mayor luminosidad), mientras que las muestras cortadas en cubos presentaron valores por debajo del valor inicial, lo que indica oscurecimiento de la muestra. Estos resultados son similares a los presentados por Dussán Sarria et al. 24. Los cambios de color que se presentan en muestras de piña se deben principalmente a reacciones enzimáticas que disminuyen la luminosidad y la pureza del color; en general, las muestras tienden a volverse más oscuras y con un amarillo menos intenso 9.
De acuerdo con el ANOVA y la prueba de Tukey, las coordenadas a*(verde-rojo) y b*(azul amarillo) mostraron diferencias. Para el parámetro a* se obtuvieron diferencias significativas únicamente con el tiempo de almacenamiento (comparando los días 0 y 14), mientras que el tiempo de almacenamiento, el tipo de empaque y el tipo de corte (p < 0,05) afectaron significativamente el parámetro b*, siendo menor en los tratamientos en cubos y en los tratamientos con almohadilla. La disminución en el tiempo de los valores de b* indica que los trozos adquieren una tonalidad menos amarilla (Figura 3). Buitrago Dueñas et al. 25 señala que esto puede deberse a una disminución de los carotenoides asociados a dicha coloración.

Montero Calderón et al. 26, 27 encontraron disminución significativa de los parámetros L* y b* con el tiempo y lo atribuyen directamente al fenómeno de traslucidez en la pulpa de la fruta, pero no encontraron diferencias significativas en los tipos de empaque utilizados, mientras que Manzocco et al. 11 observaron que los valores de L* para la variedad MD2 disminuyeron durante los 15 días de almacenamiento y los parámetros a* y b* se mantuvieron estables.
Firmeza
En la Figura 4 se presentan los cambios de firmeza. Comparando estadísticamente los cambios de firmeza en el tiempo para cada tratamiento no se observó una tendencia clara. Debido a la diferencia de los valores iniciales entre las muestras cortadas en cubos y las muestras cortadas en rodajas y a la variabilidad observada (Figura 4), se normalizaron los datos para el análisis estadístico (Tabla III).


De acuerdo con la prueba de Tukey no se presentaron diferencias significativas entre el día 0 y el día 14. Sin embargo, se observó un aumento durante el almacenamiento con una disminución posterior. En cuanto a las demás variables evaluadas (Tabla III), solo el tipo de corte tuvo efecto sobre la firmeza, mostrando que los cubos tuvieron un aumento en la firmeza respecto a la muestra inicial (valor normalizado > 1), mientras que los cuartos de rodaja presentaron menor valor (valor normalizado < 1).
El aumento de la textura después del segundo día de almacenamiento puede deberse al daño mecánico por corte y a la pérdida de agua superficial que ocasionan aceleración en la producción de lignina en los tejidos 28, la cual está asociada con mayor dureza y fibrosidad de los mismos (29). La disminución de la textura al finalizar el almacenamiento puede deberse a la degradación de la lignina y otros compuestos, debido a factores enzimáticos y físicos que causan pérdida de turgencia en las células 30. Este efecto es notorio en los cubos, por su mayor área superficial y el mayor daño por corte.
Los valores obtenidos en esta investigación son similares a los presentados por Benítez et al. 30 y Singh et al. 31. Finnegan et al. 32 reportaron valores superiores (5,3 - 8,3 N) en piña MD2 cortada, empacada en atmósferas modificadas y almacenada a 4 °C. Estudios realizados con otras variedades de piña y usando técnicas de conservación como recubrimientos comestibles han mostrado una disminución significativa en la firmeza de la fruta durante el almacenamiento 33. Treviño Garza et al. 22 y Prakash et al. 33 reportaron una disminución de la firmeza durante el almacenamiento en refrigeración de piñas mínimamente procesadas. Treviño Garza et al. 22 señalan que a medida que aumenta la pérdida de agua disminuye la firmeza; sin embargo, el uso de un empaque con barrera al vapor de agua y al oxígeno como el PET disminuye la pérdida de agua por deshidratación.
Sólidos solubles totales, pH y acidez
En la Tabla IV se presentan las propiedades fisicoquímicas (SST, pH y acidez). Los SST variaron entre 12,43±0,38 y 17,45±0,40 (°Brix). Los valores de pH variaron entre 3,51 ± 0,07 y 4,05 ± 0,03 y los valores de acidez, expresados como ácido cítrico ( %), variaron entre 0,59 ± 0,01 y 0,85 ± 0,07.

No se encontró efecto significativo de los factores sobre los parámetros anteriores. Estos resultados se deben a las condiciones de almacenamiento a baja temperatura que reducen la velocidad de las reacciones de deterioro del producto y al carácter no climatérico de la piña. Las diferencias observadas entre los tratamientos pueden deberse a la heterogeneidad normal del producto.
Los resultados obtenidos son similares a los presentados por Prakash et al. 33, Padrón Mederos et al. 34, Buitrago Dueñas 35 y Lima et al. (5). López Córdoba y Aldana Usme 36 y Pizato et al. 37 obtuvieron valores similares de acidez para el día 0 en piña fresca cortada, pero estos disminuyeron considerablemente con el tiempo en las muestras empacadas y almacenadas a 4 °C.
En cuanto a los valores de sólidos solubles, Treviño Garza et al. 22 observaron un aumento en todos los tratamientos evaluados para piña mínimamente procesada y almacenada a 4 °C. Los valores de SST fueron ligeramente mayores (2 °Brix) a los obtenidos por Finnegan et al. 32, BuitrDueñas 35, Ding y Syazwani 38 y Mercado Ruiz et al. 39 para piñas variedad MD2. Esto puede ser un indicador competitivo para comercializar internacionalmente este tipo de producto, debido a su alto contenido de azúcares, lo que aumenta el sabor dulce de la fruta.
Vitamina C, contenido total de polifenoles y capacidad antioxidante
En la Tabla V se presenta el contenido de ácido ascórbico (AA), el contenido total de polifenoles (CT P) y la capacidad antioxidante (CA), y en la Tabla VI se muestra la prueba de Tukey para los datos normalizados. Los valores del contenido de vitamina C y del contenido total de polifenoles encontrados son superiores a los reportados en otras investigaciones 23, 37.


En la Tabla VI se observa efecto significativo (p < 0,05) del tiempo de almacenamiento sobre las variables de respuesta. De acuerdo con la prueba de Tukey, la vitamina C tiene una pérdida en el día 2 de almacenamiento, pero se mantiene constante durante el resto del almacenamiento. En forma similar, el contenido de polifenoles y la capacidad antioxidante presentan una disminución inicial, pero mantienen este valor a partir del día 6 de almacenamiento.
El tipo de corte y el preenfriamiento tuvieron efecto significativo sobre la vitamina C. Las muestras cortadas en cuartos de rodaja se mantuvieron en un valor similar al inicial (valor normalizado cercano a 1), mientras que el corte en cubos provocó una disminución (26 %) (valor normalizado < 1). La disminución en el contenido de vitamina C puede deberse a la degradación de este compuesto por efecto de los procesos metabólicos naturales de la fruta, los cuales se aceleran cuando existe mayor daño superficial en el tejido (corte en cubos) 10. Padrón Mederos et al. 34 obtuvieron resultados similares. Por otra parte, se presentó menor pérdida cuando se realizó preenfriamiento. Este efecto también se presentó en productos como manzanas y melones 13.
En el caso del contenido total de polifenoles, solamente el tipo de corte tuvo efecto significativo. Se encontró que para cuartos de rodaja, el contenido total de polifenoles no varió significativamente (13 %) durante el almacenamiento (valor normalizado cercano a 1) en comparación con una alta pérdida (65 %) observada en muestras cortadas en cubos (valor normalizado < 1). Esto se puede deber a que hubo menor daño mecánico en el producto, disminuyendo la liberación de enzimas que aceleran procesos propios de oxidación en la fruta y generan deterioro de la fruta 33.
El aumento significativo del contenido de polifenoles en el día 2 en algunos tratamientos (Tabla V) puede deberse a procesos metabólicos propios de la fruta que buscan cicatrizar el tejido que ha sido dañado y frenar el daño microbiológico. La activación de rutas metabólicas asociadas a la producción de compuestos fenólicos, debida al corte, ha sido estudiada en diferentes tejidos mostrando que al ocurrir daño mecánico (corte) se presentan picos de producción de compuestos fenólicos que se bioacumulan en las células y realizan una labor cicatrizante del tejido 28. Montero Calderón et al. 27 reportaron comportamientos similares.
Por otro lado, el tipo de empaque, el tipo de corte y el preenfriamiento tuvieron efecto sobre la capacidad antioxidante. Los tratamientos con almohadilla, cortados en cuartos de rodaja y con preenfriamiento presentaron los valores más altos. Estos resultados se pueden asociar directamente con el mayor contenido de compuestos fenólicos y de vitamina C. Tanto la vitamina C como los compuestos fenólicos presentes en la fruta actúan como agentes protectores frente al daño causado por el oxígeno en el tejido superficial del fruto después de un daño mecánico 41.
Conclusiones
La piña mínimamente procesada y empacada en PET con y sin almohadilla absorbente conservó su calidad durante 14 días de almacenamiento, conservando sus características iniciales. El corte en cuartos de rodaja fue el más adecuado con menores pérdidas de peso (9 %), vitamina C (< 12 %), polifenoles (< 19 %) y capacidad antioxidante (< 3 %) y menor cambio de color (L* y b*). Aunque el preenfriamiento no mostró un efecto significativo sobre la mayoría de los parámetros estudiados, sí contribuyó a la conservación de la vitamina C y a la capacidad antioxidante.
El uso de almohadillas absorbentes ha sido poco estudiado en frutas mínimamente procesadas, su aplicación en otros tipos de frutas y en combinación con otros empaques es una alternativa para este tipo de productos. Se requieren estudios adicionales de pruebas microbiológicas para validar y justificar su uso.
Agradecimientos
Los autores agradecen al Sistema General de Regalías (proyecto “Incremento de la competitividad sostenible en la agricultura de ladera en todo el Departamento, Valle del Cauca, Occidente”) ejecutado por la Universidad Nacional de Colombia (Sede Palmira), la Universidad del Valle y el Centro Internacional de Agricultura Tropical (CIAT), a través del convenio No. 039-2018.
Referencias
C. Leneveu-Jenvrin, B. Quentin, S. Assemat, M. Hoarau, J.-C. Meile, and F. Remize, “Changes of quality of minimally-processed pineapple (Ananas comosus, var. ‘Queen Victoria’) during cold storage: Fungi in the leading role”, Microorganisms, vol. 8, no. 2, 2020. https://doi.org/10.3390/microorganisms8020185
M. Montero-Calderón, M. A. Rojas-Graü, and O. Martín-Belloso, “Effect of packaging conditions on quality and shelf-life of fresh-cut pineapple (Ananas comosus)”, Postharvest Biol. Technol., vol. 50, no. 2-3, pp. 182-189, 2008. https://doi.org/10.1016/j.postharvbio.2008.03.014
V. Chonhenchob, D. Tanafranca, and S. P. Singh, “Packaging technologies for pineapple and pineapple products”, Handb. Pineapple Technol. Postharvest Sci. Process. Nutr., pp. 108-125, 2016. https://doi.org/10.1002/ 9781118967355.ch6
N. Azarakhsh, A. Osman, H. Mohd Ghazali, C. P. Tan, and N. M. Adzahan, “Effects of gellan-based edible coating on the quality of fresh-cut pineapple during cold storage”, Food Bioprocess Technol., vol. 7, pp. 2144-2151, 2014. https://doi.org/10.1007/s11947-014-1261-6
P. C. Carvalho Lima, B. Sarzi de Souza, and S. Fyfe, “Influence of storage temperature and different packaging on the physicochemical quality of fresh-cut ‘Perola’ pineapple”, Idesia, vol. 37, no. 2, pp. 13-19, 2019. http://dx.doi.org/10.4067/S0718-34292019000200013
G. Gorrasi, V. Bugatti, L. Vertuccio, V. Vittoria, B. Pace, M. Cefola, L. Quintieri, P. Bernardo, G. Clariziae, “Active packaging for table grapes: Evaluation of antimicrobial performances of packaging for shelf life of the grapes under thermal stress”, Food Packag. Shelf Life, vol. 25, pp. 2-7, 2020. https://doi.org/10.1016/j.fpsl.2020.100545
G. A. Nayik, and K. Muzaffar, “Developments in packaging of fresh fruits-shelf life perspective: A review”, Am. J. Food Sci. Nutr. Res., vol. 1, no. 5, pp. 34-39, 2014. http://www.openscienceonline.com/journal/archive2?journalId=744&paperId=1197
C. Wilson, Influences of Modified Atmosphere Packaging and Drip Absorbents on the Quality, Safety, and Acceptability of Fresh-Cut Cantaloupe (Master’s Thesis), Michigan State University, 2017.
P. Rocculi, E. Cocci, S. Romani, G. Sacchetti, and M. Dalla Rosa, “Effect of 1-MCP treatment and N2O MAP on physiological and quality changes of fresh-cut pineapple”, Postharvest Biol. Technol., vol. 51, pp. 371-377, 2009. https://doi.org/10.1016/j.postharvbio.2008.07.010
T. N. Perecin, L. C. Silva, M. N. Harder, A. C. Oliveira, R. Arevalo, and V. Arthur, “Evaluation of the effects of gamma radiation on physical and chemical characteristics of pineapple (Ananas comosus (L.) Meer) cv. Smooth Cayenne minimally processed”, Prog. Nucl. energy, vol. 53, no. 8, pp. 1145-1147, 2011. https://doi.org/10.1016/j.pnucene.2011.06.015
L. Manzocco, S. Plazzotta, M. Maifreni, S. Calligaris, M. Anese, and M. C. Nicoli, “Impact of UV-C light on storage quality of fresh-cut pineapple in two different packages”, LWT - Food Sci. Technol., vol. 65, pp. 1138-1143, 2016. https://doi.org/10.1016/j.lwt.2015.10.007
D. Wang, Y. Lai, B. Jia, R. Chen, and X. Hui, “The optimal design and energy consumption analysis of forced air pre-cooling packaging system”, Appl. Therm. Eng., vol. 165, 2020. https://doi.org/10.1016/j.applthermaleng.2019.114592
Y. Duan, G.-B. Wang, O. A. Fawole, P. Verboven, X.-R. Zhang, D. Wu, U. L. Opara, B. Nicolai, K. Chena, “Postharvest precooling of fruit and vegetables: A review”, Trends in Food Science and Technology, vol. 100. pp. 278-291, 2020. https://doi.org/10.1016/j.tifs.2020.04.027
A. M. Elansari, and Y. S. Mostafa, “Vertical forced air pre-cooling of orange fruits on bin: Effect of fruit size, air direction, and air velocity”,J. Saudi Soc. Agric. Sci., vol. 19, no. 1, pp. 92-98, 2020. https://doi.org/10.1016/j.jssas.2018.06.006
Y. Garrido, J. A. Tudela, and M. I. Gil, “Comparison of industrial precooling systems for minimally processed baby spinach”, Postharvest Biol. Technol., vol. 102, pp. 1-8, 2015. https://doi.org/10.1016/j.postharvbio.2014.12.003
A. M. Elansari, “Design aspects in the precooling process of fresh produce”, Fresh Prod., vol. 3, no. special issue 1, pp. 49-55, 2009.
AOAC, AOAC Official Method 942.15 Acidity (Titratable) of Fruit Products, 2000.
E. A. Ainsworth, and K. M. Gillespie, “Estimation of total phenolic content and other oxidation substrates in plant tissues using Folin-Ciocalteu reagent”, Nat. Protoc., vol. 2, no. 4, pp. 875-877, 2007. https://doi.org/10.1038/nprot.2007.102
B. Ozturk, C. Parkinson, and M. Gonzalez-Miquel, “Extraction of polyphenolic antioxidants from orange peel waste using deep eutectic solvents”, Sep. Purif. Technol., vol. 206, pp. 1-13, 2018. https://doi.org/10.1016/j.seppur.2018.05.052
J. Zambrano, A. Valera, M. Maffei, W. Materano, I. Quintero y K. Graterol, “Efecto de un recubrimiento comestible formulado con mucílago del cactus (Opuntia elatior Mill.) sobre calidad de frutos de piña mínimamente procesados”, Bioagro, vol. 29, no. 2, pp. 129-136, 2017.
K. K. Gaikwad, S. Singh, and A. Ajji, “Moisture absorbers for food packaging applications”, Environ. Chem. Lett., vol. 17, no. 2, pp. 609-628, 2019. https://doi.org/10.1007/s10311-018-0810-z
M. Z. Treviño-Garza, S. García, N. Heredia, M. G. Alanís-Guzmán, and K. Arévalo-Niño, “Layer-by-layer edible coatings based on mucilages, pullulan and chitosan and its effect on quality and preservation of fresh-cut pineapple (Ananas comosus)”, Postharvest Biol. Technol., vol. 128, pp. 63-75, 2017. https://doi.org/10.1016/j.postharvbio.2017.01.007
B. Yousuf, and A. K. Srivastava, “Impact of honey treatments and soy protein isolate- based coating on fresh-cut pineapple during storage at 4 °C”, Food Packag. Shelf Life, vol. 21, 2019. https://doi.org/10.1016/j.fpsl.2019.100361
S. Dussán-Sarria, M. C. Rivera y C. A. García-Mogollon, “Almacenamiento refrigerado de piña mínimamente procesada. Cambios en atributos físico-químicos y sensoriales”, Inf. tecnológica, vol. 31, no. 2, pp. 11-18, 2020. http://dx.doi.org/10.4067/S0718-07642020000200011
E. M. Buitrago-Dueñas, S. Dussán-Sarria, M. C. Rivera-Ochoa, and L. E. Ordoñez-Santos, “Efecto del tipo de corte y tipo de envase en la conservación de piña (Ananas comosus (L.) Merr.) ‘Oro Miel’ mínimamente procesada”, Rev. Colomb. Ciencias Hortícolas, vol. 12, no. 2, pp. 308-318, 2018.
M. Montero-Calderón, A. Rojas-Graü, and O. Martín-Belloso, “Effect of packaging conditions on quality and shelf-life of fresh-cut pineapple (Ananas comosus)”, Postharvest Biol. Technol., vol. 50, no. 2-3, pp. 182-189, 2008. https://doi.org/10.1016/j.postharvbio.2008.03.014
M. Montero-Calderón, A. A. Rojas-Graü, I. Aguiló-Aguayo, R. Soliva-Fortuny, and O. Martín-Belloso, “Influence of modified atmosphere packaging on volatile compounds and physicochemical and antioxidant attributes of fresh-cut pineapple (Ananas comosus)”, J. Agric. Food Chem, vol. 58, no. 8, pp. 5042-5049, 2010. https://doi.org/10.1021/jf904585h
A. Becerra-Moreno, M. Redondo-Gil, J. Benavides, V. Nair, L. Cisneros-Zevallos, and D. A. Jacobo-Velázquez, “Combined effect of water loss and wounding stress on gene activation of metabolic pathways associated with phenolic biosynthesis in carrot”, Front. Plant Sci., vol. 6, 2015. https://doi.org/10.3389/fpls.2015.00837
S. K. Jha, H. R. Singh, and P. Prakash, “Dietary fiber and human health: An introduction”, in Dietary Fiber for the Prevention of Cardiovascular Disease: Fiber’s Interaction between Gut Micoflora, Sugar Metabolism, Weight Control and Cardiovascular Health, Elsevier, 2017, pp. 1-22. https://doi.org/10.1016/B978-0-12-805130-6.00001-X
S. Benítez, M. Chiumenti, F. Sepulcre, I. Achaerandio, and M. Pujolá, “Modeling the effect of storage temperature on the respiration rate and texture of fresh cut pineapple”, J. Food Eng., vol. 113, no. 4, pp. 527-533, 2012. https: //doi.org/10.1016/j.jfoodeng.2012.07.022
S. P. Singh, V. Chonhenchob, Y. Chantarasomboon, and J. Singh, “Testing and evaluation of quality changes of treated fresh-cut tropical fruits packaged in thermoformed plastic containers”, J. Test. Eval., vol. 35, no. 5, pp. 522-528, 2007. https://doi.org/10.1520/JTE100166
E. Finnegan, P. V. Mahajan, M. O’Connell, G. A. Francis, and D. O’Beirne, “Modelling respiration in fresh-cut pineapple and prediction of gas permeability needs for optimal modified atmosphere packaging”, Postharvest Biol. Technol., vol. 79, pp. 47-53, 2013. https://doi.org/10.1016/j.postharvbio.2012.12.015
A. Prakash, R. Baskaran, and V. Vadivel, “Citral nanoemulsion incorporated edible coating to extend the shelf life of fresh cut pineapples”, LWT, vol. 118, 2020. https://doi.org/10.1016/j.lwt.2019.108851
M. Padrón-Mederos, B. Rodríguez-Galdón, C. Díaz-Romero, M. G. Lobo-Rodrigo, and E. M. Rodríguez Rodríguez, “Quality evaluation of minimally fresh-cut processed pineapples”, LWT, vol. 129, 2020. https: //doi.org/10.1016/j.lwt.2020.109607
E. M. Buitrago-Dueñas, Conservación de piña oro miel (Ananas comosus) minimamente procesada: efecto de tipo de corte, tipo de envase y recubrimiento comestible (Trabajo de grado - Maestría), Universidad Nascional de Colombia Sede Palmira, 2017.
A. López-Córdoba, and A. Aldana-Usme, “Edible coatings based on sodium alginate and ascorbic acid for application on fresh-cut pineapple (Ananas comosus (L.) Merr)”, Agron. Colomb., vol. 37, no. 3, pp. 233-238, 2019. https://doi.org/10.15446/agron.colomb.v37n3.76173
S. Pizato, R. C. Chevalier, M. F. Dos Santos, T. S. Da Costa, R. Arévalo Pinedo, and W. R. Cortez Vega, “Evaluation of the shelf-life extension of fresh-cut pineapple (Smooth cayenne) by application of different edible coatings”, Br. Food J., vol. 121, no. 7, pp. 1592-1604, 2019. https://doi.org/10.1108/BFJ-11-2018-0780
P. Ding, and S. Syazwani, “Physicochemical quality, antioxidant compounds and activity of MD-2 pineapple fruit at five ripening stages”, International Food Research Journal, vol. 23 no. 2, pp. 549-555, 2016. http://psasir.upm.edu.my/id/eprint/29351/1/(14).pdf
J. N. Mercado-Ruiz, O. Tortoledo-Ortiz y J. M. García-Robles, “Calidad comercial de piña MD2 (Ananas comosus L.) tratada en postcosecha con ácido 2-hidroxibenzoico”, Rev. Iberoam. Tecnol. Postcosecha, vol. 20, no. 2, 2019.
S. P. Kochhar, and C. J. Henry, “Oxidative stability and shelf-life evaluation of selected culinary oils”, Int. J. Food Sci. Nutr., vol. 60, no. sup. 7, pp. 289-296, 2009. https://doi.org/10.1080/09637480903103774
E. A. Ferreira, H. E. Siqueira, E. V. Vilas Boas, V. Stahl Hermes, A. De Oliveira Rios, “Bioactive compounds and antioxidant activity of pineapple fruit of different cultivars”, Rev. Bras. Frutic., vol. 38, no. 3, 2016. https://doi.org/10.1590/0100-29452016146
Notas de autor
∗Correspondence e-mail: claudia.vargas@correounivalle.edu.co