Artigos
Qualidade dos meios de hospedagem cearenses: Um estudo baseado nas avaliações do consumidor evidenciadas no site TripAdvisor.
Calidad de las instalaciones de alojamiento en Ceará: Un estudio basado en evaluaciones de consumidores evidenciadas en el sitio web de TripAdvisor
Quality of accommodation in Ceará: A study based on TripAdvisor customer reviews
Qualidade dos meios de hospedagem cearenses: Um estudo baseado nas avaliações do consumidor evidenciadas no site TripAdvisor.
Revista Brasileira de Pesquisa em Turismo, vol. 15, núm. 3, e-2011, 2021
Associação Nacional de Pesquisa e Pós-Graduação em Turismo
Recepção: 23 Abril 2020
Aprovação: 05 Agosto 2020
Resumo: O objetivo geral do presente estudo é analisar a influência dos atributos da qualidade do serviço evidenciadas pelo site TripAdvisor, na satisfação geral do consumidor. A amostra é composta por 43 localidades cearenses que participam do ranking de destinos mais procurados pelos turistas no Ceará, constituindo um total de 2.293 estabelecimentos, cujas avaliações foram capturadas por um crawler e, em seguida, extraídas com uso de um parser, ambos executados em linguagem Python. Os resultados gerados por meio de métodos quantitativos. Os resultados sugerem que investimentos na estrutura dos quartos, no atendimento e na limpeza poderiam aumentar a satisfação dos clientes, tendo em vista que são esses atributos, respectivamente, que têm a maior probabilidade de influenciar um cliente a atribuir nota máxima ao estabelecimento. Outros achados mostram que a maioria dos estabelecimentos avaliados com nota máxima estão localizados principalmente no litoral, com destaque para os de Jericoacoara, que hospedagens situadas em municípios mais extensos e populosos têm, em média, menos chances de serem avaliadas com notas máximas de satisfação geral, que os hóspedes tendem a ficar mais rigorosos com o passar o tempo, levando a atribuir notas menores de satisfação geral.
Palavras-chave: Qualidade, Meios de hospedagem, Consumidor, TripAdvisor.
Resumen: El objetivo general de este estudio fue analizar la influencia de dos atributos de calidad de servicio evidenciados por el sitio web de TripAdvisor, para la satisfacción general del consumidor. Muestra compuesta por 43 localidades en Ceará que participaron en la clasificación de los destinos más buscados por los turistas, y no en Ceará, lo que constituye un total de 2,293 establecimientos, cuyas evaluaciones fueron capturadas por un rastreador y luego extraídas con el uso de un analizador, ambos ejecutados en lenguaje Python. Los resultados generados a través de métodos cuantitativos. Los resultados sugieren que las inversiones en la estructura de dos habitaciones, la falta de servicio de limpieza, puede aumentar la satisfacción de dos clientes, considerando que estos atributos son, respectivamente, que tienen más probabilidades de influir en un cliente para que otorgue las mejores calificaciones al establecimiento. Otros expertos han demostrado que la mayoría de los dos establecimientos con las calificaciones más altas se encuentran principalmente en el extranjero, con énfasis en Jericoacoara, ubicado en los municipios más grandes y poblados, con menos probabilidades de ser reconocido con los puntajes de satisfacción general más altos, que los huéspedes tienden a suscribir a otros más estrictos, como pasar tiempo o tiempo, aumentando para asignar puntajes de satisfacción general más bajos.
Palabras clave: Calidad, Medios de hospedaje, Consumidor, TripAdvisor.
Abstract: The general objective of this study was to analyze the influence of two attributes of quality of service evidenced by the TripAdvisor website, for general consumer satisfaction. Sample and composed of 43 places in Ceará that participated in the ranking of the most sought after destinations by tourists, and not in Ceará, constituting a total of 2,293 establishments, whose evaluations were captured by a tracker and later extracted with the use of an analyzer, both executed in Python language. The results generated through quantitative methods. The results suggest that investments in the structure of two rooms, the lack of cleaning service, can increase the satisfaction of two customers, considering that these attributes are, respectively, that they are more likely to influence a customer to give top marks to the establishment. Other experts have shown that the majority of the two establishments with the highest marks are located mainly abroad, with emphasis on Jericoacoara, located in the largest and most populous municipalities, least likely to be recognized with the highest overall satisfaction scores, which guests tend to subscribe to more stringent ones such as spending or time, increasing to assign lower overall satisfaction scores.
Keywords: Quality, Means of hosting, Consumer, TripAdvisor.
1 INTRODUÇÃO
A atividade turística cresce em ritmo acelerado e os turistas se utilizam cada vez mais das novas tecnologias para atingir seus objetivos de informação, planejamento, compra, preferência ou reclamações (Silva, 2018). Nesse contexto, os sites de análise de meios de hospedagem, como o TripAdvisor e o Booking.com, tornaram-se uma fonte de informações vital para viajantes independentes e prestadores de serviços (Filieri, Alguezaui, & Mcleay, 2015). Há evidências de que os viajantes que procuram informações sobre várias ofertas consideram o boca-a-boca eletrônico de outros clientes mais relevante e informativo do que o material físico de divulgação dos meios de hospedagem (Sparks, Perkins, & Buckley, 2013).
A qualidade de serviços está diretamente ligada à competição do mercado, tendo em vista que é por meio da qualidade observada que os clientes escolhem entre as diversas empresas que prestam o mesmo serviço. Atualmente, em razão do fácil acesso às informações, o indivíduo constantemente avalia o custo x benefício e vantagens para a tomada de decisão (Viana, 2017).
Existem diferentes parâmetros amplamente divulgados que orientaram as investigações sobre a qualidade dos serviços. Destacam-se na literatura 5 dimensões: tangibilidade, confiabilidade, garantia, presteza e empatia (Parasuraman, Zeithaml, & Berry, 1988, Xu & Li, 2016).
No contexto dos serviços de hospedagem, surgem diversos atributos relacionados com essas dimensões (Ekinci, 2001, Getty & Getty, 2003; Petry, Pickler, & Tomelin, 2016, Xu & Li, 2016), dentre eles: atendimento, custo-benefício, limpeza, localização, qualidade do sono e quarto, os quais são avaliados pelos usuários do TripAdvisor, sendo este um site para compartilhamento de sentimentos e experiências com viagens e hospedagens.
O uso do TripAdvisor como ferramenta de avaliação da qualidade ampara os gestores a supervisionarem os serviços de suas instituições no que concerne às instalações, ao atendimento e aos produtos ofertados (Kucukusta, 2017; Ye, Li, Wan, & Law, 2014, Zhou, Ye, Pearce, & Wu, 2014). Os comentários e as avaliações dos usuários do TripAdvisor possuem não só componentes quantitativos (posições em rankings, reputação do estabelecimento, número de comentários), como também informações qualitativas (experiências pessoais do usuário), possibilitando ao proprietário de um estabelecimento identificar pontos fortes e corrigir pontos fracos de seu negócio de forma rápida e precisa. Enfim, os pontos de vista expostos pelos consumidores no TripAdvisor têm sido peça de diversos estudos nacionais e internacionais (Banerjee & Chua, 2016, Rhee & Yang, 2015; Yang, Mao, & Tang, 2018).
Diante do exposto, a pergunta de pesquisa que se pretende responder é: qual a influência dos atributos da qualidade do serviço na satisfação do consumidor, segundo as avaliações postadas no TripAdvisor por consumidores dos meios de hospedagem cearenses?
Buscando responder este questionamento, o objetivo geral deste estudo é analisar a influência dos atributos da qualidade do serviço na satisfação do consumidor, segundo as avaliações postadas no TripAdvisor por consumidores dos meios de hospedagem cearenses. Para o alcance do objetivo geral, foram formulados os seguintes objetivos específicos: a) caracterizar os meios de hospedagem de 32 municípios cearenses avaliados no TripAdvisor; b) comparar a satisfação, a qualidade percebida e a relação entre elas, segundo o tipo de viagem em que se enquadra a hospedagem; e c) determinar quais os aspectos que mais contribuem para que o hóspede avalie o estabelecimento com a nota máxima.
É de suma importância entender cada contribuição mais detalhadamente, possibilitando que os gestores identifiquem quais atributos da qualidade do serviço são mais importantes para a satisfação dos consumidores, de maneira que as empresas cearenses possam focar no desenvolvimento das dimensões mais significativas.
O site TripAdvisor foi escolhido como fonte de dados da pesquisa por disponibilizar os dados requeridos e por sua reputação, visto que é a maior comunidade de troca de informações sobre viagens do mundo, tendo recebido mais de 859 milhões de avaliações nos últimos 15 anos e estando presente em mais de 49 mercados que juntos formam a maior comunidade de viagens do mundo (Tripadvisor, 2020).
Dada a inexistência de pesquisas que tenham analisado similar e minuciosamente o cenário cearense, reconhecidamente um polo turístico nacional e internacional, e devido ao crescente aumento no fluxo dos turistas (Governo do Estado do Ceará, 2019), este estudo tem relevância significativa para fins acadêmicos. Para fins gerenciais, a análise de um grande volume de dados é uma estratégia que ajuda a otimizar processos e a entender padrões de comportamento de clientes e do mercado para tornar serviços e produtos mais lucrativos, bem como o direcionamento de investimentos para adequar às necessidades dos clientes. Ademais, contribui para a identificação de um panorama da qualidade dos meios de hospedagem cearenses, acerca dos serviços prestados por diferentes hotéis e pousadas localizados no Ceará, a partir do qual as autoridades podem direcionar políticas públicas de fomento à atividade turística.
Esta pesquisa está estruturada em cinco seções: introdução, revisão de literatura, metodologia, apresentação e análise de resultados e considerações finais.
2 REVISÃO DE LITERATURA
Esta seção visa a resgatar as discussões centrais a respeito das dimensões da qualidade do serviço dos meios de hospedagem e análise de avaliações do consumidor evidenciadas pelo TripAdvisor, que consistem no arcabouço teórico necessário ao atingimento do objetivo desta pesquisa.
2.1 O site TripAdvisor
O site TripAdvisor foi escolhido como fonte de dados da pesquisa por disponibilizar os dados requeridos e por sua reputação, visto que é a maior comunidade de troca de informações sobre viagens do mundo, tendo recebido mais de 859 milhões de avaliações nos últimos 15 anos e estando presente em mais de 49 mercados que juntos formam a maior comunidade de viagens do mundo (Tripadvisor, 2020).
Segundo informações do próprio site, pessoas do mundo todo utilizam a plataforma, tanto pelo site como pelo aplicativo, para acessar as avaliações e opiniões sobre 8,6 milhões de acomodações, restaurantes, experiências, companhias aéreas e cruzeiros. Ademais, segundo um dos Stephen Kaufer e atual CEO, a empresa foi fundada nos Estados Unidos, em fevereiro de 2000, com a missão de ajudar viajantes de todo o mundo a planejar a viagem perfeita.
2.2 Qualidade do serviço dos meios de hospedagem
A abordagem relacionada à qualidade dos serviços dos meios de hospedagem vem sendo instrumento de diversos estudos atualmente. Muitos pesquisadores a confrontam com a satisfação dos hóspedes (Blesic, Cerovic, & Dragicevic, 2011, Curakovic, Sikora, & Garaca, 2013, Markovic & Jankovic, 2013), outros com a fidelidade (Kuo, Chang, Chen, & Hsu, 2013, Wilkins, Merrilees, & Herington, 2009). Existem ainda os que defendem a utilização da qualidade como ferramenta empresarial (Alonso-Almeida, Rodríguez-Antón & Rubio-Andrada, 2012), ou como vantagem competitiva (Hocayen-da-Silva & Teixeira, 2007, Zhong, Chen, & Xie, 2010). O comportamento do hóspede também é relacionado constantemente com a qualidade dos serviços hoteleiros (Kuo et al., 2013, Lu & Feng, 2010) e com as suas experiências (Grobelna & Marciszewska, 2013, Johann & Anastassova, 2014, Petry, Pickler, & Tomelin, 2016, Stupariu & Josan, 2014).
Um instrumento usualmente utilizado para julgar a qualidade dos serviços prestados é a escala SERVQUAL, elaborada por Parasuraman, Zeithaml e Berry (2006), que realiza a aferição do nível de satisfação relacionado ao grau de expectativa. De acordo com os autores, essa escala serve para mensurar os pontos fortes e fracos através de cinco dimensões: tangibilidade, confiabilidade, capacidade de resposta, segurança e empatia. Os atributos adotados para as avaliações do TripAdvisor são baseados nessas dimensões, sobre os quais passa-se a discorrer.
Em que pese o preço não seja objeto deste estudo, há na literatura empírica diversos estudos fundamentados na teoria de preços hedônicos ou implícitos (Rosen, 1974), que visam associar às características dos meios de hospedagem aos preços praticados por estes estabelecimentos (Chen & Rothschild, 2010; Zhang, Ye, & Law, 2011) e avaliarem a relação entre o preço de mercado e os cada um dos atributos dos bens e serviços ofertados (Latinopoulos, 2018).
Com base nos modelos de preços hedônicos é possível comparar o preço praticado pelo aluguel de diferentes tipos de acomodações (Saló & Garriga, 2011), a influência pela classificação por estrelas e qualidade dos serviços prestados (Abrate, Capriello, & Fraquelli, 2011; Fleischer, 2012), característica dos quartos (Fleischer, 2012) e distância da praia (Coenders, Espinet, & Saez, 2003), bem como o preço dos quartos no dia anterior (Soler, Gemar, Correia, & Serra, 2019).
2.3 Atributos de avaliação dos serviços do site TripAdvisor
Zhou et al. (2014) manusearam 1345 opiniões de clientes de hotéis 4 e 5 estrelas chineses a fim de reconhecer os atributos principais do serviço prestados. Os autores constataram a presença de 6 atributos de serviço, aos quais intitularam: configuração física do quarto, configuração do hotel, configuração da comida, custo-benefício, localização e equipe. Em cada categoria existiam aspectos tidos como básicos (exemplo: limpeza, o tamanho do quarto e o barulho) de excitação (exemplo: lobby, a piscina e a academia) e de desempenho (exemplo: acessórios do quarto e do banheiro, a cortesia dos funcionários e a qualidade da comida).
A investigação de Jeong e Jeon (2008) apontou o quarto como sendo um dos principais aspectos de avaliação positiva e identificaram que a prestação do serviço explica a satisfação dos hóspedes. Por meio dos achados de Ong (2012) constatou-se que a maioria dos leitores dos comentários postados nos sites de viagem consideraram relevantes as opiniões sobre serviços oferecidos pelos empregados do hotel.
Rhee e Yang (2015), por sua vez, identificaram que o custo-benefício, o quarto e a qualidade do sono eram os aspectos mais importantes. Todavia, ao decompor a amostra por “Tipo de viajante”, constatou-se que: entre os consumidores do grupo “Negócios” os aspectos mais importantes foram a qualidade do sono e o custo-benefício; do grupo “Família” foram o custo-benefício e o quarto; para o grupo “Amigos” foram o custo-benefício e a qualidade do sono; para o “Casal” foram o quarto e o custo-benefício, e por fim, quem viajou “Sozinho” valorizou mais a qualidade do sono e o quarto. Alertam para o fato do atendimento não se apresenta entre os atributos mais valorizados.
Ao contrário, Radojevic, Stanisic e Stanic (2015) investigaram as capitais europeias, por meio da qual apontaram que os clientes do grupo “Sozinho” enalteceram hotéis baratos e bem localizados, com acesso grátis à internet, que o grupo “Amigos” também se apresentou sensível ao preço, procurando hotéis baratos, bem localizados e com lobby bar. O grupo “Casal” não mostrou preocupação com a localização, contudo com a marca do hotel e com o acesso gratuito à internet e, em oposição, o grupo “Família” prezou também pela marca do hotel, pelo ar-condicionado do quarto e o lobby bar, mas não valorizou o acesso à internet.
Com objetivo a fim, Yang, Mao e Tang (2018) buscaram averiguar os determinantes da satisfação dos hóspedes com a localização dos hotéis em Los Angeles, durante um ano. Identificaram como atributos essenciais e significativos a acessibilidade: a atrações, aeroportos, universidades, a transporte público, espaços verdes e com água e as empresas locais.
O atributo custo-benefício é tido como um dos principais critérios de avaliação e simboliza, junto com o serviço, o quarto e a limpeza. Esse atributo é o principal critério de contentamento (Jeong & Jeon, 2008). Segundo Ong (2012), a maioria dos leitores apontaram como um atributo importante.
De acordo com O´Connor (2010), o conforto é um atributo que normalmente é avaliado positivamente. Para Stringam e Gerdes jr. (2010), no entanto, existem comentários negativos relacionados a esse atributo. A análise de Chaves, Gomes e Pedron (2012), corroborando com Stringam e Gerdes Jr. (2010), apontou o item conforto como o mais usualmente associado aos comentários desfavoráveis.
Jeong e Jeon (2008) pontua ainda que a limpeza é um dos principais atributos. A esse respeito, Stringam, Gerdes Jr. e Vanleeuwen (2010) destacam que quando a limpeza é avaliada com uma avaliação baixa, é quase improvável que o hotel receba uma avaliação geral alta. Estes autores também destacam uma relação positiva entre os cômodos e a satisfação geral. Fernádez-Barcala, González-Díaz e Prieto-Rodriguez (2009) evidenciam que quanto mais obsoletos os cômodos, mais esperada é a insatisfação dos hóspedes.
A análise de Limberger, Boaria e Dos Anjos (2014) com avaliações de 22 hotéis de diferentes países, encontrou que nas categorias “Melhores Hotéis” e “Pequeno Porte” o atendimento foi o aspecto mais importante para a satisfação, já para a categoria “Mais Baratos” o quarto foi mais apreciado, e a limpeza foi o principal atributo para as “Pousadas”.
Banerjee e Chua (2016), utilizando dados do TripAdvisor, analisaram 37.747 avaliações com o objetivo de verificar se existia diferença entre as notas dadas para hotéis independentes e hotéis pertencentes a alguma rede, além de considerar possíveis diferenças de acordo com o “Tipo de viajante” (“Negócios”, “Casal”, “Família”, “Amigos” e “Sozinho”) e o local da hospedagem (América, Europa, Ásia e Oriente Médio). Os resultados apontaram que a nota média atribuída aos hotéis independentes foi superior a de hotéis de redes, indicando assim que os diferentes grupos analisados avaliaram a qualidade do serviço de maneira diferente.
Conforme Almeida e Pelissari (2019), os atributos quarto, atendimento, custo-benefício e limpeza têm capacidade de contribuir para a satisfação do consumidor presente na amostra geral de consumidores; contudo, a significância e a influência exercida pelos 6 atributos podem variar de acordo com o “Tipo de viajante” informado pelo consumidor (“Amigos”, “Casal”, “Família”, “Negócios” e “Sozinho”) e de acordo com a categoria de preços mínimos dos quartos standard.
Assim, destaca-se a riqueza de informações que podem ser obtidas através das avaliações postadas pelos viajantes no site TripAdvisor o acesso fácil e rápido as mesmas e a possibilidade de averiguação da Qualidade de Serviço quanto ao nível de satisfação deles com o serviço prestado pelos hotéis e pousadas.
2.4 Satisfação do cliente
Sheeran (2002) assevera que a satisfação do cliente é uma intenção comportamental que indica a motivação do mesmo para exprimir determinado comportamento. Nesse sentido, destacam-se: a intenção de pagar um preço premium pelo serviço (Homburg, Koschate, & Hoyer, 2006, Casidy & Wymer, 2016); a intenção para fazer negócios com outras empresas (Lai, Liu, & Lin, 2011, East, Grandcolas, Riley, & Lomax, 2012, Lehto, Park, & Gordon, 2015); a intenção de recomprar determinado serviço ou produto (Jones, Mothersbaugh, & Beatty, 2000); e a intenção de recomendar positivamente a empresa a outras pessoas (Liat, Mansori, & Huei, 2014, Liat & Chiau, 2015; Suh, Moon, Han, & Ham., 2015; Su, Swanson, & Chen, 2016, Su, Swanson, & Chen, 2016).
A satisfação do cliente depende principalmente do acúmulo do valor percebido que os clientes têm em relação a um produto ou serviço (Kotler e Armstrong, 2004). Reforçando essa ideia, Fournier e Mick (1999) aduzem que conceito de satisfação só se mantém quando a expectativa é positiva. A satisfação também pode ser entendida como um feedback que resulta de um julgamento feito pelo consumidor quanto ao atingimento de níveis agradáveis de desempenho, que variam em menor ou maior grau (Oliver, 2014).
No ramo hoteleiro, Clifford (2013) enumerou algumas estratégias usadas para melhorar a satisfação do cliente como ouvidos atentos (procedimento ou técnica adequada de atendimento ao cliente), política de preços adequada, provisão de segurança e gestão de satisfação, prestação de serviços de qualidade, pronta entrega, equipe cortês, treinamento e reciclagem dos funcionários etc. Anderson e Sullivan (1993) pontuam que a satisfação do consumidor é uma resposta derivada da qualidade do serviço.
Encontra-se essa forma de mensuração da satisfação nas avaliações geradas pelos consumidores em sites como TripAdvidor, Expedia e Booking.com. Diversas pesquisas utilizaram as pontuações desses sites para verificar a satisfação do consumidor.
O estudo de Limberger, Boaria e Dos Anjos (2014) utilizou a nota geral da satisfação como variável dependente e as notas dadas aos atributos da qualidade do serviço, disponibilizadas no TripAdvisor (custo-benefício, limpeza, atendimento, localização, qualidade do sono e quarto) como variáveis independentes no modelo de regressão. Os resultados sinalizam que as variáveis independentes foram responsáveis por explicar 27% da satisfação dos turistas que se hospedaram em hotéis de pequeno porte, 63% para aqueles que se hospedaram nos hotéis mais bem avaliados, 70% para os hotéis mais baratos e 72% para pousadas, demonstrando que esse conjunto de variáveis se ajusta a diferentes categorias de hotéis, embora não tenha se demonstrado eficiente para verificar à satisfação dos hóspedes de pequenos hotéis.
Segundo o exposto, é possível encontrar diferentes descrições e maneiras de quantificar a satisfação do consumidor entre as investigações que tratam do assunto no setor de hospedagem, todavia, há um ponto comum entre elas: o entendimento de que a satisfação resulta de um processo avaliativo realizado pelo consumidor. Na presença dos diferentes conceitos retratados, este estudo adota a definição de satisfação do consumidor atribuída a Oliver (2014), pois ela oferece o embasamento teórico para a maneira como a satisfação é mensurada pelos consumidores nas avaliações do TripAdvisor.
3 METODOLOGIA
3.1 População e amostra
A amostra é composta por hotéis e pousadas dispostos nos 43 destinos (localidades) cearenses, segundo divulgação do TripAdvisor, dos quais 36 participam do ranking de destinos mais procurados pelos turistas no Ceará e 7 não participam, mas possuem hospedagens avaliadas. No total foram 2.293 estabelecimentos disponíveis, dos quais, 1.266 foram avaliados. Essas hospedagens encontram-se nas localidades do quadro 1.

Dos estabelecimentos com pelo menos uma avaliação, foi obtida uma primeira amostra de 129.290 avaliações, da qual foram excluídas 17.615 avaliações que estavam duplicadas, restando 111.675 avaliações preenchidas. Ademais, optou-se por trabalhar com a amostra de avaliações completas, isto é, aquelas em que todos os atributos foram preenchidos pelos clientes. A amostra final é de 27.094 avaliações, resultando nos mesmos 43 municípios, porém reduzindo a quantidade de meios de hospedagem para 588.
3.2 Coleta de Dados
Os dados utilizados foram coletados do site TripAdvisor e contêm avaliações entre 02/03/2010 e 04/04/2019. A coleta foi realizada por meio de um crawler, que consiste num programa que coleta páginas Web, criando uma coleção de páginas (Cho; Garcia-Molina, 1999). O script original referente ao crawler utilizado pode ser encontrado no link <https://github.com/aesuli/trip-advisor-crawler>. O script foi executado por meio da linguagem de programação Python, versão 3.7.2. Na linha 137 do script original foi realizada uma alteração para que o programa coletasse apenas páginas referentes a hotéis e pousadas, excluindo os restaurantes. Os códigos (location codes) que identificam cada cidade foram coletados manualmente no TripAdvisor. Feito isso, por meio do Python, as avaliações de cada cidade foram coletadas separadamente.
No site do TripAdvisor o usuário atribui notas para a sua satisfação geral, que é quesito obrigatório, e para os atributos pré-determinados do serviço (Custo-benefício, Localização, Qualidade do Sono, Quartos, Limpeza e Atendimento), quesitos não obrigatórios. Além disso, o site informa o nome do meio de hospedagem avaliado (“Nome do Estabelecimento”), a data da estadia do cliente, o Tipo de viagem (“Negócios”, “Casal”, “Família”, “Amigos” e “Sozinho”) e permite a inclusão de um relato escrito em que o hóspede conta a sua experiência.
O usuário pode classificar o serviço com as seguintes notas: 1– horrível; 2 – ruim; 3 – razoável; 4 – muito bom e 5 – excelente. Existe ainda uma opção para que outros usuários agradeçam a quem postou a avaliação, caso achem-na útil. No site são permitidas tanto avaliações positivas, quanto negativas, porém as críticas devem ser realizadas de forma respeitosa para não descumprir as regras do TripAdvisor.
Para extrair os dados relevantes foi utilizado um parser. Ressalta-se que no link do script original do crawler também existe um parser, contudo o mesmo não foi utilizado, pois extraia informações diferentes das que eram foco desta pesquisa. O parser utilizado aqui foi extraído do trabalho de Almeida e Pelissari (2019) e precisou ser atualizado, uma vez que já existiam mudanças na formatação das páginas do siteTripadvisor. O parser também utiliza linguagem Python.
O crawler coletou de forma duplicada ou incompletas algumas avaliações, ou seja, aquelas avaliações, as quais foram descartadas. Além disso, o código interno das páginas (HTML) constava notas que variavam em uma escala de 10 a 50, sendo necessário padronizá-la de 1 a 5.
3.3 Descrição das variáveis
O quadro 2 descreve cada uma das variáveis do trabalho, indicando a escala ou a unidade, a natureza e a fonte.

A satisfação geral é a variável dependente que corresponde à nota atribuída pelos aos meios de hospedagem e é uma proxy da percepção dos clientes sobre os serviços prestados por esses estabelecimentos. As variáveis independentes relacionadas aos atributos (custo-benefício, localização, qualidade do sono, quartos, limpeza e atendimento) mostram que características que, em média, podem contribuir com a percepção dos serviços prestados.
O tipo de viagem também é um conjunto de variáveis independentes, de natureza categórica, que podem explicar a satisfação geral dos clientes. Por razões matriciais, os parâmetros são estimados sempre em comparação a uma categoria de referência que, neste caso, é viagem a trabalho.
As demais variáveis buscam identificar a contribuição de outros fatores na satisfação geral dos clientes. Acredita-se que o entorno de onde os meios de hospedagem estão localizados pode influenciar a satisfação geral dos clientes, pois a percepção envolve inúmeros fatores que não se relacionam diretamente ao meio de hospedagem. Enquadra-se nesse contexto:
a área: municípios mais extensos podem concentrar mais meios de hospedagem e favorece a concorrência, assim como podem oferecer de atrações turísticas, como praias por exemplo;
a população: municípios mais populosos estão associados a ambientes menos tranquilos, mais barulhentos e com mais trânsito, fatores que podem influenciar a satisfação geral do cliente; e
o IDH, a escolaridade e o PIB per capita são indicadores socioeconômicos que refletem as condições de vida da população local e, consequentemente, podem influenciar a satisfação geral dos clientes, uma vez que podem estar associados, por exemplo, ao nível de violência, de higiene e de saneamento local, assim como à disponibilidade de mão de obra qualificada para trabalhar na rede hoteleira;
Tendo em vista que o Ceará é um polo turístico atrativo por seu litoral, a variável Região visa a identificar se o fato de os meios de hospedagem estarem situados no litoral influencia a satisfação geral.
O ano da avaliação é uma variável que se propõe a captar eventuais mudanças de padrão nas avalições dos clientes no decorrer do tempo. Se essa variável resultar significante, pode ser um indício de que, em média, os clientes estão mais ou menos exigentes em suas avaliações sobre a satisfação geral.
Enfim, o número de avalições corresponde à quantidade de avaliações recebidas pelo meio de hospedagem. Busca-se com essa variável verificar se o maior número de avaliações está relacionado as notas atribuídas à satisfação geral. A significância dessa variável pode sugerir que o número de avalições influencia notas maiores de satisfação geral.
3.4 Análise dos dados
Para análise dos dados extraídos foi utilizada estatística descritiva e técnicas de análise multivariada por meio do uso dos programas Stata, versão 14 e SPSS versão 22. A regressão linear foi utilizada para analisar a influência os atributos de qualidade de serviço na satisfação geral dos consumidores, alcançando, assim, o objetivo geral da pesquisa.
Depois de incluídas as variáveis tipo de viagem, anos que passaram desde a avaliação, número de avaliações e algumas características do município (área, população, escolaridade, IDH, PIB per capita e região), descreve-se o seguinte modelo:
Satisfação Gerali = β0 + β1 CustoBenefícioi +β2 Localização i +β3 Qualidade do Sono i +β4 Quartoi +β5 Limpezai +β6 Atendimentoi +β7 Ano i + β8 Nª de avaliaçõesj + β9 Áreak +β10 Populaçãok + β11 Escolaridadek + β12 IDHk + β13 PIBpercapitak + β14 Regiãok + β15 D1Famíliai+ β16 D2Semcompanhiai+ β17 D3Amigosi+ β18 D4Casali+ εi
Em que,
𝜷0, 𝜷1, …, 𝜷18: são os coeficientes do modelo;
i : índice referente à avaliação;
j: índice referente ao meio de hospedagem;
k: índice referente ao município onde o meio de hospedagem se situa;
𝜺i: erro estocástico associado à i-ésima avaliação.
De modo a alcançar o primeiro objetivo específico, foram caracterizados os meios de hospedagem com recurso a técnicas de estatística descritiva. Para atender ao segundo objetivo específico, foram comparadas as médias das variáveis referentes à satisfação geral do consumidor e à qualidade percebida, segundo o tipo de viagem, através da Análise de Variância (ANOVA), bem como foi comparada a satisfação, a qualidade percebida e a relação entre elas, segundo o tipo de viagem em que se enquadra a hospedagem. Por fim, foram ajustados modelos de regressão linear múltipla, separadamente, para cada tipo de viagem. O terceiro objetivo foi atingindo com recurso à regressão logística para estimar a probabilidade de ser atribuída a nota máxima na satisfação (variável dependente: 1, ter atingido a nota máxima na avaliação; 0, caso contrário).
A seguir, apresenta-se as características da amostra, por meio da estatística descritiva dos dados, para posteriormente apresentar os resultados encontrados.
4 APRESENTAÇÃO DOS RESULTADOS
4.1 Características dos estabelecimentos hoteleiros
A nota média da satisfação geral, considerando todas as 27.094 avaliações dos meios de hospedagem cearenses no período abrangido pela pesquisa, é de 4,1127. Em relação aos atributos da qualidade, as notas médias ordenadas são: Localização (4,4116), Qualidade do sono (4,2559), Atendimento (4,2439), Limpeza (4,2100) e Quartos (4,0907). Esses resultados sugerem que o grande atrativo dos meios de hospedagem é a localização e que, por outro lado, investimento em atendimento, limpeza e estrutura dos quartos poderia aumentar a qualidade desses atributos.
Dos 588 meios de hospedagem, o Comfort Hotel Fortaleza foi o que recebeu o maior número de avaliações (2.430), seguido do Quality Hotel Fortaleza (1.438) e do Hotel Ibis Fortaleza (1.056). No entanto, como sugeriram Melián-González, Bulchand-Gidumal e González López-Valcárcel (2013), o maior número de avaliações não indica notas maiores.
Os principais estabelecimentos estão listados na Tabela 1 em ordem decrescente do percentual de nota máxima de Satisfação geral e que, para sua construção, foram considerados dois critérios: a) estabelecimentos que possuem um número igual ou superior a 50 avaliações na amostra; e b) seguindo o critério da coleta de dados, que todos os atributos tenham sido preenchidos na avaliação. Desse modo, buscou-se identificar os estabelecimentos com maior percentual de notas máximas de satisfação geral em relação ao número de avaliações.

A Pousada Jeribá, por exemplo, foi avaliada 116 vezes, das quais 103 com nota máxima, indicando que em 88,79% das avaliações foi atribuída nota 5. Nesse ranking aparecem apenas os estabelecimentos com percentuais acima de 70%. Curiosamente, todos os 16 meios de hospedagem estão situados em praias, sendo 11 em Jericoacoara.
Das notas de satisfação geral e dos atributos da qualidade, segundo o tipo de viagem, verifica-se que as médias atribuídas à satisfação geral e a todos os atributos de qualidade do serviço são menores quando o cliente viaja a trabalho. Apesar de não ter sido encontrada na literatura a razão para esse resultado, levanta-se duas suposições: os clientes que viajam a trabalho são mais exigentes comparativamente aos demais e/ou viajar a trabalho influencia negativamente a percepção dos serviços prestados, levando esse tipo de hóspede a atribuir, em média, notas mais baixas. Por outro lado, em geral, as notas atribuídas por hóspedes que viajam em casal ou com os amigos são relativamente maiores comparadas aos demais tipos de viajantes.

A Localização foi ao tributo mais bem avaliado, independentemente do tipo de viagem. Ao contrário, a Qualidade do sono e os Quartos são, respectivamente, os que receberam as piores notas.
Ao agregar, por localidade, os meios de hospedagem da amostra, considerando apenas os estabelecimentos que possuem no mínimo 50 avaliações e as localidades com no mínimo 5 estabelecimentos, de modo a evitar outliers, foi possível estabelecer o ranking da satisfação geral média dos clientes (tabela 3). Vê-se que Icaraí de Amontada (4,7237) foi a localidade que obteve a maior nota de Satisfação geral, seguido de Flecheiras (4,5534) e Canoa Quebrada (4,4151).
Das 43 localidades avaliadas, 28 estão localizadas em municípios do litoral do estado e 15 em municípios do interior. No entanto, Sobral (3,6610) foi o único município a figurar no ranking e, ainda assim, com uma nota bem abaixo em relação as demais localidades. Esses resultados apontam que os meios de hospedagem litorâneos têm uma satisfação geral percebida pelos clientes maior comparativamente àqueles situados no interior.

A tabela 4 mostra a matriz de correlação das variáveis explicativas (atributos de qualidade). A correlação mínima foi de 0,388 entre Qualidade do sono e Localização, obtida pelo método de Spearman e a correlação máxima observada foi de 0,724 entre Quarto e Limpeza, valor obtido pelo método de Pearson.

Apesar de haver algumas correlações altas, espera-se que não violem a hipótese ausência de multicolinaridade. A violação ou não dessa hipótese será verificada adiante por meio do Fator de Inflação da Variância (FIV).
4.2 Comparando grupos segundo o Tipo De Viagem
A fim de alcançar o segundo objetivo específico, utilizou-se a ferramenta paramétrica da ANOVA. Para tanto, foram criados 5 grupos (ou categorias) de acordo com o Tipo de Viagem, conforme Tabela 2.
Foi feito o teste de Levene, baseado na média, para cada uma das variáveis de satisfação geral e da qualidade dos serviços. Com exceção da variável Limpeza, todas as demais violam a hipótese da homogeneidade da variância. Ademais, os testes de Shapiro-Wilk e de Komolgorov-Smirnov indicaram a violação da hipótese de normalidade.
Esse resultado (não normalidade e heterogeneidade da variância), em amostras pequenas, levaria à aplicação de uma ferramenta não-paramétrica de análise. No entanto, considerou-se que as 27.094 observações formam uma amostra relativamente grande e, portanto, autorizaria o uso de ferramentas paramétricas (Field, 2009).
A Tabela 5 mostra os resultados da ANOVA para todas as variáveis, as quais foram comparadas com um único fator (Tipo de Viagem).

Pelos resultados obtidos confirma-se a existência de um efeito significativo do tipo de viagem na atribuição das notas de Satisfação geral e de qualidade dos serviços. Ademais, como o teste de Levene que indicou que as variâncias não são homogêneas, foram realizados os testes robustos de igualdade de média de F-Welch e de Brown-Forsythe e toda as variáveis apresentaram p-value igual a zero. Assim, nos casos em que não são atendidos o pressuposto de homogeneidade, usa-se como parâmetros os resultados do teste robusto (Field, 2009). Entretanto, nota-se que a significância das variáveis da ANOVA (Tabela 5), indicando que a heterogeneidade das variâncias não influenciou nos resultados.
Foi realizado também teste de TukeyHonestily Significant Diference (HSD) para comparação mútua de todos os grupos. Os resultados apontam que as notas atribuídas à Satisfação geral, os hóspedes classificados no grupo dos que viajaram a trabalho apresentaram valores significantes em relação a todos os demais grupos. No entanto, o fato de viajar sem companhia, em família ou em amigos não interfere nas notas de Satisfação Geral atribuídas pelos hóspedes.
Em relação às notas atribuídas ao Custo-benefício, vê-se que não faz diferença o hóspede pertencer ao grupo Sem companhia, Amigos e Casal. No quesito Localização, um hóspede que viaje a trabalho ou sem companhia não interfere na nota atribuída a esse quesito. Não há diferença significativa também entre o grupo que viaja sem companhia em relação a todos os demais atributos.
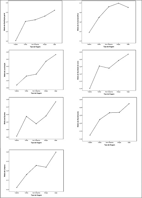
Para ilustrar a tendência entre o tipo de viagem e os atributos analisados, o Gráfico 1 mostra que, em geral, há uma relação crescente na atribuição de notas dos atributos dos hóspedes classificados nos grupos que viajam a trabalho proporcionalmente aqueles que viajam em casal. Analisando os gráficos que comparam individualmente cada quesito com o grupo, observa-se algumas quebras de padrão: o grupo Amigos tende a atribuir uma nota maior do quesito Custo-benefício comparado ao grupo Casal; o grupo Família atribui notas dos quesitos Qualidade do sono e Quartos maiores do que o grupo Sem companhia e, enfim, o grupo Sem companhia atribui notas maiores do quesito Limpeza comparado ao grupo Amigos.

A Tabela 6 mostra os resultados da a influência da qualidade dos serviços sobre a satisfação geral dos hóspedes, considerando cinco modelos, conforme o tipo de viagem do respondente. Vê-se que em todos os grupos analisados as variáveis de qualidade de serviço influenciaram a nota atribuída à Satisfação geral, ao nível de significância de 1%.

Quanto aos pressupostos da análise de regressão, cujos parâmetros foram estimados por Ordirary Least Square (OLS), o Fator de Inflação da Variância (FIV)<10 indica que não há problema de multicolinearidade. Também não há indicativo para presença de autocorrelação, haja vista que a estatística de Durbin-Watson (DW) permaneceu dentro do intervalo entre 1,8132 e 2,1869, relativa à distribuição de DW para 6 variáveis e o número de observações maior que 200. Contudo, a teste de White para heterocedasticidade rejeitou, a 0,01, a hipótese nula de resíduos homocedásticos, problema que foi corrigido pelo método de Huber-White para erros-padrão robustos. Os testes de Shapiro-Wilk e de Komolgorov-Smirnov indicaram os resíduos não se distribuem normalmente, mas isso não chega a ser um problema em razão do tamanho da amostra (Field, 2009). Além disso, os outliers foram eliminados ainda no processo de amostragem. Por fim, o R2 acima de 0,7 sugere que os modelos estão bem ajustados, valores que superam o percentual de 62% obtido por Ye et al. (2014), referente ao poder explicação da qualidade dos serviços.
Diferentemente das análises anteriores, as regressões buscam estabelecer uma relação entre os atributos de qualidade dos serviços e a satisfação geral, em cada um dos grupos formados por Tipo de Viagem. Desse modo, conclui-se que a qualidade dos serviços influencia a Satisfação geral do hóspede, independentemente do grupo a que ele pertence.
4.3 Fatores determinantes da satisfação máxima
Para a regressão logística, os dados da variável Satisfação geral foram transformados em binários, sendo atribuído 0 para notas inferiores à máxima e 1 para nota máxima, lembrando que a escala de notas é discreta e varia de 1 a 5. Do mesmo modo, a variável Tipo de Viagem foi transformada em variáveis dummies (Dn), conforme descrito no quadro 2. Das 27.094 observações, 16.294 (60,14%) foram inferiores à nota máxima, enquanto que 10.800 (36,86%) hóspedes atribuíram nota máxima aos meios de hospedagem.
O modelo foi estimado usando o procedimento Stepwise (Tabela 7). Nesse caso, foram estimadas também as razões de chances de atribuição de nota máxima ao se alterar uma unidade das variáveis do modelo, mantidas as demais constantes (Odds Ratio). No caso das variáveis qualitativas, que entraram no modelo como dummies referentes a cada categoria, as razões de chances comparam a chance de se obter nota máxima nessa categoria com a chance na categoria ou grupo de referência.

O p-value da estatística qui-quadrada do Teste de Razão de Verossimilhança (LR Test) foi superior a 0,05, demonstrando que a exclusão das variáveis (PIBpercapita, IDH e Escolaridade) não alterou a qualidade do ajuste, fazendo com que o modelo alternativo obtido pelo procedimento Stepwise seja preferível ao modelo com todas as variáveis.
Da coluna Odds Ratio é possível concluir, por exemplo, que um hóspede que atribua um valor a mais na avaliação do Custo-benefício tem, em média e mantida os demais fatores constantes, 60,05% mais chances de atribuir nota máxima de Satisfação geral ao meio de hospedagem. Dos atributos de qualidade dos serviços, o Quarto (3,5423) e o Atendimento (3,4646) são os fatores que mais contribuem para os hóspedes atribuírem nota máxima ao estabelecimento, mais do que triplicando a chance de atribuir nota máxima. Segue-se a Limpeza (1,98) que aumenta em quase 98% a chance de nota máxima. Esse resultado corrobora com os resultados da estatística descritiva de que essas três características são exatamente as apresentaram menor nota média de avaliação dos hóspedes, isto é, investimentos nesses quesitos podem aumentar a pontuação desses atributos e, consequentemente, a satisfação geral dos clientes.
Em relação às variáveis municipais, Área e População apresentaram razões de chances menores do que 1. Isso significa que o aumento de uma unidade nos valores dessas variáveis diminui a chance de ocorrência do evento estudado (nota máxima de Satisfação geral). Assim, conclui-se que as hospedagens situadas em municípios muito extensos territorialmente e populosos têm, em média, menos chances de serem avaliados com notas máximas atribuídas à satisfação geral do que municípios com território e população menores. Isso pode indicar que a expectativa dos hóspedes em relação às hospedagens em grandes cidades, que geralmente também são populosas, levam a avaliar a satisfação geral e a qualidade dos serviços com menores notas.
Nesse contexto, por cada unidade a mais na variável referente à área do município, a chance do meio de hospedagem obter nota máxima diminui cerca de 15%. Por cada unidade a mais na variável referente à população do município, diminui cerca de 3% a chance de obter nota máxima. A variável Região aponta que o fato de a hospedagem estar localizada no litoral aumenta as chances de atribuição de nota máxima em 62,57%.
No que concerne ao ano em que a avaliação foi realizada, nota-se que as avaliações mais recentes tendem a ser mais exigentes do que as dos anos anteriores constatando-se que a chance de obter nota máxima aumenta 7,08% a cada ano. Isso pode ser devido ao fato de que os hóspedes esperam melhorias contínuas e serem surpreendidos, logo tendem a ser mais exigentes à medida que o tempo passa ou a superestimar as expectativas com base na nota atribuída por outros hóspedes. Por exemplo, um hóspede que não tinha expectativa alguma sobre um meio de hospedagem e é surpreendido por um bom serviço prestado, tem mais chances de atribuir nota alta de Satisfação geral. No entanto, quando o hóspede já possui uma expectativa baseada na nota atribuída por outros hóspedes, deseja que esta, pelo menos se mantenha, ou seja, torna-se mais exigente em relação aquele meio de hospedagem. Com efeito, nessas situações, o aumento da criticidade do hóspede pode levá-lo a perceber falhas nos serviços prestados de modo que a nota de Satisfação geral atribuída seja menor.
No tocante ao Tipo de Viagem, um hóspede que viaja em família (D1) tem, em média, 26,66% a mais de chances de atribuir nota máxima em comparação aos que viajam a trabalho (grupo-base). Nota-se, corroborando com a análise da subseção 4.2, que todos os demais grupos comparativos têm probabilidade maior de atribuir nota máxima, comparados ao grupo-base: Sem companhia (52,19%), Amigos (36,74%) e Casal (28,46%).
4.4 Modelo geral de regressão múltipla
Finalmente, a fim de contemplar o objetivo geral, foi estimado o modelo mencionado na subseção 3.4, contendo todas as variáveis mencionadas no quadro 2. Nota-se que muitos resultados convergem àqueles obtidos nas subseções 4.2 e 4.3.
A Tabela 8 deixa claro que as variáveis de qualidade do serviço influenciam significativa e positivamente a nota de Satisfação geral atribuída ao meio de hospedagem, sendo os quesitos Quartos, Atendimento e Limpeza os que mais contribuem para a variação da satisfação.
A variável Ano de avaliação foi significativa e positiva, sendo que o sinal positivo indica quanto mais antiga as avaliações, em média, maior a nota de Satisfação geral. O tamanho do município e da população (Área e População) foram significantes e apresentaram sinais negativos. A escolaridade, o IDH e o PIB per capita não contribuíram para explicar a variação da nota de Satisfação geral.
Como a variável Região foi estruturada com o número 1 indicando os estabelecimentos do litoral, o resultado positivo do parâmetro indica que o fato de um meio de hospedagem se encontrar situado no litoral contribui positivamente para a nota de Satisfação geral.
Por fim, as variáveis dummy que correspondem ao tipo de viagem tiveram todos coeficientes estimados positivos e significantes. Como resultado, tem-se as notas de Satisfação geral das quatro categorias de tipo de viagem, mantida as demais variáveis constantes, são, em média, superiores ao grupo-base (viagem a trabalho). Nesses termos, por exemplo, a nota de Satisfação geral dos que viajam em família é, em média, superior em 0,0435 à dos que viajam a trabalho.

Os pressupostos do modelo clássico foram atendidos na medida em que o FIV apontou ausência de multicolinearidade, o teste de White apesar de ter rejeitado a hipótese de variância homocedástica, o problema que foi corrigido pelo método de Huber-White para erros-padrão robustos e a normalidade é presumida em razão do tamanho da amostra (Field, 2009). Por fim, o R2 acima de 0,7 sugere que os modelos estão bem ajustados.
5 DISCUSSÃO DOS RESULTADOS
Após a análise descritiva dos dados, verificou-se que investimentos em estrutura dos quartos, no atendimento e na limpeza poderiam aumentar a satisfação dos clientes, tendo em vista que são esses atributos, respectivamente, que têm a maior probabilidade de influenciar um cliente a atribuir nota máxima ao estabelecimento. Em que pese a existência de diversos atributos na literatura, esses resultados confirmam os estudos que consideram a qualidade do serviço como fator que influencia a satisfação geral do cliente (Curaković et al, 2013; Marković & Janković, 2013).
Outro achado curioso é que a maioria dos estabelecimentos avaliados com nota máxima estavam situados principalmente no litoral. Em geral, os meios de hospedagem litorâneos têm uma satisfação geral percebida pelos clientes maior comparativamente àqueles situados no interior. O que não surpreende, uma vez que são praias com atividade turística consolidada, é que Jericoacoara e Canoa Quebrada se destacam pelas boas avaliações dos turistas em relação aos estabelecimentos ali situados.
Filtrando as notas de satisfação geral e de cada um dos atributos da qualidade dos serviços segundo o tipo de viagem, observou-se que as notas médias atribuídas à satisfação geral e a todos os atributos de qualidade do serviço são menores quando o hóspede viaja a trabalho. Apesar de não ter sido encontrada na literatura uma razão para isso, supõe-se que os clientes que viajam a trabalho são mais exigentes comparativamente aos demais e/ou viajar a trabalho influencia negativamente a percepção dos serviços prestados e/ou os meios de hospedagem cearenses, em média, não estão tão preparados para receber esse público, talvez pelo fato de terem se especializado em viagens de lazer.
Por outro lado, em geral, as notas atribuídas por hóspedes que viajam em casal ou com os amigos são relativamente maiores comparadas aos demais tipos de viajantes, o que pode sugerir que o clima romântico ou harmônico propiciado pelo tipo de companhia pode influenciar positivamente a percepção da qualidade dos serviços prestados. Além disso, quem viaja em família tem 26,66% mais chances de atribuir nota máxima de satisfação do que o hóspede que viaja a trabalho, essas chances aumentam para 52,19% se o viajante estiver sem companhia.
Dos atributos de qualidade dos serviços relacionados ao tipo de viagem, contrariando os estudos de Jeong e Jeon (2008) e O´Connor (2010), a Localização foi a característica mais bem avaliada. A Qualidade do sono e os Quartos são, respectivamente, as características que receberam as piores notas independentemente do tipo de viagem.
Destarte, foi estabelecida uma relação entre as variáveis de Qualidade dos serviços e a Satisfação geral, por meio de regressões, em cada um dos grupos formados por Tipo de Viagem. Os resultados obtidos concluem que a qualidade dos serviços influencia positivamente a Satisfação geral do hóspede, independentemente do grupo a que ele pertence, embora a intensidade dessa relação é afetada conforme o tipo de viajante. Ademais, os quesitos Quartos, Atendimento e Limpeza os que mais contribuem para a variação da satisfação reforçando os achados da análise descritiva.
Adicionando variáveis ao nível do município onde o estabelecimento está situado, foi verificado quais são os fatores determinantes da satisfação máxima. Identificou-se que as hospedagens situadas em municípios muito extensos territorialmente e populosos têm, em média, menos chances de serem avaliados com notas máximas atribuídas à satisfação geral do que municípios com território e população menores. Isso pode indicar que a expectativa dos hóspedes em relação às hospedagens em grandes cidades, que geralmente também são populosas, levam a avaliar a satisfação geral e a qualidade dos serviços com menores notas. Mais especificamente, esse resultado pode estar associado ao fato de o Ceará ser um destino turístico eminentemente voltado para o lazer e descanso, cujos hóspedes estão interessados em um ambiente mais tranquilo e sossegado, que, em geral, estão relacionados a cidades menores.
O resultado positivo e significante da variável “Nº de avaliações”, apesar de o coeficiente ter valor bem próximo de zero, leva a concluir que os clientes, em média, dispõem-se a avaliar o meio de hospedagem quando a satisfação geral é maior. Em certa medida, contraria os achados Melián-González, Bulchand-Gidumal e González López-Valcárcel (2013) para os quais o número de avaliações não significa notas mais altas.
No que diz respeito ao ano em que a avaliação foi realizada, nota-se que as avaliações mais recentes têm, em média, notas inferiores às dos anos anteriores. Esse resultado pode ser devido ao fato de que os hóspedes tendem a ficar mais exigentes à medida que o tempo passa ou que os meio de hospedagem não consigam manter o padrão elevado dos serviços por muito tempo. Por fim, a escolaridade, o IDH e o PIB per capita não foram significantes para explicar a nota de satisfação geral, apesar de ser esperado que esses fatores pudessem contribuir positivamente com formação de mão de obra e com a estrutura dos locais e, consequentemente, refletissem na percepção da satisfação geral e da qualidade dos serviços.
6 CONSIDERAÇÕES FINAIS
O estudo teve como objetivo geral analisar a influência dos atributos da qualidade do serviço na satisfação do consumidor, segundo as avaliações postadas no TripAdvisor por consumidores dos meios de hospedagem cearenses. Para tanto, foram caracterizados os meios de hospedagem de 32 municípios cearenses, foram comparadas a satisfação, a qualidade percebida e a relação entre elas, segundo o tipo de viagem e foram determinados quais os aspectos que mais contribuem para que o hóspede avalie o estabelecimento com a nota máxima.
Do ponto de vista acadêmico, este trabalho buscou preencher algumas lacunas na literatura empírica. O arranjo empírico-metodológico torna o estudo inovador, à medida que utiliza diferentes abordagens estatística e computacional para obtenção dos resultados. Além disso, a combinação de variáveis de satisfação com as características regionais ampliou o horizonte de análise e possibilitou entender o papel do entorno em que os meios de hospedagem estão inseridos.
Os resultados obtidos contribuem para ações no setor hoteleiro cearense. Assim, ao identificar deficiências dos meios de hospedagem podem ser direcionados investimentos por parte dos meios de hospedagem na melhoria do atendimento, da limpeza e da estrutura dos quartos, aumentando assim a qualidade percebida pelos clientes. Esses atributos são ainda mais importantes porque aumentam a probabilidade boas avaliações.
Os gestores dos estabelecimentos analisados podem ainda redobrar a atenção em relação aos hóspedes que viajam a trabalho. Além disso, em conjunto com o poder público municipal e estadual, os estabelecimentos hoteleiros situados em grandes cidades devem se preocupar mais com os serviços prestados, enquanto que as autoridades dessas cidades devem intensificar as ações que promovam o bem-estar dos turistas.
É fato que o litoral cearense é o que mais atrai turistas ao estado. No entanto, isso não significa que os estabelecimentos situados no interior não tenham potencial turístico. Dessa forma, os resultados evidenciados neste estudo demonstram que os estabelecimentos não litorâneos também devem melhorar os serviços prestados.
Os resultados mostram que a propaganda boca-a-boca é muito importante, haja vista que os clientes tendem a preencher as avaliações quando se sentem positivamente satisfeitos. Com o maior acesso à informação por parte dos clientes, essa propaganda vem se intensificando e, consequentemente, os meios de hospedagem devem se adaptar a essa transformação que tornam os clientes cada vez mais exigentes. Assim, o setor hoteleiro cearense deve estar atendo a essas mudanças, de modo que continue contribuindo para que o Ceará se mantenha um atrativo polo turístico nordestino, importante para a geração de emprego e renda local.
Devido à natureza dos dados, provenientes de fontes secundárias, não foi possível coletar mais informações como o sexo do consumidor, a renda, a frequência de viagens, entre outras características demográficas que têm capacidade de influenciar as necessidades dos consumidores e consequentemente a sua satisfação. Nesta pesquisa foi utilizada apenas a característica demográfica “Tipo de viajante” disponibilizada pelo próprio consumidor na avaliação.
Em decorrência da fonte dos dados, não foi realizada uma análise qualitativa das avaliações escritas pelos consumidores, o que poderia ser útil para identificar quais fatores influenciam na nota atribuída em cada um dos atributos. Por outro lado, a quantidade de dados consegue captar a avaliação de um hóspede padrão, mesmo sabendo que os hóspedes podem ter escalas diferentes de avaliação, influenciadas por diversos fatores intrínsecos de cada avaliador, os quais seria impossível de serem captados em sua plenitude.
REFERÊNCIAS
Abrate, G., Capriello, A., & Fraquelli, G. (2011). When quality signals talk: Evidence from the Turin hotel industry. Tourism Management, 32(4), p. 912–921. https://doi.org/10.1016/j.tourman.2010.08.006
Almeida, G. S. D., & Pelissari, A. S. (2019). Satisfação do consumidor com base nos atributos do serviço de hospedagem. Revista Brasileira de Pesquisa em Turismo, 13(2), p. 32-53. https://doi.org/10.7784/rbtur.v13i2.1516
Alonso-Almeida, M. D. M., Rodríguez-Antón, J. M., & Rubio-Andrada, L. (2012). Reasons for implementing certified quality systems and impact on performance: an analysis of the hotel industry. The Service Industries Journal, 32(6), p. 919-936. https://doi.org/10.1080/02642069.2010.545886
Anderson, E. W., & Sullivan, M. W. (1993). The antecedents and consequences of customer satisfaction for firms. Marketing science, 12(2), p. 125-143.
Banerjee, S., & Chua, A. Y. (2016). In search of patterns among travellers' hotel ratings in TripAdvisor. Tourism Management, 53, p. 125-131. https://10.1016/j.tourman.2015.09.020
Blesic, I., Cerovic, S., & Dragicevic, V. (2011). Improving the service quality as a socially responsible activity of hotel companies. Amfiteatru Economic Journal, 13(29), p. 273-286.
Bulchand-Gidumal, J., Melián-González, S., & Lopez-Valcarcel, B. G. (2013). A social media analysis of the contribution of destinations to client satisfaction with hotels. International Journal of Hospitality Management, 35, p. 44-47. https://doi.org/10.1016/j.ijhm.2013.05.003
Casidy, R., & Wymer, W. (2016). A risk worth taking: Perceived risk as moderator of satisfaction, loyalty, and willingness-to-pay premium price. Journal of Retailing and Consumer Services, 32, p. 189-197. https://doi.org/10.1016/j.jretconser.2016.06.014
Chaves, M. S., Gomes, R., & Pedron, C. (2012). Analysing reviews in the Web 2.0: Small and medium hotels in Portugal. Tourism Management, 33(5), p. 1286-1287. https://doi.org/10.1016/j.tourman.2011.11.007
Chen, C., & Rothschild, R. (2010). An application of hedonic pricing analysis to the case of hotel rooms in Taipei. Tourism Economics, 16(3), p. 685–694. https://doi.org/10.5367/000000010792278310
Chen, H. (2019). A pilot study of business travelers’ stress-coping strategies. Tourism and Hospitality Research, 19(2), p. 252-258. https://doi.org/10.1177/1467358417740747
Cho, J., & Garcia-Molina, H. (1999). The evolution of the web and implications for an incremental crawler. Stanford.
Clifford, C. (2013). Let's close a deal: turn contacts into paying customers for your company, product, service or cause. John Wiley & Sons.
Coenders, G., Espinet, J., & Saez, M. (2003). Predicting random level and seasonality of hotel prices: A latent growth curve approach. Tourism Analysis, 8(1), p. 15–31.
Curaković, D., Šikora, I., Garača, V., Ćurčić, N., & Vukosav, S. (2013). The degree of consumer satisfaction with hotel services. Revista de turism-studii si cercetari in turism, (15), p. 6-11.
East, R., Grandcolas, U., Riley, F. D. O., & Lomax, W. (2012). Reasons for switching service providers. Australasian Marketing Journal (AMJ), 20(2), 164-170. https://doi.org/10.1016/j.ausmj.2011.12.001
Ekinci, Y. (2001). The validation of the generic service quality dimensions: an alternative approach. Journal of Retailing and Consumer Services, 8(6), p. 311-324. https://doi.org/10.1016/S0969-6989(00)00037-0
Field, A. (2009). Descobrindo a estatística usando o SPSS-2. Tradução de Lorí Viali. Bookman Editora.
Filieri, R., Alguezaui, S., & McLeay, F. (2015). Why do travelers trust TripAdvisor? Antecedents of trust towards consumer-generated media and its influence on recommendation adoption and word of mouth. Tourism Management, 51, p. 174-185. https://doi.org/10.1016/j.tourman.2015.05.007
Fournier, S., & Mick, D. G. (1999). Rediscovering satisfaction. Journal of marketing, 63(4), p. 5-23. https://doi.org/10.1177/002224299906300403
Getty, J. M., & Getty, R. L. (2003). Lodging quality index (LQI): assessing customers’ perceptions of quality delivery. International Journal of Contemporary Hospitality Management. https://doi.org/10.1108/09596110310462940
Governo do Estado do Ceará. Portal do Governo (2019). Aeroporto de Fortaleza tem o maior crescimento de voos e ofertas de assentos do Brasil. Disponível em: https://www.ceara.gov.br/2019/07/09/aeroporto-de-fortaleza-tem-o-maior-crescimento-de-voos-e-oferta-de-assentos-do-brasil/. Acesso em: 11 jul. 2019.
Grobelna, A., & Marciszewska, B. (2013). Measurement of service quality in the hotel sector: the case of Northern Poland. Journal of Hospitality Marketing & Management, 22(3), p. 313-332. https://doi.org/10.1080/19368623.2013.753816
Hocayen-da-Silva, A. J., & Teixeira, R. M. (2007). Ambiente competitivo e vantagem competitiva a partir de uma abordagem integradora: estudo de caso no setor hoteleiro em Curitiba. Turismo-visão e ação, 9(1), p. 19-35. https://doi.org/10.14210/rtva.v9n1.p19-36
Homburg, C., Koschate, N., & Hoyer, W. D. (2006). The role of cognition and affect in the formation of customer satisfaction: a dynamic perspective. Journal of marketing, 70(3), p. 21-31. https://doi.org/10.1509/jmkg.70.3.021
Jeong, M., & Mindy Jeon, M. (2008). Customer reviews of hotel experiences through consumer generated media (CGM). Journal of Hospitality & Leisure Marketing, 17(1-2), p. 121-138. https://doi.org/10.1080/10507050801978265
Johann, M., & Anastassova, L. (2014). The perception of tourism product quality and tourist satisfaction: the case of polish tourists visiting Bulgaria. European Journal of Tourism Research, 8, p. 99-114.
Jones, M. A., Mothersbaugh, D. L., & Beatty, S. E. (2000). Switching barriers and repurchase intentions in services. Journal of retailing, 76(2), p. 259-274. https://doi.org/10.1016/S0022-4359(00)00024-5
Kotler, P., & Armstrong, G. (2004). Marketing. Praha 7.
Kucukusta, D. (2017). Chinese travelers’ preferences for hotel amenities. International Journal of Contemporary Hospitality Management. https://doi.org/10.1108/IJCHM-09-2016-0511
Kuo, N. T., Chang, K. C., Chen, M. C., & Hsu, C. L. (2012). Investigating the effect of service quality on customer post-purchasing behaviors in the hotel sector: The moderating role of service convenience. Journal of Quality Assurance in Hospitality & Tourism, 13(3), p. 212-234. https://doi.org/10.1080/1528008X.2012.645200
Lai, L. H., Liu, C. T., & Lin, J. T. (2011). The moderating effects of switching costs and inertia on the customer satisfaction-retention link: auto liability insurance service in Taiwan. Insurance markets and companies: analyses and actuarial computations, 2(1), p. 69-78.
Latinopoulos, D. (2018). Using a spatial hedonic analysis to evaluate the effect of sea view on hotel prices. Tourism Management, 65, p. 87–99. https://doi.org/10.1016/j.tourman.2017.09.019
Lehto, X. Y., Park, O. J., & Gordon, S. E. (2015). Migrating to new hotels: a comparison of antecedents of business and leisure travelers’ hotel switching intentions. Journal of Quality Assurance in Hospitality & Tourism, 16(3), p. 235-258. https://doi.org/10.1080/1528008X.2014.925787
Liat, C. B., Mansori, S., & Huei, C. T. (2014). The associations between service quality, corporate image, customer satisfaction, and loyalty: Evidence from the Malaysian hotel industry. Journal of hospitality marketing & management, 23(3), p. 314-326. https://doi.org/10.1080/19368623.2013.796867
Limberger, P. F., Boaria, F., & Dos Anjos, S. J. G. (2014). A relação entre a satisfação geral e as variáveis da satisfação na hotelaria em hotéis de excelência. Revista Brasileira de Pesquisa em Turismo, 8(3), p. 435-455. https://doi.org/10.7784/rbtur.v8i3.803
Marković, S., & Raspor Janković, S. (2013). Exploring the relationship between service quality and customer satisfaction in Croatian hotel industry. Tourism and Hospitality Management, 19(2), p. 149-164.
Melián-González, S., Bulchand-Gidumal, J., & González López-Valcárcel, B. (2013). Online customer reviews of hotels: As participation increases, better evaluation is obtained. Cornell Hospitality Quarterly, 54(3), p. 274-283. https://doi.org/10.1177/1938965513481498
O'Connor, P. (2010). Managing a hotel's image on TripAdvisor. Journal of hospitality marketing & management, 19(7), p. 754-772. https://doi.org/10.1080/19368623.2010.508007
Oliver, R. L. (2014). Satisfaction: A behavioral perspective on the consumer: A behavioral perspective on the consumer. Routledge.
Ong, B. S. (2012). The perceived influence of user reviews in the hospitality industry. Journal of Hospitality Marketing & Management, 21(5), p. 463-485. https://doi.org/10.1080/19368623.2012.626743
Parasuraman, A., Zeithaml, V. A., & Berry, L. L. (2006). Um modelo conceitual de qualidade de serviço e suas implicações para a pesquisa no futuro. RAE, 46(4), p. 96-108.
Petry, T. R. E., Pickler, C., & Tomelin, C. A. (2016). A percepção dos hóspedes de negócios quanto ao desempenho da qualidade dos serviços prestados nos hotéis de Florianópolis: uma análise a partir do conteúdo gerado no website Booking. com. Turismo-Visão e Ação, 18(2), p. 327-352. https://doi.org/10.14210/rtva.v18n2.p327-352
Radojevic, T., Stanisic, N., & Stanic, N. (2015). Solo travellers assign higher ratings than families: Examining customer satisfaction by demographic group. Tourism Management Perspectives, 16, p. 247-258. https://doi.org/10.1016/j.tmp.2015.08.004
Rhee, H. T., & Yang, S. B. (2015). How does hotel attribute importance vary among different travelers? An exploratory case study based on a conjoint analysis. Electronic markets, 25(3), p. 211-226. https://doi.org/10.1007/s12525-014-0161-y
Rosen, S. (1974). Hedonic prices and implicit markets: Product differentiation in pure competition. Journal of Political Economy, 82(1), 34–55. https://doi.org/10.1086/260169
Saló, A., & Garriga, A. (2011). The second-home rental market: A hedonic analysis of the effect of different characteristics and a high-market-share intermediary on price. Tourism Economics, 17(5), p. 1017–1033. https://doi.org/10.5367/te.2011.0074
Sheeran, P. (2002). Intention-behavior relations: a conceptual and empirical review. European review of social psychology, 12(1), p. 1-36. https://doi.org/10.1080/14792772143000003
Soler, I. P., Gemar, G., Correia, M. B., & Serra, F. (2019). Algarve hotel price determinants: A hedonic pricing model. Tourism Management, 70, p. 311-321. https://doi.org/10.1016/j.tourman.2018.08.028
Sparks, B. A., Perkins, H. E., & Buckley, R. (2013). Online travel reviews as persuasive communication: The effects of content type, source, and certification logos on consumer behavior. Tourism Management, 39, p. 1-9. https://doi.org/10.1016/j.tourman.2013.03.007
Stringam, B. B., & Gerdes Jr, J. (2010). An analysis of word-of-mouse ratings and guest comments of online hotel distribution sites. Journal of Hospitality Marketing & Management, 19(7), p. 773-796. https://doi.org/10.1080/19368623.2010.508009
Stringam, B. B., Gerdes Jr, J., & Vanleeuwen, D. M. (2010). Assessing the importance and relationships of ratings on user-generated traveler reviews. Journal of Quality Assurance in Hospitality & Tourism, 11(2), p. 73-92. https://doi.org/10.1080/1528008X.2010.482000
Stupariu, M. I., & Josan, I. (2014). The quality of hotel services. Case study: the county seat municipalities of the North-West Development Region. GeoJournal of Tourism and Geosites, 14(02), p. 207-214.
Su, L., Swanson, S. R., & Chen, X. (2016). The effects of perceived service quality on repurchase intentions and subjective well-being of Chinese tourists: The mediating role of relationship quality. Tourism Management, 52, p. 82-95. https://doi.org/10.1016/j.tourman.2015.06.012
Su, L., Swanson, S. R., Chinchanachokchai, S., Hsu, M. K., & Chen, X. (2016). Reputation and intentions: The role of satisfaction, identification, and commitment. Journal of Business Research, 69(9), p. 3261-3269. https://doi.org/10.1016/j.jbusres.2016.02.023
Suh, M., Moon, H., Han, H., & Ham, S. (2015). Invisible and intangible, but undeniable: Role of ambient conditions in building hotel guests’ loyalty. Journal of Hospitality Marketing & Management, 24(7), p. 727-753. https://doi.org/10.1080/19368623.2014.945223
Tripadvisor. (2020). Sobre O TripAdvidor. Disponível em: <https://tripadvisor.mediaroom.com/br-about-us>. Acesso em 12 jun. 2020.
Viana, P.T.P. (2017). A percepção de qualidade dos hóspedes de um resort localizado na Ilha de Santa Catarina a partir da reputação on-line no site TripAdvisor. com. NAVUS-Revista de Gestão e Tecnologia, 7(2), p. 26-36. https://doi.org/10.22279/navus.2017.v7n2.p26-36.450
Wilkins, H., Merrilees, B., & Herington, C. (2009). The determinants of loyalty in hotels. Journal of Hospitality Marketing & Management, 19(1), p. 1-21. https://doi.org/10.1080/19368620903327626
Winchester, M., Winchester, T., & Alvey, F. (2011, January). Seeking romance and a once in a life-time experience: Considering attributes that attract honeymooners to destinations. In ANZMAC 2011 conference proceedings: Marketing in the Age of Consumerism: Jekyll or Hyde? (pp. 1-7). ANZMAC.
Yang, Y., Mao, Z., & Tang, J. (2018). Understanding guest satisfaction with urban hotel location. Journal of Travel Research, 57(2), p. 243-259. https://doi.org/10.1177/0047287517691153
Ye, Q., Li, H., Wang, Z., & Law, R. (2014). The influence of hotel price on perceived service quality and value in e-tourism: An empirical investigation based on online traveler reviews. Journal of Hospitality & Tourism Research, 38(1), p. 23-39. https://doi.org/10.1177/1096348012442540
Zhang, Z., Ye, Q., & Law, R. (2011). Determinants of hotel room price: An exploration of travelers’ hierarchy of accommodation needs. International Journal of Contemporary Hospitality Management, 23(7), p. 972–981. https://doi.org/10.1108/09596111111167551
Zhong, J., Chen, X., & Xie, L. (2010). China Hotel Quality Competitiveness Assessment: A Quality Competition Index Approach. Journal of China Tourism Research, 6(2), p. 145-163. https://doi.org/10.1080/19388160.2010.481601
Zhou, L., Ye, S., Pearce, P. L., & Wu, M. Y. (2014). Refreshing hotel satisfaction studies by reconfiguring customer review data. International Journal of Hospitality Management, 38, p. 1-10. https://doi.org/10.1016/j.ijhm.2013.12.004
Notas
Autor notes
E-mail: emanuela.mota@gmail.comE-mail: george.freitas@professor.unifametro.edu.brE-mail: smdpedro@gmail.com