Artículo científico
ESTIMACIÓN EMPÍRICA DEL PRETENSADO DE UNA BANDA TRAPEZOIDAL MEDIANTE EL DESLIZAMIENTO DE LAS POLEAS
EMPIRICAL ESTIMATION OF THE PRESTRESSED OF A V-BELT THROUGH THE SLIP OF THE PULLEYS
ESTIMACIÓN EMPÍRICA DEL PRETENSADO DE UNA BANDA TRAPEZOIDAL MEDIANTE EL DESLIZAMIENTO DE LAS POLEAS
Ingenius. Revista de Ciencia y Tecnología, núm. 21, pp. 63-70, 2019
Universidad Politécnica Salesiana

Recepción: 21 Noviembre 2018
Aprobación: 17 Diciembre 2018
Resumen: La inspección de la pretensión de las bandas es una actividad de mantenimiento preventivo imprescindible; que, para poder ser realizada, requiere que la máquina esté apagada, generando un impacto económico en menor o mayor grado dependiendo del contexto operacional de cada máquina. El objetivo de esta investigación experimental es determinar un modelo matemático para el cálculo del pretensado de las bandas trapezoidales de perfil clásico y de alto rendimiento en función del deslizamiento; para lo cual se construyó un módulo de prueba, en el que se estableció la diferencia de las frecuencias de rotación entre la teórica y la real de la polea conducida, a medida que se incrementó el pretensado de la banda. Los datos arrojados se ajustaron a una función exponencial inversa, dando como resultado dos ecuaciones, una para las correas trapezoidales de perfil clásico y otra para las de alto rendimiento. La validación de estas ecuaciones se realizó mediante el coeficiente de correlación r de Pearson. Con la utilización del modelo matemático propuesto, se podrá minimizar el impacto económico de las actividades preventivas de revisión del pretensado de las bandas; puesto que, estas ecuaciones posibilitan la realización de esta actividad con la máquina encendida y a plena carga, requiriendo para ello únicamente la medición de las frecuencias de rotación de las poleas.
Palabras clave: banda trapezoidal, deslizamiento, polea, pretensión de bandas.
Abstract: Inspecting the pre-tension of belts is an essential preventive maintenance activity, which requires that the machine is powered off to be carried out. This generates an economic impact of lesser or greater degree depending on the operational context of each machine. The objective of this experimental investigation is to determine a mathematical model, for calculating the pre-tension of v-belts of classic profile and high performance as a function of the slip. To achieve this objective, a test module was built to establish the difference between the theoretical and real rotation frequencies of the driven pulley, as the pre-tension of the belt was increased. Then, an inverse exponential function was adjusted to the data obtained, resulting in two equations for v-belts of classic profile and of high throughput, respectively; these equations were validated using Pearson’s r correlation coefficient. The proposed mathematical model can be used to minimize the economic impact of checking the pre-tension of the belts, since it allows carrying out this activity with the machine operating on full load, requiring only the measurement of the rotation frequencies of the pulleys.
Keywords: v-belt, slip, pulley, prestressed of the belt.
Forma sugerida de citación:
Hernández-Dávila, E.; Cacuango-Eugenio, L.; López-Pérez, V. y Cajamarca-Villa, J. (2019). «Estimación empírica del pretensado de una banda trapezoidal mediante el deslizamiento de las poleas». Ingenius. N.° 21, (enero-junio). pp. 63-70. doi: https://doi.org/10.17163/ings.n21.2019.06.
1. Introducción
En la actualidad, las bandas trapezoidales son muy utilizadas para transmitir potencia en máquinas industriales y aplicaciones vehiculares, donde no se requiera una velocidad precisa y donde se demande niveles de potencia moderados. Su costo es más bajo en comparación con las trasmisiones por engranes y cadena y su funcionamiento relativamente silencioso [1, 2]. Tienen la característica de absorber las cargas de choque y disminuir los efectos de la vibración [3].
En los textos de diseño de elementos de máquina, la selección de bandas trapezoidales se basa en que la potencia que se desea transmitir, debe ser menor a la potencia que la banda o conjunto de ellas, son capaces de soportar, en este proceso también se determina la tensión inicial o pretensado que garantice la transmisión de potencia sin deslizamiento [4-6].
Sin embargo, dependiendo de las condiciones de trabajo, en estos sistemas de trasmisión de potencia siempre existe deslizamiento entre la banda y la polea, por lo que la relación de transmisión no es constante [7, 8]. El mecanismo de deslizamiento de bandas planas y trapezoidales, ha sido estudiado ampliamente de forma analítica y experimental. Reynolds [9] demostró que la pérdida de velocidad se presenta debido al deslizamiento elástico de la banda.
Gerbert [10-12] desarrolló dos teorías relacionadas principalmente con la resistencia a la flexión y la deflexión por cizallamiento (teoría de fluencia clásica); no obstante, el deslizamiento es mucho más alto que el predicho por esta teoría. Posteriormente desarrolló una nueva teoría unificada que se ajustó mejor a las observaciones experimentales, pero que falla a baja tensión.
Belofsky [13] propuso un modelo que contempla la elasticidad de la correa, la resistencia a la flexión y la variación de la fuerza de fricción a lo largo del arco de contacto, basado en un régimen de deslizamiento lineal. En su trabajo describe un método experimental para determinar _ en cualquier punto del arco de contacto de la correa.
Childs y Cowburn [14] analizaron la resistencia a la flexión de la correa, el ajuste radial, la distorsión debido al diámetro de la polea y la pretensión de la correa, para describir la pérdida de velocidad y de torsión de las transmisiones por correa trapezoidal. Chen y Shieh [15] obtuvieron la pérdida de velocidad en un sistema de transmisión de correa plana desarrollando un modelo de elementos finitos 3D.
Balta, Sonmez y Cengiz [16] determinaron que el deslizamiento en el sistema de transmisión por correa acanalada revela que cuanto más pequeño es el tamaño de la polea, más grande es el deslizamiento de la correa y que por debajo de un cierto nivel de pretensión de la correa, los valores de deslizamiento aumentan.
En la bibliografía consultada se puede observar que la mayoría de estudios en sistemas de transmisión flexibles, se centran en la pérdida de potencia, y para ello analizan entre otros, los factores que intervienen en el deslizamiento y los efectos del pretensado de la banda.
Los valores de las variables de las formulaciones propuestas se pueden obtener experimentalmente; sin embargo, según sus autores, estas deben ser determinadas para cada combinación de velocidad, diámetros, distancia entre centros y material de las poleas [17,18], creando múltiples posibilidades en los que difícilmente se podrá cubrir los casos particulares de sistemas de trasmisión que ya se han construido y forma parte de un ambiente industrial, donde no se pueden hacer ensayos experimentales.
Una vez que las bandas montadas en los sistemas de transmisión, entran en operación, sufren un alargamiento considerable en un lapso de tiempo pequeño, ocasionando la disminución del tensado inicial por lo que los fabricantes de bandas recomiendan realizar un pretensado luego de un tiempo no mayor a 24 horas.
En los días posteriores, este alargamiento se manifestará luego de un lapso de tiempo no definido mucho mayor [19]; por lo que se requiere planificar una tarea preventiva a intervalos de tiempo fijo de tres a seis meses para verificar y corregir de ser necesario el pretensado [20].
Para medir el pretensado de la banda existen métodos con contacto y sin contacto que requieren que la máquina se encuentre apagada, este requerimiento no presume ningún problema cuando la máquina tiene un régimen de operación de 5 días a la semana ya que esta actividad como todas las preventivas son reservadas para realizarlas en los días de descanso, donde no se interrumpe la producción, pero si deben asumirse las horas extras.
En el caso de las máquinas que tienen un régimen de operación de 7 días a la semana, las 24 horas del día, las actividades de mantenimiento preventivo producirán indisponibilidad operacional al sistema y, por lo tanto, un costo asociado a la no producción [21], por lo que el tiempo de intervención debe ser el mínimo posible.
El objetivo del presente trabajo es determinar un modelo matemático basado en la experimentación para que a partir de la medición directa por medio de tacómetros láser de las velocidades de las poleas conducida y conductora (deslizamiento) se pueda estimar el pretensado de la banda sin la necesidad de apagar el equipo, ni de requerir de parámetros de difícil obtención, facilitando la aplicación para los técnicos de mantenimiento.
El principal aporte consiste en minimizar el impacto económico de la inspección del pretensado de las bandas; ya que, con la ayuda del modelo matemático propuesto, esta actividad puede realizarse sin interrupciones durante la jornada normal de operación de la máquina.
Para el desarrollo de este estudio se utiliza un módulo de pruebas, donde se puede cambiar progresivamente la pretensión de la banda y observar la variación del deslizamiento producido, para posteriormente obtener la función que se ajuste matemáticamente a la relación existente entre el deslizamiento y el pretensado.
2. Materiales y métodos
2.1. Configuración experimental
Para investigar los efectos de la tensión de la banda sobre la pérdida de velocidad de la polea conducida en sistemas de trasmisión flexible con bandas trapezoidales de perfil clásico y de alto rendimiento, se construyó la configuración mostrada en la Figura 1 y esquematizada en la Figura 2, cuyos elementos se encuentran apoyados firmemente sobre una base de acero AISI 1020 de 10 mm de espesor.
En este sistema, la polea conductora de 125 mm de diámetro, gira gracias a la energía mecánica suministrada por un motor eléctrico asincrónico jaula de ardilla de 373 W y de cuatro polos magnéticos, por lo que la frecuencia de rotación de su campo magnético es de 30 Hz.


La polea conducida de 70 mm de diámetro, gira solidaria a un alternador de 12 voltios y 35 amperios a una frecuencia de rotación de 50 Hz, en el que se ha conectado una carga resistiva óhmica, de tal manera que el alternador proporciona al motor eléctrico una potencia igual al 80 % de su carga nominal.
Para esto se consideró que el rendimiento del motor (n) es del 78,2 %; por lo tanto, la resistencia óhmica conectada en el alternador se fijó en el punto en que la potencia eléctrica suministrada en el motor (P) fue de:
(1)Para generar la tensión en la banda, el alternador se fija a la placa base mediante un pasador permitiéndole girar sobre su eje, mientras que en la parte superior se dispuso de un templador en el que se insertó una balanza digital que funciona con una celda de carga, misma que mide la tensión de la banda a medida que se aprieta el templador.
Este templador se mantiene a una altura constante y se fija a la placa base mediante dos barras de tensión paralelas de 5 mm de espesor, mismas que como se puede observar en la Figura 3 alcanzan una deformación estática máxima de 0,9418 mm al someterles a 500 N que es la fuerza máxima que se puede medir con la balanza. Esta deformación no representa un valor considerable como para influir en las mediciones durante los ensayos, garantizando de esta manera su correcto funcionamiento.

Para la medición de las frecuencias de rotación de las poleas se ha empleado dos fototacómetros que apuntan directamente a una sección de cinta reflectiva de 10 por 20 mm adheridas en la cara externa de cada polea en un punto alejado del centro.
Las bandas que se ensayaron fueron las trapezoidales de perfil clásico A-23 y las de alto rendimiento SPA-23 de la compañía Dongil, mismas que tienen una longitud de 584,2 mm.
2.2. Cálculo del deslizamiento
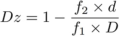
El deslizamiento es la razón entre la diferencia de velocidades de rotación teórica y real de la polea conducida y su velocidad teórica. Matemáticamente se expresa con la siguiente ecuación:
(2)Donde Dz es el deslizamiento producido en el sistema de trasmisión por bandas, wt2 es la velocidad angular teórica de la polea conducida calculada con las ecuaciones del movimiento circular uniforme y w2 es la velocidad angular real de la polea conducida medida directamente.
Dado que la velocidad angular puede expresarse en términos d la frecuencia:
(3)Y que, de acuerdo con el movimiento circular uniforme, la velocidad angular teórica de la polea conducida es función de la velocidad angular real de la polea conductora:
(4)La ecuación (2) se puede expresar de la siguiente manera:
(5)Donde f1 es la frecuencia de rotación real de la polea conductora en hercios (Hz) o revoluciones por minuto (rpm), f2 es la frecuencia de rotación real de la polea conducida en hercios (Hz) o revoluciones por minuto (rpm), D es el diámetro de paso de la polea conductora en metros (m) y d es el diámetro de paso de la polea conducida en metros (m).
2.3. Cálculo de la tensión de la banda
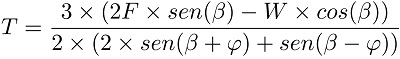
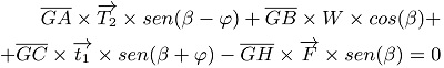
Para poder calcular la tensión de la banda a través de las mediciones de la balanza incorporada en el tensor, se realiza un análisis estático del sistema de tensado del módulo, cuya conformación y diagrama de equilibrio se encuentran en las Figuras 4 y 5 respectivamente.
Como la fuerza medida por la balanza actúa sobre el punto H (Figura 4) y el alternador hace centro en G, se hace sumatoria de momentos en ese punto. Obteniendo la siguiente expresión:
(6)Debido a que en estado de reposo (máquina apagada sin movimiento rotacional) las tensiones de la banda T1 y T2 son iguales, y reemplazando los valores de las distancias (Tabla 1), se obtiene:
(7)Bajo esta condición de reposo, la tensión (T) calculada con la ecuación (7) es conocida como pretensado. En este punto debe aclararse que una vez que las poleas empiezan a girar, las tensiones 1 y 2 son diferentes [3]; factor que no se ha considerado, debido a que dentro de las operaciones de mantenimiento, lo importante es el pretensado que garantice las condiciones óptimas de funcionamiento de la banda y que se efectúa necesariamente con la máquina apagada (sin movimiento).



3. Resultados y discusión
Mediante el promedio de cinco mediciones de las frecuencias de rotación de las poleas y de la fuerza aplicada por el sistema de tensado a intervalos crecientes de 50 N, se llegó a los resultados indicado en las Tablas 2 y 3 para las bandas trapezoidales de perfil clásico y de alto rendimiento, respectivamente, donde la tensión (T) y el deslizamiento (Dz) se calcularon con las ecuaciones (5) y (7) respectivamente.


En la Tabla 4 se indica la tensión de las bandas trapezoidales de perfil clásico y de alto rendimiento, y las calculadas teóricamente de acuerdo con los textos de diseño, mediante la ecuación (8)[3].
(8)Donde, Hd es la potencia mecánica transmitida en caballos de fuerza (hp) obtenida midiendo el consumo eléctrico del motor multiplicado por su eficiencia que en este caso fue del 0,782 de acuerdo con el fabricante, a más fue incrementada en un 20 % debido al factor de servicio, n es la frecuencia de rotación de la polea conducida en revoluciones por minuto (rpm), d es el diámetro de la polea conducida en pulgadas, f es el coeficiente de fricción para bandas trapezoidales que es igual a 0,5123 [3], ' es el ángulo de contacto calculado con la ecuación (9).
(9)Donde, D es el diámetro de la polea conductora (la más grande) en milímetros (mm), d es el diámetro de la polea conducida (la más pequeña) en milímetros (mm) y C es la distancia entre centros de las poleas en milímetros (mm).

En la Tabla 4 se puede constatar que las tensiones teóricas son menores a las inducidas experimentalmente; por lo tanto, no debería existir deslizamiento; sin embargo, las Tablas 2 y 3 indican que si existió, corroborando las observaciones de [7, 8]. Por lo que, esta investigación es aplicable a cualquier condición de diseño de este tipo de sistemas.
En la Figura 6 se ha graficado los valores del deslizamiento en función del pretensado de las bandas trapezoidales tanto de perfil clásico como de alto rendimiento, a partir de los datos de las Tablas 2 y 3.

Para obtener el modelo matemático se parte de las siguientes condiciones:
El deslizamiento es un índice cuyo valor oscila entre el cero y uno; en el cual, a medida que la pretensión aumenta, el Importar tabla
deslizamiento disminuye con una tendencia hacia cero sin que pueda alcanzar valores negativos, lo que significa que si la pretensión (T) tiende al infinito, el límite del deslizamiento (Dz) tiende a cero:
(10)En el caso contrario, si no existiese pretensado (pretensado igual a cero) no se produce transferencia de potencia entre la polea conductora y conducida, por lo que esta última no tendría ningún movimiento. En este caso el deslizamiento adquiere su máximo valor de uno, lo que significa que la banda se desliza totalmente sobre la polea conducida sin transmitir movimiento.
(11)Estas condiciones son cumplidas perfectamente por los modelos exponencial inversa, de los cuales por su flexibilidad se ha optado por la distribución del tipo:
(12)Donde α y β son parámetros del modelo de escala y de forma respectivamente.
La ecuación (12) puede asemejar a una función lineal aplicando logaritmos:
(13)Donde se generan los datos graficados en la Figura 7, mismos que se ajustan a una línea recta con un coeficiente de correlación r de Pearson de 0,9767 para la banda de perfil clásico y de 0,9809 para la de alto rendimiento.

Mediante el método de los mínimos cuadrados y de acuerdo con la ecuación (13) y con los parámetros de linealización indicados en la Tabla 5, los modelos matemáticos deducidos se expresan a continuación, donde las ecuaciones (14) y (15) corresponden al cálculo del deslizamiento (Dz) en función del pretensado de las bandas (T) de perfil clásico y de alto rendimiento, respectivamente.

(14)
(15)Para la validación del ajuste de las ecuaciones (14) y (15) con los datos experimentales, se plantean las siguientes hipótesis:
H0: El deslizamiento no es función exponencial inversa del pretensado de las bandas.
H1: El deslizamiento es función exponencial inversa del pretensado de las bandas.
Se observa que el coeficiente de correlación r de Pearson de 0,9767 para la banda de perfil clásico y de 0,9809 para la de alto rendimiento, son mayores a 0,765 para un conjunto de diez datos, por tanto, se rechaza la hipótesis nula y se acepta la hipótesis alternativa que sostiene que el deslizamiento es función exponencial inversa del pretensado de las bandas con una confianza del 99 % [22].
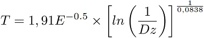
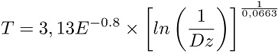
Al despejar el pretensado (T) de las ecuaciones (14) y (15), se obtienen los modelos matemáticos indicados en las ecuaciones (16) y (17) que constituyen el objetivo de esta investigación.
(16)
(17)4. Conclusiones
Como se observa en las Tablas 2 y 3 y en la Figura 6, el deslizamiento producido por la misma tensión en las bandas de perfil clásico y de alto rendimiento son diferentes; sin embargo, tienen la misma tendencia. Esto lo corrobora el parámetro de forma _ de la Tabla 5, ya que son similares.
El deslizamiento en los sistemas de trasmisión de potencia por bandas y poleas, se ajusta al modelo matemático exponencial inverso con el 99 % de confianza; por lo que, es confiable utilizar las ecuaciones (14) y (15) para estimar el pretensado de las bandas a partir de la medición directa del deslizamiento sin la necesidad de apagar la máquina.
De acuerdo con las observaciones plasmadas en la Figura 6, los sistemas de transmisión por bandas de alto rendimiento son más eficientes que los sistemas por bandas de perfil clásico, hecho que se confirma en la figura citada por tener un menor deslizamiento.
Referencias
[1] R. L. Norton, Diseño de maquinaria: síntesis y análisis de máquinas y mecanismos. McGraw-Hill, México, 2013. [Online]. Available: https://goo.gl/fGK4tx
[2] A. J. Nieto Quijorna, Elementos de máquinas. Área de Ingeniería Mecánica, Universidad de Castilla-La Mancha, España, 2007. [Online]. Available: https://goo.gl/4wkZpd
[3] Budynas, R. G, N. J. Keith, and J. E. Shigley, Mechanical Engineering Design. McGraw-Hill Education, New York, USA, 2015. [Online]. Available: https://goo.gl/1TivVq
[4] R. L. Mott, Diseño de elementos de máquinas. Pearson Education„ 2006. [Online]. Available: https://goo.gl/buKXz3
[5] R. C. Juvinall, Diseño de elementos de máquinas. Limusa Wiley, 2013. [Online]. Available: https://goo.gl/xtrD3K
[6] V. B. Bhandari, Design of Machine Elements. McGraw-Hill Education, India, 2016.
[7] A. D. Almeida and S. Greenberg, “Technology assessment: energy-efficient belt transmissions,” Energy and Buildings, vol. 22, no. 3, pp. 245–253, 1995. [Online]. Available: https://doi.org/10.1016/0378-7788(95)00926-O
[8] C. A. Silva, M.-A. Andrianoely, L. Manin, S. Ayasamy, C. Santini, E. Besnier, and D. Remond, “Optimization of power losses in poly-v belt transmissions via genetic algorithm and dynamic programming,” Mechanism and Machine Theory, vol. 128, pp. 169–190, 2018. [Online]. Available: https://doi.org/10.1016/j.mechmachtheory.2018.05.016
[9] O. Reynolds, “On the efficiency of belts or straps as communicators of work,” Journal of the Franklin Institute, vol. 99, no. 2, pp. 142–145, 1875. [Online]. Available: https://doi.org/10.1016/0016-0032(75)90662-6
[10] G. Gerbert, “A note on slip in v-belt drives,” Journal of Engineering for Industry, vol. 98, no. 4, pp. 1366–1368, 1976. [Online]. Available: https://doi.org/10.1115/1.3439115
[11] ——, “Paper xii (i) on flat belt slip,” in Vehicle Tribology, ser. Tribology Series, D. Dowson, C. Taylor, and M. Godet, Eds. Elsevier, 1991, vol. 18, pp. 333–340. [Online]. Available: https://doi.org/10.1016/S0167-8922(08)70149-4
[12] ——, “Belt slip-a unified approach,” Journal of Mechanical Design, vol. 118, no. 3, pp. 432–438, 1996. [Online]. Available: https://doi.org/10.1115/1.2826904
[13] H. Belofsky, “On the theory of power transmission by v-belts,” Wear, vol. 39, no. 2, pp. 263–275, 1976. [Online]. Available: https://doi.org/10.1016/0043-1648(76)90054-5
[14] T. H. C. Childs and D. Cowburn, “Power transmission losses in v-belt drives part 2: Effects of small pulley radii,” Proceedings of the Institution of Mechanical Engineers, Part D: Transport Engineering, vol. 201, no. 1, pp. 41–53, 1987. [Online]. Available: https://doi.org/ 10.1243/PIME_PROC_1987_201_156_02
[15] W.-H. Chen and C.-J. Shieh, “On angular speed loss analysis of flat belt transmission system by finite element method,” International Journal of Computational Engineering Science, vol. 04, no. 01, pp. 1–18, 2003. [Online]. Available: https://doi.org/10.1142/S1465876303000752
[16] B. Balta, F. O. Sonmez, and A. Cengiz, “Speed losses in v-ribbed belt drives,” Mechanism and Machine Theory, vol. 86, pp. 1–14, 2015. [Online]. Available: https://doi.org/10.1016/j.mechmachtheory.2014.11.016
[17] G. Cepon, L. Manin, and M. Boltežar, “Experimental identification of the contact parameters between a v-ribbed belt and a pulley,” Mechanism and Machine Theory, vol. 45, no. 10, pp. 1424–1433, 2010. [Online]. Available: https://doi.org/10.1016/j.memachtheory.2010.05.006
[18] L. Bertini, L. Carmignani, and F. Frendo, “Analytical model for the power losses in rubber v-belt continuously variable transmission (cvt),” Mechanism and Machine Theory, vol. 78, pp. 289–306, 2014. [Online]. Available: https://doi.org/10.1016/j.mechmachtheory.2014.03.016
[19] Optibelt, “Manual técnico para transmisiones por correas trapeciales,” Optibelt Power Transmission, Tech. Rep., 2008.
[20] Gates, “Mantenimiento preventivo de correas y transmisiones,” Gates Corporation, Tech. Rep.,2009.
[21] E. Hernández, B. Angulo, P. Fiallos, and V. Chávez, “Método para el cálculo del costo de la indisponibilidad en procesos productivos,” Perfiles,, vol. 1, pp. 90–98, 2017.
[22] M. F. Triola, Estadística. Pearson Education, 2013. [Online]. Available: https://goo.gl/Zfkisc