Artículo Científico
SEGUIMIENTO DEL NIVEL DE LÍQUIDO DE UN SISTEMA DE TANQUES ACOPLADO EMPLEANDO CONTROL CUASI-LPV
LIQUID LEVEL TRACKING FOR A COUPLED TANK SYSTEM USING QUASI–LPV CONTROL
SEGUIMIENTO DEL NIVEL DE LÍQUIDO DE UN SISTEMA DE TANQUES ACOPLADO EMPLEANDO CONTROL CUASI-LPV
Ingenius. Revista de Ciencia y Tecnología, núm. 33, pp. 15-26, 2025
Universidad Politécnica Salesiana

Recepción: 13 Marzo 2024
Revisado: 21 Mayo 2024
Aprobación: 03 Julio 2024
Publicación: 01 Enero 2025
Resumen: En este artículo se propone un procedimiento de programación de ganancias basado en un modelado cuasi-LPV de un sistema no lineal de tanques acoplados para seguir el nivel de líquido con error en estado estacionario nulo. Las no linealidades están representadas directamente por un vector de parámetros que varía dentro de un conjunto acotado por los límites físicos del nivel del sistema de tanques. Esto permite un modelado exacto del sistema no lineal utilizando un modelo lineal de parámetros variantes. Luego, se diseñan controladores lineales de realimentación de estado en los vértices extremos del conjunto acotado. El controlador global corresponde a un promedio ponderado de las contribuciones locales. Esta ponderación depende de los valores instantáneos del vector de parámetros. Para implementar el promedio ponderado de los controladores lineales, se proponen dos mecanismos de interpolación. Los resultados obtenidos muestran la efectividad del método.
Palabras clave: sistema de tanques acoplados, programación de ganancias, sistemas no lineales, cuasi- LPV, problema de seguimiento.
Abstract: This article proposes a gain-scheduling procedure based on quasi-LPV modeling for a nonlinear coupled tank system to track the liquid level with zero steadystate error. The nonlinearities are directly represented by a parameter vector that varies within a bounded set constrained by the physical limits of the tank system levels. This approach enables accurate nonlinear system modeling using a linear parameter-varying model. State-feedback linear controllers are designed at the extreme vertices of the bounded set. The global controller is derived as the weighted average of local controller contributions, with the weighting determined by the instantaneous values of the parameter vector. Two interpolation mechanisms are proposed to implement this weighted averaging of the linear controllers. The results confirm the effectiveness of the proposed method in achieving accurate liquid level trackin
Keywords: Coupled-Tank System, Gain Scheduling, Nonlinear Systems, Quasi-LPV, Tracking Problem.
Forma sugerida de citación:
Teppa-Garrán, P.; Muñoz-de Escalona, D. y Zambrano, J. “Seguimiento del nivel de líquido de un sistema de tanques acoplado empleando control cuasi-lpv,” Ingenius, Revista de Ciencia y Tecnología, N.◦ 33, pp. 15-26, 2025. doi: https://doi.org/10.17163/ings.n33.2025.02.
1. Introducción
El control de niveles de líquido en tanques se emplea ampliamente en diversas industrias, incluyendo la producción de alimentos y bebidas, plantas nucleares y petroquímicas, y el sector farmacéutico. Generalmente, las interacciones entre tanques ocurren debido al acoplamiento, dando como resultado un comportamiento no lineal [1]. Se han propuesto numerosas estrategias de control para sistemas de tanques acoplados, incluyendo controladores proporcionales-integrales-derivativos (PID) [2–4], control difuso [5, 6], control predictivo basado en modelos [7, 8], control backstepping [9,10], control por modo deslizante [11,12], controladores PID fraccionarios [13, 14], control robusto [15], control de rechazo activo de perturbaciones [16, 17] y controladores de dos grados de libertad [18]. Algunas de estas técnicas se basan en la teoría de sistemas no lineales, lo cual puede ser complejo de implementar, mientras que otras emplean la linealización de las ecuaciones del sistema alrededor de un punto de operación. Para el rango operativo local, los diseños basados en la linealización jacobiana son efectivos. Sin embargo, ante perturbaciones significativas o cuando se requieren tiempos de asentamiento más rápidos, el desempeño de tales controladores puede deteriorarse debido a una pérdida de robustez.
La programación de ganancia [19,20] es un enfoque ampliamente adoptado en la industria para controlar sistemas no lineales al descomponer el problema de diseño no lineal en varios subproblemas manejables donde se pueden aplicar herramientas de diseño lineal. Por ejemplo, en el control de robots, la dinámica del controlador se ajusta en tiempo real en función de la variación de la inercia y la geometría. De manera similar, la mayoría de las leyes de control de aeronaves se modifican interpolando controladores diseñados individualmente.
En las últimas décadas, la teoría de sistemas lineales de parámetros variables (LPV) ha ganado prominencia como un paradigma poderoso para la identificación de sistemas, el análisis y la síntesis de controladores [21–23]. Esta clase de sistemas es particularmente valiosa, ya que permite incorporar no linealidades como parámetros variables dentro de un conjunto acotado, asegurando que las trayectorias posibles del sistema LPV abarquen todas las trayectorias del sistema no lineal original.
Cuando estos parámetros incluyen elementos del vector de estado, el sistema se denomina cuasi-LPV [24]. En este estudio, las no linealidades del modelo del sistema de tanques, representadas por los niveles de líquido, se consideran inciertas, pero están restringidas dentro de los límites tecnológicos del equipo ([0, 30] cm). Esto permite una representación precisa de los términos no lineales al integrarlos en un modelo cuasi-LPV. La ventaja de este enfoque es que permite el diseño de controladores lineales al usar técnicas de espacio de estados, asegurando un error de seguimiento en estado estacionario nulo para entradas de referencia constantes y garantizando un criterio de dominancia de polos [25, 26].
Dentro de un esquema de programación de ganancia, el control del sistema de tanques acoplados no lineal se logra mediante la interpolación de controladores locales. Se proponen dos mecanismos de interpolación: (1) interpolación analítica, donde se resuelve continuamente un sistema de ecuaciones lineales para calcular los factores de ponderación, y (2) interpolación geométrica, donde los pesos de los controladores locales se determinan en función de la distancia euclidiana a ciertos puntos vértice.
La interpolación analítica, presentada inicialmente en [27] e inspirada en conceptos de los modelos difusos de Takagi-Sugeno, se implementa en este estudio de forma simplificada sin incorporar elementos difusos. La interpolación geométrica, por otro lado, ofrece un enfoque innovador en este contexto. Si bien la teoría cuasi-LPV ha sido ampliamente aplicada en campos como la guía de misiles [28,29] y la robótica [30,31], su aplicación en sistemas de tanques sigue siendo relativamente inexplorada a pesar de la significativa relevancia industrial de este proceso.
Los resultados confirman la efectividad del método propuesto para el control del sistema de tanques acoplados. El artículo se estructura de la siguiente manera: la Sección 2 detalla el método de diseño de control cuasi-LPV, con un enfoque particular en la formulación de dos mecanismos de interpolación, los cuales se integran dentro de una estrategia de control de seguimiento con programación de ganancia, ademas describe el modelo no lineal del sistema de tanques acoplados. En la Sección 3, el método de diseño cuasi-LPV se aplica al sistema. Finalmente, en la Sección 4 se presentan las conclusiones.
Notación: Las letras mayúsculas en negrita representan matrices, mientras que las letras minúsculas en negrita representan vectores (es decir,
es el componente j-ésimo del vector
. Los superíndices también indican vectores; por ejemplo,
se refiere al vector i-ésimo, y
denota el componente j-ésimo del vector
y
. R denota el conjunto de los números reales.
2. Materiales y métodos
2.1.Diseño de control cuasi-LPV
La mayoría de los enfoques existentes para la síntesis de controladores no lineales se centran en sistemas afines a la entrada [32], que suelen describirse como en la ecuación (1):

Donde x
es el vector de estado, u

y
son campos no lineales. La ecuación no lineal general
que aparece frecuentemente, puede, bajo supuestos técnicos, transformarse en la ecuación (1) mediante una transformación de retroalimentación no lineal [33].
El primer paso en el procedimiento de síntesis es derivar una representación cuasi-LPV de la forma, como se ve en la ecuación (2):

Para el sistema no lineal descrito en la ecuación (1). Aquí, θ representa un vector de parámetros que varía dentro de una caja de límites Ω. En el modelado cuasi-LPV, se asume que existe una relación entre el vector de parámetros y los estados del sistema, 
tal que para todos los valores de parámetros dentro de Ω.

2.2.Mecanismos de interpolación
Definiendo
en la ecuación (2) como los vectores que representan las combinaciones extremas de parámetros en
Ω, se obtiene un conjunto de modelos linealizados locales como se muestra en la ecuación (3):

Para cada modelo local, se puede diseñar una ganancia del vector de estado 
Luego, el vector de parámetros 
se utiliza para construir el controlador global con programación de ganancia mediante la interpolación de los controladores locales. En cualquier momento dado, 
puede expresarse como se muestra en la ecuación (4):

Los pesos
se calculan resolviendo el sistema de ecuaciones lineales como se muestra en la ecuación (5):

Donde:

El esquema de interpolación basado en los pesos calculados a partir de la solución continua de la ecuación (5) se denomina interpolación analítica para distinguirla de la interpolación geométrica, que se describirá a continuación.
En cualquier momento dado, la distancia euclidiana entre el vector de parámetros dependiente del estado
y cualquiera de los vectores extremos
dentro de la caja de límites
Ω se puede calcular para
como se muestra en la ecuación (6):

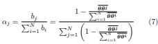
La contribución relativa del vector de parámetros θ(t) en cada vértice θi se da por:

Los puntos más alejados de los vértices deben tener pesos más bajos. Por lo tanto, se utiliza la distancia complementaria,
, en el cálculo. La contribución relativa complementaria se calcula entonces como 
. Finalmente, el peso
para
en cualquier momento dado se determina como se muestra en la ecuación (7):

Como en el procedimiento analítico, los pesos calculados utilizan el enfoque geométrico satisfacen continuamente la ecuación
La diferencia clave entre los dos métodos es que el enfoque geométrico asegura pesos positivos, mientras que el procedimiento analítico no lo garantiza. Esto puede requerir el acondicionamiento de la entrada de control si el actuador solo opera con señales positivas.
2.3. Seguimiento de una entrada de referencia escalonada
Usando los pesos calculados, el modelo en la ecuación (2) se puede aproximar como una combinación de los modelos lineales locales como se muestra en la ecuación (8):

El problema de diseño ahora se centra en el seguimiento de una entrada de referencia escalonada r(t) con error en estado estacionario cero e(t) definido como se muestra en la ecuación (9):

Donde la ecuación (10) es la salida controlada. Tomando la derivada temporal de la ecuación (9), para una entrada de referencia constante se obtiene la ecuación (11):


Tomando la derivada temporal de cada modelo lineal local
para
se obtiene la ecuación (12):

Las ecuaciones (11) y (12) se pueden combinar como se muestra en la ecuación (13):

Donde:

Una ganancia de retroalimentación de estado para el sistema, ver la ecuación (13), se construye como se muestra en la ecuación (14):

Después de integrar la ecuación (14), la señal de control real se convierte en lo que se muestra en la ecuación (15):

Usando los mismos pesos 
se construye una ganancia de retroalimentación de estado dependiente del tiempo para el sistema descrito en la ecuación (8) y como se muestra en la ecuación (16):

Donde:

La Figura 1 ilustra la implementación de la política de control descrita en la ecuación (15) para cada modelo local, como se define en la ecuación (3). Además, la Figura 2 muestra el controlador global que permite la implementación de la ley de control en la ecuación (16) mediante la interpolación de los controladores locales, utilizando ya sea pesos calculados analíticamente (ecuación 5) o geométricamente (ecuación (7)). Para el sistema de seguimiento aumentado en la ecuación (13), la ganancia
se calcula para cada
resolviendo un problema de colocación de polos en lazo cerrado usando el comando de MATLAB, ver ecuación (17):


Diagrama de bloques del sistema de control de seguimiento local

Implementación del controlador de seguimiento general mediante la interpolación de controladores locales
Donde P representa los polos deseados en el lazo cerrado, seleccionados para satisfacer un criterio garantizado de dominancia de polos [25], [26], basado en los requisitos de diseño en lazo cerrado especificados en el dominio del tiempo, como el sobrepaso (OS) y el tiempo de establecimiento (Ts). A la luz de la discusión anterior, el algoritmo de diseño para implementar la ley de control interpolada en la ecuación (16) se resume en la Tabla 1.

Algoritmo de diseño para control cuasi-LPV
2.4.Sistema de tanques acoplados
La Figura 3 muestra el sistema de tanques acoplados. Consiste en una bomba única y dos tanques, cada uno equipado con un sensor de presión para medir el nivel de agua. La bomba transfiere agua del reservorio inferior al superior del sistema. Dependiendo de la configuración de las válvulas de salida, el agua puede fluir hacia el tanque superior, el tanque inferior o ambos. Esta configuración se ilustra en la Figura 4, donde la salida de la bomba está conectada al primer tanque.

Sistema de tanques acoplados

Configuración estándar del sistema de tanques acoplados
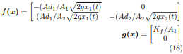
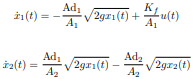
x1 y x2 representan los niveles de agua en los tanques 1 y 2, respectivamente. Las funciones vectoriales en la forma de la ecuación (18) para el sistema de tanques acoplados se derivan utilizando la ley de Bernoulli y el principio de balance de masa [34] y se expresan como se detalla en la ecuación (18):

Donde A1 y A2 denotan las áreas de sección transversal de los tanques 1 y 2, respectivamente. Ad1,Ad2 representan las áreas de sección transversal de los orificios correspondientes, g es la aceleración debido a la gravedad en la Tierra, y Kf es la constante de flujo de la bomba. Los valores numéricos de estos parámetros se proporcionan en la Tabla 2.

Parámetros físicos del sistema de tanques acoplados
3. Resultados y discusión
Esta sección describe la implementación y evalúa el rendimiento del método de control cuasi-LPV, como se resume en la Tabla 1.
3.1.Modelo cuasi-LPV
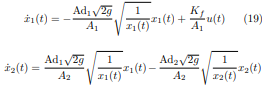
El voltaje de entrada aplicado a la bomba sirve como la señal de control, mientras que el nivel de agua en el segundo tanque se selecciona como la salida controlada. Basado en la ecuación (18), el modelo no lineal del sistema de tanques se puede expresar como:

Los términos no lineales en cada ecuación pueden reformularse de la siguiente manera:

Lo que resulta en la ecuación (19):

Definiendo el vector de parámetros en (19) como:

Utilizando los valores numéricos de la Tabla 2, el modelo cuasi-LPV en la forma de la ecuación (2) se expresa como se muestra en la ecuación (21):

Los niveles de líquido en los tanques se consideran inciertos, pero varían dentro de sus límites físicos, como se especifica en la Tabla 2, a lo largo del intervalo:

Cuando los niveles de líquido en los tanques varían dentro del rango especificado en la ecuación (22), el vector de parámetros en la ecuación (20) fluctuará dentro de la caja rectangular:

3.2.Modelos linealizados locales
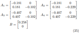
Las combinaciones extremas de parámetros dentro de la caja rectangular en la ecuación (23) dan lugar a los siguientes vectores:

Esto da lugar al siguiente conjunto de modelos linealizados locales:
= (A(oi), B) para i_1,...,4.

3.3.Controladores locales
Utilizando la ecuación (25), los sistemas aumentados en la ecuación (13) para cada vértice se dan por:

Las cuatro ganancias del controlador Ki en la ecuación (15) se calculan utilizando las especificaciones de lazo cerrado en el dominio del tiempo OS = 1% y Ts = 40s. El cálculo se realiza luego como se describe en [35].

Los polos dominantes resultantes son p1,2 =−0.0996 ± j0.0669(s2 + 0.1992s + 0.0144). Los polos deseados para el lazo cerrado utilizados en la ecuación (17) son P = [−0.0996 ± j0.0669,−0.996], donde p3 = −0.996 es un polo rápido con influencia insignificante sobre las especificaciones de OS y Ts. Las ganancias del controlador se calculan utilizando la ecuación (17) de la siguiente manera:

3.4.Mecanismos de interpolación
En el enfoque analítico, la ecuación (5) se representa como el siguiente sistema de ecuaciones lineales:

Resolver este sistema utilizando la matriz pseudoinversa (WTW)−1WT da como resultado la ecuación (28):

Para la interpolación geométrica, la ecuación (7) se implementa directamente utilizando un bloque de función en MATLAB. Se escribe un código sencillo en MATLAB que se integra en un modelo de Simulink, el cual ejecuta la simulación.
3.5.Implementación del control programado por ganancias
Se implementó la estrategia de control programado por ganancias mostrada en la Figura 2. La Figura 5 ilustra la respuesta del nivel de líquido en el segundo tanque tras un cambio en el punto de referencia, comparando ambos métodos de interpolación para los controladores lineales calculados (27). El método geométrico presenta problemas específicos al inicio de la simulación debido a su incapacidad para proporcionar la acción de control negativa requerida. Después de esta fase inicial, el desempeño de ambos esquemas de interpolación se vuelve comparable.

Respuesta del nivel de líquido en el segundo tanque en lazo cerrado para los métodos de interpolación analítica y geométrica
La Figura 6 ilustra la señal de control, mientras que la Figura 7 se enfoca en los primeros 20 segundos de la señal de control. Es evidente que cuando se requiere una señal de control negativa, el esquema geométrico permanece en cero, confirmando los problemas observados al inicio de la simulación, como se muestra en la Figura 5. Es importante señalar que la señal de control proporcionada por la bomba no puede ser negativa, una limitación no tenida en cuenta durante la simulación al evaluar el desempeño de ambos esquemas de interpolación. Un voltaje negativo se interpretaría como succión. Inicialmente, la señal de referencia cambia instantáneamente de cero, lo que provoca que la señal de control reaccione en sentido opuesto hasta que la referencia se estabiliza en un valor constante. A partir de ese momento, el controlador funciona adecuadamente con cualquiera de los esquemas de interpolación, aunque se requiere un mayor esfuerzo de control durante los períodos de cambio de la señal de referencia.

Señal de control de voltaje de la bomba para los métodos de interpolación analítica y geométrica

Detalle de la señal de control durante los primeros 20 segundos
3.6.Resultados adicionales
La Figura 8 ilustra el cuadro de parámetros delimitado por la ecuación (23). Los resultados anteriores involucraron la implementación del controlador programado por ganancias mediante la interpolación, tanto geométrica como analítica, de los controladores locales calculados en los vértices (A), (B), (C) y (D), basados en un criterio de polos dominantes para las especificaciones deseadas de OS y Ts. Además, la simulación permitió que la señal de control tomara valores negativos para facilitar la comparación entre los dos mecanismos de interpolación.
El controlador programado por ganancias se implementa en esta sección, utilizando varios controladores locales calculados dentro de la región mostrada en la Figura 8, según lo especificado en la Tabla 3.

Puntos elegidos en el cuadro de parámetros delimitado por la ecuación (23) para calcular los controladores locales

Parámetros físicos del sistema de tanques acoplados
La señal de control está restringida a permanecer dentro del rango operativo de la bomba (0 − 22V ), y los polos cerrados deseados en la ecuación (17) se seleccionan como P = [−0.1,−0.2,−10], en lugar de emplear el criterio de polos dominantes.
El modelo M1 utiliza los vértices de la región, el modelo M2 calcula los controladores locales a lo largo de los bordes, y el modelo M3 considera los vértices extremos de la región, donde los parámetros θ1 y θ2 toman sus valores mínimos y máximos posibles. La selección del modelo M3 está justificada por el conocido teorema del borde [36]. La Figura 9 ilustra el nivel en el segundo tanque y la señal de control de la bomba utilizando el modelo M1 con interpolación analítica.

Nivel del segundo tanque y voltaje de la bomba para el modelo M1 con interpolación analítica
La Figura 10 presenta un escenario similar utilizando interpolación geométrica. Las Figuras 11 y 12 replican el análisis para el modelo M2, utilizando mecanismos de interpolación analítica y geométrica, respectivamente.

Nivel del segundo tanque y voltaje de la bomba para el modelo M1 con interpolación geométrica

Nivel del segundo tanque y voltaje de la bomba para el modelo M2 con interpolación analítica

Nivel del segundo tanque y voltaje de la bomba para el modelo M2 con interpolación geométrica
Las Figuras 13 y 14 muestran los resultados para el modelo M3, nuevamente utilizando interpolación analítica y geométrica. Finalmente, las Figuras 15 y 16 comparan la evolución del nivel de líquido en el segundo tanque para los tres modelos, considerando la interpolación analítica y geométrica.

Nivel del segundo tanque y voltaje de la bomba para el modelo M3 con interpolación analítica

Nivel del segundo tanque y voltaje de la bomba para el modelo M3 con interpolación geométrica

Nivel del segundo tanque para los modelos M1, M2 y M3, utilizando interpolación analítica

Nivel del segundo tanque para los modelos M1, M2 y M3, utilizando interpolación geométrica
4. Conclusiones
Se propuso un procedimiento con programación de ganancias para controlar un sistema de tanques acoplados modelado como un sistema cuasi-LPV. Las no linealidades del modelo se capturan directamente mediante un conjunto de parámetros inciertos que varían dentro de un conjunto acotado, restringido por los límites físicos del sistema de tanques. Se calcularon combinaciones extremas del vector de parámetros y se obtuvieron aproximaciones lineales locales. Estas aproximaciones se utilizaron luego en la síntesis de leyes de control en el espacio de estados para seguir una entrada de referencia constante. El controlador global se construyó como un promedio ponderado de las contribuciones locales, donde los pesos dependían de los valores instantáneos del vector de parámetros.
Se emplearon dos mecanismos de interpolación, geométrico y analítico, para determinar el promedio ponderado de los controladores lineales. El método geométrico se basa en la distancia euclidiana entre el vector de parámetros y los vértices, mientras que el método analítico consiste en resolver un sistema lineal de ecuaciones utilizando la pseudoinversa de una matriz. El esquema geométrico es más sencillo y genera solo acciones de control positivas, con un tiempo de cálculo muy corto. En contraste, el esquema analítico puede proporcionar tanto acciones de control positivas como negativas, pero requiere un tiempo de procesamiento significativamente mayor. Los resultados de la simulación demostraron que utilizar los dos vértices extremos (Modelo M3) para calcular los controladores locales interpolados reduce el esfuerzo computacional necesario.
La principal limitación de la metodología es el desafío de determinar con precisión el modelo cuasi-LPV para capturar las no linealidades del sistema, lo cual no es una tarea fácil para todas las plantas. Esto indica que el enfoque propuesto puede no ser aplicable de manera universal. Sin embargo, cuando una planta no lineal puede ser modelada efectivamente utilizando un sistema de parámetros variables lineales, el método es sencillo de implementar y ofrece resultados satisfactorios. Otro aspecto clave del método es que la ley de control para diseñar los controladores locales no está limitada a la asignación de polos en lazo cerrado, como se demostró en este artículo. Se pueden emplear diversas estrategias de control con realimentación de estado, incluidas aquellas que consideran la optimización, robustez y restricciones. Además, aunque el criterio de dominio de polos garantizado es adecuado para sistemas lineales, surgió una discrepancia notable entre las especificaciones de diseño y el rendimiento real en el caso del sistema de tanques no lineales. Esta brecha se mitigó estableciendo polos reales dominantes para mejorar el control sobre la salida.
El trabajo en curso se centra en la implementación en tiempo real del método de diseño propuesto y la inclusión de observadores de estado.
Agradecimientos
Los autores agradecen profundamente el apoyo proporcionado por el Programa de Investigación de la Universidad Metropolitana en Caracas, Venezuela, bajo el número de proyecto PG-A-13-21-22.
Referencias
[1] R. Grygiel, R. Bieda, and M. Blachuta, “On significance of second-order dynamics for coupled tanks systems,” in 2016 21st International Conference on Methods and Models in Automation and Robotics (MMAR), 2016, pp. 1016–1021. [Online]. Available: https://doi.org/10.1109/MMAR.2016.7575277
[2] S. K. Singh, N. Katal, and S. G. Modani, “Multi objective optimization of pid controller for coupled-tank liquid-level control system using genetic algorithm,” in Proceedings of the Second International Conference on Soft Computing for Problem Solving (SocProS 2012), December 28-30, 2012, B. V. Babu, A. Nagar, K. Deep, M. Pant, J. C. Bansal, K. Ray, and U. Gupta, Eds. New Delhi: Springer India, 2014, pp. 59–66. [Online]. Available: https://doi.org/10.1007/978-81-322-1602-5_7
[9] J. Jiffy Anna, N. E. Jaffar, and F. Riya Mary, “Modelling and control of coupled tank liquid level system using backstepping method,” International Journal of Engineering Research and Technology, vol. 4, no. 6, pp. 667–671, 2015. [Online]. Available: http://dx.doi.org/10.17577/IJERTV4IS060710
[10] J. Dai, B. Ren, and Q.-C. Zhong, “Uncertainty and disturbance estimator-based backstepping control for nonlinear systems with mismatched uncertainties and disturbances,” Journal of Dynamic Systems, Measurement, and Control, vol. 140, no. 12, Jul 2018, 121005. [Online]. Available: https://doi.org/10.1115/1.4040590
[18] P. Teppa Garran, M. Faggioni, and G. Garcia, “Optimal tracking in two-degree-of-freedom control systems: Coupled tank system,” Journal of Applied Research and Technology, vol. 21, no. 4, pp. 560–570, 2023. [Online]. Available: https://doi.org/10.22201/icat.24486736e.2023.21.4.2000
[19] W. J. Rugh and J. S. Shamma, “Research on gain scheduling,” Automatica, vol. 36, no. 10, pp. 1401–1425, 2000. [Online]. Available: https://doi.org/10.1016/S0005-1098(00)00058-3
[36] A. Bartlett, C. Hollot, and H. Lin, “Root locations of an entire polytope of polynomials: It suffices to check the edges,” in 1987 American Control Conference, 1987, pp. 1611–1616. [Online]. Available: https://doi.org/10.23919/ACC.1987.4789571
[3] D. L. Mute, S. R. Mahapatro, and K. K. Chaudhari, “Internal model based pi controller design for the coupled tank system: An experimental study,” in 2016 IEEE First International Conference on Control, Measurement and Instrumentation (CMI), 2016, pp. 72–76. [Online]. Available: https://doi.org/10.1109/CMI.2016.7413713
[4] M. G. Stohy, H. S. Abbas, A.-H. M. El-Sayed, and A. G. Abo El-maged, “Parameter estimation and pi control for a water coupled tank system,” Journal of Advanced Engineering Trends, vol. 38, no. 2, pp. 147–159, 2020. [Online]. Available: https://doi.org/10.21608/jaet.2020.73062
[5] L. Liang, “The application of fuzzy pid controller in coupled-tank liquid-level control system,” in 2011 International Conference on Electronics, Communications and Control (ICECC), 2011, pp. 2894–2897. [Online]. Available: https://doi.org/10.1109/ICECC.2011.6067785
[6] A. Başçi and A. Derdiyok, “Implementation of an adaptive fuzzy compensator for coupled tank liquid level control system,” Measurement, vol. 91, pp. 12–18, 2016. [Online]. Available: https://doi.org/10.1016/j.measurement.2016.05.026
[7] M. Essahafi, “Model predictive control (MPC) applied to coupled tank liquid level system,” CoRR, vol. abs/1404.1498, 2014. [Online]. Available: https://doi.org/10.48550/arXiv.1404.1498
[8] J. Berberich, J. Köhler, M. A. Müller, and F. Allgöwer, “Data-driven model predictive control: closed-loop guarantees and experimental results,” at - Automatisierungstechnik, vol. 69, no. 7, pp. 608–618, Jun. 2021. [Online]. Available: http://dx.doi.org/10.1515/auto-2021-0024
[11] F. Abu Khadra and J. Abu Qudeiri, “Second order sliding mode control of the coupled tanks system,” Mathematical Problems in Engineering, vol. 2015, no. 1, p. 167852, 2015. [Online]. Available: https://doi.org/10.1155/2015/167852
[12] K. K. Ayten and A. Dumlu, “Implementation of a pid type sliding-mode controller design based on fractional order calculus for industrial process system,” Elektronika ir Elektrotechnika, vol. 27, no. 6, pp. 4–10, Dec. 2021. [Online]. Available: https://doi.org/10.5755/j02.eie.30306
[13] M. Vashishth, L. S. Rai, and A. V. R. Kumar, “Liquid level control of coupled tank system using fractional pid controller,” 2013. [Online]. Available: https://upsalesiana.ec/ing33ar2r13
[14] P. Roy and B. Krishna Roy, “Fractional order pi control applied to level control in coupled two tank mimo system with experimental validation,” Control Engineering Practice, vol. 48, pp. 119–135, 2016. [Online]. Available: https://doi.org/10.1016/j.conengprac.2016.01.002
[15] M. H. Jali, A. Ibrahim, R. Ghazali, C. C. Soon, and A. R. Muhammad, “Robust Control Approach of SISO Coupled Tank System,” International Journal of Advanced Computer Science and Applications, vol. 12, no. 1, 2021. [Online]. Available: http://dx.doi.org/10.14569/IJACSA.2021.0120123
[16] P. Teppa, M. Bravo, and G. Garcia, “Control por rechazo activo de perturbaciones del nivel de líquido de un sistema de tanques acoplado,” Revista Faraute de Ciencia y Tecnología, vol. 7, no. 1, pp. 10–18, 2012. [Online]. Available: https://upsalesiana.ec/ing33ar2r16
[17] P. Teppa Garran and G. Garcia, “Design of an optimal pid controller for a coupled tanks system employing adrc,” IEEE Latin America Transactions, vol. 15, no. 2, pp. 189–196, 2017. [Online]. Available: https://doi.org/10.1109/TLA.2017.7854611
[20] D. Rotondo, Advances in Gain-Scheduling and Fault Tolerant Control Techniques. Springer Cham, 2018. [Online]. Available: https://doi.org/10.1007/978-3-319-62902-5
[21] G. S. X. Bombois, D. Ghosh and J. Huillery, “Lpv system identification for control using the local approach,” International Journal of Control, vol. 94, no. 2, pp. 390–410, 2021. [Online]. Available: https://doi.org/10.1080/00207179.2019.1596316
[22] Z. GAO and J. FU, “Robust lpv modeling and control of aircraft flying through wind disturbance,” Chinese Journal of Aeronautics, vol. 32, no. 7, pp. 1588–1602, 2019. [Online]. Available: https://doi.org/10.1016/j.cja.2019.03.029
[23] S. Li, A.-T. Nguyen, T.-M. Guerra, and A. Kruszewski, “Reduced-order model based Dynamic tracking for soft manipulators: Data-driven lpv modeling, control design and experimental results,” Control Engineering Practice, vol. 138, p. 105618, 2023. [Online]. Available: https://doi.org/10.1016/j.conengprac.2023.105618
[24] R. Robles, A. Sala, and M. Bernal, “Performanceoriented quasi-lpv modeling of nonlinear systems,” International Journal of Robust and Nonlinear Control, vol. 29, no. 5, pp. 1230–1248, 2019. [Online]. Available: https://doi.org/10.1002/rnc.4444
[25] P. Persson and K. Astrom, “Dominant pole design - a unified view of pid controller tuning,” IFAC Proceedings Volumes, vol. 25, no. 14, pp. 377–382, 1992. [Online]. Available: https://doi.org/10.1016/S1474-6670(17)50763-6
[26] A. D. Mammadov, E. Dincel, and M. T. Söylemez, “Analytical design of discrete pi–pr controllers via dominant pole assignment,” ISA Transactions, vol. 123, pp. 312–322, 2022. [Online]. Available: https://doi.org/10.1016/j.isatra.2021.05.038
[27] P. Teppa-Garrán and J. Andrade-Da Silva, “An analytical interpolation approach for gain scheduling control of linear parameter varying systems,” Ciencia e Ingeniería, vol. 30, no. 1, pp. 93–101, 2008. [Online]. Available: https://upsalesiana.ec/ing33ar2r27
[28] W. Tan, A. Packard, and G. Balas, “Quasi-lpv modeling and lpv control of a generic missile,” in Proceedings of the 2000 American Control Conference. ACC (IEEE Cat. No.00CH36334), vol. 5, 2000, pp. 3692–3696. [Online]. Available: https://doi.org/10.1109/ACC.2000.879259
[29] G. Vinco, S. Theodoulis, O. Sename, and G. Strub, “Quasi-lpv modeling of guided projectile pitch dynamics through state transformation technique,” IFAC-PapersOnLine, vol. 55, no. 35, pp. 43–48, 2022, 5th IFAC Workshop on Linear Parameter Varying Systems LPVS 2022. [Online]. Available: https://doi.org/10.1016/j.ifacol.2022.11.288
[30] Z. He and L. Zhao, “Quadrotor trajectory tracking based on quasi-lpv system and internal model control,” Mathematical Problems in Engineering, vol. 2015, no. 1, p. 857291, 2015. [Online]. Available: https://doi.org/10.1155/2015/857291
[31] P. S. Cisneros, A. Sridharan, and H. Werner, “Constrained predictive control of a robotic manipulator using quasi-lpv representations,” IFAC-PapersOnLine, vol. 51, no. 26, pp. 118–123, 2018, 2nd IFAC Workshop on Linear Parameter Varying Systems LPVS 2018. [Online]. Available: https://doi.org/10.1016/j.ifacol.2018.11.158
[32] H. Xie, L. Dai, Y. Lu, and Y. Xia, “Disturbance rejection mpc framework for inputaffine nonlinear systems,” IEEE Transactions on Automatic Control, vol. 67, no. 12, pp. 6595–6610, 2022. [Online]. Available: https://doi.org/10.1109/TAC.2021.3133376
[33] J. Stefanovski, “Feedback affinization of nonlinear control systems,” Systems & Control Letters, vol. 46, no. 3, pp. 207–217, 2002. [Online]. Available: https://doi.org/10.1016/S0167-6911(02)00136-6
[34] J. Apkarian, Coupled water tank experiments manual. Quanser Consulting Advanced Teaching Systems, 1999. [Online]. Available: https://upsalesiana.ec/ing33ar2r34
[35] R. C. Dorf and R. H. Bishop, Modern Control Systems. Prentice Hall, 2008. [Online]. Available: https://upsalesiana.ec/ing33ar2r35
Enlace alternativo
https://revistas.ups.edu.ec/index.php/ingenius/article/view/8603 (html)