ARTÍCULOS DESTINADOS AL MONOGRÁFICO
Retorno social y calidad de las IES: el efecto salarial en pequeñas empresas
Social return and quality of HEI: wage effect on small firms
Retorno social y calidad de las IES: el efecto salarial en pequeñas empresas
RETOS. Revista de Ciencias de la Administración y Economía, vol. 12, núm. 24, pp. 212-228, 2022
Universidad Politécnica Salesiana

Recepción: 08 Julio 2022
Revisado: 04 Agosto 2022
Aprobación: 09 Agosto 2022
Publicación: 01 Octubre 2022
Resumen: brindar una educación de la mayor calidad posible, haciendo un uso eficiente de los recursos, es una exigencia permanente para las universidades con financiamiento público. Aunque es conocido que los egresados con estudios universitarios reciben un beneficio privado (salarial), todavía faltan estimaciones del beneficio social de la educación superior, es decir, de los efectos positivos que los universitarios crean en otros trabajadores. En este contexto, el objetivo de este artículo es medir el retorno social de la educación superior, estimando el efecto sobre el salario del personal directivo y operativo, asociado al trabajo de universitarios contratados en pequeñas y medianas empresas. El análisis se realizó con datos de México, se combinaron cifras oficiales de la Encuesta de Calidad de Gobierno, que reporta la satisfacción de la educación universitaria, y la Encuesta de Productividad, que describe salarios y escolaridad, entre otros. La muestra se enfocó en pequeñas y medianas empresas. La abundante información disponible permitió utilizar variables instrumentales y una regresión en dos etapas. Se corroboró que la educación universitaria tiene un efecto social positivo y que este efecto es mayor en las regiones con las Instituciones de Educación Superior (IES) de mayor calidad. Al ampliar la perspectiva hacia la calidad de las IES y el retorno social, las universidades pueden demostrar que su impacto sobrepasa al conjunto de egresados y provoca un efecto salarial positivo en trabajadores sin estudios universitarios.
Palabras clave: salario, universidades, gerentes, QS, PYME, MC2E, INEGI, México.
Abstract: providing an education with the highest possible quality, making efficient use of resources, is a permanent demand for publicly funded universities. It is known that graduates with university studies receive a private benefit (wage), although estimates of the social benefit of higher education are still lacking, that is, the positive effects that university students create in other workers. In this regard, the aim of this paper is to measure the social return of higher education, estimating the effect on the wage of managers and workers, associated with the job of university graduates hired in small and medium-sized companies. The analysis was carried out with data from Mexico, combining official figures from the Government Quality Survey, which reports satisfaction with university education, and the Productivity Survey, which describes wages and schooling, among others. The sample was formed with small and medium enterprises. The abundant information available allowed us to use instrumental variables and a two-stage regression. It was confirmed that tertiary education has a positive social effect and that this effect is greater in regions with higher quality HEIs. By broadening the perspective towards the quality of HEIs and social return, universities can demonstrate that their impact exceeds their graduates, reaching workers without university studies through a positive salary effect.
Keywords: wage, universities, managers, QS, SME, 2SLS, INEGI, Mexico.
Cómo citar:
Kato-Vidal, E. y Hernández-Mendoza, P. (2022). Retorno social y calidad de las IES: el efecto salarial en pequeñas empresas. Retos Revista de Ciencias de la Administración y Economía, 12(24), pp. 20-36. https://doi.org/10.17163/ret.n24.2022.02
Introducción
La educación superior ha tenido un avance muy importante en todos los países, especialmente en las economías en desarrollo. Dos casos con gran expansión son España y Corea del Sur, donde en 2020 el porcentaje de jóvenes (24-34 años) con educación universitaria es de 50 % y 70 %, respectivamente, tasas muy elevadas en comparación a las de generaciones previas, por ejemplo, al grupo de edad entre los 55 y 64 años (30 % y 26 %, respectivamente). En Latinoamérica, se tenían bajas tasas de personas con estudios universitarios, esa tasa promedia 16 % en el grupo de edad de 55-64 años. Con el paso del tiempo, la escolarización aumentó y, actualmente, en países como Chile, Colombia y México cerca del 30 % de jóvenes han concluido su educación superior. En Brasil, el porcentaje es cercano al 24 %, y en Argentina 13 % (OECD, 2022). En 15 países latinoamericanos, la CEPAL ha documentado que la gran mayoría de los egresados universitarios tiene un empleo en sectores con productividad media o alta (2021, pp. 92-94). Se sabe que los trabajadores universitarios perciben ingresos más altos. Analíticamente, ese retorno privado de la educación se ha estudiado utilizando la conocida ecuación de Mincer (Urzúa, 2017; López-Acevedo, 2004).
Solo recientemente se tiene la información necesaria para comparar el desempeño de las universidades. Fue en la década de 1980 cuando se iniciaron los rankings de universidades y las comparaciones intra e inter países, en parte lideradas por las universidades privadas (Balán, 2012). En la década de 2010, iniciaron encuestas que miden la calidad de los gobiernos que, entre otros aspectos, incluye la evaluación de la educación pública, tanto en su nivel básico como superior (Charron et al., 2019). En México, la encuesta de calidad gubernamental (ENCIG) es bianual y se ha realizado en seis ocasiones (2011-2021). En este artículo se estudiará la calidad de la educación pública superior y se complementará la información de la ENCIG con uno de los rankings de universidades más conocidos (QS, 2020). En Latinoamérica, una meta común es ampliar la cobertura de educación superior y lograr estándares internacionales de enseñanza, investigación y vinculación. Mientras persista un bajo porcentaje de universitarios, especialmente en las regiones con mayor precariedad, se dificulta socializar los beneficios de la educación superior (Corak, 2013) y disminuye el potencial al no haber las personas suficientes ni las capacidades tecnológicas para transitar hacia una economía basada en el conocimiento.
El retorno social de la educación superior
Este artículo estima el retorno social de la educación superior, que consiste en el beneficio de las personas sin estudios universitarios al interactuar con los egresados universitarios, por ejemplo, al trabajar en la misma empresa. Según Moretti (2004a, p.179; 2004b, p. 660), esa hipótesis de la externalidad del capital humano ha existido desde la época de los economistas clásicos, que plantea que la interacción de trabajadores con diferentes habilidades crea oportunidades de aprendizaje y una mayor productividad. Habría otras explicaciones de por qué aumenta la productividad cuando aumentan los trabajadores con estudios universitarios, en un caso —presión externa— se postula que, al haber más universitarios, crece la presión en los trabajadores menos cualificados para lograr mayor productividad y, en otro —habilidades complementarias— ambos tipos de trabajadores (con alta y baja escolaridad) se complementan y construyen mejores rutinas de trabajo.
Si hay evidencia de retorno social, esto reduciría los cuestionamientos de que la inversión pública a las universidades es fiscalmente regresiva, porque esos beneficios los capturan los estratos altos, aquellos matriculados en las universidades (Carnoy, 2020; CONEVAL, 2018, pp. 82-84; Keller, 2010). El caso de estudio es México, un país donde anualmente cerca de cinco millones de personas cursan estudios de educación superior en alguna institución pública (ENCIG, 2013-2019). La oferta educativa se compone de instituciones públicas y privadas, de diverso tamaño. De ese conjunto, destacan 20 universidades públicas clasificadas entre las 200 universidades más importantes de América Latina (QS, 2020). En el análisis se utilizó esta dispersión territorial, así como la pertenencia al ranking QS para hacer estimaciones sobre el efecto de la educación superior en el salario.
La evidencia confirma que se pagan salarios más altos en las empresas con mayor porcentaje de trabajadores con educación superior. En particular, se estimó que un aumento de 10 puntos porcentuales (p.p.) en el porcentaje de universitarios incrementa 9,4 % el salario de los trabajadores operativos, y 11,9 % el salario del personal directivo. También se confirmó que en las regiones con universidades en el top 150, las empresas pagan salarios superiores entre 10 % y 20 % respecto al resto del país. Estos hallazgos son importantes porque demuestran que los beneficios de la inversión pública en las IES no quedan atrapados en su propia comunidad. A través de las empresas, esos beneficios se distribuyen más allá de los universitarios, y deberían formar parte del cálculo de los distintos efectos positivos con los que las universidades contribuyen socialmente.
Varios autores han estudiado los efectos económicos de la educación superior en América Latina. En Manacorda et al. (2010) reportan el porcentaje de retorno salarial, en cinco países, para quienes cuentan con educación terciaria y su participación en el empleo total. También se ha estudiado (Brambilla et al., 2012) el efecto de la educación universitaria en forma más amplia, suponiendo que existe una recompensa por las habilidades adquiridas (skill premium). En otros análisis (Aboal y Veneri, 2016; García, 2020) se aporta evidencia de que los egresados de la educación superior —universitaria y tecnológica— son más propensos a convertirse en emprendedores, ya sea a tiempo parcial o tiempo completo.
La gobernanza y la tercera misión de las IES
A las Instituciones de Educación Superior (IES) se les exige, especialmente aquellas que reciben financiamiento público, que proporcionen educación de calidad para sus estudiantes, pero también que retribuyan a sus comunidades con conocimientos y servicios especializados (Ireland, 2015). En ese sentido, se demanda que las universidades sean espacios en interacción con otros miembros de su región. Al respecto, esa tercera misión es una vertiente cada vez más visible con los flujos de cooperación entre las IES y las empresas.
Las universidades se expandieron notablemente durante el siglo XX, después de la Segunda Guerra Mundial por la creencia de que las instituciones de educación superior eran esenciales para el progreso económico y social debido a que (Summers, 2011; Holmes y Mayhew, 2016): proporcionan personal calificado, son proveedoras de innovación, y contribuyen a conformar instituciones y valores democráticos. En el estudio de Valero y Van Reenen (2019) concluyen que un incremento del 10 % en el número de universidades en una región, está asociado con un 0,4 % más de PIB per cápita y detectan que las ciudades capitales tienen un mayor crecimiento per cápita al resto de las regiones. También hallaron que el efecto de las universidades es heterogéneo en el tiempo y en el espacio. Por ejemplo, identificaron que existe un efecto recuperación (catch-up) cuando se instalan nuevas universidades en las regiones rezagadas de un país. En Estados Unidos, Francia, Alemania y Reino Unido han recibido por décadas un impacto económico positivo de las universidades. En otros países, como los asiáticos, esa experiencia positiva comenzó de forma tardía a partir de 1990 (Valero y Van Reenen, 2019).
Para que las universidades potencien sus resultados positivos se requiere de una gobernanza que incluya rendición de cuentas, pero también de autonomía (Bruckman y Carvalho, 2014; Pandey, 2004). Las universidades se convirtieron en actores clave porque coincidió la llegada de una economía basada en el conocimiento con una demanda social por mayor transparencia. En ese contexto, cobró fuerza el concepto de la tercera misión de las universidades, se intensificaron los vínculos con empresas y con instituciones no académicas (Abreu et al., 2016; Peña-Vinces y Urbano, 2014), esos vínculos sirvieron para compartir conocimiento, para realizar transferencia de tecnología, crear liderazgo en el pensamiento emprendedor y creativo, todo ello favoreciendo la innovación y el desarrollo económico.
Conviene diferenciar las particularidades de las universidades que, en su versión más sencilla, se dividen en dos grupos: las IES basadas en la enseñanza y las IES basadas en la investigación. Ambos tipos de universidades contribuyen al desarrollo empresarial y a aumentar la productividad regional (Abreu et al., 2016). Primero, las IES enfocadas en la enseñanza se centran en facilitar un contexto empresarial, generando un liderazgo productivo, desarrollo de capacidades y redes. Segundo, las IES enfocadas en la investigación se especializan en el intercambio de conocimientos innovadores. Un planteamiento usual es afirmar que las IES basadas en la enseñanza tenían un mayor vínculo a nivel local y regional, mientras que las IES de investigación jugaban un papel más activo a nivel nacional e internacional, esa distinción se ha ido borrando (Hudson, 2006).
Es importante destacar los beneficios de las IES basadas en la enseñanza, ya que estas instituciones están más orientadas a los negocios y algunos son anclas de clústeres tecnológicos, además de formar personal especializado, también promueven la cultura y prácticas empresariales. Esa sería la explicación de por qué se ha encontrado que las empresas que están más cerca de las universidades tienen mejores prácticas de gestión (Valero y Van Reenen, 2019).
Las instituciones y el desarrollo local
El desarrollo económico local está vinculado al desempeño del gobierno y la calidad de las instituciones. Por tanto, para explicar las diferencias en las trayectorias económicas de las regiones, es posible hallar parte de la respuesta en sus instituciones (Rodríguez-Pose y Di Cataldo, 2015). La calidad de las instituciones proporciona el tipo de incentivos y restricciones que afectan las decisiones de los actores económicos. En la medida en que haya incentivos y estrategias de largo plazo, la efectividad gubernamental facilita la transmisión de conocimientos, promueve inversiones en las áreas deseadas y permite que los actores regionales maximicen su capacidad tecnológica (Kahn y MacGarvie, 2016).
A su vez, las instituciones definen la forma en que las decisiones colectivas se realizan, además apoyan la formación de la confianza mutua y el control de la corrupción y esto, en conjunto, incide en el grado de incertidumbre que enfrenta la sociedad. Específicamente, Rodríguez-Pose y Di Cataldo (2015) identifican que la efectividad gubernamental está asociada a principios de equidad social y servicios públicos de calidad, como lo son la educación y la salud. Utilizando regiones de Europa, Rodríguez-Pose y Di Cataldo (2015) compararon regiones centrales y periféricas, donde las primeras tenían mayores índices de calidad de gobierno y las segundas mostraban gobiernos con menor calidad y también un rezago social relativamente mayor. Los autores hallaron que, en las regiones periféricas, una pequeña mejora en la efectividad gubernamental y el control de la corrupción tiene beneficios sustanciales tanto en la innovación como en la generación de conocimiento.
Esta evidencia muestra que las regiones centrales, a diferencia de las periféricas, se han beneficiado de la calidad de sus instituciones y han construido espacios de aprendizaje y conocimiento, en un entorno de sistemas regionales de innovación. Conceptualmente, una discusión similar ha sido planteada para Estados Unidos por Brint y Clotfelter (2016) y para Europa por Holmes y Mayhew (2016). Con base en esos hallazgos, este artículo estudia el caso mexicano enfocándose en las diferencias regionales de la calidad de la educación pública superior. Se eligió observar qué efecto salarial había en las pequeñas y medianas empresas. El mecanismo analizado fue el retorno social de la educación superior y se eligió a las empresas de menor tamaño, ya que su personal contratado proviene mayormente de la misma región. De esa forma, parcialmente se controla que el efecto salarial medido corresponde a la institución educativa de la propia región.
Materiales y método
En este artículo se buscó estimar el efecto positivo que tiene la educación pública superior en los salarios, la estrategia de estimación consistió en analizar las diferencias estatales de calidad de las instituciones de educación superior (IES).
Calidad de la educación pública superior
Para medir la calidad de las IES se combinaron dos fuentes de información: i) el ranking QS de universidades, elaborado por Quacquarelli Symonds, empresa especializada en educación superior, y ii) la encuesta de calidad e impacto gubernamental (ENCIG-INEGI), que evalúa la satisfacción de los usuarios de la educación superior, entre otros servicios (Monsiváis, 2019). En Bernate et al. (2020) se aplicó una evaluación más detallada de la calidad de la educación superior. El mapa 1 muestra los nueve estados con las universidades mejor evaluadas (tier-1) en el top 100 de América Latina, excepto los estados de Veracruz y Querétaro que clasifican cerca del lugar 140. En otro bloque (tier-2) se asignaron a ocho estados con las siguientes universidades mejor evaluadas, aquellas en el rango de posiciones 150-200 de América Latina. En una versión preliminar se trabajó con un tercer tier que incluía siete estados con universidades clasificadas cerca de la posición 250. Sin embargo, las pruebas estadísticas no arrojaron diferencias entre esos estados tier 3 y los demás estados. Por ese motivo, el análisis se acotó a tres grupos de comparación: tier-1, tier-2 y sin-tier, el tercer grupo incluye estados sin universidades clasificadas por QS o clasificadas fuera del top 200. Para validar la consistencia entre el ranking QS y la respuesta de los usuarios de la educación pública universitaria, se comparó el porcentaje de satisfacción general de la encuesta de calidad gubernamental (ENCIG, 2013-2021) y por cada característica de la educación superior.

Se encontró consistencia en el rubro más amplio —la satisfacción con la educación superior— y evidencia positiva en el análisis por característica. La figura 1 muestra una ventaja de 4 p.p. de mayor satisfacción en los estados con tier-1, respecto a los estados sin-tier. Aunque también existe una mayor satisfacción de las tier-2 (vs sin-tier), esa pequeña ventaja es insuficiente para detectarse estadísticamente. Los aspectos específicos que producen la mayor satisfacción en los estados tier-1 consiste en tres características: tener instalaciones y mobiliarios adecuados y en buenas condiciones, además los usuarios reportan satisfacción ya que se cumple tanto los temarios de estudio como los días de clase programados en el calendario. Es extraño que los usuarios de las universidades tier-1 no reporten una elevada satisfacción donde se hubiera esperado: la capacidad de los profesores y la calidad de la educación. A pesar de esta discrepancia, se confirma que los estados previamente clasificados como tier-1 tienen una supremacía en el sistema nacional de educación superior.

El segundo grupo de interés son los estados con universidades tier-2, en el ranking este grupo está un poco alejado de los líderes, aunque dentro del top 200 de universidades de América Latina. Los usuarios en esos estados declaran una alta satisfacción con la capacidad de los profesores, incluso mayor a la registrada en tier-1, y también reportan satisfacción por el cumplimiento de los temarios. El alto desempeño en solo dos de las ocho características fue insuficiente para poder afirmar estadísticamente que en los estados tier-2 hay una mayor satisfacción general en comparación a los estados sin-tier. Finalmente, otras características parecen ser comunes o compartidas en todas las regiones y universidades, a saber: la limpieza de las instalaciones, el perfil del personal docente y el número de estudiantes por clase. Estos hallazgos aportan la evidencia necesaria para validar que las diferencias en la calidad de la educación pública superior pueden capturarse a través de los agrupamientos de los estados en tres grupos. En el siguiente apartado, se describe la información de los salarios con los que se analizará el efecto de la educación superior.
Salario y retorno social
Para estudiar el efecto social de la educación superior se eligió al salario. La estrategia de estimación que se utilizó se basa principalmente en Moretti (2004a). Al igual que Moretti, se utilizó como variable clave el porcentaje de trabajadores con educación superior (de aquí en adelante, porcentaje de universitarios), aunque adicionalmente se propuso que, en la medida en que crece la calidad de la educación universitaria, el efecto de los universitarios sobre el salario se intensifica. La hipótesis de la calidad de la educación como una interacción tiene sustento, por ejemplo, en la experiencia europea (Rodríguez-Pose y Di Cataldo, 2015). En particular, puede conceptualizarse a la gobernanza de las instituciones públicas de educación superior como parte del desempeño de las instituciones existentes en una región. Si bien, la educación universitaria contribuye a subir los salarios en todos los estados de un país, ese efecto debe ser mayor en aquellos estados donde es mayor la calidad de sus instituciones, en particular las instituciones públicas de educación superior.
El objetivo es medir el retorno social de la educación superior, a diferencia de la mayoría de las investigaciones que se centran en el retorno privado. Para ilustrar la diferencia se preparó la figura 2, el retorno privado de la educación superior consiste en cuantificar el nivel de ingresos que logran los egresados universitarios para ellos mismos. En este caso se estimó el retorno social, es decir, el beneficio para distintos tipos de trabajadores al interactuar en las empresas, para lo cual se estimó el efecto salarial que logra el personal operativo (mayormente no universitario) y los directivos o supervisores (mayormente egresados universitarios). En la figura 2 también se muestra, del lado izquierdo, el efecto potencial de las IES en las empresas, llamada la tercera misión (Abreu et al., 2016; Zamora-Sánchez et al., 2022). Así, la estimación busca medir el retorno social y, adicionalmente, probar si la calidad de las IES incide en la tasa de retorno.
En los siguientes párrafos se describirán las variables utilizadas y posteriormente se detallarán las características de la estimación. Las dos variables explicativas que se plantearon son la calidad de la educación pública superior y el porcentaje de universitarios. La variable de calidad se describe en la sección anterior y se implementó a través de una variable dicotómica para mostrar tres grupos de estados, aquellos con IES tier-1, tier-2 y sin instituciones tier. La calidad de las IES debería incidir positivamente sobre las empresas, en el estudio se observaría mediante un mayor retorno social y un mayor salario en los estados con tier-1 y tier-2. La otra variable explicativa es el porcentaje de universitarios (licenciatura, ingeniería, especialidad y posgrado), que se obtuvo dividiendo el número de trabajadores con educación superior entre el total de trabajadores . Se espera que un aumento del porcentaje de universitarios induzca un salario general más alto, a causa de una mayor interacción laboral.

Se utilizó como fuente de información la Encuesta de Productividad de las Micro, Pequeñas y Medianas Empresas (ENAPROCE) publicada por el Instituto Nacional de Estadística de México, que recoge la información en las empresas. Esta característica es relevante, ya que provee directamente tanto el salario como el porcentaje de universitarios, así como la industria, el tamaño de empresa, etc. Usualmente para conocer el número de personas con educación superior se utilizan registros administrativos o encuestas en hogares y, a partir de esos datos, se imputan con gran imprecisión el porcentaje de universitarios a las estadísticas empresariales. Al utilizar la ENAPROCE se elimina la necesidad de imputar el número de trabajadores con educación superior.
Combinando las dos ediciones de la ENAPROCE 2015 y 2018, se obtuvieron datos para 2015, 2016 y 2017, ya que la segunda edición publicó datos de dos años. Con ello, se preparó un panel con observaciones de pares por sector y estado. Por diseño, la encuesta se realiza únicamente en sectores estratégicos y su desglose por estado se limita a pequeñas y medianas empresas (PYME). En promedio, un estado tiene siete sectores estratégicos , por tanto, el panel de datos construido tiene un total de 635 observaciones .
En la encuesta el criterio utilizado para definir una PYME fue tener como mínimo 11 empleados en cualquier sector y como máximo en comercio o servicios 100 empleados y en manufacturas 250 empleados. Complementariamente, para estratificar el tamaño de empresa el INEGI utilizó como criterio adicional el volumen de ventas (INEGI, 2019). En la muestra, el 26 % de los trabajadores cuenta con estudios universitarios y en algunos sectores ese porcentaje alcanza el 46 %, por ejemplo, en Servicios de Apoyo a Negocios, Productos Farmacéuticos o Servicios de Investigación y Desarrollo Tecnológico. Un reto de la investigación es probar si la calidad de las IES impacta positivamente en el efecto de los universitarios sobre el salario. Dado que solo se conoce el porcentaje de universitarios, sin tener información sobre la IES en que cursaron sus estudios, entonces se debe suponer que la mayoría de los trabajadores se graduaron de una universidad en el mismo estado en que trabajan. Este supuesto es restrictivo, pero realista ya que, en comparación a las grandes empresas, en las PYME hay un menor porcentaje de trabajadores inmigrantes.
El retorno social se medirá con el salario de dos tipos de trabajadores. El salario se obtuvo dividiendo la remuneración anual entre el personal ocupado. Los dos tipos de trabajadores son: a) Directivos y de supervisión (educación universitaria), y b) Operativo y de apoyo (en su mayoría no universitarios) (INEGI, 2019, p. 74), los primeros desempeñan labores ejecutivas, de planeación e inspección del trabajo realizado por el personal operativo, y los segundos desarrollan labores de producción, de ventas y de servicios. Se excluye a personal que trabajó únicamente por honorarios o comisiones sin recibir un sueldo base. Al tener dos tipos de trabajadores, es posible comparar si existen distintos efectos asociados al porcentaje de universitarios.
Analíticamente, es complicado medir el efecto de los universitarios en el salario, ya que ambas variables se entremezclan. En consecuencia, la estrategia de estimación consiste en utilizar variables instrumentales que permiten obtener información relacionada con el porcentaje de universitarios, sin que esté correlacionada con el salario. En Moretti (2004a), se propone como instrumento la proporción de jóvenes dentro del empleo total, la racionalidad de este instrumento consiste en que cada generación aumenta el porcentaje de personas con estudios universitarios. En este sentido, habría una relación positiva entre una mayor proporción de jóvenes trabajadores (menores a 29 años) y un mayor porcentaje de universitarios con empleo.
En la estimación, también se incluyeron variables de control y efectos fijos, toda la información provino de la ENAPROCE. Los efectos fijos y temporales, se incluyeron como variables dicotómicas para cada industria y año. En las variables de control, se utilizaron: (1) el tamaño de la empresa (empleados por empresa), dado que los salarios son mayores en las empresas de mayor escala, (2) la jornada laboral (horas por semana), ya que un número mayor de horas de trabajo suele estar relacionado con un mayor salario, (3) mujeres directivas (porcentaje de mujeres en puestos directivos), para tomar en cuenta la disparidad salarial entre hombres y mujeres, especialmente en puestos directivos, y (4) ámbito de control (personal operativo entre directivo) muestra la cantidad de personal operativo que tiene bajo su responsabilidad cada gerente o supervisor, esta variable aportaría información adicional sobre las características de las industrias y su efecto en el salario.
El modelo
Las variables descritas en la sección anterior permiten estudiar cómo una mayor tasa de universitarios afecta de forma diferenciada a los salarios de dos diferentes grupos de trabajadores (Directivos y Operativos), los primeros con educación universitaria y los segundos con educación menor a la universitaria. La siguiente ecuación predice el (logaritmo) del salario de un grupo de trabajadores i en un par estado-industria s en un año t

donde i = 1 , corresponde a las distintas combinaciones de los 32 estados 17 industrias, , es el porcentaje de trabajadores con estudios universitarios, es un vector de las características de las industrias, y es el residuo de la ecuación que captura componentes no observados de los trabajadores y los sectores en los estados, se asume que estos residuos están distribuidos de forma idéntica e independiente.

El coeficiente de interés es que estima el efecto del porcentaje de universitarios en los salarios, se espera que sea positivo. Las observaciones del modelo están agrupadas por estado y las variables de control buscan aislar el efecto del porcentaje de universitarios para poder estimar correctamente su efecto sobre los salarios. Alternativamente, para contrastar el efecto de la calidad de la educación superior sobre el retorno social se incluyeron dos términos a la ecuación

donde es una variable dicotómica que indica la calidad percibida de la educación superior y tiene asociados los parámetros y . El primer término, se espera que sea positivo, dado que es efecto de la calidad de las instituciones sobre el salario. El segundo término, mide un efecto conjunto, como resultado de la interacción entre la calidad educativa y el porcentaje de los universitarios.
En la figura 3 se muestra la dispersión de los salarios para los dos grupos de trabajadores con diferentes porcentajes de universitarios. Los salarios del personal directivo están distribuidos en la parte alta de la gráfica, aunque existe una pequeña área de traslape con el salario de los operativos que podría deberse a las diferencias salariales regionales y sectoriales. También se muestra una línea de regresión para cada grupo de trabajadores. En general, se observa que los salarios son crecientes ante un mayor aumento del porcentaje de universitarios. Se puede apreciar una ligera diferencia en las pendientes, siendo ligeramente mayor la pendiente para el personal directivo, esto es, los directivos tendrían un mayor aumento salarial cuando en su empresa crece el porcentaje de universitarios. En la siguiente sección se presentan los resultados de las estimaciones propuestas en las ecuaciones 1 y 2 que evalúan el retorno social de la educación pública superior y el efecto de la calidad de las instituciones públicas.
Resultados
Los hallazgos permiten afirmar que el salario promedio en las empresas pequeñas y medianas está relacionado tanto con el porcentaje de trabajadores con estudios universitarios, como con la calidad de la institución de educación pública superior (IES) de la región. Por tanto, a mayor porcentaje de universitarios en las empresas, mayor es el salario y, a la vez, los salarios de los directivos y operativos son más altos en los estados con universidades clasificadas en el ranking QS (tier-1 o tier-2), en comparación a los salarios en los estados sin universidades públicas en el ranking latinoamericano de QS.
Preliminarmente, utilizando mínimos cuadrados ordinarios (MCO), sin interacciones, ni variables de control, los salarios son, aproximadamente, 20 % más altos en los estados con universidades tier-2 y entre 20 % y 30 % más altos en los estados con universidades tier-1, en comparación a los estados con universidades fuera del ranking de QS. También se halló que un aumento de 10 puntos porcentuales (p.p.) en el porcentaje de universitarios aumentaría el salario en 9,5 % para el personal directivo y 9,7 % para el personal operativo.
Al incluir las cuatro variables de control (sección 2.2), se observó una notable reducción del efecto del porcentaje de universitarios sobre el salario, de 9,5 % a, respectivamente, 6,5 % y 8,3 % para el personal operativo y directivo, por cada 10 p.p. de aumento de universitarios. Así mismo, se observó una disminución del efecto que ejerce sobre el salario la calidad de las instituciones de educación pública superior. No obstante, en conjunto, estos coeficientes estimados siguen indicando que un aumento del porcentaje de universitarios en las empresas estaría asociado a un mayor salario y además dependiendo de la calidad o ranking de la universidad estatal un trabajador podría obtener un aumento salarial adicional de entre 10 % y 20 %.
Las estimaciones preliminares son consistentes ante efectos temporales, industrias, tamaño de empresa, etc. Aun así, habría características no observables que podrían afectar simultáneamente al salario y al porcentaje de universitarios, para prevenir posibles sesgos en la estimación se utilizó regresión en dos etapas utilizando variables instrumentales. Esto consistió en una primera etapa, en instrumentar (predecir) el porcentaje de universitarios usando tanto el porcentaje de jóvenes (menores a 29 años) con empleo (ENOE-INEGI) y usando efectos fijos por industria y, en la segunda etapa, se utiliza ese instrumento para explicar el salario.


La estimación en dos etapas con variables instrumentales es relevante porque, a diferencia de la escolaridad, la composición por edad (el porcentaje de jóvenes) es una variable más exógena y permite predecir mejor el efecto real sobre el salario. En este sentido, la composición por edad es improbable que afecte al salario por otros canales distintos a los atributos de los trabajadores y, a la vez, la mayoría de las personas prácticamente ha completado sus años de escolaridad formal antes de los 29 años de edad. Los coeficientes estimados en dos etapas se muestran en la tabla 1 columnas [1] a [4], el primer par excluye efectos de interacción y el segundo par reporta las interacciones entre el porcentaje de universitarios y la calidad de la educación pública superior. El caso convencional sin interacciones corresponde a [1] y [2] que es consistente con los resultados ya descritos, donde se espera que un trabajador obtenga un salario mayor entre 11 % y 19 %, en los estados con universidades dentro del ranking (tier-1 y tier-2), y también habría un salario creciente en la medida en que aumente el porcentaje de universitarios.
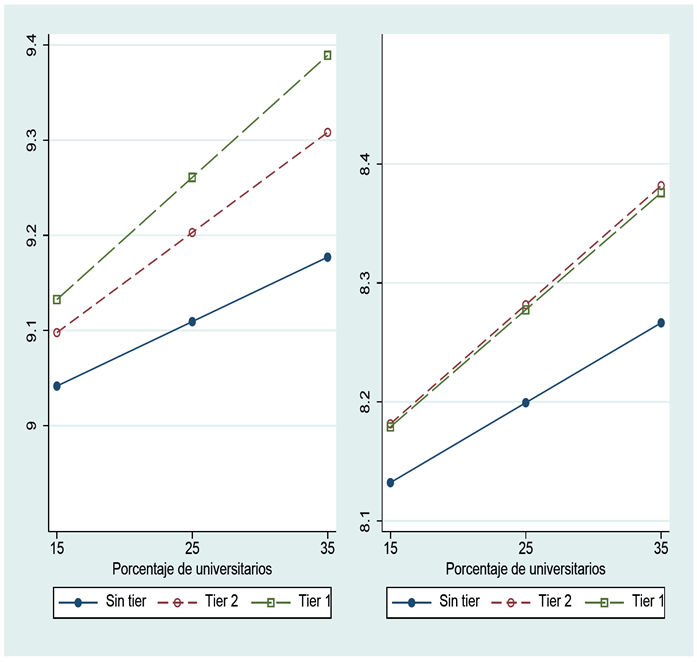
El resultado preferido contiene interacciones entre el porcentaje de universitarios y la calidad educativa (columnas [3] y [4]). Gráficamente, estos resultados se presentan en la figura 4. En el caso del personal directivo (figura 4a), las estimaciones muestran que el salario aumenta a mayor calidad educativa y también a mayor porcentaje de universitarios. Los desplazamientos verticales indican que, en promedio, un directivo en un estado con tier-1 o tier-2 tendría un mayor salario, respectivamente, 18,7 % y 13,1 %, en comparación a si estuviera en un estado donde ninguna universidad esté en el ranking QS. Cabe señalar, que la diferencia entre 18,7 % y 13,1 % es estadísticamente significativa.
Respecto al personal operativo, la figura 4b solo revela dos grupos de estados, aquellos que tienen una universidad en alguna tier (tier-1 o tier-2) y aquellos estados con universidades sin-tier. Al igual que el personal directivo, para los operativos la calidad educativa se traduce en un mayor salario, pero existe mayor ‘compresión salarial’ acotada en dos grupos, y no en tres como ocurre con los directivos. Además del beneficio de tener un mayor salario por residir en un estado con una universidad en las tier, existe el beneficio adicional de un mayor retorno social de la educación. Obsérvese en la figura 4b que es mayor la pendiente de los estados con tier que en los estados sin-tier, respectivamente, 9,8 % y 6,7 % cuando aumenta el porcentaje de universitarios. Las empresas en estados con universidades en el top 150 logran beneficiar con un mayor salario a su personal operativo. Cuantitativamente, cuando el porcentaje de universitarios es de 15 % (lado izquierdo, figura 4b) la brecha salarial es de 7,7 % entre un estado con tier-1 vs un estado sin-tier. Al aumentar el porcentaje de universitarios a 35 %, la brecha salarial aumenta a 13 % (lado derecho, figura 4b).
Discusión y conclusiones
Utilizando datos de pequeñas y medianas empresas en México, se encontró evidencia de un retorno social de la educación superior. Específicamente, a mayor porcentaje de trabajadores con estudios universitarios y calidad de las IES públicas, mayor es el salario del personal directivo y operativo, donde los directivos son mayormente universitarios, aunque también hay un beneficio para los operativos en su mayoría no universitarios. Estos hallazgos muestran que las IES dan un servicio a la comunidad más allá de sus instalaciones y de la formación que brindan a sus estudiantes. En Acemoglu y Angrist (2000) se discute la diferencia entre el retorno privado y el retorno social de la educación. Posteriormente, Moretti (2004a) presenta estimaciones del retorno social que muestran que, al haber más universitarios en las empresas, aumentan los salarios de los trabajadores con estudios secundarios y de los que tienen estudios superiores.
El análisis también reveló que hay un retorno social positivo, es decir, un aumento generalizado del salario cuando aumenta el porcentaje de universitarios. Excluyendo la calidad de la educación, se encontró un efecto similar sobre el salario para el personal directivo y el operativo. Por otro lado, al tomar en cuenta la calidad de la universidad pública dominante en cada región, se observaron dinámicas diferentes, hallándose un mayor retorno social en las regiones con IES clasificadas en el top 150 de universidades latinoamericanas. Futuras investigaciones podrían comparar los resultados de México con las realidades de Brasil, Chile o Colombia, países que tienen múltiples universidades fuera de la capital nacional en el ranking QS, la mayoría de ellas en el top 150.
El impacto de las instituciones y los beneficios diferenciados entre las regiones ha sido estudiado por Rodríguez-Pose y Di Cataldo (2015), quienes informan que las regiones centrales y periféricas están definidas, en cierta medida, por la calidad de sus instituciones, incluyendo las educativas. La amplia cobertura de las estadísticas sobre la calidad de las instituciones locales proporciona un insumo útil para próximas investigaciones, por ejemplo, sobre ciudadanía o sobre desempeño empresarial.
En América Latina es conocido el retorno privado de la educación; los resultados amplían ese conocimiento al reportar un retorno social de la educación superior. Por lo tanto, a diferencia de lo usualmente estimado, se debería reconocer una mayor eficiencia del presupuesto público para las IES, ya que además del retorno privado, se debe tomar en cuenta el retorno social. Una crítica usual al presupuesto de las universidades es que atiende a la población de altos ingresos (Carnoy, 2020; CONEVAL, 2018) y que los mayores salarios por la escolaridad y las habilidades, aumenta la brecha de desigualdad social (Brambilla et al., 2012; Keller, 2010). Al analizar el efecto de la calidad de la educación y su efecto en el retorno social se pudo verificar que hay condiciones potenciales de igualación social (Corak, 2013; Esquivel, 2011) y que la desigualdad actual que se critica surge por la centralización de recursos en unas pocas ciudades. Así, en la medida en que la calidad y la cobertura educativa puedan crecer en más regiones del país, en esa medida podría haber una disminución en la desigualdad de ingresos.
Se encontró que la calidad de la educación superior y los trabajadores con estudios universitarios crean un retorno social, medido por el alza generalizado de salarios en las empresas. Estos resultados son una evidencia positiva que permite revalorar tanto el papel de las Instituciones de Educación Superior como la eficiencia del presupuesto público de las universidades, además sirven para justificar el presupuesto y revisar los criterios de asignación por regiones. Se utilizó un método de variables instrumentales para estimar eficientemente el efecto de los universitarios. En el futuro, todavía es necesario un análisis exhaustivo para verificar la casualidad entre las actividades de las IES y el retorno social.
Referencias
Aboal, D. y Veneri, F. 2016. Entrepreneurs in Latin America. Small Business Economics, 46(3), 503-525. https://doi.org/10.1007/s11187-015-9696-3
Abreu, M., Demirel, P., Grinevich, V. y Karataş-Özkan, M. 2016. Entrepreneurial practices in research-intensive and teaching-led universities. Small business economics, 47(3), 695-717. https://doi.org/10.1007/s11187-016-9754-5
Acemoglu, D. y Angrist, J. 2000. How large are human-capital externalities? Evidence from compulsory schooling laws. NBER Macroeconomics Annual, 15, 9-59. https://doi.org/10.1086/654403
Balán, J. 2012. Research Universities in Latin America: the challenges of growth and institutional diversity, 741-770. https://doi.org/10.1353/sor.2012.0036
Bernate, J. A., Guataquira Romero, A., Romero Melo, E. N. y Reyes Escobar, P. C. 2020. Satisfacción de la Calidad Educativa en Educación Superior. Podium, 38, 37-50 https://doi.org/10.31095/podium.2020.38.3
Brambilla, I., Dix-Carneiro, R., Lederman, D. y Porto, G. 2012. Skills, exports, and the wages of seven million Latin American workers. The World Bank Economic Review, 26(1), 34-60. https://doi.org/10.1093/wber/lhr020
Brint, S. y Clotfelter, C. T. 2016. US higher education effectiveness. The Russell Sage Foundation Journal of the Social Sciences, 2(1), 2-37. https://doi.org/10.7758/rsf.2016.2.1.01
Bruckmann, S. y Carvalho, T. 2014. The reform process of Portuguese higher education institutions: from collegial to managerial governance. Tertiary Education and Management, 20(3), 193-206. https://doi.org/10.1080/13583883.2014.911950
Carnoy, M. 2011. As higher education expands, is it contributing to greater inequality? National Institute Economic Review, 215, R34-R47. https://doi.org/10.1177/0027950111401142
Charron, N., Lapuente, V. y Annoni, P. 2019. Measuring quality of government in EU regions across space and time. Papers in Regional Science, 98(5), 1925-1953. https://doi.org/10.1111/pirs.12437
Comisión Económica para América Latina -CEPAL-. 2021. Panorama Social de América Latina 2020. CEPAL. Santiago de Chile. https://bit.ly/3AtLUzZ
Consejo Nacional para la Evaluación de la Política de Desarrollo Social -CONEVAL-. 2018. Estudio diagnóstico del derecho a la educación 2018. CONEVAL. https://bit.ly/3OMUUEA
Corak, M. 2013. Income inequality, equality of opportunity, and intergenerational mobility. Journal of Economic Perspectives, 27(3), 79-102. https://doi.org/10.1257/jep.27.3.79
Esquivel, G. y Cruces, G. 2011. The dynamics of income inequality in Mexico since NAFTA. Economía, 12(1), 155-188. https://doi.org/10.1353/eco.2011.0009
García Hernández, Y., García Rojas, J. A., Ramírez Sabino, A. I. y Amador Martínez, M. L. 2020. Formación académica e iniciativa emprendedora de los estudiantes de educación superior tecnológica. Podium, 38, 123-138. https://doi.org/10.31095/podium.2020.38.8
Holmes, C. y Mayhew, K. 2016. The economics of higher education. Oxford Review of Economic Policy, 32(4), 475-496. https://doi.org/10.1093/oxrep/grw031
Hudson, C. 2006. Regional development partnerships in Sweden: A way for higher education institutions to develop their role in the processes of regional governance? Higher Education, 51, 387-410. https://doi.org/10.1007/s10734-004-6416-3
Instituto Nacional de Estadística y Geografía –INEGI–. 2019. Encuesta Nacional sobre Productividad y Competitividad de las micro, pequeñas y medianas Empresas 2018. ENAPROCE. Síntesis metodológica. Aguascalientes. México. https://bit.ly/3yGU5Yk
Instituto Nacional de Estadística y Geografía –INEGI– (varios años). Encuesta Nacional de Calidad e Impacto Gubernamental –ENCIG–, INEGI. https://bit.ly/3bQx3Fk
Instituto Nacional de Estadística y Geografía –INEGI– (varios años). Encuesta Nacional de Ocupación y Empleo –ENOE–, INEGI. https://bit.ly/3ahRzy8
Instituto Nacional de Estadística y Geografía –INEGI– (varios años). Encuesta Nacional sobre Productividad y Competitividad de las Micro, Pequeñas y Medianas Empresas (ENAPROCE 2015 y 2018) https://bit.ly/3IhbKZK
Ireland, R. D. 2015. 2014 Presidential address: our academy, our future. Academy of Management Review, 40(2), 151-162. https://doi.org/10.5465/amr.2014.0534
Kahn, S. y MacGarvie, M. J. 2016. How important is US location for research in science? Review of Economics and Statistics, 98(2), 397-414. https://doi.org/10.1162/REST_a_00490
Keller, K. R. 2010. How can education policy improve income distribution? An empirical analysis of education stages and measures on income inequality. The Journal of Developing Areas, 51-77. https://bit.ly/3eUNp1h
López-Acevedo, G. 2004. Mexico: Evolution of earnings inequality and rates of returns to education (1988-2002). Estudios económicos, 211-284. https://bit.ly/3aiVZoG
Manacorda, M., Sánchez-Páramo, C. y Schady, N. 2010. Changes in returns to education in Latin America: The role of demand and supply of skills. ILR Review, 63(2), 307-326. https://doi.org/10.1177/001979391006300207
Moretti, E. 2004a. Estimating the social return to higher education: evidence from longitudinal and repeated cross-sectional data. Journal of econometrics, 121(1-2), 175-212. https://doi.org/10.1016/j.jeconom.2003.10.015
Moretti, E. 2004b. Workers’ education, spillovers, and productivity: evidence from plant-level production functions. American Economic Review, 94(3), 656-690. https://doi.org/10.1257/0002828041464623
Organización para la Cooperación y el Desarrollo Económicos –OECD– (2022). Population with tertiary education (indicador). https://doi.org/10.1787/0b8f90e9-en
Pandey, I. M. 2004. Governance of higher education institutions. Vikalpa, 29(2), 79-84. https://doi.org/10.1177%2F0256090920040207
Peña-Vinces, J. C. y Urbano, D. 2014. The influence of domestic economic agents on the international competitiveness of Latin American firms: Evidence from Peruvian small and medium multinational enterprises. Emerging Markets Finance and Trade, 50(6), 229-248. https://doi.org/10.1080/1540496X.2014.1013865
QS World University Rankings. 2020. The top 200 universities in Latin America 2020. Quacquarelli Symonds Limited
Rodríguez-Pose, A. y Di Cataldo, M. 2015. Quality of government and innovative performance in the regions of Europe. Journal of Economic Geography, 15(4), 673-706. https://doi.org/10.1093/jeg/lbu023
Summers, L. 2011. Education and Development: The role of higher education. En S. Armstrong y B. Chapman (eds.), Financing Higher Education and Economic Development in East Asia. The Australian National University.
Urzúa, S. 2017. The economic impact of higher education. En M. Ferreyra, C. Avitabile, J. Botero Álvarez, F. Haimovich Paz y S. Urzúa, At a crossroads: higher education in Latin America and the Caribbean (pp.115-148). The World Bank.
Valero, A. y Van Reenen, J. 2019. The economic impact of universities: Evidence from across the globe. Economics of Education Review, 68, 53-67. https://doi.org/10.1016/j.econedurev.2018.09.001
Zamora-Sánchez, R., Rodríguez-Castellanos, A. y Barrutia-Güenaga, J. 2022. Universidades y desarrollo socioeconómico: una propuesta de evaluación de sus proyectos de vinculación con la sociedad. Problemas del Desarrollo, 53(210), 181-205. https://doi.org/10.22201/iiec.20078951e.2022.210.69807
Notas
Enlace alternativo
https://revistas.ups.edu.ec/index.php/retos/article/view/6393 (html)