MISCELÁNEA
Satisfacción del cliente en la logística: un análisis de chatbots en las empresas líderes de Colombia, Perú y Ecuador
Customer satisfaction in logistics: an analysis of chatbots in the leading companies of Colombia, Peru, and Ecuador
Satisfacción del cliente en la logística: un análisis de chatbots en las empresas líderes de Colombia, Perú y Ecuador
RETOS. Revista de Ciencias de la Administración y Economía, vol. 14, núm. 27, pp. 115-130, 2024
Universidad Politécnica Salesiana

Recepción: 03 Noviembre 2023
Revisado: 04 Diciembre 2023
Aprobación: 19 Febrero 2024
Publicación: 01 Abril 2024
Resumen: Este artículo analiza el impacto potencial de los chatbots en el mejoramiento del servicio al cliente en la industria logística, evaluando el rendimiento de diez destacadas empresas en Colombia, Perú y Ecuador (zona CPE). Estas empresas, insertas en el sector de servicios logísticos, desempeñan un papel crucial en la cadena de suministro, ofreciendo servicios especializados que abarcan transporte, almacenamiento y otras áreas dentro de su actividad económica. El estudio, que incluyó a 1250 usuarios individuales tipo B2C (empresa a consumidor) de chatbots, se enfocó en analizar la efectividad de estas herramientas y su repercusión en la conformidad del cliente. Mediante análisis de regresión múltiple, se identificaron elementos fundamentales que inciden en la satisfacción del cliente, como la capacidad de abordar problemas, el conocimiento detallado de la empresa, la autonomía en la resolución de problemas, la precisión gramatical y la reputación general. Los resultados destacan el potencial de los agentes virtuales para mejorar significativamente la atención al consumidor en la logística, señalando su eficacia en la resolución de problemas, familiaridad con productos y servicios, autonomía en la resolución de problemas, corrección gramatical y recomendaciones de usuarios. Estos hallazgos son cruciales para el sector logístico, subrayando el papel transformador de los chatbots en la elevación de la satisfacción del cliente y la eficiencia operativa mediante la integración tecnológica.
Palabras clave: chatbot, efectividad, logística, regresión múltiple, servicio.
Abstract: The article analyzes the potential effectiveness of chatbots on enhancing consumer service in the logistics industry, assessing the performance of ten prominent companies in Colombia, Peru, and Ecuador (CPE region). These companies, situated in the logistics services sector, play a crucial role in the supply chain, offering specialized services encompassing transportation, storage, and other areas within their economic activities. The study, involving 1250 individual B2C (business-to-consumer) users of chatbots, focused on analyzing the effectiveness of these tools and their impact on customer satisfaction. Through multiple regression analysis, key factors influencing customer satisfaction were identified, such as the ability to address issues, detailed knowledge of the company, autonomy in issue resolution, grammatical accuracy, and overall reputation. The results underscore the significant potential of chatbots to enhance customer service in logistics, emphasizing their effectiveness in issue resolution, familiarity with products and services, autonomy in issue resolution, grammatical correctness, and user recommendations. These findings are vital for the logistics sector, highlighting the transformative role of chatbots in elevating customer satisfaction and operational efficiency through technological integration.
Keywords: chatbot, effectiveness, logistics, multiple regression, service.
Cómo citar:
Ramos De Santis, P. (2024). Satisfacción del cliente en la logística: un análisis de chatbots en las empresas líderes de Colombia, Perú y Ecuador. Retos Revista de Ciencias de la Administración y Economía, 14(27), 115-130.
Introducción
Uso de chatbots en servicio al cliente
La logística global, impulsada por el auge del comercio electrónico, exige eficiencia en el servicio al cliente, llevando a las empresas a adoptar tecnologías como los chatbots (Caldarini et al., 2022). Estos programas de inteligencia artificial (IA) simulan conversaciones humanas, brindando asistencia continua sin intervención humana y mejorando la satisfacción del cliente con información sobre pedidos, envíos y horarios (Nicolescu y Turodache, 2022).
El uso creciente de chatbots abarca empresas de distintos tamaños y sectores, ofreciendo interacciones personalizadas al simular conversaciones humanas. La investigación sobre chatbots ha evolucionado desde el 2000 (Caldarini et al., 2022). En logística, los chatbots gestionan consultas y quejas de clientes de manera rentable, brindando atención continua, mejorando tiempos de respuesta y manejando tareas repetitivas (Davenport et al., 2020).
Integrados en diversos canales, como sitios web y redes sociales, los chatbots se adaptan al método preferido del cliente y comprenden el lenguaje natural para respuestas más humanas (Illescas-Manzano et al., 2021; Ridha y Haura, 2022). La calidad de sus respuestas depende de datos y algoritmos de entrenamiento cuidadosamente diseñados, aunque en situaciones complejas algunos clientes prefieren interacción humana (Sarker, 2021; Trappey et al., 2021; Adamapolou y Moussiades, 2020; Xu et al., 2020).
La versatilidad de los chatbots se destaca al adaptarse a diferentes industrias y escalas empresariales, ofreciendo soporte personalizado para democratizar soluciones eficientes de servicio al cliente (Perifanis y Kitsios, 2023). Empresas en estudio, especializadas en servicios B2C, se distinguen por entregas rápidas y herramientas para la trazabilidad, priorizando la atención al cliente con respuestas rápidas, soluciones efectivas y gestión eficiente de transacciones. El estudio recopiló datos de 1250 usuarios B2C para comprender la correspondencia entre la interacción con chatbots y el nivel de conformidad general del consumidor.
A pesar de su creciente popularidad, entender el impacto de los chatbots en la satisfacción del cliente en la logística es esencial. Su implementación efectiva mejora la experiencia del cliente al proporcionar respuestas rápidas y precisas.
Los chatbots y la Inteligencia Artificial (IA)
La tecnología avanza, y los chatbots junto con la Inteligencia Artificial (IA) evolucionan, ofreciendo un potencial fascinante para la interacción humana con las máquinas. Estas tecnologías influyen en la vida diaria y en el ámbito empresarial. Los chatbots, también llamados agentes conversacionales, simulan conversaciones humanas a través de interfaces de chat, proporcionando respuestas automatizadas limitadas a tareas específicas mediante algoritmos de interpretación del lenguaje natural (Adamapolou y Moussiades, 2020).
La IA busca desarrollar sistemas con capacidades humanas, como aprendizaje y razonamiento, y se utiliza para que los chatbots comprendan y respondan al lenguaje natural de manera más inteligente (Collins et al., 2021). Explora aspectos como el reconocimiento auditivo, la visión mediante computadora y el procesamiento del lenguaje natural.
La diferencia clave es que los chatbots son aplicaciones específicas para interactuar en un chat, mientras que la IA crea sistemas inteligentes para diversas tareas. Los chatbots, utilizando técnicas de IA, tienen capacidad limitada para comprender el lenguaje natural y siguen patrones predefinidos (Lin et al., 2023). En cambio, la IA, enfocándose en procesamiento del lenguaje natural (NLP), utiliza algoritmos avanzados para comprender el significado, la intención y el contexto del lenguaje humano, permitiendo respuestas más complejas.
La integración de chatbots y sistemas de IA promete interacciones más fluidas y personalizadas, así como soluciones inteligentes en diversos sectores. Mientras los chatbots mejoran la atención al cliente, la IA amplía posibilidades en términos de automatización y toma de decisiones, impactando significativamente en cómo interactuamos con la tecnología en el mundo moderno.
En particular, la sinergia entre chatbots y sistemas de IA no solo mejora la capacidad de comprensión del lenguaje natural, sino que también permite a estos programas evolucionar con el tiempo. La capacidad de aprendizaje continuo de la IA asegura que los chatbots se adapten a las cambiantes necesidades del cliente y se mantengan actualizados sin una intervención constante (Aldoseri et al., 2023).
Retos y limitaciones de los chatbots en atención al cliente
Aunque los asistentes virtuales ofrecen numerosos beneficios a las empresas de logística, varios desafíos y limitaciones deben considerarse, incluidas limitaciones tecnológicas, preferencias de los clientes y preocupaciones éticas. Mageira et al. (2022) señalan que los chatbots enfrentan limitaciones en la comprensión y respuesta al lenguaje natural. Aunque pueden reconocer frases y palabras clave, la comprensión del contexto puede ser un desafío, causando malentendidos y frustración de los clientes, afectando la percepción de la empresa. Otro desafío importante, según Marjerison et al. (2022), es la necesidad de mantenimiento continuo y actualizaciones de la programación del chatbot. La adaptación a cambios en consultas y preferencias de clientes requiere inversión continua de tiempo y recursos para mantener la eficacia del chatbot.
Las preferencias de los clientes plantean desafíos, ya que algunos prefieren la eficiencia de los chatbots, mientras que otros optan por la interacción humana, especialmente en situaciones delicadas (Hudiyono, 2022). La transparencia es clave para mitigar la resistencia, indicando claramente cuándo interactúan con un chatbot o un agente humano (Meyer et al., 2022).
Las limitaciones de los chatbots pueden afectar su rendimiento en el servicio al cliente logístico, generando insatisfacción y dañando la reputación de la marca. También surgen preocupaciones éticas, como la necesidad de programarlos para preservar la privacidad y confidencialidad del cliente (Khanum y Mustafa, 2022). Además, se debe considerar el riesgo de que los chatbots perpetúen prejuicios o discriminación, requiriendo un diseño y monitoreo cuidadoso para evitar problemas (Brendel et al., 2022).
La adopción de chatbots en el servicio al cliente no es una solución universal (Caldarini et al., 2022; Zhang et al., 2021). Pueden no ser adecuados para todo tipo de consultas de los clientes, y las empresas deben evaluar el tipo de consultas que reciben para determinar si los chatbots pueden abordarlas efectivamente (Mohd et al., 2022). Las consultas complejas o las quejas de los clientes pueden requerir la intervención humana para resolverse de manera satisfactoria.
Aunque los chatbots ofrecen beneficios en logística, como mejorar el servicio y reducir costos, enfrentan desafíos. Aunque eficientes en consultas comunes, pueden fallar en situaciones emocionales o especializadas. Las empresas deben identificar las áreas de máximo valor y garantizar una transición fluida al soporte humano cuando sea necesario (Kooli., 2023). Limitaciones tecnológicas, preferencias de clientes y preocupaciones éticas son posibles obstáculos en la adopción de chatbots. Por lo tanto, las empresas deben evaluar cuidadosamente su idoneidad para sus necesidades y garantizar una implementación ética y efectiva.
Investigaciones anteriores han examinado la eficacia de los chatbots en atención al consumidor en diversas de industrias, incluyendo el comercio minorista (Tran et al., 2021; Jiang et al., 2022; Tan y Liew 2022; Fan et al., 2023), asistencia sanitaria (Abd-Alrazaq et al., 2020; Calvaresi et al., 2021, Rathnayaka et al., 2022; Puspitasari et al., 2022), turismo (Ivanov 2020; Zhang et al., 2022; Rafiq et al., 2022; Pereira et al., 2022) y finanzas (OCDE, 2021; Nguyen et al., 2021; Lappeman et al., 2022; Ho y Chow, 2023; Sung et al., 2022). Chen y Florence (2021), midieron la eficacia de los asistentes virtuales habilitados con IA en el servicio al consumidor utilizando AnyLogic Simulation a través del análisis de escenarios, proporcionando implicaciones gerenciales para el tiempo promedio en el sistema, la tasa de respuesta, el nivel de satisfacción y el ahorro de costos. Esto ayudó a las empresas a comprender la repercusión de la adopción de chatbots habilitados para la IA en el servicio al cliente.
El sector logístico es altamente competitivo y, en este contexto, los chatbots están ganando una creciente aceptación y uso en la industria, con muchas empresas que los adoptan para mejorar sus ofertas de servicio al cliente (Jenneboer et al., 2022). Aunque populares, la efectividad de los chatbots en este sector requiere un estudio más profundo, evaluando su impacto en la satisfacción, tiempo de respuesta y resolución de problemas (Um et al., 2020). Este estudio es relevante para garantizar un servicio eficiente y confiable en la logística, donde los clientes demandan información precisa sobre sus pedidos para mantener la fidelidad. Aunque los chatbots pueden ser una solución, es esencial evaluar su efectividad en este contexto (Wetzel y Hofmann, 2020).
En síntesis, el propósito de esta investigación es examinar la eficacia de los chatbots en la industria logística y su influencia en la satisfacción de los clientes. Esta investigación es crucial para comprender cómo las empresas de logística pueden mejorar el servicio al cliente y mantener una ventaja competitiva en la industria. Además, proporcionará información valiosa sobre la implementación de chatbots en logística al identificar sus fortalezas y limitaciones y evaluar su impacto en métricas críticas de servicio al cliente.
Materiales y método
El diseño y la ejecución de esta investigación se llevaron a cabo con la finalidad de valorar el rendimiento de los chatbots en el servicio al cliente de compañías logísticas en la región CPE. A continuación, se detallan los aspectos metodológicos, incluyendo la selección de participantes, el instrumento de investigación y la recopilación de datos demográficos.
Participantes y selección
El estudio involucró a 1250 clientes tipo B2C de diez destacadas empresas de logística especializadas en servicios para consumidores finales que operan en la zona CPE. La selección de estas empresas cumplió criterios específicos, como el volumen de operaciones, ingresos anuales, reputación y prestigio en el sector, presencia internacional, innovación tecnológica, retroalimentación de los clientes e impacto en la industria. Estos individuos fueron invitados a participar a través de invitaciones específicas enviadas por correo electrónico a aquellos clientes que habían utilizado los servicios de chatbot en los últimos seis meses. Todos los participantes expresaron su voluntad de formar parte del estudio y proporcionaron su consentimiento informado antes de completar la encuesta.
Instrumento de investigación
La efectividad de los chatbots en la industria logística se evaluó mediante un instrumento de encuesta integral de 20 ítems tipo Likert con respuestas que abarcan desde 1 (expresando total desacuerdo) hasta 5 (indicando total acuerdo), codificadas desde hasta, como se detalla en la tabla 1, el mismo que fue diseñado para capturar múltiples dimensiones de la satisfacción del cliente. La encuesta, que utilizó una escala Likert de 5 puntos, se centró en analizar aspectos cruciales del desempeño de los chatbots. Entre estos aspectos se incluyeron la facilidad de uso, la velocidad y calidad de las respuestas proporcionadas por los chatbots, el conocimiento sobre productos y servicios, la capacidad para resolver problemas, lenguaje y gramática y la recomendación a otros usuarios. Cada uno de estos elementos se seleccionó cuidadosamente para obtener una visión integral y precisa de la experiencia del cliente en la interacción con los chatbots de la industria logística.

Conjunto de variables tipo Likert
Este estudio utilizó un cuestionario tipo Likert de 20 ítems, resultado de una consideración minuciosa de las múltiples dimensiones que afectan la satisfacción del cliente con chatbots en logística. Cada ítem se seleccionó por su relevancia en medir aspectos cruciales de la experiencia del cliente.
La facilidad de uso, evaluada por la accesibilidad y amigabilidad de la interfaz, busca abordar la experiencia del usuario. La velocidad y calidad de las respuestas miden tanto la eficiencia operativa del chatbot como la precisión de sus interacciones. La evaluación del conocimiento sobre productos y servicios se centra en determinar si el chatbot posee información suficiente para brindar respuestas útiles y precisas. La capacidad para resolver problemas mide la efectividad del chatbot para abordar y solucionar problemas de manera autónoma. La evaluación del lenguaje y la gramática se centra en la claridad y corrección gramatical de las respuestas, aspectos cruciales para la comprensión y satisfacción del usuario. Finalmente, la recomendación a otros usuarios proporciona una medida directa de la satisfacción del cliente.
Además, para enriquecer el análisis, se recopiló información demográfica relevante de los participantes, incluyendo variables como la edad, el género y el nivel educativo. Esto se hizo para identificar posibles patrones o variaciones en la satisfacción del cliente relacionados con estas características demográficas.
Este cuestionario fue diseñado específicamente para capturar las complejidades de la interacción entre los usuarios y los chatbots en la industria logística, considerando cuidadosamente los elementos que más impactan la conformidad del consumidor. La formulación de la hipótesis de investigación se basa en la premisa de que la efectividad de los chatbots en este contexto se ve influenciada significativamente por variables clave, como la capacidad para resolver problemas, el conocimiento sobre productos y servicios, la gestión autónoma de problemas, respuestas gramaticalmente correctas y recomendaciones positivas, todas ellas contribuyendo directamente a la satisfacción del cliente.
Así, considerando toda la información presentada anteriormente, es posible proponer la siguiente hipótesis de investigación:
La efectividad de los chatbots en el sector logístico está significativamente influenciada por variables clave, como la capacidad para resolver problemas, el conocimiento sobre productos y servicios, la gestión autónoma de problemas, respuestas gramaticalmente correctas y recomendaciones positivas, impactando directamente en la satisfacción del cliente.
Análisis de datos
Los datos recopilados fueron analizados mediante la última versión del software estadístico R Studio (2023.06.0+421) para explorar la correlación entre la satisfacción del cliente y la utilización de chatbots. Se emplearon estadísticas descriptivas, como puntajes medios, desviaciones estándar y frecuencias, para proporcionar una visión general de la distribución de los datos. Además, se llevaron a cabo correlaciones bivariadas con el fin de examinar las relaciones entre variables individuales. Para identificar factores significativos que afectan la satisfacción del cliente, se realizó un análisis de regresión múltiple.
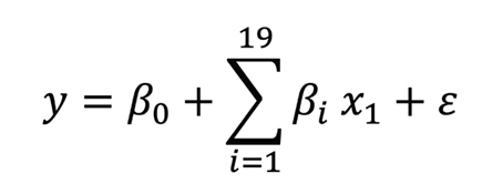
La estructura del modelo es la siguiente:

Donde:
y: variable dependiente (el chatbot fue efectivo para atender mi requerimiento)
β0: el intercepto
β0… β19: coeficientes de regresión para las variables independientes
x2… x20: variables independientes
ε: término de error o residuos del modelo
En este proceso, se seleccionaron cuidadosamente los predictores estadísticamente más significativos, que estructuraron el modelo final ajustado. Todas las pruebas necesarias para demostrar la validez del modelo se llevaron a cabo, estableciendo un nivel de significancia de 0.05 (p-valor) para todas las pruebas estadísticas. Este enfoque metodológico riguroso permite obtener una comprensión profunda de las relaciones entre las variables y proporciona resultados fiables y robustos para respaldar las conclusiones del estudio.
Resultados y discusión
Análisis descriptivo de la información
En cuanto a la variable género, existe un ligero predominio del género masculino con una presencia del 50.8 %, y un 3.04 % de los encuestados respondieron como “otro”. En relación con la variable edad, los grupos son relativamente proporcionales, destacándose el grupo de 31 a 40 años (29.28 %), siendo el de 51 a 60 años el menos representativo (22 %). Respecto a la variable educación, predomina la participación de personas con educación universitaria (46.16 %), sobre aquellos con educación de nivel de maestría (32.96 %), siendo el grupo con educación secundaria el menos representativo (20.88 %).
La relación entre la edad del cliente y el uso de chatbots puede proporcionar información valiosa para adaptar y mejorar la implementación de estas tecnologías, asegurando su eficiencia y satisfacción en una amplia gama de usuarios. Las generaciones varían en familiaridad y comodidad con la tecnología. Investigar cómo diferentes grupos de edad adoptan y utilizan los chatbots puede proporcionar información valiosa sobre la aceptación general de esta tecnología en la sociedad.
En nuestro caso, la edad mínima del cliente es 21 años, la máxima 60 años y el promedio 40.15 años, y resulta que, si se consideran tres grupos por edad (21 a 33 años con 390 clientes, 24 a 47 años con 491 clientes y de 48 a 60 años con 369 clientes), se revela que el grupo demográfico más dispuesto a usar chatbots es el comprendido entre los 24 y 47 años. Sorpresivamente, también se detectó que el grupo de mayor edad tiene un porcentaje de uso muy similar al de los más jóvenes, desafiando en este caso, el paradigma de que las personas mayores rechazan el uso de herramientas tecnológicas.
La tabla 2 presenta los principales descriptores estadísticos de las variables sociodemográficas. La variabilidad más significativa corresponde a la variable edad, con una dispersión menor en la variable género. Todas las variables consideradas tienen un coeficiente de curtosis negativo, indicando distribuciones son platicúrticas, es decir, con poca concentración de datos alrededor de la media. La distribución de los datos de la variable edad está ligeramente sesgada hacia la derecha, y las variables género y educación tienen pequeños coeficientes de asimetría negativa, indicando una asimetría no muy pronunciada hacia la izquierda.

Estadística de los datos sociodemográficos
En cuanto a las correlaciones entre las variables sociodemográficas, se observa una moderada relación positiva entre la edad y la educación. En contraste, la relación entre la educación y el género, así como las variables edad y género, es frágil y prácticamente nula.
Ningún encuestado seleccionó la opción 1 (totalmente en desacuerdo) para ninguna de las preguntas de la encuesta. La variable de la pregunta obtuvo el porcentaje más alto en la opción 4 (de acuerdo) con un 66.0 %. Le siguieron las variables y , con un 62.0 % y un 56.0 %, respectivamente. La variable registró el porcentaje más alto en la opción 2 (en desacuerdo) con un 22 %. La variable recibió la tasa más alta en la opción 5 (totalmente de acuerdo) con un 32 %, seguida de la variable con un 30.0 %.
La tabla 3 presenta los principales descriptores estadísticos de los datos de la encuesta. La variable es la que tiene la media más alta (4.08), mientras que la variable es la que tiene la media más baja (3.22). La mayor variabilidad de datos corresponde a la pregunta, y la menor dispersión de datos se observa en la pregunta. Además, todas las variables consideradas tienen un coeficiente de curtosis positivo, indicando distribuciones leptocúrticas con una fuerte concentración de datos alrededor de la media. Las variables asociadas a las preguntas , , , , , y tienen un coeficiente de asimetría positivo; la mayoría de las observaciones están agrupadas a la izquierda del valor promedio (valores inferiores a la media). En contraste, las otras variables presentan un coeficiente de asimetría negativo, indicando que la mayoría de las observaciones se concentran a la derecha del valor promedio (valores superiores a la media).

Estadísticos de las variables tipo Likert
Análisis de regresión lineal múltiple
El coeficiente de Cronbach, que evalúa la coherencia interna de los elementos de una escala, revela la homogeneidad de dichos elementos, indicando que todos se orientan en la misma dirección (Taber, 2018). Este coeficiente, con un valor de 0.92, se considera elevado, asegurando así la confiabilidad de la escala utilizada (Doval et al., 2023). Además, el KMO (coeficiente de Kaiser-Meyer-Olkin), con un resultado de 0.82, señala que el tamaño de la muestra fue adecuado para el análisis.
El análisis de la relación entre variables es crucial para desarrollar un modelo de regresión múltiple, revelando la intensidad y orientación de las conexiones entre variables independientes y dependientes. Este proceso proporciona perspectivas sobre la estructura de los datos y la interconexión de variables, además de prevenir problemas como la multicolinealidad, originada por altas correlaciones entre variables independientes. La comprensión de estas relaciones guía decisiones sobre qué variables incluir en el modelo, mejorando su precisión y efectividad. Este enfoque informado facilita la construcción de modelos de regresión para predicciones y apoyo en la toma de decisiones.
En nuestro caso, después de aplicar el método de Pearson para obtener las correlaciones respectivas, es relevante mencionar lo siguiente:
Todas las correlaciones obtenidas son positivas.
El valor de correlación más alto (0.75) se produce entre las variables Q1 y Q20
El valor de correlación más bajo (0.04) se produce entre las variables Q8 y Q20.
Utilizando el modelo general, que contiene todas las variables como predictores, obtenemos un valor de coeficiente de determinación R2 de 0.7877, lo que explica el 78.77 % de la varianza, y un p-valor de 9.9 x 10-6 La elección de los predictores más significativos se realizó mediante la medida de Akaike (AIC), un proceso que, después de 13 pasos, confirmó que las variables Q5, Q7, Q14, Q16 y Q20 son los mejores predictores, obteniendo un de 0.7512, lo que explica el 75.12 % de la varianza, y un p-valor de 2.9 x 10-12 . La tabla 4 resume la información sobre los coeficientes del modelo ajustado.

Coeficientes del modelo ajustado
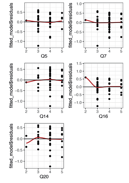
Para validar la asociación lineal entre los predictores y la variable dependiente, se generó el diagrama de dispersión entre cada predictor y los residuos del modelo ajustado (ver figura 1). Además, se realizó a prueba de normalidad de Shapiro-Wilks, la cual arrojó una estadística W de 0.94329 y un p-valor de 0.01822.

Gráfico de dispersión- modelo ajustado
La figura 2 exhibe la distribución Gaussiana de los residuos para el modelo ajustado.

Normalidad en la distribución de los residuos-modelo ajustado
Posteriormente, se aplicó la prueba de Breusch-Pagan estandarizada, obteniendo una estadística BP de 4.7853 con cinco grados de libertad y un p-valor de 0.4426.
Luego de obtener la matriz de correlación entre los predictores para el modelo ajustado (consultar figura 3), es esencial observar lo siguiente:
Todas las correlaciones obtenidas son positivas.
El valor de correlación más alto (0.64) se produce entre las variables Q7 y Q20.
El valor de correlación más bajo (0.15) se produce entre las variables Q14 y Q16.

Matriz de correlación-modelo ajustado
Se llevó a cabo el análisis de inflación de varianza (VIF), y las pruebas de autocorrelación de Durbin-Watson para identificar posibles evidencias de inflación o correlación lineal entre los predictores (ver tablas 5 y 6).

Análisis de inflación de la varianza

Resultados de la Prueba Durbin-Watson
En conclusión, el modelo lineal múltiple ajustado tiene la siguiente estructura:
Q1 = 0.2747 - (0.2381)Q5 + (0.4923)Q7 - (0.2119)Q14 + (0.2908)Q16 + (0.5419)Q20
El modelo general, que incluyó las 19 variables como predictores, tiene un alto valor de de 0.7877; puede explicar el 78.77 % de la variabilidad observada en la eficacia de los chatbots. El p-valor de este modelo es significativo (), lo que sugiere que el modelo no es aleatorio; por lo menos uno de los coeficientes parciales de regresión muestra disparidad con el valor de 0. Estos resultados indican que el modelo en su totalidad posee relevancia estadística.
El modelo ajustado, que incluyó solo las variables Q5, Q7, Q14, Q16 y Q20, tiene un valor de R2 mayor de 0.7229; puede explicar el 72.29% de la variabilidad observada en la eficacia de los chatbots (solo un 6.58 % menos que el modelo general). El p-valor de este modelo es significativo (2.9 x 10-12). Desde la óptica logística, el modelo ajustado sugiere que las cinco variables seleccionadas tienen una relación más fuerte con la eficacia de los chatbots en comparación con las otras variables. Es decir, los resultados indican que factores como la capacidad para resolver problemas de los clientes, conocimiento de productos/servicios, manejo de problemas sin transferir a un agente humano, respuestas gramaticalmente correctas y recomendaciones generales son especialmente relevantes en el contexto logístico.
La prueba de normalidad de Shapiro-Wilks se utiliza para evaluar si una muestra de datos proviene probablemente de una población distribuida normalmente (King y Eckersly, 2019). La prueba produce un estadístico y un p-valor; en nuestro caso, el estadístico SW es 0.94329; este valor varía entre 0 y 1, siendo los valores más cercanos a 1 indicativos de una mejor adherencia a la normalidad. El p-valor de la prueba es 0.018, lo que sugiere que los datos no están perfectamente distribuidos de manera normal, ya que el p-valor es menor que 0.05. Sin embargo, esto no necesariamente significa que los datos sean altamente no normales, ya que el estadístico de prueba de 0.94329 indica que la desviación de la normalidad es relativamente pequeña. La interpretación de los resultados también puede depender del contexto específico y las suposiciones del análisis estadístico.
La prueba de Breusch-Pagan busca una correlación entre las varianzas de los residuos y un conjunto específico de variables predictoras (Raza et al., 2023). La prueba compara la hipótesis nula, la cual postula que no existe tal relación, con la hipótesis alternativa de que las variables predictoras influyen en las varianzas de los residuos de manera paramétrica. Esta prueba se puede llevar a cabo mediante una regresión auxiliar, en la que se utilizan las variables explicativas sospechosas de causar heteroscedasticidad para regresar los residuos al cuadrado del modelo propuesto (Klein et al., 2016). La prueba arrojó un estadístico BP de 4.7853 y un p-valor de 0.4426, lo cual sugiere que la variabilidad de los residuos permanece constante, siendo esto una propiedad deseable para un modelo de este tipo. Esto significa que la variabilidad de los residuos es consistente en todo el rango de valores de las variables independientes, y las predicciones del modelo son igualmente precisas independientemente del nivel de las variables predictoras. Por lo tanto, no hay evidencia de falta de homocedasticidad.
El índice de inflación de la varianza (VIF) identifica y cuantifica la multicolinealidad en un modelo de regresión múltiple. La multicolinealidad ocurre cuando dos o más variables predictoras en un modelo de regresión están altamente correlacionadas. Esto puede llevar a problemas con la interpretación del modelo y afectar la precisión de las estimaciones de los coeficientes de regresión. Un valor de VIF de 1 indica que no hay multicolinealidad, mientras que los valores mayores que 1 indican niveles crecientes de multicolinealidad (Senaviratna y Cooray, 2019). Nuestro análisis del VIF revela que no hay evidencia de multicolinealidad en el modelo ajustado, dado que todos los índices de variabilidad de la inflación están por debajo del límite de 3, asegurando que las variables predictoras no presenten correlaciones elevadas, preservando así la estabilidad e interpretabilidad del modelo.
La prueba de Durbin-Watson indica que no se observa ninguna prueba de autocorrelación en los residuos del modelo ajustado (estadístico DW = 1.76743, p-valor = 0.41). La autocorrelación ocurre cuando los residuos de un modelo de regresión están correlacionados, lo cual viola la suposición de independencia de los errores. La autocorrelación puede llevar a estimaciones sesgadas e ineficientes de los coeficientes y reducir la confiabilidad de las predicciones del modelo (Dubin, 1988).
En el análisis de regresión, la distancia de Cook se utiliza para detectar observaciones que ejercen una influencia significativa que pueden afectar desproporcionadamente los coeficientes de regresión estimados. No encontramos observaciones con una distancia de Cook mayor que 1. Por lo tanto, ningún valor significativo afecta las estimaciones del modelo (Espinheira y de Oliveira Silva, 2020).
La industria logística, altamente competitiva, ha visto en los chatbots una solución para diferenciarse en la satisfacción del cliente. Estos programas, basados en procesamiento de lenguaje natural (NLP) e inteligencia artificial (IA), mejoran la relación con los consumidores y reducen la carga de trabajo del empleado. Este estudio ha proporcionado una visión profunda y respaldada por evidencia sobre la relación entre la adopción de chatbots en el servicio al cliente de empresas logísticas en la zona CPE y su efectividad relacionada con la satisfacción del cliente. Los resultados obtenidos apoyan la hipótesis planteada en esta investigación.
Los resultados del riguroso análisis estadístico refuerzan la noción de que los chatbots desempeñan un papel crucial en el perfeccionamiento de la atención al cliente en el sector logístico. La correlación significativa y positiva entre el uso de chatbots y la satisfacción del cliente destaca la capacidad de estos sistemas para ser una herramienta valiosa en la optimización de la experiencia del cliente. Aspectos clave, como la solución efectiva de desafíos, el conocimiento de los insumos y servicios, la capacidad de respuesta sin intervención humana, el uso de gramática precisa en respuestas y una sólida reputación de satisfacción del cliente, se revelaron como factores determinantes en la efectividad de los chatbots. Al centrarse en estos factores, las empresas de logística pueden diseñar chatbots más efectivos que atiendan de forma más exacta las exigencias y expectativas de sus clientes.
Los índices de Cronbach y de Kaiser-Meyer-Olkin destacan la coherencia interna de la escala del cuestionario y la robustez de la muestra, respaldando la solidez de los resultados alcanzados en la evaluación de los datos de los chatbots.
El enfoque de regresión lineal con múltiples variables es efectivo, explicando la variabilidad en la eficacia de los chatbots y mostrando relaciones lineales respaldadas por gráficos de dispersión. Esta herramienta optimiza la implementación estratégica de chatbots para mejorar el servicio al cliente.
Aunque las observaciones no se ajustaron perfectamente a una distribución de tipo normal o gaussiana, las desviaciones observadas son menores y no afectan significativamente la interpretación de los resultados. La constante variabilidad de los residuos sugiere un ajuste apropiado del modelo, pero futuras investigaciones podrían explorar el impacto de la dimensión de la muestra y la distribución en la precisión del modelo.
El modelo de regresión lineal múltiple sugiere que la eficacia de los asistentes virtuales en atención al cliente de empresas de logística en la zona CPE está positivamente relacionada con la capacidad del chatbot para resolver problemas de los clientes, su conocimiento sobre los productos/servicios de la empresa, su capacidad para manejar problemas sin transferirlos a un agente humano, sus respuestas gramaticalmente correctas y sus recomendaciones generales a otros. Curiosamente, algunas de las variables que no se incluyeron en el modelo ajustado, como (respuestas oportunas) y (ahorro de tiempo), tuvieron un menor impacto en la eficacia de los chatbots. Esto sugiere que los clientes pueden priorizar otros aspectos del rendimiento de los chatbots sobre el tiempo de respuesta o el ahorro de tiempo.
Estos hallazgos son consistentes con investigaciones anteriores sobre la influencia de la satisfacción del cliente con los chatbots (Nicolescu y Turodache, 2022; Jenneboer et al., 2022, Um et al., 2020; Wetzel y Hofmann, 2020; Yun y Park, 2022; Haseeb et al., 2019; Tran et al., 2021; Tan y Liew, 2022, Fan et al., 2023) y sugieren que los clientes pueden priorizar otros aspectos del rendimiento de los chatbots sobre el tiempo de respuesta o el ahorro de tiempo.
Conclusión
Aunque los hallazgos de esta investigación señalan que la implementación de chatbots en el servicio al cliente puede lograr un impacto favorable en la satisfacción del consumidor, es importante reconocer las limitaciones de este estudio como la limitación geográfica y la concentración en empresas de logística. Las investigaciones futuras podrían explorar la fidelidad y retención de clientes, la calidad de las respuestas de los chatbots, la personalización de las interacciones y el equilibrio óptimo entre el soporte de chatbot y humano. Además, estudios futuros podrían incrementar la dimensión de la muestra y la diversidad de empresas para una generalización más amplia de los resultados y se podrían explorar aspectos adicionales desde la perspectiva logística, como la personalización de las interacciones y el equilibrio óptimo entre el soporte de chatbot y humano, para una comprensión más completa y generalizable en el ámbito logístico.
Las implicaciones de este estudio se extienden más allá de la mera confirmación de la hipótesis, ofreciendo perspectivas valiosas para la aplicación práctica de chatbots en el servicio al cliente logístico. Las investigaciones futuras podrían explorar aspectos adicionales, la calidad de las respuestas de los chatbots en situaciones emocionales o altamente especializadas, y el equilibrio óptimo entre el soporte de chatbot y humano.
En conclusión, este estudio refuerza la idea de que la adopción de chatbots en el servicio al cliente de empresas logísticas en la zona CPE está positivamente relacionada con la satisfacción del cliente. Proporciona un marco sólido para la toma de decisiones estratégicas en la implementación de chatbots, destacando áreas clave que las empresas logísticas pueden enfocar para mejorar la eficacia de sus chatbots y, en última instancia, la satisfacción de sus clientes.
Apoyo y soporte financiero de la investigación
Entidad: Vicerrectoría de Investigación y Desarrollo, Escuela Superior Politécnica del Litoral.
País: Ecuador
Ciudad: Guayaquil
Proyecto: Aplicación de técnicas multivariantes para la identificación de oportunidades de mejora en la gestión de operaciones y logística.
Código de proyecto: FCNM-12-2023
Referencias bibliográficas
Abd-Alrazaq, A. A., Rababeh, A., Alajlani, M., Bewick, B. M. y House, M. 2020. Effectiveness and Safety of Using Chatbots to Improve Mental Health: Systematic Review and Meta- Analysis. Journal of Medical Internet Research, 22(7). https://doi.org/10.2196/16021
Adamapolou, E. y Moussiades, L. 2020. Chatbots: History, technology, and applications. Machine Learning with Applications, 2(100006). https://doi.org/101016/j.mlva.2020.100006
Aldoseri, A., Al-Khalifa, K. N. y Hamouda, A. N. 2023. Re-thinking data strategy and integration for Artificial Intelligence: concepts, opportunities, and challenges. Applied Sciences, 13(12), 7082. https://doi.org/10.3390/app131227082
Brendel, A. B., Mirbabaie, M., Lembcke, T. B. y Hofeditz, L. 2021. Ethical management of Artificial Intelligence. Sustainability, 13(1974). https://doi.org/10.3390/su13041974
Caldarini, G., Jaf, S. y McGarry, K. 2022. A literature survey of recent advances in chatbots. Information, 13(41). https://doi.org/10.3390/info13010041
Calvaresi, D., Calbimonte, J. P., Siboni, E., Eggenschwiler, S., Manzo, G., Hilfiker, R. y Schumacher, M. 2021. EREBOTS: privacy-compliant agent-based platform for multi- scenario personalized health-assistant chatbots. Electronics, 10(666). https://doi.org/10.3390/electronics10060666
Chen, J., Le T. y Florence, D. 2021. Usability and responsiveness of artificial intelligence chatbot on online customer experience in e-retailing. International Journal of Retailing and Distribution Management, 49(11), 1512-1531. https://doi.org/10.1108/IJRDM-08-2020-0312
Collins, C., Dennehy, D., Conboy, K. y Mikalef, P. 2021. Artificial intelligence in information systems research: A systematic literature review and research agenda. International Journal of Information Management, 60. https://doi.org/10.1016/j.ijinfomgt.2021.102383
Davenport, T., Guja, A., Grewal, D. y Bressgott, T. 2020. How artificial intelligence will change the future or marketing. Journal of the Academic Marketing Science, 48, 24-42. https://doi.org/10.1007/s11747-019-00696-0
Doval E., Viladrich, C. y Angulo-Brunet, A. 2023. Coefficient Alpha: the resistance of a classic. Psicothema, 35(1), 5-20. https://doi.org/10.7334/psicothema2022.321
Meyer, Y., Weiger, W. y Hammerschmidt, M. 2022. Trust me, I’m a bot - Repercussions of chatbot disclosure in different service frontline settings. Journal of Service Management, 33(2), 221-245. https://doi.org/10.1108/JOSM-10-2020-0380
Espinheira, P.L. y de Oliveira Silva, A. 2020. Residual and influence analysis to a general class of simplex regression. Test, 29, 523-552. https://doi.org/10.1007/s11749-019-00665-3
Dubin, R. 1988. Estimation of regression coefficients in the presence of spatially autocorrelated error terms. Review of Economic Statistics, 70(3), 466-474. https://doi.org/10.2307/1926785
Fan, H., Gao, W. y Han, B. 2023. Are AI chatbots a cure-all? The relative effectiveness of chatbot ambidexterity in crafting hedonic and cognitive smart experiences. Journal of Business Research, 156(113526). https://doi.org/10.1016/j.jbusres.2022.113526
Haseeb, M., Hussain, H., Slusarczyk, B. y Jermsittiparset, K. 2019. Industry 4.0: A Solution towards technology challenges of sustainable business performance. Social Sciences, 8(154). https://doi.org/10.3390/socsci8050154
Ho, S. P. S. y Chow, M. Y. C. 2023. The role of artificial intelligence in consumers’ brand preference for retail banks in Hong Kong. Journal of Financial Services Marketing. https://doi.org/10.1057/s41264-022-00207-3
Hudiyono, R. F. 2022. Exploring Indonesian companies’ chatbots to gather customer experience. Proceedings, 83(1). https://doi.org/10.3390/proceedings2022083001
Illescas-Manzano, M., López, N., González, N. y Rodríguez, C. 2021. Implementation of chatbot in online commerce, and open innovation. Journal of Open Innovation: Technology, Marketing and Complexity, 7(125). https://doi.org/10.3390/joitmc7020125
Ivanov, S. 2020. The first chatbot of a tourism/hospitality journal: editor’s impressions. European Journal of Tourism Research, 24(2401). https://doi.org/10.54055/ejtr.v24i.403
Jiang, K., Qin, M. y Li, S. 2022. Chatbots in retail: How do the affect the continued use and purchase intentions of Chinesse consumers? Journal of Consumer Behavior, 21(4), 756-772. https://doi.org/10.1002/cb.2034
Jenneboer, L., Herrando, C. y Constantinides, E. 2022. The impact of chatbots on customer loyalty: a systematic literature review. Journal of Theoretical and Applied Electronic Commerce Research, 17, 212-229. https://doi.org/10.3390/jtaer17010011
Khanum, S. y Mustafa, K. 2022. A systematic literature review on sensitive data protection in blockchain applications. Concurrency and Computation Practice and Experience, 35(1). https://doi.org/10.1002/cpe.6426
King, A. y Eckersly, R. 2029. Inferencial statistics IV: choosing a hypotesis test. Academic Press, 144-171. https://doi.org/10.1016/B978-0-08-102939-8.00016-5
Klein, A., Gerhard, C., Büchner, R., Diestel, S. y Schermelleh-Engel, K. 2016. The detection of heteroscedasticity in regression models for psychological data. Psycho Tests Assess Model, 58(4), 543-568. https://bit.ly/49m5ooz
Kooli, C. 2023. Chatbots in education and research: a critical examination of ethical implications and solutions. Sustainability, 15(7), 5614. https://doi.org/10.3390/su15075614
Lappeman, J., Marlie, S., Johnson, T. y Poggenpoel S. 2022. Trust and digital privacy: willingness to disclose personal information to banking chatbot services. Journal of Financial Services Marketing, 28, 337-357 https://doi.org/10.1057/s41264-022-00154-z
Lin, C. C., Huang, A. y Yang, S. 2023. A review of AI-Driven conversational chatbots implementation methodologies and challenges (1999-2022). Sustainability, 15(5), 4012. https://doi.org/10.3390/su15054012
Mageira, K., Pittou, D. Papasalouros, A, Kotis, K., Zangogianni, P. y Daradoumis, A. 2020. Educational AI chatbots for content and language integrated learning. Applied Sciences, 12(3239). https://doi.org/10.3390/app12073239
Marjerison, R.K., Zhang, Y. y Zheng, H. 2022. AI in E-Commerce: application of the use and gratification model to the acceptance of chatbots. Sustainability, 14(14270). https://doi.org/10.3390/su142114270
Mohd Rahim, N. I., Iahad, A., Yusof A. F. y Al-Sharafi, M. 2022. AI-Based chatbots adoption model for higher-education institutions: a hybrid PLS-SEM-Neural Network Modelling Approach. Sustainability, 14(12726). https://doi.org/10.3390/su141912726
Nicolescu, L. y Turodache, M. 2022. Human-computer interaction in customer service: the experience with AI chatbots. A systematic literature review. Electronics, 11, 1579. https://doi.org/10.3390/electronics11101579
OECD. 2021. Artificial Intelligence, machine learning, and big data in finance: opportunities, challenges, and implications for policy makers. The Organisation for Economic Co-operation and Development. https://bit.ly/3SKejZW
Nguyen, D. M., Chiu, Y. T. H. y Le, H. D. 2021. Determinants of continuance intention towards banks’ chatbot services in Vietnam: A necessity for sustainable development. Sustainability, 13(7625). https://doi.org/10.3390/su13147625
Pereira, T., Limberger, P. F., Minasi, S. M. y Buhalis, D. 2022. New insights into consumers’ intention to continue using chatbots in the tourism context. Journal of Quality Assurance Hospitality Tourism, 1-27. https://doi.org/10.1080/1528008X.2022.2136817
Perifanis, N. A. y Kitsios, F. 2023. Investigating the influence of Artificial Intelligence on business value in the digital era of strategy: a literature review. Information, 14(2), 85. https://doi.org/10.3390/info14020085
Puspitasari, I. W., Rinawan, F. R., Purnama, W. G., Susiarno, H. y Susanti A. 2022, A.I. development of a chatbot for pregnant women on a posyandu application in Indonesia: from qualitative approach to decision tree method. Informatics, 9(88). https://doi.org/informatics9040088
Rafiq, F., Dogra, N., Adil, M. y Wu, J.Z. 2022. Examining consumer’s intention to adopt AI- chatbots in tourism using partial least squares structural equation modeling method. Mathematics, 10(2190). https://doi.org/10.3390/math10132190
Rathnayaka, P., Mills, N., De Silva, D., Alahakoon, D. y Gray, R. 2022. A mental health chatbot with cognitive skills for personalised behavioural activation and remote health monitoring. Sensors, 22(3653). https://doi.org/10.3390/s22103653
Raza, M., Ahmed, M., Razzaque, S. y Hina, H. 2023. Testing for heteroskedascity in the presence of outliers. Journal of Education and Social Studies, 4(2), 313-329. https://doi.org/10.52223/jess.2023.4209
Ridha, M. y Haura-Maharani, K. 2022. Implementation of Artificial Intelligence chatbot in optimizing customer service in financial technology company PT. FinAccel Finance Indonesia. Proceedings, 83(210). https://doi.org/10.3390/proceedings2022083021
Sarker, I. H. 2022. Machine learning: algorithms real world applications and research directions. SN Computer Sciences, 2(160). https://doi.org/10.1007/s42979-021-00592-x
Senaviratna, N. A. M. R. y Cooray, T. M. J. 2019. Diagnosing multicollinearity of logistic regression model. Asian Journal of Probability and Statistics, 5(2), 1-9. https://doi.org/10.9734/ajpas/2019/v5i230132
Sung, X., Yu, H. y Solvang, W.D. octubre, 2022. Measuring the effectiveness of AI-enabled chatbots in customer service using anylogic simulation. Proceedings of the International Workshop of Advanced Manufacturing and Automation, IWAMA. Xiamen, China. https://doi.org/10.1007/978-981-19-9338-1_33
Taber, K. S. 2018. The use of Cronbach’s Alpha when developing and reporting research instruments in Science Education. Research Science Education, 48, 1273-1296. https://doi.org/10.1007/s11165-016-9602-2
Tan, S. y Liew, T. 2022. Multi-chatbot or single-chatbot? The effects of M-Commerce chatbot interface on source credibility, social presence, trust, and purchase intention. Human Behavior and Emergency Technologies. https://doi.org/10.1155/2022/2501538
Tran, A., Pallant, J. y Johnson, L. 2021. Exploring the impact of chatbots on customer sentiment and expectations in retail. Journal of Retailing and Customer Services, 63. https://doi.org/10.1016/j.jretconser.2021.102718
Trappey, A. J. C., Trappey, C. V., Chao, M. H., Hong, N. J., Wu, C. T. 2021. A VR-Enabled chatbot supporting design and manufacturing of large and complex power transformers. Electronics, 11(87). https://doi.org/10.3390/electronics11010087
Um, T., Kim, T. y Chung, N. 2020. How does an intelligent chatbot affect customers compared with self-service technology for sustainable services. Sustainability, 12(5119). https://doi.org/10.3390/su12125119
Wetzel, P. y Hofmann, E. 2020. Toward a multi-sided model of service quality for logistics service providers. Administrative Sciences, 12(79). https://doi.org/10.3390/admsci10040079
Xu, Y., Shieh, C., Van Esch, P. y Ling, I. 2020. AI customer service: task complexity, problem-solving ability, and usage intention. Australasian Marketing Journal, 28(4), 189-199. https://doi.10.3389/fpsyg.2022.922503
Yun, J. y Park, J. 2022. The effects of chatbot service recovery with emotion words on customer satisfaction, repurchase intention, and positive word-of-mouth. Frontiers in Psychology, 13. https://doi/org/10.3389/fpsyg.2022.922503
Zhang, B., Zhu, Y., Deng, J., Zhen, W., Liu, Y., Wang, C. y Zeng, R. 2022. I am here to assist your tourism: predicting continuance intention to use AI-based chatbots for tourism. Does gender really matter? International Journal of Human-Computer Interaction, 1-17. https://doi.org/10.1080/10447318.2022.2124345
Zhang J., Følstad, A. y Bjørkli C. 2021. Organizational factors affecting successful implementation of chatbots for customer service. Journal of Internet Commerce, 22(1). https://doi.org/10.1080/15332861.2021.1966723
Enlace alternativo
https://retos.ups.edu.ec/index.php/retos/article/view/7995 (html)