ESTRUCTURAS

Recepción: 13 Mayo 2021
Recibido del documento revisado: 18 Octubre 2021
Aprobación: 26 Noviembre 2021
Publicación: 01 Julio 2022
DOI: https://doi.org/10.17163/ings.n28.2022.06
Resumen:
Este estudio presenta un análisis de colisiones de impacto frontal y volcamiento lateral de un autobús de dos pisos, conforme al Reglamento 66 y 29 de la Comisión Económica de las Naciones Unidas para Europa (UN/ECE), y el Servicio Ecuatoriano de Normalización (INEN) con su normativa 1323:2009, encargado de regular los autobuses para el transporte de pasajeros en el Ecuador.
En la actualidad la mejora constante de la seguridad activa y pasiva de los autobuses con respecto a los accidentes es un tema de gran impacto social. En este contexto se analiza la colisión de un autobús de dos pisos aplicando el método de elementos finitos (MEF), el cual es sometido a diferentes escenarios de colisión como es de un impacto frontal y un volcamiento lateral, con la finalidad de estudiar los efectos de un accidente de este tipo de estructuras donde la normativa no es específica para esta clase de vehículos. Los resultados obtenidos permiten tener en cuenta consideraciones importantes al momento del diseño de estos elementos.
Palabras clave: colisiones, volcamiento, impacto frontal, reglamentación, energía, autobús.
Abstract:
This study presents an analysis of frontal impact and lateral overturn collisions of a double-decker bus, carried out in accordance with Regulations 66 and 29 of the United Nations Economic Commission of Europe (UN/ECE), and the Ecuadorian Standardization Service Institute (INEN) with its regulation 1323:2009. The INEN is on charge of regulating the buses for transportation of Ecuadorian passengers.
The continuous improvement of active and passive safety of buses with respect to accidents, is currently a topic with great social impact. In this context, the present paper applies the finite element method (FEM) to analyze the behavior of a double-decker bus subject to different collision scenarios, such as frontal impact and lateral overturn, with the purpose of studying the effects of an accident of this type of structure, considering that the existing regulations are not specific for this kind of vehicles. The obtained results enable taking into account different considerations when designing these elements.
Keywords: Collisions, rollover, frontal impact, regulation, energy, bus.
Forma sugerida de citación:
Brito Morocho, J.; Amaya Pinos, M.; López López, L. y Espinoza Molina, F. “Análisis estructural de un bus de dos pisos de larga distancia durante colisiones”. Ingenius, Revista de Ciencia y Tecnología. N.◦ 28. pp. 63-70. 2022. doi: https://doi.org/10.17163/ings.n28.2022.06.
1. Introducción
El autobús es uno de los principales medios de transporte en el Ecuador debido a su eficiencia, flexibilidad en rutas de servicio y costos para el usuario; sin embargo, en el año 2018 este medio de transporte fue el responsable del 8 % de las colisiones de tránsito aportando de forma significativa al índice de accidentalidad y al número de víctima
El autobús es uno de los principales medios de transporte en el Ecuador debido a su eficiencia, flexibilidad en rutas de servicio y costos para el usuario; sin embargo, en el año 2018 este medio de transporte fue el responsable del 8 % de las colisiones de tránsito aportando de forma significativa al índice de accidentalidad y al número de víctimas [1]; por lo que existe un elevado interés en mejorar la seguridad activa como pasiva de los pasajeros debido a que los accidentes más frecuentes son los impactos frontales y volcamientos, los cuales son considerados como los de mayor gravedad y que generan un gran impacto social por las pérdidas humanas como económicas.
Los Estados Miembros de las Naciones Unidas en el año 2015 adoptaron la Agenda 2030 en donde se plantea diferentes objetivos sostenibles; donde se pretende que se pueda «lograr que las ciudades y los asentamientos humanos sean inclusivos, seguros, resilientes y sostenibles» [2], y con una meta para el 2030 que permita «proporcionar acceso a sistemas de transporte seguros, asequibles, accesibles y sostenibles para todos y mejorar la seguridad vial, en particular mediante la ampliación del transporte público, prestando especial atención a las necesidades de las personas en situación vulnerable, las mujeres, los niños, las personas con discapacidad y las personas de edad» [2].
Las iniciativas y normas internacionales elaboradas por organizaciones gubernamentales, sustentadas en la seguridad de los seres humanos que garanticen la integridad deben ser consideradas al generar nuevos sistemas de transporte público y optimizar los ya existentes. Por ejemplo, los autobuses de dos pisos tienen una gran masa y su centro de gravedad está situado en un punto muy elevado al nivel del suelo, lo que reduce significativamente la estabilidad y resistencia a una colisión y volcamiento. Si se establece que estas unidades de transporte de pasajeros recorren diversos trayectos con largas distancias, es relevante considerar, todos los aspectos relacionados con la seguridad cuando se produzca un posible evento de colisión [3].
Entre los distintos tipos de accidentes en los que se encuentran involucrados de manera directa los autobuses, los más letales son los impactos frontales y los vuelcos laterales. En un estudio realizado por Transport Canada se muestra que los impactos frontales representan el 70 % de todos los accidentes de autobús. Además, es considerada una de las colisiones que provocan más muertes y lesiones graves que cualquier otro accidente. En estos impactos, donde se ven involucrados dos vehículos que se aproximan a una velocidad alta, la mayoría compromete la estructura frontal del vehículo [4].
En un estudio presentado por Ramírez et al. [1] también indican que los accidentes de tránsito de sistemas de transporte colectivo de personas que se producen en carreteras son primordialmente colisiones de tipo frontal. Asimismo que, la diferencia entre masas y configuraciones de los vehículos durante un impacto, generan daños críticos tanto en la parte material y de lesiones graves hasta la pérdida de la vida de sus ocupantes.
La resistencia a las colisiones es la capacidad de la estructura para absorber la energía cinética del volcamiento o impacto frontal, los cuales deben proporcionar una adecuada protección a los ocupantes del vehículo durante un accidente de tránsito. Este criterio es importante especialmente en los vehículos de transporte de pasajeros como son los autobuses [5]. Esta es la razón por la cual las simulaciones que se efectúan en la superestructura del autobús tienen como finalidad analizar la cantidad de energía que absorben durante una colisión de impacto frontal y volcamiento lateral de un autobús de dos pisos. Aquella se debe deformar lo menos posible y evitar que algún elemento se introduzca en el espacio de supervivencia del autobús [6], conforme al reglamento 29 [7] y 66 de la UN/ECE [8] y la normativa NTE INEN 1323:2009 [9].
2. Materiales y métodos
El estudio planteado parte de un modelado en tres dimensiones considerando todos los detalles y medidas de la estructura del bus de dos pisos. Se utilizaron herramientas CAD con la finalidad de obtener el modelo final para las etapas de simulación por medio del MEF, para lo cual en el preproceso se usó Solidworks, mientras que para el proceso y posproceso Ansys – LS DYNA [10].
Para el estudio de volcamiento por medio del MEF de la estructura del autobús se fundamentó en la normativa NTE INEN 1323:2009 [9] y los Reglamentos 29 y 66 de la UN/ECE [7], [8]. Este último es pionero en aumentar la seguridad del transporte público, año tras año, al implementar reglamentos que permiten garantizar la seguridad de los ocupantes cuando un autobús sufra alguna colisión y no permita una invasión de la estructura al espacio de supervivencia de los pasajeros durante un volcamiento.
El reglamento 66 de la UN/ECE, en el ámbito de aplicación, menciona que solamente se aplica a vehículos de un solo piso, rígidos o articulados, pertenecientes a la categoría M2 o M3; los autobuses de dos pisos de acuerdo con la NTE INEN 1323 [9] y 2656 [11] pertenecen a la categoría M3; por lo expuesto, el ensayo de vuelco de un autobús de dos pisos puede aplicarse mediante la reglamentación 66, lo cual sustenta la aplicación de la normativa indicada en este estudio [8]. Una vez realizado el análisis de volcamiento se procedió a efectuar el estudio de una colisión frontal de la estructura, lo que permitió visualizar el efecto de este tipo de colisión en la deformación de la estructura y como esta invade el espacio de supervivencia [12].
2.1. Delimitación del espacio de supervivencia
El espacio de supervivencia presenta características geométricas mencionadas en el reglamento 66 de la UN/ECE considerando las dimensiones del autobús y debe estar situado en toda la longitud del mismo como se observa en la Figura 1. Allí se encuentran los pasajeros y los operarios; durante una colisión este espacio no debe ser invadido por la estructura de la carrocería o por cualquier accesorio que pueda afectar la integridad física de los ocupantes [8].

2.2 Condiciones de la superestructura del autobús
El anexo 4 de la Reglamentación 66 de la UN/ECE presenta las perspectivas de la descripción estructural de la superestructura del autobús; los perfiles y materiales estructurales deben estar en referencia a las normas nacionales o internacionales [8].
Los perfiles estructurales utilizados en la carrocería del autobús se muestran en la Tabla 1.

El anexo 9, literal 1.3 de la reglamentación 66 de la UN/ECE [8] indica que se deben cumplir con los datos necesarios para ejecutar el ensayo, en donde los valores de la masa, centro de gravedad y los momentos de inercia de la estructura del autobús deben ser obtenidos con anterioridad.
Los valores de la masa, momentos de inercia y centro de gravedad de la estructura del autobús se muestran en la Tabla 2, y fueron obtenidos durante el proceso de modelado.

La ubicación del centro de gravedad de la estructura del autobús debe estar definida de manera clara, como se muestra en la Figura 2.

2.3. Análisis por medio de elementos finitos
La exactitud de los métodos de elementos finitos depende de la cantidad de nodos y elementos como se observa en la Figura 3, entre los cuales dependen del tamaño y de los tipos de componentes de la malla, por lo tanto, cuanto menor sea el tamaño y mayor el número de elementos en una malla, más precisos serán los resultados del análisis [13].

Para realizar el mallado de la estructura del autobús hay que tener en cuenta aspectos importantes como la calidad y el tipo de mallado, qué están relacionados con la densidad de la malla utilizada que, para este caso de estudio, es de 20mm, utilizando un método de mallado tipo hexaédrico [14, 15].
2.4. Simulación por ordenador del ensayo de vuelco de un vehículo como método de homologación equivalente.
El ensayo de vuelco de un autobús es un proceso muy rápido y dinámico con etapas diferenciadas, por lo que se debería tener en cuenta a la hora de planificar el ensayo. El autobús basculará sin balancearse y sin efectos dinámicos hasta que alcance el equilibrio inestable y comience el vuelco, como se especifica en la Figura 4[8].

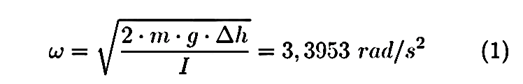
Para la simulación por ordenador del ensayo de vuelco de la estructura de un autobús de dos pisos, se aplica el anexo 9 de la reglamentación 66 de la UN/ECE mediante el método de elementos finitos. Los valores matemáticos ingresados en el software para la simulación de vuelco, es la velocidad de giro del autobús con respecto a un eje ubicado en la plataforma basculante y la gravedad, esto con vistas a simular el movimiento de la estructura con respecto a la plataforma.
En la ecuación (1) se encuentra el valor de la velocidad angular obtenida a ser aplicada.

En donde:
m = masa (kg)
g = constante gravitacional (m⁄s2)
∆h = variación de altura (m)
I = Inercia rotacional (kg·m2)
Para la simulación se definen los contactos entre la superficie maestra y un conjunto de nodos esclavos.
La superficie maestra está definida por medio de los elementos rígidos usados para establecer la superficie en la que impacta la estructura del autobús, Figura 5.

2.5. Simulación por ordenador de impacto frontal
Las estadísticas de accidentes de tránsito demuestran que casi dos terceras partes de las colisiones son frontales, y la mitad de ellas presenta una cobertura entre el 30 y el 50 % de la superficie frontal [16]. Para comprobar los efectos de este tipo de colisión se realizan pruebas de simulación computacional, según el Reglamento 29 de la UN/ECE [8].
Los ensayos de impacto frontal de vehículos contra objetos fijos mediante simulación computacional, permiten ver el comportamiento del vehículo durante una colisión, además de ser un método barato, comparado con una prueba real de Crash Test[10], [17], [18].
El impacto frontal se lo analiza a 64 km/h, el autobús impacta frontalmente contra una barrera fija centrada (Figura 6). Este impacto pretende simular el tipo más frecuente de colisiones en las carreteras que resultan en lesiones graves o mortales, ya que la mayoría de los choques frontales en los autobuses de dos pisos involucra directamente a la cabina de los operadores [19].

Es importante indicar que la velocidad permitida para este tipo de vehículos en carreteras rectas es de 90 km/h, según la Agencia Nacional de Tránsito del Ecuador, situación que es tratada en otras investigaciones que analizan el impacto frontal de un autobús de un solo piso [20].
3. Resultados y discusión
3.1. Volcamiento del autobús
La aplicación del ensayo de vuelco de la estructura del autobús de dos pisos mediante el método de elementos finitos funciona hasta que la estructura alcance la deformación máxima en el instante t = 0, 621s al impactarse con la superficie rígida.
3.1.1. Energías
La obtención de la altura de los centros de gravedad durante el volcamiento, como se muestra en la Tabla 3, se utiliza para encontrar la diferencia entre alturas del centro de gravedad (∆h), ecuación (3), la misma que es una variable de la ecuación de la energía total (ET), ecuación 2, que absorberá la superestructura del autobús en el ensayo de volcamiento.



La energía total absorbida por el autobús aplicando las ecuaciones del Reglamento 66 es de 4, 42 × 107 J, y el valor máximo de la energía total obtenido en la simulación, Figura 7, es de 4, 56×107 J. Al efectuar la comparación de la energía total calculada y la obtenida mediante la simulación existe una variación del 3,32 %, debido a que el centro de gravedad no es exacto ya que no se considera en el proceso de modelado todos los componentes mecánicos y de acabado como son vidrios, asientos, forrajes, etc. Aunque exista esta variación en los valores obtenidos entre el cálculo efectuado y la simulación planteada se puede considerar que son coherentes y aceptables.

El valor máximo de la energía de Hourglass, durante el ensayo de volcamiento es de 0, 0966 × 107 J, que representa el 2 % de la energía total. De acuerdo con el anexo 9 de la reglamentación 66, para que la simulación sea aceptada este valor no deberá exceder el 5 %, por lo tanto, se cumple con lo requerido en la respectiva reglamentación.
3.1.2. Espacios de supervivencia
La estructura del autobús al momento de alcanzar la deformación máxima durante el ensayo no cumple la reglamentación 66, donde menciona que durante el volcamiento en ningún momento debe invadir el espacio de supervivencia o viceversa.
En la Figura 8 se observa el desplazamiento de la estructura con respecto al espacio de supervivencia. En la planta baja de la estructura no se ve afectado por la deformación de la estructura ya que es lo suficientemente rígida para soportar una colisión por vuelco; sin embargo, el espacio de supervivencia en la plata alta es invadido por la estructura en 48 mm, esto al alcanzar la deformación máxima durante el volcamiento; de esta manera, no cumple con lo requerido en el Reglamento 66 de la UN/ECE.

3.1.3. Velocidad
La velocidad del autobús es alta hasta que impacta sobre la superficie rígida, a partir de este instante la velocidad disminuye de manera progresiva (Figura 9); sin embargo, el intervalo de mayor importancia es cuando el autobús se impacta sobre la superficie, de tal manera lo que nos interesa es el contacto de las dos superficies durante el ensayo de volcamiento; el valor de la velocidad no disminuye hasta cero, debido a que la simulación de vuelco se efectúa hasta la deformación máxima de la estructura del autobús de acuerdo con la reglamentación.

3.2. Impacto frontal
La velocidad de autobús previo a una colisión viene dada por el cambio de velocidad (∆V) que el vehículo experimenta y por la rapidez con la que se produce este cambio, es decir, la desaceleración, que está en función de la masa y la rigidez de los objetos que colisionan entre sí.
La zona de impacto del autobús con la barrera cubre todo el ancho de vehículo, por lo tanto, el bastidor del autobús en el impacto frontal absorbe la mayor parte de la energía cinética durante la colisión, además, se ajustó el modelo matemático para aplicar las mismas condiciones que se dan en un ensayo real físico.
3.2.1. Energías
La energía total máxima generada en la simulación del impacto frontal del autobús es de 4, 56 × 108 J, se mantiene constante, es decir, es la misma antes y después de la colisión, lo cual indica que la energía producida en la colisión se disipa por medio de la deformación, más conocido como la energía interna (Figura 10).

Durante el impacto del autobús, el valor máximo alcanzado de la energía de Hourglass es de 0, 106×108J (Figura 11), que representa el 2,3 % de la energía total; de esta manera, cumple con lo requerido en la normativa en la que indica que no debe sobrepasar el 5% de la energía total.
3.2.2. Deformación
La cabina del conductor alcanza una deformación de 250 mm, como se puede observar en la Figura 11, debido al impacto con la pared. Los perfiles de la estructura con mayor deformación son aquellos que impactan de manera directa con la superficie, además, las alas del chasis cumplen un trabajo de barra antiempotramiento, lo que impide que la cabina del conductor se deforme de manera excesiva, pero esto no impide que restos de la estructura puedan dañar la integridad de los controladores de la unidad de transporte.

3.2.3. Velocidad
El autobús comienza con una velocidad de 17 800 mm/s (64 km⁄h), a partir de ahí disminuye de manera constante por el impacto en la barrera fija; de esta manera, la cabina del conductor se deforma en un pequeño lapso de tiempo hasta llegar a un estado de reposo, las partes más afectadas son los perfiles que impactan de manera directa sobre la superficie (Figura 12).

4. Conclusiones
En el estudio se estableció dos procesos de simulación computacional para el volcamiento lateral e impacto frontal de un autobús de dos pisos, fundamentado en la normativa R66 Y R29 de la UN/ECE [8] y la normativa NTE INEN 1323:2009 [9], de esta manera, se puede estimar la resistencia de la superestructura del vehículo durante una colisión, de igual manera ver el comportamiento de la estructura con respecto al espacio de supervivencia y los modos de deformación del vehículo.
El análisis de las colisiones nos permite evaluar el comportamiento elastoplástico del acero que conforma la estructura del autobús de dos pisos, utilizada en el transporte de pasajeros interprovincial, mediante la simulación computacional basada en dinámica explícita.
La parte superior de la estructura se vio afectada durante el volcamiento, ya que se obtuvo una deformación la cual genera una invasión del espacio de supervivencia de 48 mm; esto se puede observar en la Figura 8.
En el valor de la energía total obtenido en la simulación de volcamiento y el calculado mediante las fórmulas sugeridas por el Reglamento 66 UN/ECE [8], existe un error porcentual del 3,32 %, debido a que el centro de gravedad no es exacto. Es importante indicar que este error numérico se considera bajo, por lo tanto, los resultados obtenidos del volcamiento del autobús son válidos.
Las fuerzas generadas por el impacto frontal de la estructura del autobús sobre una superficie fija producen altas deformaciones especialmente en la cabina del conductor llegando a valores de 250 mm, en un periodo de tiempo muy pequeño, esto debido a que las partes más críticas son los perfiles que reciben el impacto de manera directa. La superestructura del autobús es uno de los principales componentes de seguridad pasiva en estos vehículos, por lo cual la optimización de diseño es esencial para minimizar los daños que puedan causar a los pasajeros y operarios de la unidad de transporte.
La parte frontal de las estructuras de autobuses generalmente no cuentan con ningún sistema de protección para salvaguardar la vida de los ocupantes de la cabina durante un impacto frontal. Estos elementos dispuestos en la estructura de la carrocería no alcanzan a disipar la energía cinética en su totalidad, situación que debería ser considerada en procesos de diseño de estos elementos.
Referencias
[1] B. Arenas Ramírez, F. Espinoza Molina, A. Arenas, E. Donnet, and F. Aparicio Izquierdo, “Metodología de estudio de accidentes de transporte colectivo de personas en países con carencia de información de calidad = methodology for the study of traffic accident with buses and coaches in countries with lack of quality information,” in XIV Congreso Iberoamericano de Ingeniería Mecánica (XIV CIBIM), 2019, pp. 1–10. [Online]. Available: https://bit.ly/3CUEqDo
[2] United Nations. (2021) Objective 11: Make cities more inclusive, safe, resilient and sustainable. United Nations. Sustainable Development Objectives. [Online]. Available: https://bit.ly/3nPicP8
[3] N. Çolak, U. Şahin, A. Candaş, and C. Ímrak, “Desing and analysis of the protective structure of an intercity bus during a rollover accident,” Trans Motauto World, vol. 3, pp. 62–65, 2018. [Online]. Available: https://bit.ly/3re5dIK
[4] W. T. Gardner, Evaluation of occupant protection in buses. RONA Kinetics and Associates Ltd., 2002. [Online]. Available: https://bit.ly/30XY3xo
[5] ENNOMOTIVE. (2019) Choque de vehículos: ¿Cómo se absorbe la energía mecánica? [Online]. Available: https://bit.ly/3CMviko
[6] B. D. Palacios, “Análisis mediante el MEF de la protección de los conductores en autobuses,” 2016. [Online]. Available: https://bit.ly/3HVFFWU
[7] UN/ECE, Regulation No 29 of the Economic Commission for Europe of the United Nations (UN/ECE) – Uniform provisions concerning the approval of vehicles with regard to the protection of the occupants of the cabin of a commercial vehicle. Economic Commission for Europe of the United Nations (UN/ECE). [Online]. Available: https://bit.ly/3FOFJ96
[8] UN/ECE, Regulation No. 66 of the Economic Commission for Europe of the United Nations (UN/ECE) – Uniform technical prescriptions concerning the approval of large passenger vehicles with regard to the strength of their superstructure. Economic Commission for Europe of the United Nations (UN/ECE), 2011. [Online]. Available: https://bit.ly/3r7Y391
[9] INEN, NTE INEN 1323. Vehículos Automotores, Carrocerías de Buses, Requisitos. Servicio Ecuatoriano de Normalización, 2009. [Online]. Available: https://bit.ly/3oU82Mo
[10] E. Alcalá Fazio, F. Aparicio Izquierdo, R. Grimaldi Pastoril, and A. L. Martín López, “Aplicación de técnicas de ensayo virtual a ensayos de vuelco de superestructuras de autobuses y autocares.” in Actas del IX Congreso de Ingeniería del Transporte, CIT 2010. Madrid, España: Universidad Politécnica de Madrid, 2010. [Online]. Available: https://bit.ly/314TIsy
[11] INEN, NTE INEN 2656: Clasificación Vehicular. Servicio Ecuiatoriano de Normalización, 2016. [Online]. Available: https://bit.ly/3lbTpDd
[12] A. García, M. Sánchez, E. Alcalá, and A. Carretero, “Diseño estructural de autobuses y autocares,” DYNA-Automoción y Transporte, vol. 73, no. 3, 1998.
[13] O. C. Zienkiewicz, El método de los elementos finitos. Editorial Reverté, 1981. [Online]. Available: https://bit.ly/3DWiVUf
[14] C. H. Arroba Arroba, M. A. Córdova Suárez, C. G. Santiana Espín, and C. O. na. G. E., “Simulación de vuelco con ANSYS y LS-DYNA de una superestructura de un autobús y su incidencia en el área de supervivencia,” Ciencia Digital, vol. 6, no. 4.2, pp. 86–99, 2019. [Online]. Available: https: //doi.org/10.33262/cienciadigital.v3i4.2.1011
[15] G. Núñez Milán, “Simulación de un ensayo de vuelco de un autobús mediante LS-DYNA,” B.S. thesis, 2016. [Online]. Available: https://bit.ly/3CUzK0A
[16] D. D. Illescas Pérez, “Simulación de un choque frontal de un vehículo automóvil contra diferentes tipos de barrera,” 2009. [Online]. Available: https://bit.ly/3HZn77U
[17] E. Acar, B. Yilmaz, M. A. Güler, and M. Altin, “Multi-fidelity crashworthiness optimization of a bus bumper system under frontal impact,” Journal of the Brazilian Society of Mechanical Sciences and Engineering, vol. 42, no. 9, p. 493, Aug 2020. [Online]. Available: https://doi.org/10.1007/s40430-020-02572-3
[18] M. A. Güler, M. E. Cerit, S. K. Mert, and E. Acar, “Experimental and numerical study on the crashworthiness evaluation of an intercity coach under frontal impact conditions,” Proceedings of the Institution of Mechanical Engineers, Part D: Journal of Automobile Engineering, vol. 234, no. 13, pp. 3026–3041. [Online]. Available: https://doi.org/10.1177/0954407020927644
[19] Latin NCAP. (2021) Impacto frontal. Latin NCAO. Para autos más seguros. [Online]. Available: https://bit.ly/2ZpTDPc
[20] D. Cárdenas, J. Escudero, S. Quizhpi, and M. Amaya Pinos, “Propuesta de diseño estructural para buses de carrocería interprovincial,” Ingenius. Revista de Ciencia y Tecnología, no. 11, pp. 42–52, 2014. [Online]. Available: https://bit.ly/3xtnjYr
Enlace alternativo
https://revistas.ups.edu.ec/index.php/ingenius/article/view/5093 (html)